Energy Budget, Water Quality Parameters and Primary Production Modeling in Lake Volvi in Northern Greece
Abstract
1. Introduction
2. Material and Methods
2.1. Site Description
2.2. Water Surface Energy Budget
2.3. Mathematical Modeling
2.3.1. Lake Water Temperature Modeling
2.3.2. Water Quality Parameters Modeling
2.4. Results Evaluation
2.5. Data for Simulations
3. Results and Discussion
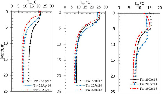
3.1. Water Temperature Simulation
3.2. Phytoplankton in the Lake
3.3. Phosphorus in the Lake
3.4. Dissolved Oxygen Simulation
3.5. Discussion
4. Conclusions
Author Contributions
Funding
Institutional Review Board Statement
Informed Consent Statement
Data Availability Statement
Acknowledgments
Conflicts of Interest
References
- Chou, Q.; Nielsen, A.; Andersen, T.K.; Hu, F.; Chen, W.; Levi Ni, T.C.; Søndergaard, M.; Johansson, L.S.; Jeppesen, E.; Trolle, D. The impacts of extreme climate on summer-stratified temperate lakes: Lake Søholm, Denmark, as an example. Hydrobiologia 2021, 848, 3521–3537. [Google Scholar] [CrossRef]
- Kumar, A.; Mishra, S.; Bakshi, S.; Upadhyay, P.; Kumar-Thakur, T. Response of eutrophication and water quality drivers on greenhouse gas emissions in lakes of China: A critical analysis. Ecohydrology 2022, 16, e2483. [Google Scholar] [CrossRef]
- Malyan, S.K.; Singh, O.; Kumar, A.; Anand, G.; Singh, R.; Singh, S.; Yu, Z.; Kumar, J.; Fagodiya, R.K.; Kumar, A. Greenhouse Gases Trade-Off from Ponds: An Overview of Emission Process and Their Driving Factors. Water 2022, 14, 970. [Google Scholar] [CrossRef]
- Dake, J.M.K.; Harleman, D.R.F. Thermal stratification in Lakes-Analytical and Laboratory studies. Water Resour. Res. 1969, 5, 484–495. [Google Scholar] [CrossRef]
- Babajimopoulos, C.; Papadopoulos, F. Mathematical prediction of thermal stratification of Lake Ostrovo (Vegoritis), Greece. Water Resour. Res. 1986, 22, 1590–1596. [Google Scholar] [CrossRef]
- Hostetler, S.W.; Bartlein, P.J. Simulation of lake evaporation with application to modeling lake level variations of Harney-Malheur lake, Oregon. Water Resour. Res. 1990, 26, 2603–2612. [Google Scholar]
- Polli, B.A.; Bleninger, T. Reservoir 1D heat transport model. J. Applied Water Eng. Res. 2019, 7, 156–171. [Google Scholar] [CrossRef]
- Saloranta, T.M.; Andersen, T. MyLake—A multi-year lake simulation model code suitable for uncertainty and sensitivity analysis simulations. Ecol. Model. 2007, 207, 45–60. [Google Scholar] [CrossRef]
- Bonnet, M.-P.; Poulin, M. DyLEM-1D: A 1D physical and biochemical model for planktonic succession, nutrients and dissolved oxygen cycling. Application to a hyper-eutrophic reservoir. Ecol. Model. 2004, 180, 317–344. [Google Scholar] [CrossRef]
- Arhonditsis, G.B.; Brett, M.T. Eutrophication model for Lake Washington (USA) Part I. Model description and sensitivity analysis. Ecol. Model. 2005, 187, 140–178. [Google Scholar] [CrossRef]
- Wool, T.; Ambrose, R.; Martin, J.; Comer, E. Draft: User’s Manual for Water Quality Analysis Simulation Program (WASP)—Version 6.0; USEPA: Atlanta, GA, USA, 2002. [Google Scholar]
- Hipsey, M.R.; Romero, J.R.; Antenucci, J.P.; Hamilton, D.P. The Computational Aquatic Ecosystem Dynamics Model (CAEDYM): v3.2 Science Manual; Technical Report; Centre for Water Research University of Western Australia: Perth, Australia, 2006. [Google Scholar]
- Gal, G.; Imberger, J.; Zohary, T.; Antenucci, J.; Anis, A.; Rosenberg, T. Simulating the thermal dynamics of Lake Kinneret. Ecol. Model. 2003, 162, 69–86. [Google Scholar] [CrossRef]
- Hamilton, D.; Schladow, D. Prediction of water quality in lakes and reservoirs. Part I—Model description. Ecol. Model. 1997, 96, 91–110. [Google Scholar] [CrossRef]
- Cole, T.M.; Wells, S.A. CE-QUAL-W2: A Two-Dimensional, Laterally Averaged, Hydrodynamic and Water Quality Model, Version 3.0.; Technical Report; US Army Engineering and Research Development Center: Vicksburgh, MS, USA, 2000. [Google Scholar]
- U.S. Army Corps of Engineers (USACE). CE-QUAL-R1: A Numerical One Dimensional Model of Reservoir Water Quality. User’s Manual; Instruction Report E-82–1; U.S. Army Corps of Engineers Waterways Experiment Station: Vicksburg, MS, USA, 1995. [Google Scholar]
- Mi, C.; Shatwell, T.; Ma, J.; Wentzky, V.-C.; Boehrer, B.; Xu, Y.; Rinke, K. The formation of a metalimnetic oxygen minimum exemplifies how ecosystem dynamics shape biogeochemical processes: A modelling study. Water Res. 2020, 175, 115701. [Google Scholar] [CrossRef]
- Edlund, M.B.; Almendinger, J.E.; Fang, X.; Ramstack Hobbs, J.M.; Vander Meulen, D.D.; Key, R.L.; Engstrom, D.R. Effects of Climate Change on Lake Thermal Structure and Biotic Response in Northern Wilderness Lakes. Water 2017, 9, 678. [Google Scholar] [CrossRef]
- Xu, R.; Pang, Y.; Hu, Z.; Hu, X. The Spatiotemporal Characteristics of Water Quality and Main Controlling Factors of Algal Blooms in Tai Lake, China. Sustainability 2022, 14, 5710. [Google Scholar] [CrossRef]
- Antonopoulos, V.Z.; Gianniou, S.K. Simulation of water temperature and dissolved oxygen distribution in Lake Vegoritis, Greece. Ecol. Model. 2003, 160, 39–53. [Google Scholar] [CrossRef]
- Gianniou, S.K.; Antonopoulos, V.Z. Evaporation and energy budget in Lake Vegoritis, Greece. J. Hydrol. 2007, 345, 212–223. [Google Scholar] [CrossRef]
- Gianniou, S.K.; Antonopoulos, V.Z. Primary production and phosphorus modeling in Lake Vegoritis, Greece. Adv. Oceano. Limnol. 2014, 5, 18–40. [Google Scholar] [CrossRef]
- Andreadakis, A.; Noutsopoulos, C.; Gavalaki, E. Assessment of the water quality of lake Plastira through mathematical modelling for alternative management scenarios. Glob. Nest Int. J. 2003, 5, 99–105. [Google Scholar]
- Gikas, G.D.; Yiannakopoulou, T.; Tsihrintzis, V.A. Water quality trends in a lagoon impacted by non-point source pollution after implementation of protective measures. Hydrobiologia 2006, 563, 385–406. [Google Scholar] [CrossRef]
- Markou, D.A.; Sylaios, G.K.; Tsihrintzis, V.A.; Gikas, G.D.; Haralambidou, K. Water quality of Vistonis lagoon, Northern Greece: Seasonal variation and impact of bottom sediments. Desalination 2007, 210, 83–97. [Google Scholar] [CrossRef]
- Petriki, O.; Zervas, D.; Doulgeris, C.; Bobori, D. Assessing the Ecological Water Level: The Case of Four Mediterranean Lakes. Water 2020, 12, 2977. [Google Scholar] [CrossRef]
- Skoulikidis, N.; Kaberi, H.; Sakellariou, D. Patterns, origin and possible effects of sediment pollution in a Mediterranean lake. Hydrobiologia 2008, 613, 71–83. [Google Scholar] [CrossRef]
- Mellios, N.; Kofinas, D.; Laspidou, C.; Papadimitriou, T. Mathematical modeling of trophic state and nutrient flows of lake Karla using the PCLake model. Environ. Process. 2015, 2, S85–S100. [Google Scholar] [CrossRef]
- Doulgeris, C.; Georgiou, P.; Papadimos, D.; Papamichail, D. Ecosystem approach to water resources management using the MIKE 1 modeling system in the Strymonas River and Lake Kerkini. J. Environ. Manag. 2012, 94, 132–143. [Google Scholar] [CrossRef]
- Antonopoulos, V.Z.; Gianniou, S.K.; Antonopoulos, A.V. Artificial neural networks and empirical equations to estimate daily evaporation: Application to Lake Vegoritis, Greece. Hydrol. Sci. J. 2016, 61, 2590–2599. [Google Scholar] [CrossRef]
- Zhang, J.; Zhao, L.; Deng, S.; Xu, W.; Zhang, Y. A critical review of the models used to estimate solar radiation. Renew. Sustain. Energy Rev. 2017, 70, 314–329. [Google Scholar] [CrossRef]
- Antonopoulos, V.Z.; Gianniou, S.K. Analysis and Modelling of Temperature at the Water—Atmosphere Interface of a Lake by Energy Budget and ANNs Models. Environ. Processes 2022, 9, 15. [Google Scholar] [CrossRef]
- Heddam, S.; Ptak, M.; Zhu, S. Modelling of daily lake surface water temperature from air temperature: Extremely randomized trees (ERT) versus Air2Water, MARS, M5Tree, RF and MLPNN. J. Hydrol. 2020, 588, 125130. [Google Scholar] [CrossRef]
- Li, X.; Sha, J.; Wang, Z.-L. Chlorophyll-a prediction of lakes with different water quality patterns in China based on hybrid neural networks. Water 2017, 9, 524. [Google Scholar] [CrossRef]
- Zhu, W.-D.; Qian, C.-Y.; He, N.-Y.; Kong, Y.-X.; Zou, Z.-Y.; Li, Y.-W. Research on Chlorophyll-a Concentration Retrieval Based on BP Neural Network Model—Case Study of Dianshan Lake, China. Sustainability 2022, 14, 8894. [Google Scholar] [CrossRef]
- Alexandridis, T.K.; Takavakoglou, V.; Crisman, T.L.; Zalidis, G.C. Remote Sensing and GIS Techniques for Selecting a Sustainable Scenario for Lake Koronia, Greece. Environ. Manag. 2007, 39, 278–290. [Google Scholar] [CrossRef]
- HM-EE. Project Results on Water Monitoring Network; Hellenic Ministry of Environment and Energy: Athens, Greece, 2015. [Google Scholar]
- Ramsar Convention Bureau. Criteria for Identifying Wetlands of International Importance. Annexes to Recommendation 4.2, Montreaux, Switzerland, 1990, and Resolution V1–2, Brisbane, Australia, 1996; Ramsar Convention Bureau: Gland, Switzerland, 1996. [Google Scholar]
- Bowie, G.; Mills, W.; Porcella, D.; Campbell, C.; Pagenkopf, J.; Rupp, G.; Johnson, K.; Chan, P.; Gherini, S. Rates, constants and kinetics formulations in surface water quality modelling. EPA 1985, 600, 3–85. [Google Scholar]
- Sturrock, A.; Winter, T.; Rosenberry, D. Energy budget evaporation from Williams Lake: A closed lake in north central Minnesota. Water Resour. Res. 1992, 28, 1605–1617. [Google Scholar] [CrossRef]
- Henderson-Sellers, B. Engineering Limnology; Pitman Publishing: London, UK, 1984. [Google Scholar]
- Chapra, S. Surface Water-Quality Modeling; McGraw-Hill: New York, NY, USA, 1997. [Google Scholar]
- Sundaram, T.R.; Rehm, R.G. The seasonal thermal structure of deep temperate lakes. Tellus 1973, 25, 157–168. [Google Scholar] [CrossRef]
- Hutchinson, G.A. Treatise on Limnology. Geography, Physics and Chemistry; Wiley: New York, NY, USA, 1975; Volume 1. [Google Scholar]
- Omlin, M.; Reichert, P.; Forster, R. Biogeochemical model of Lake Zürich: Model equations and results. Ecol. Model. 2001, 141, 77–103. [Google Scholar] [CrossRef]
- Riley, M.; Stefan, H. MINLAKE: A dynamic lake water quality simulation model. Ecol. Model. 1988, 43, 155–182. [Google Scholar] [CrossRef]
- Chen, C.; Ji, R.; Schwab, D.; Beletsky, D.; Fahnenstiel, G.; Jiang, M.; Johengen, T.; Vanderploeg, H.; Eadie, B.; Wells Budd, J.; et al. A model study of the coupled biological and physical dynamics in Lake Michigan. Ecol. Model. 2002, 152, 145–168. [Google Scholar] [CrossRef]
- Walters, R. A time-and depth-dependent model for physical, chemical and biological cycles in temperate lakes. Ecol. Model. 1980, 8, 79–96. [Google Scholar] [CrossRef]
- Loague, K.; Green, R.E. Statistical and graphical methods for evaluating solute transport models: Overview and application. J. Contam. Hydrol. 1991, 7, 51–73. [Google Scholar] [CrossRef]
- Antonopoulos, V.Z.; Papamichail, D.M.; Aschonitis, V.G.; Antonopoulos, A.V. Solar radiation estimation methods using ANN and empirical models. Comput. Electron. Agric. 2019, 160, 160–167. [Google Scholar] [CrossRef]
- Kolokytha, E.; Malamataris, D. Integrated Water Management Approach for Adaptation to Climate Change in Highly Water Stressed Basins. Water Resour. Manag. 2020, 34, 1173–1197. [Google Scholar] [CrossRef]
- Kaiserli, A.; Voutsa, D.; Samara, C. Phosphorus fractionation in lake sediments—Lakes Volvi and Koronia, N. Greece. Chemosphere 2002, 46, 1147–1155. [Google Scholar] [CrossRef] [PubMed]
- Gantidis, N.; Pervolarakis, M.; Fytianos, K. Assessment of the quality characteristics of two lakes (Koronia and Volvi) of N. Greece. Environ. Monit. Assess. 2007, 125, 175–181. [Google Scholar] [CrossRef]
- Kastridis, A.; Kamperidou, V. Influence of land use changes on alleviation of Volvi Lake wetland (North Greece). Soil Water Res. 2015, 10, 121–129. [Google Scholar] [CrossRef]
- Petaloti, C.; Voutsa, D.; Samara, C.; Sofoniou, M.; Stratis, I.; Kouimtzis, T. Nutrient Dynamics in Shallow Lakes of Northern Greece. Env. Sci Pollut Res. 2004, 11, 11–17. [Google Scholar] [CrossRef]
- HM-RDF. Chemical Water Quality Monitoring of Irrigation Water (Surface and Groundwater) at River Runoff Basins of Macedonia-Thrace and Thessalia Areas; Technical Report of Project Metro 125A1 of PAA 2007–2013; Hellenic Ministry of Rural Development and Foods: Athens, Greece, 2015. [Google Scholar]
- Di Toro, D.; Connolly, J. Mathematical models of water quality in large lakes. Part 2: Lake Erie. U.S. Environmental Protection Agency, Environmental Research Laboratory, Office of Research and Development, Minnesota. EPA 1980, 600, 231. [Google Scholar]
- Romero, J.; Antenucci, J.; Imberger, J. One- and three-dimensional biogeochemical simulations of two differing reservoirs. Ecol. Model. 2004, 174, 143–160. [Google Scholar] [CrossRef]
- Schladow, G.; Hamilton, D. Prediction of water quality in lakes and reservoirs: Part II—Model calibration, sensitivity analysis and application. Ecol. Model. 1997, 96, 111–123. [Google Scholar] [CrossRef]
- Stefan, H.; Fang, X. Dissolved oxygen model for regional lake analysis. Ecol. Model. 1994, 71, 37–68. [Google Scholar] [CrossRef]
- Stefan, H.G.; Fang, X.; Hondozo, M. Simulated climate chnage effects on year-round water temperatures in temperate lakes. Clim. Change 1998, 40, 547–576. [Google Scholar] [CrossRef]
- Thomann, R.; Mueller, J. Principles of Surface Water Quality Modeling and Control; Harper and Row Publishers: New York, NY, USA, 1987. [Google Scholar]
- Zhang, J.; Jørgensen, S.; Mahler, H. Examination of structurally dynamic eutrophication model. Ecol. Model. 2004, 173, 313–333. [Google Scholar] [CrossRef]
- Stefan, H.G.; Hondozo, M.; Fang, X. Lake water quality modeling for projected future climate scenarios. J. Enviro. Quality. 1993, 22, 417–431. [Google Scholar] [CrossRef]
- Arhonditsis, G.B.; Winder, M.; Brett, M.T.; Schindler, D.E. Patterns and mechanisms of phytoplankton variability in Lake Washington (USA). Water Res. 2004, 38, 4013–4027. [Google Scholar] [CrossRef]
- Trolle, D.; Skovgaard, H.; Jeppesen, E. The Water Framework Directive: Setting the phosphorus loading target for a deep lake in Denmark using the 1D lake ecosystem model DYRESM-CAEDYM. Ecol. Model. 2008, 219, 138–152. [Google Scholar] [CrossRef]
- McDonald, C.P.; Bennington, V.; Urban, N.R.; McKinley, G.A. 1-D test-bed calibration of a 3-D Lake Superior biochemical model. Ecol. Model. 2012, 225, 115–126. [Google Scholar] [CrossRef]
- Moustaka-Gouni, M.; Nikolaidis, G. Phytoplankton of a warm monomictic lake—Lake Vegoritis, Greece. Arch. Fur Hydrobiol. 1990, 199, 299–313. [Google Scholar] [CrossRef]
- Huang, J.; Gao, J.; Hormann, G. Hydrodynamic-phytoplankton model for short-term forecasts of phytoplankton in Lake Taihu, China. Limnologica 2012, 42, 7–18. [Google Scholar] [CrossRef]
- Antonopoulos, V.Z.; Gianniou, S.K. Lake Vegoritis in Greece: A Paradigm of Climate Change and Mismanagement Effects on Its Quantity and Quality Characteristics. In Proceedings of the EWRA 7th International Conference: Water Resources Conservancy and Risk Reduction Under Climatic Uncertainty, Limassol, Cyprus, 25–27 June 2009; pp. 273–280. [Google Scholar]
- Komatsu, E.; Fukushima, T.; Harasawa, H.A. Modeling approach to forecast the effect of long-term climate change on lake water quality. Ecol. Model. 2007, 209, 351–366. [Google Scholar] [CrossRef]















| Tave, °C | RHave, % | Rainfall, mm | u2, m s−1 | Rs, MJ m−2day−1 | ||
|---|---|---|---|---|---|---|
| 2013 | Ave | 15.48 | 75.5 | 420.60 | 0.624 | 15.04 | 
| Max | 29.3 | 97 | 25.8 | 2.641 | 28.37 | |
| Min | −2.5 | 44 | 0 | 0.000 | 0.76 | |
| 2014 | Ave | 15.68 | 75.5 | 914.70 | 0.827 | 14.08 | 
| Max | 29.1 | 97 | 118 | 3.420 | 29.19 | |
| Min | −2.5 | 44 | 0 | 0.000 | 0.01 | |
| 2015 | Ave | 14.37 | 71.5 | 573.60 | 0.463 | 15.29 | 
| Max | 28.8 | 98 | 59.6 | 4.222 | 27.2 | |
| Min | −4.1 | 47 | 0 | 0.000 | 0.31 | |
| 2013–2019 | Ave | 15.01 | 71.77 | 539.33 | 0.372 | 15.54 | 
| Max | 30.4 | 98 | 1024.7 | 3.683 | 30.02 | |
| Min | −8.3 | 39.5 | 396.6 | 0.000 | 0.01 | 
| 1999–2000 | 2010–2012 | 1999–2000 | 2010–2012 | |
|---|---|---|---|---|
| Surface Water | Bottom Water | |||
| DO, mg L−1 | 8.2 to 9.8 | 8.5 to 10.4 | 6.0 to 6.4 | 2.1 to 5.1 | 
| P2O5, mg L−1 | 0.15 to 0.19 | 0.13 to 0.15 | 0.19 to 0.29 | 0.08 to 0.15 | 
| Inor N, mg L−1 | 0.10 to 0.98 | 0.11 to 0.39 | 0.17 | 0.49 | 
| Symbol | Constants and Coefficients | Value | Units | Equation | 
|---|---|---|---|---|
| βs | fraction of net short-wave radiation absorbed at the water surface | 0.35 | (8) | |
| η | extinction coefficient for solar radiation | 0.60 | 1/m | (8) | 
| σ | constant in relation to turbulent diffusion coefficient and Richardson number | 0.012 | (8) | |
| n | constant as σ | 0.95 | (9) | |
| c2 | constant in relation to reference value of turbulent diffusion coefficient and friction velocity | 0.08 | (9) | |
| Phosphorus | ||||
| apc | phosphorus to chlorophyll-α concentration ratio | 0.5 | mg P mg−1 Chlα | ((11),(12)) | 
| kmin | mineralization constant | 0.01–0.02 | day−1 | ((11),(12)) | 
| kmchl | Michaelis–Menten constant for the mineralization of OP | 25.0 | mg Chlα m−3 | ((11),(12)) | 
| kSDp | release rate of SRP from the sediments | 0.5 | mg SP m−2 day−1 | |
| KDOSD | Michaelis–Menten constant for the release of SRP from the sediments in relation to the DO concentration | 0.05 | g DO m−3 | |
| wsop | vertical velocity of organic phosphorus sedimentation | 0.005 | m day−1 | (12) | 
| Phytoplankton | ||||
| PHmax | maximum growth rate of phytoplankton | 1.5 | day−1 | ((11),(13)) | 
| qopt | optimal light intensity level | 2.95 | MJ m−2 day−1 | ((11),(13)) | 
| Kp | Michaelis–Menten constants for phosphorus | 4 | mg P m−3 | ((11),(13)) | 
| kr | coefficient of respiration loss of phytoplankton | 0.07 | day−1 | ((11),(13)) | 
| kmtot | coefficient of mortality loss (including grazing) of phytoplankton | 0.05 | day−1 | (13) | 
| ws | vertical velocity of phytoplankton sedimentation (sinking velocity) | 0.005 | m day−1 | (13) | 
| Rs | Ra | Rbr | LE | H | Qt | E, mm day−1 | ||
|---|---|---|---|---|---|---|---|---|
| 2013 | Ave | 15.11 | 28.64 | 33.82 | 7.53 | 0.79 | −0.32 | 3.07 | 
| Max | 28.39 | 36.11 | 39.39 | 23.90 | 6.05 | 11.11 | 9.73 | |
| Min | 2.62 | 12.27 | 28.70 | −3.23 | −10.17 | −17.54 | −1.31 | |
| 2014 | Ave | 14.26 | 28.94 | 33.62 | 7.16 | 0.53 | 0.03 | 2.92 | 
| Max | 29.20 | 35.60 | 38.75 | 27.88 | 9.54 | 8.79 | 11.36 | |
| Min | 1.86 | 21.15 | 28.49 | −7.51 | −8.02 | −23.34 | −3.06 | |
| 2015 | Ave | 15.26 | 27.88 | 33.10 | 7.60 | 0.76 | −0.21 | 3.10 | 
| Max | 27.22 | 35.17 | 38.88 | 24.15 | 7.49 | 12.59 | 9.84 | |
| Min | 2.55 | 19.10 | 27.31 | −5.13 | −8.71 | −17.99 | −2.09 | |
| 2013–2015 | Ave | 14.88 | 28.49 | 33.51 | 7.43 | 0.69 | −0.17 | 3.03 | 
| Max | 29.20 | 36.11 | 39.39 | 27.88 | 9.54 | 12.59 | 11.36 | |
| Min | 1.86 | 12.27 | 27.31 | −7.51 | −10.17 | −23.34 | −3.06 | 
| Ta, °C | OP (0 m), mg m−3 | SRP (0 m), mg m−3 | Chlα (0 m), mg m−3 | Tw (2m), °C | DO (2 m), mg L−1 | Average SRP, mg m−3 | Average Chlα, mg m−3 | |
|---|---|---|---|---|---|---|---|---|
| Ave2013 | 15.48 | 3.59 | 1.05 | 12.36 | 16.76 | 8.90 | 0.52 | 3.39 | 
| Max2013 | 29.30 | 4.27 | 2.27 | 31.46 | 27.51 | 12.29 | 0.71 | 7.86 | 
| Min2013 | −2.50 | 2.32 | 0.44 | 5.85 | 6.47 | 6.67 | 0.42 | 1.31 | 
| Ave2014 | 15.68 | 5.01 | 1.13 | 17.96 | 16.44 | 9.12 | 0.54 | 4.22 | 
| Max2014 | 29.10 | 5.75 | 3.18 | 40.82 | 27.04 | 12.32 | 0.79 | 8.70 | 
| Min2014 | −2.50 | 3.62 | 0.44 | 6.15 | 6.74 | 6.75 | 0.44 | 1.63 | 
| Ave2015 | 14.24 | 5.72 | 1.53 | 21.92 | 14.75 | 10.57 | 0.67 | 5.71 | 
| Max2015 | 28.80 | 6.27 | 6.58 | 42.41 | 25.34 | 13.18 | 0.86 | 11.28 | 
| Min2015 | −4.10 | 5.19 | 0.47 | 8.67 | 5.20 | 7.34 | 0.57 | 3.16 | 
| ave2013–2015 | 15.13 | 4.77 | 1.23 | 17.41 | 15.99 | 9.53 | 0.58 | 4.44 | 
| max2013–2015 | 29.30 | 6.27 | 6.58 | 42.41 | 27.51 | 13.18 | 0.86 | 11.28 | 
| min2013–2015 | −4.10 | 2.32 | 0.44 | 5.85 | 5.20 | 6.67 | 0.42 | 1.31 | 
| Disclaimer/Publisher’s Note: The statements, opinions and data contained in all publications are solely those of the individual author(s) and contributor(s) and not of MDPI and/or the editor(s). MDPI and/or the editor(s) disclaim responsibility for any injury to people or property resulting from any ideas, methods, instructions or products referred to in the content. | 
© 2023 by the authors. Licensee MDPI, Basel, Switzerland. This article is an open access article distributed under the terms and conditions of the Creative Commons Attribution (CC BY) license (https://creativecommons.org/licenses/by/4.0/).
Share and Cite
Antonopoulos, V.Z.; Gianniou, S.K. Energy Budget, Water Quality Parameters and Primary Production Modeling in Lake Volvi in Northern Greece. Sustainability 2023, 15, 2505. https://doi.org/10.3390/su15032505
Antonopoulos VZ, Gianniou SK. Energy Budget, Water Quality Parameters and Primary Production Modeling in Lake Volvi in Northern Greece. Sustainability. 2023; 15(3):2505. https://doi.org/10.3390/su15032505
Chicago/Turabian StyleAntonopoulos, Vassilis Z., and Soultana K. Gianniou. 2023. "Energy Budget, Water Quality Parameters and Primary Production Modeling in Lake Volvi in Northern Greece" Sustainability 15, no. 3: 2505. https://doi.org/10.3390/su15032505
APA StyleAntonopoulos, V. Z., & Gianniou, S. K. (2023). Energy Budget, Water Quality Parameters and Primary Production Modeling in Lake Volvi in Northern Greece. Sustainability, 15(3), 2505. https://doi.org/10.3390/su15032505
 
        



 
       