Not a Good Place to Live for Most, but Excellent for a Few—Diversity of Zooplankton in a Shallow Coastal Ecosystem
Abstract
1. Introduction
2. Materials and Methods
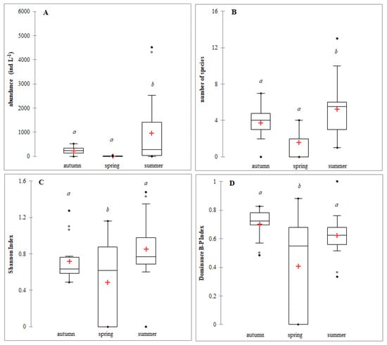
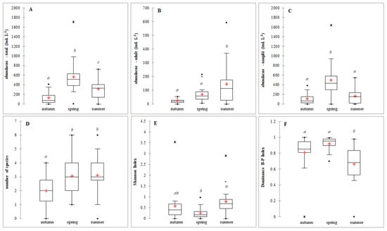
3. Results
4. Discussion
Author Contributions
Funding
Institutional Review Board Statement
Informed Consent Statement
Data Availability Statement
Conflicts of Interest
References
- Cognetti, G.; Maltagliati, F. Biodiversity and adaptive mechanisms in brackish water fauna. Mar. Pollut. Bull. 2000, 40, 7–14. [Google Scholar] [CrossRef]
- Paturej, E.; Gutkowska, A. The effect of salinity levels on the structure of zooplankton communities. Arch. Biol. Sci. 2015, 67, 483–492. [Google Scholar] [CrossRef]
- Vilas-Boas, J.A.; Arenas-Sánchez, A.; Vighi, M.; Romo, S.; Van den Brink, P.J.; Pedroso Dias, R.J.; Rico, A. Multiple stressors in Mediterranean coastal wetland ecosystems: Influence of salinity and an insecticide on zooplankton communities under different temperature conditions. Chemosphere 2021, 269, 129381. [Google Scholar] [CrossRef] [PubMed]
- Wooldridge, T.H.; Deyzel, S.H.P. Temperature and salinity as abiotic drivers of zooplankton community dynamics in the Great Berg Estuary. Trans. R. Soc. S. Afr. 2009, 62, 219–237. [Google Scholar] [CrossRef]
- Aladin, N.V. Salinity tolerance and morphology of the osmoregulation organs in Cladocera with special reference to Cladocera from the Aral Sea. Hydrobiologia 1991, 225, 291–299. [Google Scholar] [CrossRef]
- Frey, D.G. The penetration of cladocerans into saline waters. Hydrobiologia 1993, 267, 233–248. [Google Scholar] [CrossRef]
- Remane, A.; Schlieper, C. Biology of brackish waters. Binnengewässer 1972, 25, 1–372. [Google Scholar]
- Ojaveer, H.; Jaanus, A.; MacKenzie, B.; Martin, G.; Olenin, S.; Radziejewska, T.; Telesh, I.; Zettler, M.L.; Zaiko, A. Status of biodiversity in the Baltic Sea. PLoS ONE 2010, 5, e12467. [Google Scholar] [CrossRef]
- Tunowski, J. Zooplankton structure in heated lakes with differing thermal regimes and water retention. Arch. Pol. Fish. 2009, 17, 291–303. [Google Scholar] [CrossRef]
- Paturej, E.; Gutkowska, A.; Koszałka, J.; Bowszys, M. Effect of physicochemical parameters on zooplankton in the brackish, coastal Vistula Lagoon. Oceanologia 2017, 59, 49–56. [Google Scholar] [CrossRef]
- Zettler, E.R.; Carter, J.C.H. Zooplankton community and species responses to a natural turbidity gradient in Lake Temiskaming, Ontario-Quebec. Can. J. Fish. Aquat. Sci. 1986, 43, 665–673. [Google Scholar] [CrossRef]
- Goździejewska, A.M.; Kruk, M. Zooplankton network conditioned by turbidity gradient in small anthropogenic reservoirs. Sci. Rep. 2022, 12, 3938. [Google Scholar] [CrossRef]
- APHA. Standard Methods for the Examination of Water and Wastewater, 20th ed.; American Public Health Association: Washington, DC, USA, 1999. [Google Scholar]
- Paaijmans, K.P.; Takken, W.; Githeko, A.K.; Jacobs, A.F.G. The effect of water turbidity on the near-surface water temperature of larval habitats of the malaria mosquito Anopheles gambiae. Int. J. Biometeorol. 2008, 52, 747–753. [Google Scholar] [CrossRef]
- Kirk, K.L.; Gilbert, J.J. Suspended clay and the population dynamics of planktonic rotifers and cladocerans. Ecology 1990, 71, 1741–1755. [Google Scholar] [CrossRef]
- Kirk, K.L. Effects of suspended clay on Daphnia body growth and fitness. Freshw. Biol. 1992, 28, 103–109. [Google Scholar] [CrossRef]
- Levine, S.N.; Zehrer, R.F.; Burns, C.W. Impact of resuspended sediment on zooplankton feeding in Lake Waihola, New Zealand. Freshw. Biol. 2005, 50, 1515–1536. [Google Scholar] [CrossRef]
- Paturej, E.; Kruk, M. The impact of environmental factors on zooplankton communities in the Vistula Lagoon. Oceanol. Hydrobiol. Stud. 2011, 40, 37–48. [Google Scholar] [CrossRef]
- Kornijów, R. Ecosystem of the Polish part of the Vistula Lagoon from the perspective of alternative stable states concept, with implications for management issues. Oceanologia 2018, 60, 390–404. [Google Scholar] [CrossRef]
- Różańska, Z. Zooplankton of the Vistula Lagoon. Zesz. Nauk. Wyższej Szkoły Rol. W Olszt. 1963, 16, 41–57. (In Polish) [Google Scholar]
- Adamkiewicz-Chojnacka, B. Dynamics of the Vistula Lagoon zooplankton numbers. Oceanologia 1983, 16, 97–132. [Google Scholar]
- Paturej, E.; Gutkowska, A.; Mierzejewska, J. Long-term quantitative and qualitative changes in the zooplankton community of the Vistula Lagoon. J. Coast. Res. 2014, 30, 337–343. [Google Scholar] [CrossRef]
- Kornijów, R.; Karpowicz, M.; Ejsmont-Karabin, J.; Nawrocka, L.; de Eyto, E.; Grzonkowski, K.; Magnuszewski, A.; Jakubowska, A.; Wodzinowski, T.; Woźniczka, A. Patchy distribution of phyto- and zooplankton in large and shallow lagoon under ice cover and resulting trophic interactions. Mar. Freshw. Res. 2020, 71, 1327–1341. [Google Scholar] [CrossRef]
- Kownacka, J.; Całkiewicz, J.; Kornijów, R. A turning point in the development of phytoplankton in the Vistula Lagoon (southern Baltic Sea) at the beginning of the 21st century. Oceanologia 2020, 62, 538–555. [Google Scholar] [CrossRef]
- Nawrocka, L.; Kobos, J. The trophic state of the Vistula Lagoon: An assessment based on selected biotic and abiotic parameters according to the Water Framework Directive. Oceanologia 2011, 53, 881–894. [Google Scholar] [CrossRef]
- Chubarenko, B.V.; Leitsina, L.V.; Esiukova, E.E.; Kurennoy, D.N. Model analysis of the currents and wind waves in the Vistula Lagoon of the Baltic Sea. Oceanology 2012, 52, 748–753. [Google Scholar] [CrossRef]
- Błędzki, L.A.; Rybak, J.I. Freshwater Crustacean Zooplankton of Europe; Springer: Cham, Switzerland, 2016; 918p. [Google Scholar]
- Ejsmont-Karabin, J. Empirical equations for biomass calculation of planktonic rotifers. Pol. Arch. Hydrobiol. 1998, 45, 513–522. [Google Scholar]
- McAleece, N.; Gage, J.D.G.; Lambshead, P.J.D.; Paterson, G.L.J. BioDiversity Professional Statistics Analysis Software; Publishing Physics Web: Bristol, UK, 1997. [Google Scholar]
- Dumont, H.J.; Segers, H. Estimating lacustrine zooplankton species richness and complementarity. Hydrobiologia 1996, 341, 125–132. [Google Scholar] [CrossRef]
- Brucet, S.; Boix, D.; Gascón, S.; Sala, J.; Quintana, X.; Badosa, A.; Søndergaard, M.; Lauridsen, T.L.; Jeppesen, E. Species richness of crustacean zooplankton and trophic structure of brackish lagoons in contrasting climate zones: North temperate Denmark and Mediterranean Catalonia (Spain). Ecography 2009, 32, 692–702. [Google Scholar] [CrossRef]
- Alekseev, V.R. Confusing Invader: Acanthocyclops americanus (Copepoda: Cyclopoida) and Its Biological, Anthropogenic and Climate-Dependent Mechanisms of Rapid Distribution in Eurasia. Water 2021, 13, 1423. [Google Scholar] [CrossRef]
- Szymczak, E. Characteristics of Sediments in a Changing Environmental Conditions in Vistula Lagoon (Poland). IOP Conf. Ser. Earth Environ. Sci. 2019, 362, 012048. [Google Scholar] [CrossRef]
- Arruda, J.A.; Marzolf, G.R.; Faulk, R.T. The role of suspended sediments in the nutrition of zooplankton in turbid reservoirs. Ecology 1983, 65, 1225–1235. [Google Scholar] [CrossRef]
- McCabe, G.D.; O’Brien, W.J. The effects of suspended silt on feeding and reproduction of Daphnia pulex. Am. Midl. Nat. 1983, 110, 324–337. [Google Scholar] [CrossRef]
- Gliwicz, Z.M. Suspended clay concentration controlled by filter-feeding zooplankton in a tropical reservoir. Nature 1986, 323, 330–332. [Google Scholar] [CrossRef]
- Hammer, U.T. Zooplankton distribution and abundance in saline lakes of Alberta and Saskatchewan, Canada. Int. J. Salt Lake Res. 1993, 2, 111–132. [Google Scholar] [CrossRef]
- Bielańska-Grajner, I.; Cudak, A. Effects of Salinity on Species Diversity of Rotifers in Anthropogenic Water Bodies. Pol. J. Environ. Stud. 2014, 23, 27–34. [Google Scholar]
- Wetzel, R.G. Limnology. Lake and River Ecosystems, 3rd ed.; Academic Press: San Diego, CA, USA, 2001; 1006p. [Google Scholar]
- Gilbert, J.J. Competition between rotifers and Daphnia. Ecology 1985, 66, 1943–1950. [Google Scholar] [CrossRef]
- Karpowicz, M.; Ejsmont-Karabin, J.; Więcko, A.; Górniak, A.; Cudowski, A. A place in space—The horizontal vs vertical factors that influence zooplankton (Rotifera, Crustacea) communities in a mesotrophic lake. J. Limnol. 2019, 78, 243–258. [Google Scholar] [CrossRef]
- Ejsmont-Karabin, J.; Gorelysheva, Z.; Kalinowska, K.; Weglenska, T. Role of Zooplankton (Ciliata, Rotifera and Crustacea) in phosphorus removal from cycling: Lakes of the river Jorka watershed (Masuria Lakeland, Poland). Pol. J. Ecol. 2004, 52, 275–284. [Google Scholar]
- Sługocki, Ł.; Rymaszewska, A.; Kirczuk, L. To fit or to belong: Characterization of the non-native invader Eurytemora carolleeae (Copepoda: Calanoida) in the Oder River system (Central Europe). Aquat. Invasions 2021, 16, 443–460. [Google Scholar] [CrossRef]
- Karlsson, K.; Winder, M. Adaptation potential of the copepod Eurytemora affinis to a future warmer Baltic Sea. Ecol. Evol. 2020, 10, 5135–5151. [Google Scholar] [CrossRef]
- Diekmann, A.B.S.; Clemmesen, C.; John, M.A.S.; Paulsen, M.; Peck, M.A. Environmental cues and constraints affecting the seasonality of dominant calanoid copepods in brackish, coastal waters: A case study of Acartia, Temora and Eurytemora species in the south-west Baltic. Mar. Biol. 2012, 159, 2399–2414. [Google Scholar] [CrossRef]
- Rajasilta, M.; Hänninen, J.; Vuorinen, I. Decreasing salinity improves the feeding conditions of the Baltic herring (Clupea harengus membras) during spring in the Bothnian Sea, northern Baltic. ICES Mar. Sci. Symp. 2014, 71, 1148–1152. [Google Scholar] [CrossRef]
- Hernroth, L.; Ackefors, H. The zooplankton of the Baltic Proper: A long-term investigation of the fauna, its biology and ecology. Rep. Inst. Mar. Res. Uddevalla 1979, 2, 1–60. [Google Scholar]
- Sellner, K.G.; Bundy, M.H. Preliminary results of experiments to determine the effects of suspended sediments on the estuarine copepod Eurytemora affinis. Cont. Shelf Res. 1987, 7, 1435–1438. [Google Scholar] [CrossRef]
- Gasparini, S.; Castel, J.; Irigoien, X. Impact of suspended particulate matter on egg production of the estuarine copepod, Eurytemora affinis. J. Mar. Syst. 1999, 22, 195–205. [Google Scholar] [CrossRef]
- Kimmel, D.G.; Bradley, B.P. Specific protein responses in the calanoid copepod Eurytemora affinis (Poppe, 1880) to salinity and temperature variation. J. Exp. Mar. Biol. Ecol. 2001, 266, 135–149. [Google Scholar] [CrossRef]
- Seuront, L. Effect of salinity on the swimming behaviour of the estuarine calanoid copepod Eurytemora affinis. J. Plankton Res. 2006, 28, 805–813. [Google Scholar] [CrossRef]
- Labuce, A.; Ikauniece, A.; Strāķe, S.; Souissi, A. Survey of Presence of Non-Indigenous Eurytemora carolleeae in the Gulf of Riga (Baltic Sea) Five Years After its First Discovery. Proc. Latv. Acad. Sci. 2018, 72, 230–235. [Google Scholar] [CrossRef]
- Sukhikh, N.; Souissi, A.; Souissi, S.; Holl, A.C.; Schizas, N.V.; Alekseev, V. Life in sympatry: Coexistence of native Eurytemora affinis and invasive Eurytemora carolleeae in the Gulf of Finland (Baltic Sea). Oceanologia 2019, 61, 227–238. [Google Scholar] [CrossRef]
- Semenova, A.S.; Tchougounov, V.K. The distribution of Moina micrura Kurz, 1875 (Crustacea: Moinidae) in the Russian part of the Vistula Lagoon (Baltic Sea). Russ. J. Biol. Invasions 2018, 9, 175–183. [Google Scholar] [CrossRef]
- Karpowicz, M.; Świsłocka, M.; Sługocki, Ł.; Czerniawski, R.; López, C.; Kornijów, R. Distribution of Diaphanosoma (Diplostraca: Sididae) genus in Central Europe—Morphological and molecular approach. Eur. Zool. J. 2022, 89, 1115–1128. [Google Scholar] [CrossRef]
- Korovchinsky, N.M.; Sanoamuang, L.-O. Overview of Sididae (Crustacea: Cladocera: Ctenopoda) of Northeast and East Thailand, with description of a new species of the genus Diaphanosoma. Zootaxa 2008, 1682, 45–61. [Google Scholar] [CrossRef]
- Lazareva, V.I.; Bolotov, S.E. Analysis of coexistence of the recent invader Diaphanosoma orghidani Negrea with the aboriginal species D. brachyurum (Lievin) (Crustacea, Cladocera) in the Rybinsk Reservoir. Russ. J. Biol. Invasions 2013, 4, 161–173. [Google Scholar] [CrossRef]
- Liu, P.; Xu, L.; Xu, S.-L.; Martínez, A.; Chen, H.; Cheng, D.; Dumont, H.J.; Han, B.-P.; Fontaneto, D. Species and hybrids in the genus Diaphanosoma Fischer, 1850 (Crustacea: Branchiopoda: Cladocera). Mol. Phylogenet. Evol. 2018, 118, 369–378. [Google Scholar] [CrossRef]
- Lazareva, V.I.; Bolotov, S.E. Peculiarities of the biology of two Diaphanosoma species (Crustacea, Cladocera) in Rybinsk Reservoir. Inland Water Biol. 2014, 7, 108–116. [Google Scholar] [CrossRef]
- Karpowicz, M.; Ejsmont-Karabin, J. Diversity and Structure of Pelagic Zooplankton (Crustacea, Rotifera) in NE Poland. Water 2021, 13, 456. [Google Scholar] [CrossRef]
- Weiler, W. Erstfund von Diaphanosoma orghidani Negrea 1982 (Crustacea: Sididae) für Deutschland und ihre Begleitarten [First record of Diaphanosoma orghidani Negrea 1982 (Crustacea: Sididae) in Germany and its companions]. Lauterbornia H 1997, 32, 73–77. [Google Scholar]
- Illyova, M.; Nemethova, D. Long-term changes in cladoceran assemblages in the Danube floodplain area (Slovak-Hungarian stretch). Limnologica 2005, 35, 274–282. [Google Scholar] [CrossRef]
- Alekseev, V.R.; Fefilova, E.; Dumont, H.J. Some noteworthy free-living copepods from surface freshwater in Belgium. Belg. J. Zool. 2002, 132, 133–139. [Google Scholar]
- Sahuquillo, M.; Miracle, M.R. The role of historic and climatic factors in the distribution of crustacean communities in Iberian Mediterranean ponds. Freshw. Biol. 2013, 58, 1251–1266. [Google Scholar] [CrossRef]
- Miracle, M.R.; Alekseev, V.R.; Monchenko, V.; Sentandreu, V.; Vicente, E. Molecular-genetic-based contribution to the taxonomy of the Acanthocyclops robustus group. J. Nat. Hist. 2013, 47, 863–888. [Google Scholar] [CrossRef]
- Anufriieva, E.; Hołyńska, M.; Shadrin, N. Current Invasions of Asian Cyclopid Species (Copepoda: Cyclopidae) in Crimea, with Taxonomical and Zoogeographical Remarks on the Hypersaline and Freshwater Fauna. Annal. Zool. 2014, 64, 109–130. [Google Scholar] [CrossRef]
- Karabin, A.; Ejsmont-Karabin, J. Zespoły zooplanktonu jezior Suwalskiego Parku Krajobrazowego (Zooplankton communities in the lakes of Suwałki Lanscape Park). In Jeziora Suwalskiego Parku Krajobrazowego; Hillbricht-Ilkowska, A., Wisniewski, R.J., Eds.; Zesz Nauk Komitetu Człowiek i Środowisko, PAN: Warsaw, Poland, 1994; Volume 7, pp. 215–242. (In Polish) [Google Scholar]
- Karpowicz, M. Biodiversity of microcrustaceans (Cladocera, Copepoda) in a lowland river ecosystem. J. Limnol. 2017, 76, 15–22. [Google Scholar] [CrossRef]
- Ejsmont-Karabin, J.; Kalinowska, K.; Karpowicz, M. Structure of ciliate, rotifer, and crustacean communities in lake systems of Northeastern Poland. In Polish River Basins and Lakes—Part II; Springer: Cham, Switzerland, 2020; Volume 87, pp. 77–101. [Google Scholar] [CrossRef]
- Bláha, M. Descriptions of copepodid and adult Acanthocyclops trajani (Mirabdullayev Defaye 2002) and A. einslei (Mirabdullayev Defaye 2004) (Copepoda: Cyclopoida) with notes on their discrimination. Fundam. Appl. Limnol. 2010, 177, 223–240. [Google Scholar] [CrossRef]
- Linkowski, T.B.; Kornijów, R.; Karpowicz, M. Comparison of methods for nocturnal sampling of predatory zooplankters in shallow waters. Oceanologia 2021, 63, 71–79. [Google Scholar] [CrossRef]
- Tang, F. Biological Invasions in Brackish Waters. Ph.D. Thesis, Churchill College, University of Cambridge, Cambridge, UK, August 2020. [Google Scholar] [CrossRef]





| Calanoida | Cephalodella gibba (Ehrenberg, 1830) | * | |
| Acartia bifilosa (Giesbrecht, 1881) | *** | Collotheca pelagica (Rousselet, 1893) | * |
| Eurytemora affinis (Poppe, 1880) | **** | Colurella colurus (Ehrenberg, 1830) | * |
| Centropages hamatus (Lilljeborg, 1853) | * | Colurella dicentra (Gosse, 1887) | * |
| Cyclopoida | Euchlanis deflexa (Gosse, 1851) | * | |
| Acanthocyclops americanus (Marsh, 1893) | *** | Euchlanis dilatata Ehrenberg, 1832 | * |
| Cyclops vicinus Uljanin, 1875 | * | Filinia brachiata (Rousselet, 1901) | * |
| Mesocyclops leuckarti (Claus, 1857) | * | Filinia longiseta (Ehrenberg, 1834) | ** |
| Thermocyclops oithonoides (Sars G.O., 1863) | * | Hexarthra fennica (Levander, 1892) | ** |
| Harpacticoida spp. | *** | Keratella cochlearis Gosse, 1851 | **** |
| Cladocera | Keratella cruciformis (Thompson, 1892) | **** | |
| Acroperus harpae (Baird, 1834) | * | Keratella quadrata Müller, 1786 | **** |
| Bosmina (Eubosmina) coregoni Baird, 1857 | * | Keratella tecta (Gosse, 1851) | **** |
| Bosmina (Bosmina) longirostris (O.F. Müller, 1785) | * | Keratella testudo (Ehrenberg, 1832) | * |
| Chydorus sphaericus (O.F. Müller, 1776) | ** | Lecane closterocerca (Schmarda, 1859) | * |
| Coronatella rectangula (Sars, 1862) | * | Lecane luna (Müller, 1776) | * |
| Daphnia cucullata G.O. Sars, 1862 | * | Notholca acuminata (Ehrenberg 1832) | * |
| Diaphanosoma spp. | *** | Polyarthra dolichoptera Idelson, 1925 | * |
| Sida crystallina (O.F. Müller, 1776) | * | Polyarthra vulgaris Carlin, 1943 | * |
| Leptodora kindtii (Focke, 1844) | * | Synchaeta cecilia Rousselet, 1902 | * |
| Rotifera | Synchaeta sp. | ** | |
| Brachionus angularis Gosse, 1851 | ** | Synchaeta stylata Wierzejski, 1893 | * |
| Brachionus calyciflorus Pallas, 1776 | *** | Trichocerca dixon-nuttallii (Jennings, 1903) | ** |
| Brachionus urceolaris Müller, 1773 | * |
Disclaimer/Publisher’s Note: The statements, opinions and data contained in all publications are solely those of the individual author(s) and contributor(s) and not of MDPI and/or the editor(s). MDPI and/or the editor(s) disclaim responsibility for any injury to people or property resulting from any ideas, methods, instructions or products referred to in the content. |
© 2023 by the authors. Licensee MDPI, Basel, Switzerland. This article is an open access article distributed under the terms and conditions of the Creative Commons Attribution (CC BY) license (https://creativecommons.org/licenses/by/4.0/).
Share and Cite
Karpowicz, M.; Kornijów, R.; Ejsmont-Karabin, J. Not a Good Place to Live for Most, but Excellent for a Few—Diversity of Zooplankton in a Shallow Coastal Ecosystem. Sustainability 2023, 15, 2345. https://doi.org/10.3390/su15032345
Karpowicz M, Kornijów R, Ejsmont-Karabin J. Not a Good Place to Live for Most, but Excellent for a Few—Diversity of Zooplankton in a Shallow Coastal Ecosystem. Sustainability. 2023; 15(3):2345. https://doi.org/10.3390/su15032345
Chicago/Turabian StyleKarpowicz, Maciej, Ryszard Kornijów, and Jolanta Ejsmont-Karabin. 2023. "Not a Good Place to Live for Most, but Excellent for a Few—Diversity of Zooplankton in a Shallow Coastal Ecosystem" Sustainability 15, no. 3: 2345. https://doi.org/10.3390/su15032345
APA StyleKarpowicz, M., Kornijów, R., & Ejsmont-Karabin, J. (2023). Not a Good Place to Live for Most, but Excellent for a Few—Diversity of Zooplankton in a Shallow Coastal Ecosystem. Sustainability, 15(3), 2345. https://doi.org/10.3390/su15032345

