Dynamics of Organic Nitrogen Compound Mineralization in Organic Soils under Grassland, and the Mineral N Concentration in Groundwater (A Case Study of the Mazurian Lake District, Poland)
Abstract
1. Introduction
2. Materials and Methods
2.1. Experimental Site—Łańsk (Mazurian Lake District, Poland)
2.2. Habitat Conditions and Soil Characteristics of the Site
2.3. Determination of Physical and Chemical Characteristics
2.4. Statistical Analyses
3. Results
3.1. Morphological Structure of the Soils
3.2. Ntotal Content in Soil
3.3. Moisture Content in Soil
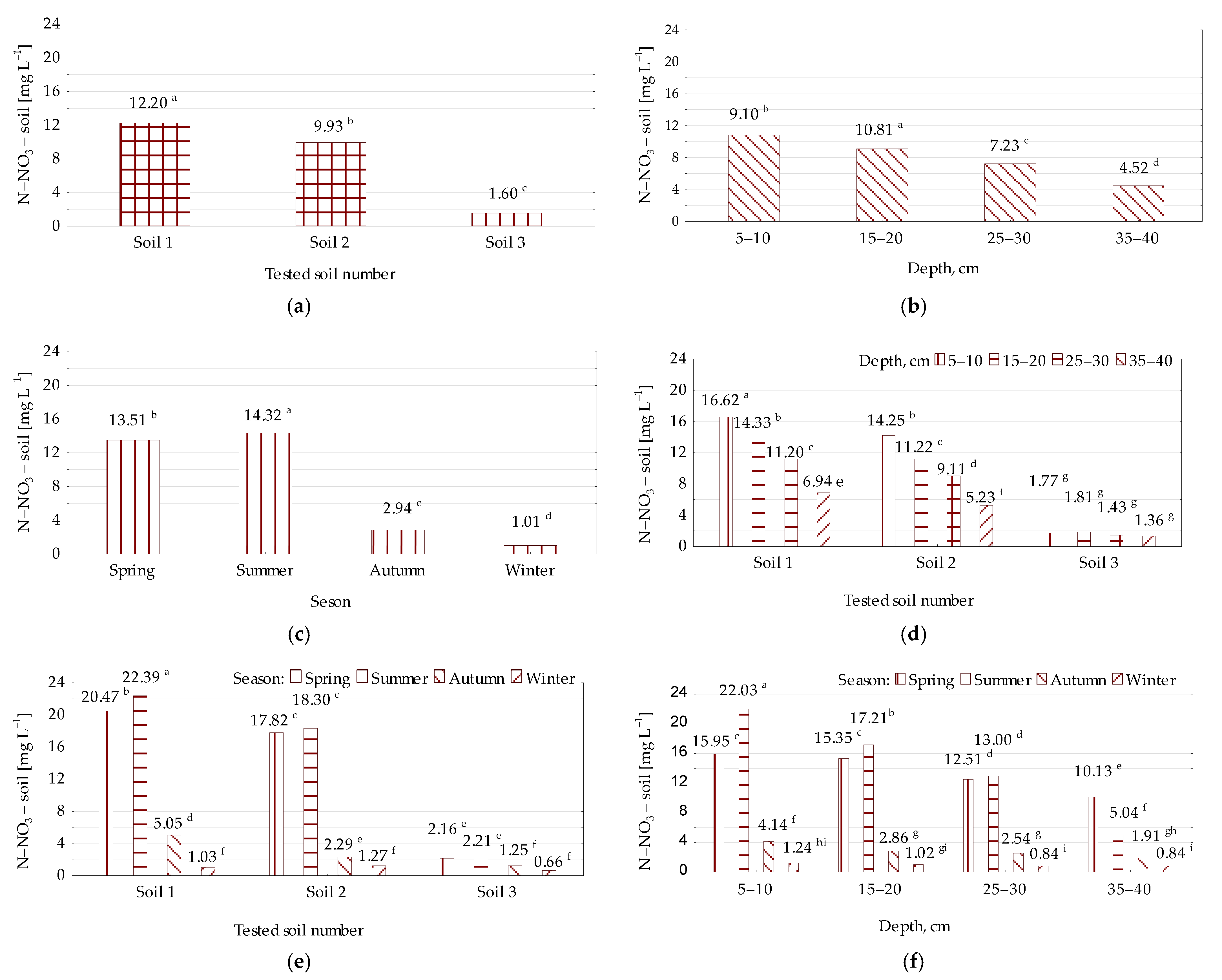
3.4. Mineral Nitrogen Content in Soil (N-NO3, N-NH4)
3.5. Mineral Nitrogen Content (N-NO3, N-NH4) in Groundwater
3.6. Dependencies between the Examined Factors
4. Discussion
4.1. Morphological Structure of the Soils
4.2. Mineral Nitrogen Content in Soil
4.3. Mineral Nitrogen Content in Groundwater
5. Conclusions
Supplementary Materials
Author Contributions
Funding
Institutional Review Board Statement
Informed Consent Statement
Data Availability Statement
Conflicts of Interest
References
- Pietruszyński, Ł.; Cieśliński, R. Circulation patterns of biogenic ions in Young Glacial areas. Environ. Monit. Assess. 2021, 193, 19. [Google Scholar] [CrossRef] [PubMed]
- Mizerski, W. Geologia Polski; Wydawnictwo Naukowe PWN: Warszawa, Poland, 2009; p. 288. (In Polish) [Google Scholar]
- Piaścik, H.; Gotkiewicz, J.; Lemkowska, B. Mokradła Równiny Mazurskiej. Biul. Nauk. 2000, 9, 61–71. (In Polish) [Google Scholar]
- Yousaf, A.; Khalid, N.; Aqeel, M.; Noman, A.; Naeem, N.; Sarfraz, W.; Ejaz, U.; Qaiser, Z.; Khalid, A. Nitrogen Dynamics in Wetland Systems and Its Impact on Biodiversity. Nitrogen 2021, 2, 196–217. [Google Scholar] [CrossRef]
- Gotkiewicz, J.; Piaścik, H.; Łachacz, A. Functioning and protection of wetlands in the young glacial areas of North-Eastern Poland. Acta Agrophysica 2002, 67, 85–93. Available online: https://yadda.icm.edu.pl/yadda/element/bwmeta1.element.agro-article-b9e0de78-71bc-40d9-93c1-dcbda8ad62a4/c/Functioning_and.pdf (accessed on 27 December 2022).
- Campbell, C.J.; James, C.S.; Morris, K.; Nicol, J.M.; Thomas, R.F.; Nielsen, D.L.; Gehrig, S.L.; Palmer, G.J.; Wassens, S.; Dyer, F.; et al. Blue, green and in-between: Objectives and approaches for evaluating wetland flow regimes based on vegetation outcomes. Mar. Freshw. Res. 2021, 73, 1212–1224. [Google Scholar] [CrossRef]
- Kimmel, K.; Mander, Ü. Ecosystem services of peatlands: Implications for restoration. Progress Phys. Geogr. 2010, 34, 491–514. [Google Scholar] [CrossRef]
- Lennartz, B.; Liu, H. Hydraulic functions of peat soils and ecosystem service. Front. Environ. Sci. 2019, 7, 92. [Google Scholar] [CrossRef]
- Deane, D.C.; Nicol, J.M.; Gehrig, S.L.; Harding, C.; Aldridge, K.T.; Goodman, A.M.; Brookes, J.D. Hydrological-niche models predict water plant functional group distributions in diverse wetland types. Ecol. Appl. 2017, 27, 1351–1364. [Google Scholar] [CrossRef]
- Deane, D.C.; Harding, C.; Aldridge, K.T.; Goodman, A.M.; Gehrig, S.L.; Nicol, J.M.; Brookes, J.D. Predicted risks of groundwater decline in seasonal wetland plant communities depend on basin morphology. Wetl. Ecol. Manag. 2018, 26, 359–372. [Google Scholar] [CrossRef]
- Silvester, E.; Karis, T.; Yusuf, A.; Pengelly, J.; Grover, S.; Rees, G.N. Organic carbon and nitrogen dynamics during a peatland storm event: How dissolved combined amino acids reveal the spatial and temporal separation of organic molecules. J. Hydrol. 2021, 597, 126191. [Google Scholar] [CrossRef]
- Gunawardhana, M.; Silvester, E.; Jones, O.A.; Grover, S. Evapotranspiration and biogeochemical regulation in a mountain peatland: Insights from eddy covariance and ionic balance measurements. J. Hydrol. Reg. Stud. 2021, 36, 100851. [Google Scholar] [CrossRef]
- Qin, L.; Tian, W.; Yang, L.; Freeman, C.; Jiang, M. Nitrogen availability influences microbial reduction of ferrihydrite-organic carbon with substantial implications for exports of iron and carbon from peatlands. Appl. Soil Ecol. 2020, 153, 103637. [Google Scholar] [CrossRef]
- Whitaker, J.; Richardson, H.R.; Ostle, N.J.; Armstrong, A.; Waldron, S. Plant functional type indirectly affects peatland carbon fluxes and their sensitivity to environmental change. Eur. J. Soil Sci. 2021, 72, 1042–1053. [Google Scholar] [CrossRef]
- Salimi, S.; Almuktar, S.; Scholz, M. Impact of climate change on wetland ecosystems: A critical review of experimental wetlands. J. Environ. Manag. 2021, 286, 112160. [Google Scholar] [CrossRef]
- Lindner, M.; Hobohm, C. Wetlands: Challenges and Possibilities. In Perspectives for Biodiversity and Ecosystems; Springer: Cham, Switzerland, 2021; pp. 311–327. [Google Scholar] [CrossRef]
- Rydin, H.; Jeglum, J.K.; Bennett, K.D. The Biology of Peatlands, 2nd ed.; Oxford University Press: Oxford, UK, 2013. [Google Scholar]
- Webb, J.A.; Wallis, E.M.; Stewardson, M.J. A systematic review of published evidence linking wetland plants to water regime components. Aquat. Bot. 2012, 103, 1–14. [Google Scholar] [CrossRef]
- Kruczkowska, B.; Jonczak, J.; Słowińska, S.; Bartczak, A.; Kramkowski, M.; Uzarowicz, Ł.; Słowiński, M. Stages of soil development in the coastal zone of a disappearing lake—A case study from central Poland. J. Soils Sediments 2021, 21, 1420–1436. [Google Scholar] [CrossRef]
- Leifeld, J.; Steffens, M.; Galego-Sala, A. Sensitivity of peatland carbon loss to organic matter quality. Geophys. Res. Lett. 2012, 39, L14704. [Google Scholar] [CrossRef]
- Zhao, Y.; Xiang, W.; Ma, M.; Zhang, X.; Bao, Z.; Xie, S.; Yan, S. The role of laccase in stabilization of soil organic matter by iron in various plant-dominated peatlands: Degradation or sequestration? Plant Soil 2019, 443, 575590. [Google Scholar] [CrossRef]
- Vymazal, J. Removal of nutrients in various types of constructed wetlands. Sci. Total Environ. 2007, 380, 48–65. [Google Scholar] [CrossRef]
- Bridgham, S.D.; Megonigal, J.P.; Keller, J.K.; Bliss, N.B.; Trettin, C. The carbon balance of North American wetlands. Wetlands 2006, 26, 889–916. [Google Scholar] [CrossRef]
- Reddy, A.D.; Hawbaker, T.J.; Wurster, F.; Zhu, Z.; Ward, S.; Newcomb, D.; Murray, R. Quantifying soil carbon loss and uncertainty from a peatland wildfire using multitemporal LiDAR. Remote Sens. Environ. 2015, 170, 306–316. [Google Scholar] [CrossRef]
- Hanson, P.J.; Griffiths, N.A.; Iversen, C.M.; Norby, R.J.; Sebestyen, S.D.; Phillips, J.R.; Chanton, J.P.; Kolka, R.K.; Malhotra, A.; Oleheiser, K.C.; et al. Rapid net carbon loss from a whole-ecosystem warmed Peatland. AGU Adv. 2020, 1, e2020AV000163. [Google Scholar] [CrossRef]
- Silvan, N.; Regina, K.; Kitunen, V.; Vasander, H.; Laine, J. Gaseous nitrogen loss from a restored peatland buffer zone. Soil Biol. Biochem. 2002, 34, 721–728. [Google Scholar] [CrossRef]
- Xu, X.; Lu, K.; Wang, Z.; Wang, M.; Wang, S. Effects of drainage on dissolved organic carbon (DOC) characteristics of surface water from a mountain peatland. Sci. Total Environ. 2021, 789, 147848. [Google Scholar] [CrossRef] [PubMed]
- Ahmad, S.; Liu, H.; Alam, S.; Günther, A.; Jurasinski, G.; Lennartz, B. Meteorological controls on water table dynamics in fen peatlands depend on management regimes. Front. Earth Sci. 2021, 9, 189. [Google Scholar] [CrossRef]
- Michaelis, D.; Mrotzek, A.; Couwenberg, J. Roots, tissues, cells and fragments—How to characterize peat from drained and rewetted fens. Soil Syst. 2020, 4, 12. [Google Scholar] [CrossRef]
- Stolarczyk, M.; Drewnik, M. Morphology and selected properties of peat bog soils located in the Syhłowaciec valley near Wołosate village (Bieszczady National Park). Roczniki Bieszczadzkie 2015, 23, 335–347. Available online: https://www.bdpn.pl/dokumenty/roczniki/rb23/art19.pdf (accessed on 27 December 2022).
- Hofman, G.; van Cleemput, O. Soil and Plant Nitrogen. International Fertilizer Industry Association Paris, September 2004. Available online: https://www.fertilizer.org/images/Library_Downloads/2004_IFA_Soil%20Plant%20Nitrogen.pdf (accessed on 27 December 2022).
- Sapek, B. Potential nitrate leaching on the background of nitrogen mineralization dynamic in grassland soils. Zesz. Probl. Post. Nauk Rol. 1996, 440, 331–341. Available online: https://agro.icm.edu.pl/agro/element/bwmeta1.element.agro-e7109293-e228-42e5-92a5-a8f742770689/c/331-341.PDF (accessed on 27 December 2022).
- Wakida, F.T.; Lerner, D.N. Non-agricultural sources of groundwater nitrate: A review and case study. Water Res. 2005, 39, 3–16. [Google Scholar] [CrossRef]
- Ouyang, S.; Tian, Y.; Liu, Q.; Zhang, L.; Wang, R.; Xu, X. Nitrogen competition between three dominant plant species and microbes in a temperate grassland. Plant Soil 2016, 408, 121–132. [Google Scholar] [CrossRef]
- Wang, W.Y.; Ma, Y.G.; Xu, J.; Wang, H.C.; Zhu, J.F.; Zhou, H.K. The uptake diversity of soil nitrogen nutrients by main plant species in Kobresia humilis alpine meadow on the Qinghai-Tibet Plateau. Sci. China Earth Sci. 2012, 55, 1688–1695. [Google Scholar] [CrossRef]
- Gotkiewicz, J. The role of soil cover in preserving ecological balance of environment in the Masurian Lake District and Sępopol plain. Zesz. Probl. Post. Nauk Rol. 1996, 431, 203–218. Available online: https://yadda.icm.edu.pl/yadda/element/bwmeta1.element.agro-article-6dab800e-afa2-43e3-9f04-eb5c40d37676/c/203-218.pdf (accessed on 27 December 2022).
- Okruszko, H.; Piaścik, H. Charakterystyka Gleb Hydrogenicznych; ART Olsztyn Press: Olsztyn, Poland, 1990. (In Polish) [Google Scholar]
- Richling, A. Landscape structure of Great Masurian Lake Country. Prace i Studia Instytutu Geograficznego Uniwersytetu Warszawskiego. Geografia Fizyczna 1972, 10, 11–84. (In Polish) [Google Scholar]
- Bednarek, R.; Dziadowiec, H.; Pokojska, U.; Prusinkiewicz, Z. Badania Ekologiczno-Gleboznawcze; PWN Press: Warszawa, Poland, 2004. (In Polish) [Google Scholar]
- Sapek, A.; Sapek, B. Metody analizy chemicznej gleb organicznych (Methods of chemical analysis of organic soils). Wyd. IMUZ 1997, 115, 150. (In Polish) [Google Scholar]
- Gotkiewicz, J. Zastosowanie metody inkubowania próbek o zachowanej strukturze do badań nad mineralizacją azotu w glebach torfowych. Rocz. Nauk Rol. 1974, 78, 8–34. (In Polish) [Google Scholar]
- Hermanowicz, W.; Dojlido, J.; Dożańska, W.; Koziorowski, B.; Zebre, J. Fizyczno-chemiczne Badanie Wody i Ścieków; Arkady Press: Warszawa, Poland, 1999. (In Polish) [Google Scholar]
- Ehlers, J.; Kozarski, S.; Gibbard, P. Glacial Deposits of North-East Europe: General Overview. In Glacial Deposits in North-East Europe; CRC Press: Boca Raton, FL, USA, 2020; pp. 547–552. [Google Scholar] [CrossRef]
- Krzywicki, T. The maximum ice sheet limit of the Vistulian Glaciation in northeastern Poland and neighbouring areas. Geol. Q. 2002, 46, 165–188. Available online: https://gq.pgi.gov.pl/article/view/7713/6242 (accessed on 27 December 2022).
- Benn, D.; Evans, D.J.A. Glaciers and Glaciation, 2nd ed.; Routledge: Abingdon, UK, 2010. [Google Scholar] [CrossRef]
- Dembek, W. Wybrane Aspekty ZróżNicowania Torfowisk w Młodo i Staroglacjalnych Krajobrazach Polski Wschodniej; IMUZ Press: Falenty, Poland, 2000. (In Polish) [Google Scholar]
- Wierzbicki, G.; Grygoruk, M.; Grodzka-Łukaszewska, M.; Bartold, P.; Okruszko, T. Mire development and disappearance due to river capture as hydrogeological and geomorphological consequences of LGM ice-marginal valley evolution at the Vistula-Neman watershed. Geosciences 2020, 10, 363. [Google Scholar] [CrossRef]
- Bieniek, B.; Bieniek, A.; Pawluczuk, J. Properties of muck soils under forest lands and grasslands. Rocz. Glebozn. 2011, 62, 23–31. Available online: http://ssa.ptg.sggw.pl/files/artykuly/2011_62/2011_tom_62_2/tom_62_2_023-031.pdf (accessed on 27 December 2022).
- Rydelek, P. Variability of physicochemical parameters of peats in the subsurface zone of the fen in the Struga Wodna valley (Lubartów Plateau). Przegląd Geol. 2021, 69, 867–872. [Google Scholar] [CrossRef]
- Oleszczuk, R.; Łachacz, A.; Kalisz, B. Measurements versus Estimates of Soil Subsidence and Mineralization Rates at Peatland over 50 Years (1966–2016). Sustainability 2022, 14, 16459. [Google Scholar] [CrossRef]
- Gonet, S.; Markiewicz, M.; Marszelewski, W.; Dziamski, A. Soil transformations in catchment of disappearing Sumówko Lake (Brodnickie Lake District, Poland). Limnol. Rev. 2010, 10, 111–115. Available online: https://repozytorium.umk.pl/handle/item/262 (accessed on 24 January 2023). [CrossRef]
- Rydelek, P. Origin and composition of mineral constituents of fen peats from Eastern Poland. J. Plant Nutr. 2013, 36, 911–928. [Google Scholar] [CrossRef]
- Stolarczyk, M.; Gus, M.; Jelonkiewicz, Ł. Changes in the chemical properties of peat soils as a result of drainage on the example of Tarnawa Wyżna (Western Bieszczady Mts.). Rocz. Bieszcz. 2017, 25, 387–402. Available online: https://www.bdpn.pl/dokumenty/roczniki/rb25/art17.pdf (accessed on 27 December 2022).
- Kaila, A.; Asam, Z.; Koskinen, M.; Uusitalo, R.; Smolander, A.; Kiikkilä, O.; Sarkkola, S.; O’Driscoll, C.; Kitunen, V.; Fritze, H.; et al. Impact of Re-wetting of Forestry-Drained Peatlands on Water Quality—A Laboratory Approach Assessing the Release of P, N, Fe, and Dissolved Organic Carbon. Water Air Soil Pollut. 2016, 227, 292. [Google Scholar] [CrossRef]
- Schimel, J.P.; Bennett, J. Nitrogen mineralization: Challenges of a changing paradigm. Ecology 2004, 85, 591–602. [Google Scholar] [CrossRef]
- Semple, K.T.; Doick, K.J.; Wick, L.Y.; Harms, H. Microbial interactions with organic contaminants in soil: Definitions, processes and measurement. Environ. Pollut. 2007, 150, 166–176. [Google Scholar] [CrossRef]
- Walton, C.R.; Zak, D.; Audet, J.; Petersen, R.J.; Lange, J.; Oehmke, C.; Wichtmann, W.; Kreyling, J.; Grygoruk, M.; Jabłońska, E.; et al. Wetland buffer zones for nitrogen and phosphorus retention: Impacts of soil type, hydrology and vegetation. Sci. Total Environ. 2020, 727, 138709. [Google Scholar] [CrossRef]
- Zhang, Y.; Loiselle, S.; Zhang, Y.; Wang, Q.; Sun, X.; Hu, M.; Chu, Q.; Jing, Y. Comparing Wetland Ecosystems Service Provision under Different Management Approaches: Two Cases Study of Tianfu Wetland and Nansha Wetland in China. Sustainability 2021, 13, 8710. [Google Scholar] [CrossRef]
- Pawluczuk, J.; Gotkiewicz, J. Evaluation of the nitrogen mineralization process in soils of some peat ecosystems of North-Eastern Poland in the aspect of soil resources conservation. Acta Agrophys 2003, 1, 721–728. Available online: https://yadda.icm.edu.pl/yadda/element/bwmeta1.element.agro-article-44418180-786a-4ec5-bae7-f7cd52986e6e/c/Evaluation_of_the.pdf (accessed on 27 December 2022).
- Foster, S.S.D.; Cripps, A.C.; Smith-Carington, A. Nitrate leaching to groundwater. Philos. Trans. R. Soc. London Ser. B Biol. Sci. 1982, 296, 477–489. [Google Scholar] [CrossRef]
- Ilnicki, P. Emissions of nitrogen and phosphorus into rivers from agricultural land–selected controversial issues. J. Water Land Dev. 2014, 23, 31–39. [Google Scholar] [CrossRef]
- Vagstad, N.; Stålnacke, P.; Andersen, H.E.; Deelstra, J.; Jansons, V.; Kyllmar, K.; Loigu, E.; Rekolainen, S.; Tumas, R. Regional variations in diffuse nitrogen losses from agriculture in the Nordic and Baltic regions. Hydrol. Earth Syst. Sci. 2004, 8, 651–662. [Google Scholar] [CrossRef]
- Fotyma, M. Impact of management practices on soil quality in CEE countries with particular reference to Poland. Soil Qual. Sustain. Agric. Environ. Secur. Cent. East. Eur. 2012, 69, 211–226. [Google Scholar] [CrossRef]
- Daniels, S.M.; Evans, M.G.; Agnew, C.T.; Allott, T.E.H. Ammonium release from a blanket peatland into headwater stream systems. Environ. Pollut. 2012, 163, 261–272. [Google Scholar] [CrossRef] [PubMed]
- Chen, S.K.; Lee, Y.Y.; Liao, T.L. Assessment of Ammonium–N and Nitrate–N Contamination of Shallow Groundwater in a Complex Agricultural Region, Central Western Taiwan. Water 2022, 14, 2130. [Google Scholar] [CrossRef]









| Parameter | Soil | Depth | Season | Soil × Depth | Soil × Season | Depth × Season | Soil × Season × Depth |
|---|---|---|---|---|---|---|---|
| Moisture content [%] | 96.38 * | 15.90 * | 20.89 * | 3.69 * | 4.97 * | 0.13 ns | 0.55 ns |
| N-NO3—soil [mg L−1] | 3983.02 * | 703.45 * | 4598.26 * | 153.25 * | 946.87 * | 240.20 * | 47.29 * |
| N-NH4—soil [mg L−1] | 221.04 * | 146.79 * | 1030.96 * | 18.75 * | 109.11 * | 20.74 * | 7.25 * |
| Ntotal—soil [g 100 g−1] | 11.74 * | 12.48 * | na | 13.56 * | na | na | na |
| N-NO3—water [mg L−1] | 953.314 * | na | 230.410 | na | 71.416 * | na | na |
| N-NH4—water [mg L−1] | 1263.19 * | na | 200.50 * | na | 112.39 * | na | na |
| Tested Soil Number | Soil Use (Soil Management) | Soil Classification | Prognostic Moisture-Soil Complex | Type of Hydrological Supply | Potential Moisture Hydrogenic Habitats |
|---|---|---|---|---|---|
| Soil 1 | degraded meadow | Dystric Rheic Murshic Fibric Histosol | dry | soligenous | soligenous dry |
| Soil 2 | productive meadow | Dystric Rheic Murshic Sapric Histosol | dry | soligenous | soligenous dry |
| Soil 3 | alder swamp | Dystric Rheic Sapric Histosol (Limnic) | wet | soligenous | soligenous wet |
| Tested Soil Number (Soil Management) | Depth, cm | Season | |||
|---|---|---|---|---|---|
| Spring | Summer | Autumn | Spring | ||
| Soil 1 (degraded meadow) | 5–10 | 24.93 c | 32.83 a | 7.19 jk | 1.38 p–t |
| 15–20 | 22.82 cd | 27.92 b | 5.27 klm | 1.14 rst | |
| 25–30 | 18.83 fg | 20.52 ef | 4.65 lmn | 0.76 t | |
| 35–40 | 15.30 h | 8.30 j | 3.09 n–r | 0.84 st | |
| Soil 2 (productive meadow) | 5–10 | 21.32 de | 29.96 b | 3.90 l–o | 1.71 p–t |
| 15–20 | 20.76 def | 20.75 def | 2.08 o–t | 1.25 p–t | |
| 25–30 | 16.21 h | 17.0 gh | 1.77 o–t | 1.19 p–t | |
| 35–40 | 13.00 i | 5.60 klk | 1.43 p–t | 0.93 st | |
| Soil 3 (alder swamp) | 5–10 | 1.60 p–t | 3.30 m–p | 1.32 p–t | 0.63 t |
| 15–20 | 2.46 o-t | 2.97 n–s | 1.23 p–t | 0.67 t | |
| 25–30 | 2.50 o-t | 1.34 p–t | 1.23 p–t | 0.58 t | |
| 35–40 | 2.09 o-t | 1.22 p–t | 1.21 p–t | 0.76 t | |
| Tested Soil Number (Soil Management) | Depth, cm | Season | |||
|---|---|---|---|---|---|
| Spring | Summer | Autumn | Spring | ||
| Soil 1 (degraded meadow) | 5–10 | 6.43 def | 8.81 ab | 2.87 l–r | 2.25 n–u |
| 15–20 | 5.16 fgh | 8.57 abc | 1.89 p–w | 1.42 s–w | |
| 25–30 | 4.34 g–k | 7.30 cd | 1.15 t–w | 1.11 uvw | |
| 35–40 | 3.16 k–p | 5.61 efg | 1.05 uvw | 0.92 uvw | |
| Soil 2 (productive meadow) | 5–10 | 5.11 fgh | 9.83 a | 2.49 m–t | 2.01 o–w |
| 15–20 | 4.88 ghi | 6.63 de | 1.56 r–w | 2.27 n–u | |
| 25–30 | 3.91 h–l | 7.51 bcd | 2.00 o–w | 1.20 t–w | |
| 35–40 | 2.63 l–s | 3.41 j–n | 1.73 r–w | 1.16 t–w | |
| Soil 3 (alder swamp) | 5–10 | 4.58 g–j | 3.46 j–n | 1.50 s–w | 0.69 w |
| 15–20 | 4.35 g–k | 3.26 j–o | 1.29 s–w | 1.91 o–w | |
| 25–30 | 3.65 i–m | 2.21 n–u | 1.29 s–w | 0.77 vw | |
| 35–40 | 3.84 h–m | 2.10 n–v | 1.33 s–w | 0.80 vw | |
| Variable | Moisture [%] | N-NO3—Soil [mg L−1] | N-NH4—Soil [mg L−1] | N-NO3—Water [mg L−1] | N-NH4—Water [mg L−1] | Ntotal—Soil [g 100 g−1] |
|---|---|---|---|---|---|---|
| Moisture [%] | 1 | −0.8509 * | −0.8928 * | −0.8929 * | −0.7125 | 0.5919 |
| N-NO3—soil [mg L−1] | −0.8509 * | 1 | 0.6511 | 0.7017 | 0.3850 | −0.9033 * |
| N-NH4—soil [mg L−1] | −0.8928 * | 0.6511 | 1 | 0.7788 | 0.6579 | −0.4753 |
| N-NO3—water [mg L−1] | −0.8929 * | 0.7017 | 0.7788 | 1 | 0.9272 * | −0.4070 |
| N-NH4—water [mg L−1] | −0.7125 | 0.3850 | 0.6579 | 0.9272 * | 1 | −0.0465 |
| Ntotal—soil [g 100g−1] | 0.5919 | −0.9033 * | −0.4753 | −0.4070 | −0.0465 | 1 |
Disclaimer/Publisher’s Note: The statements, opinions and data contained in all publications are solely those of the individual author(s) and contributor(s) and not of MDPI and/or the editor(s). MDPI and/or the editor(s) disclaim responsibility for any injury to people or property resulting from any ideas, methods, instructions or products referred to in the content. |
© 2023 by the authors. Licensee MDPI, Basel, Switzerland. This article is an open access article distributed under the terms and conditions of the Creative Commons Attribution (CC BY) license (https://creativecommons.org/licenses/by/4.0/).
Share and Cite
Pawluczuk, J.; Stępień, A. Dynamics of Organic Nitrogen Compound Mineralization in Organic Soils under Grassland, and the Mineral N Concentration in Groundwater (A Case Study of the Mazurian Lake District, Poland). Sustainability 2023, 15, 2639. https://doi.org/10.3390/su15032639
Pawluczuk J, Stępień A. Dynamics of Organic Nitrogen Compound Mineralization in Organic Soils under Grassland, and the Mineral N Concentration in Groundwater (A Case Study of the Mazurian Lake District, Poland). Sustainability. 2023; 15(3):2639. https://doi.org/10.3390/su15032639
Chicago/Turabian StylePawluczuk, Jan, and Arkadiusz Stępień. 2023. "Dynamics of Organic Nitrogen Compound Mineralization in Organic Soils under Grassland, and the Mineral N Concentration in Groundwater (A Case Study of the Mazurian Lake District, Poland)" Sustainability 15, no. 3: 2639. https://doi.org/10.3390/su15032639
APA StylePawluczuk, J., & Stępień, A. (2023). Dynamics of Organic Nitrogen Compound Mineralization in Organic Soils under Grassland, and the Mineral N Concentration in Groundwater (A Case Study of the Mazurian Lake District, Poland). Sustainability, 15(3), 2639. https://doi.org/10.3390/su15032639

