Quaternized Polyethersulfone (QPES) Membrane with Imidazole Functionalized Graphene Oxide (ImGO) for Alkaline Anion Exchange Fuel Cell Application
Abstract
1. Introduction
2. Materials and Methods
2.1. Materials
2.2. Synthesis of Graphene Oxide (GO)
2.3. Functionalization of GO
2.4. Chloromethylation of PES
2.5. Fabrication of Quaternized Polyethersulfone Blended ImGO Membranes
3. Characterization and Measurements
4. Results and Discussion
4.1. Subsection Functionalization of Graphene Oxide (GO)
4.2. Functionalization of Polyethersulfone
4.3. Surface Morphology of GO and Membranes
4.4. FTIR of ImGO and QPES/ImGO-x% Membranes
4.5. TGA Analysis of PES and QPES/ImGO-0.5%
4.6. Membrane Evaluation
4.6.1. Water Uptake and Contact Angle
4.6.2. Ion Exchange Capacity (IEC) and Ion Conductivity (IC)
4.6.3. Ion Exchange Capacity (IEC) and Ion Conductivity (IC)
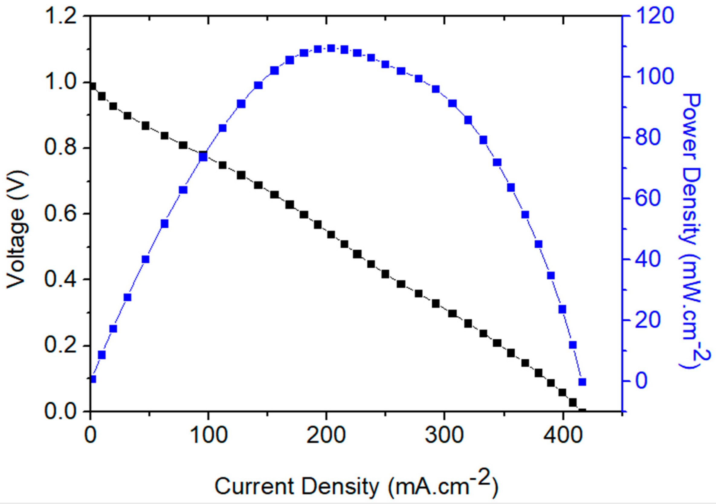
4.6.4. Fuel Cell Performance of QPES/ImGO-0.5% Composite Membrane
5. Conclusions
Author Contributions
Funding
Institutional Review Board Statement
Informed Consent Statement
Data Availability Statement
Acknowledgments
Conflicts of Interest
References
- Gottesfeld, S.; Dekel, D.R.; Page, M.; Bae, C.; Yan, Y.; Zelenay, P.; Kim, Y.S. Anion exchange membrane fuel cells: Current status and remaining challenges. J. Power Sources 2018, 375, 170–184. [Google Scholar] [CrossRef]
- Pan, Z.F.; An, L.; Zhao, T.S.; Tang, Z.K. Advances and challenges in alkaline anion exchange membrane fuel cells. Prog. Energy Combust. Sci. 2018, 66, 141–175. [Google Scholar] [CrossRef]
- Zhang, S.; Zhu, X.; Jin, C.; Zhang, Z. Cyclodextrin edge functionalized graphene oxide modified poly(phthalazinone ether ketone) composite membrane with enhanced properties for anion exchange membrane. Solid State Ion. 2018, 320, 360–368. [Google Scholar] [CrossRef]
- Dekel, D.R. Review of cell performance in anion exchange membrane fuel cells. J. Power Sources 2017, 375, 158–169. [Google Scholar] [CrossRef]
- Mustain, W.E.; Chatenet, M.; Page, M.; Kim, Y.S. Durability challenges of anion exchange membrane fuel cells. Energy Environ. Sci. 2020, 13, 2805–2838. [Google Scholar] [CrossRef]
- Hagesteijn, K.F.L.; Siang, J.; Ladewig, B.P. A review of the synthesis and characterization of anion exchange membranes. J. Mater. Sci. 2018, 53, 11131–11150. [Google Scholar] [CrossRef]
- Ramaswamy, N.; Mukerjee, S. Alkaline Anion-Exchange Membrane Fuel Cells: Challenges in Electrocatalysis and Interfacial Charge Transfer. Chem. Rev. 2019, 119, 11945–11979. [Google Scholar] [CrossRef]
- Merle, G.; Chairuna, A.; van de Ven, E.; Nijmeijer, K. An easy method for the preparation of anion exchange membranes: Graft-polymerization of ionic liquids in porous supports. J. Polym. Sci. 2013, 129, 1143–1150. [Google Scholar] [CrossRef]
- Yoo, H.J.; Cho, G.Y. Effects of Humidification with NaCl Solution Mist on Electrochemical Characteristics of Polymer Electrolyte Membrane Fuel Cells. Sustainability 2022, 14, 16242. [Google Scholar] [CrossRef]
- Ogungbemi, E.; Ijaodola, O.; Katib, F.N.; Wilberforce, T.; El Hassan, Z.; Thompson, J.; Ramadan, M.; Olabi, A.G. Fuel cell membranes—pros and cons. Energy 2019, 172, 155–172. [Google Scholar] [CrossRef]
- Peighambardoust, S.J.; Rowshanzamir, S.; Amjadi, M. Review of the proton exchange membranes for fuel cell applications. Int. J. Hydrogen Energy 2010, 35, 9349–9384. [Google Scholar] [CrossRef]
- Das, G.; Choi, J.H.; Nguyen, P.K.T.; Kim, D.J.; Yoon, Y.S. Anion Exchange Membranes for Fuel Cell Application: A Review. Polymers 2022, 14, 1197. [Google Scholar] [CrossRef] [PubMed]
- Varcoe, J.R.; Atanassov, P.; Dekel, D.R.; Herring, A.M.; Hickner, M.A.; Kohl, P.A.; Kucernak, A.R.; Mustain, W.E.; Nijmeijer, K.; Scott, K.; et al. Anion-exchange membranes in electrochemical energy systems. Energy Environ. Sci. 2014, 7, 3135–3191. [Google Scholar] [CrossRef]
- Becerra-Arciniegas, R.; Narducci, R.; Ercolani, G.; Antonaroli, S.; Sgreccia, E.; Pasquini, L.; Knauth, P.; Di Vona, M. Alkaline stability of model anion exchange membranes based on poly(phenylene oxide) (PPO) with grafted quaternary ammonium groups: Influence of the functionalization route. Polymer 2019, 185, 121931. [Google Scholar] [CrossRef]
- Shang, Z.; Wycisk, R.; Pintauro, P. Electrospun Composite Proton-Exchange and Anion-Exchange Membranes for Fuel Cells. Energies 2021, 14, 6709. [Google Scholar] [CrossRef]
- Vijayakumar, V.; Nam, S. Recent advancements in applications of alkaline anion exchange membranes for polymer electrolyte fuel cells. J. Ind. Eng. Chem. 2019, 70, 70–86. [Google Scholar] [CrossRef]
- Msomi, P.; Nonjola, P.; Ndungu, P.; Ramontja, J. Quaternized poly (2.6 dimethyl—1.4 phenylene oxide)/polysulfone anion exchange membrane reinforced with graphene oxide for methanol alkaline fuel cell application. J. Polym. Res. 2018, 25, 143. [Google Scholar] [CrossRef]
- Marino, M.; Kreuer, K. Alkaline Stability of Quaternary Ammonium Cations for Alkaline Fuel Cell Membranes and Ionic Liquids. Chemsuschem 2015, 8, 513–523. [Google Scholar] [CrossRef]
- Xu, Y.; Yang, J.; Ye, N.; Teng, M.; He, R. Modification of poly(aryl ether ketone) using imidazolium groups as both pendants and bridging joints for anion exchange membranes. Eur. Polym. J. 2015, 73, 116–126. [Google Scholar] [CrossRef]
- Ye, Y.; Elabd, Y. Relative Chemical Stability of Imidazolium-Based Alkaline Anion Exchange Polymerized Ionic Liquids. Macromolecules 2011, 44, 8494–8503. [Google Scholar] [CrossRef]
- Zunita, M.; Makertiharta, I.; Irawanti, R.; Prasetya, N.; Wenten, L. Graphene Oxide- Inorganic Composite Membrane: A Review. IOP Conf. Ser. Mater. Sci. Eng. 2018, 295, 012005. [Google Scholar] [CrossRef]
- Janakiram, S.; Martín Espejo, J.; Yu, X.; Ansaloni, L.; Deng, L. Facilitated transport membranes containing graphene oxide-based nanoplatelets for CO2 separation: Effect of 2D filler properties. J. Membr. Sci. 2020, 616, 118626. [Google Scholar] [CrossRef]
- Eigler, S.; Hirsch, A. Chemistry with Graphene and Graphene Oxide-Challenges for Synthetic Chemists. Angew. Chem. Int. Ed. 2014, 53, 7720–7738. [Google Scholar] [CrossRef] [PubMed]
- Mao, X.; Li, Z.; He, G.; Li, Z.; Zhao, J.; Zhang, Y.; Jiang, Z. Enhancing hydroxide conductivity of anion exchange membrane via incorporating densely imidazolium functionalized graphene oxide. Solid State Ion. 2019, 333, 83–92. [Google Scholar] [CrossRef]
- Yang, Q.; Lin, C.; Liu, Q.; Liu, F.; Li, L.; Zhang, Q.; Zhu, A. Poly (2,6-dimethyl-1,4-phenylene oxide)/ionic liquid functionalized graphene oxide anion exchange membranes for fuel cells. J. Membr. Sci. 2018, 552, 367–376. [Google Scholar] [CrossRef]
- Liu, L.; Tong, C.; He, Y.; Zhao, Y.; Hu, B.; Lü, C. Novel quaternized mesoporous silica nanoparticle modified polysulfone-based composite anion exchange membranes for alkaline fuel cells. RSC Adv. 2015, 5, 43381–43390. [Google Scholar] [CrossRef]
- Li, J.; Zhang, B.; Wu, H.; Cao, L.; He, X.; Li, Y.; Xu, M.; Jiang, Z. Incorporating imidazolium-functionalized graphene oxide into imidazolium-functionalized poly(ether ether ketone) for enhanced hydroxide conductivity. J. Membr. Sci. 2018, 565, 233–240. [Google Scholar] [CrossRef]
- Marcano, D.; Kosynkin, D.; Berlin, J.; Sinitskii, A.; Sun, Z.; Slesarev, A.; Alemany, L.; Lu, W.; Tour, J. Improved Synthesis of Graphene Oxide. ACS Nano 2010, 4, 4806–4814. [Google Scholar] [CrossRef]
- Chen, D.; Feng, H.; Li, J. Graphene oxide: Preparation, functionalization, and electrochemical applications. Chem. Rev. 2012, 112, 6027–6053. [Google Scholar] [CrossRef]
- Liu, L.; Tong, C.; He, Y.; Zhao, Y.; Lü, C. Enhanced properties of quaternized graphenes reinforced polysulfone based composite anion exchange membranes for alkaline fuel cell. J. Membr. Sci. 2015, 487, 99–108. [Google Scholar] [CrossRef]
- Chen, N.; Liu, Y.; Long, C.; Li, R.; Wang, F.; Zhu, H. Enhanced performance of ionic-liquid-coated silica/quaternized poly(2,6-dimethyl-1,4-phenylene oxide) composite membrane for anion exchange membrane fuel cells. Electrochim. Acta 2017, 258, 124–133. [Google Scholar] [CrossRef]
- Amiinu, I.S.; Li, W.; Wang, G.; Tu, Z.; Tang, H.; Pan, M.; Zhang, H. Toward Anhydrous Proton Conductivity Based on Imidazole Functionalized Mesoporous Silica/Nafion Composite Membranes. Electrochim. Acta 2015, 160, 185–194. [Google Scholar] [CrossRef]
- Xie, G.; Xi, P.; Liu, H.; Chen, F.; Huang, L.; Shi, Y.; Hou, F.; Zeng, Z.; Shao, C.; Wang, J. A facile chemical method to produce superparamagnetic graphene oxide–Fe3O4hybrid composite and its application in the removal of dyes from aqueous solution. J. Mater. Chem. 2012, 22, 1033–1039. [Google Scholar] [CrossRef]
- Aliyev, E.; Khan, M.; Nabiyev, A.; Alosmanov, R.; Bunyad-zadeh, I.; Shishatskiy, S.; Filiz, V. Covalently Modified Graphene Oxide and Polymer of Intrinsic Microporosity (PIM-1) in Mixed Matrix Thin-Film Composite Membranes. Nano Res. Lett. 2018, 395, 1–13. [Google Scholar] [CrossRef] [PubMed]
- Bîru, B.; Iovu, H. Graphene Nanocomposites Studied by Raman Spectroscopy, Raman Spectroscopy, 1st ed.; Gustavo Morari Do Nascimento, IntechOpen: London, UK, 2018; pp. 180–200. [Google Scholar]
- Wu, J.; Lin, M.; Cong, X.; Liu, H.; Tan, P. Raman spectroscopy of graphene-based materials and its applications in related devices. Chem. Soc. Rev. 2018, 47, 1822–1873. [Google Scholar] [CrossRef] [PubMed]
- Veerapandian, M.; Seo, Y.; Shin, H.; Yun, K.; Lee, M. Functionalized graphene oxide for clinical glucose biosensing in urine and serum samples. Int. J. Nanomed. 2012, 7, 6123–6136. [Google Scholar] [CrossRef]
- Minal, B.; Neha, G.; Sushila. A comparative FTIR analysis of stannous chloride (SnCl2) doped poly methyl methacrylate (PMMA) and poly ether sulfone (PES) composite films. IJRASET 2018, 6, 2157–2159. [Google Scholar]
- Koilpillai, S.; Dharmalingam, S. A novel quaternized poly(ether sulfone) membrane for alkaline fuel cell application. Int. Energy Res. 2015, 39, 317–325. [Google Scholar] [CrossRef]
- Liu, R.; Che, X.; Chen, X.; Li, H.; Dong, J.; Hao, Z.; Yang, J. Preparation and investigation of 1-(3-aminopropyl)imidazole functionalized polyvinyl chloride/poly(ether ketone cardo) membranes for HT-PEMFCs. Sustain. Energy Fuels 2020, 4, 6066–6074. [Google Scholar] [CrossRef]
- Thanganathan, U. Effects of imidazole on the thermal and conductivity properties of hybrid membrane based on poly (vinyl alcohol)/SiO2. J. Mater. Chem. 2012, 22, 9684–9689. [Google Scholar] [CrossRef]
- Shukla, K.; Alam, J.; Rahaman, M.; Alrehaili, A.; Aldalbahi, A. A Facile Approach for Elimination of Electroneutral/Anionic Organic Dyes from Water Using a Developed Carbon-Based Polymer Nanocomposite Membrane. Water Air Soil Pollut. 2020, 231, 1–6. [Google Scholar] [CrossRef]
- de Azevedo Gonç, R.C.; da Silva, E.O. Effect of the addiction of metal oxide nanoparticles on the physical, chemical and thermal properties of PVA based nanocomposites. Mater. Sci. Appl. 2018, 9, 473–488. [Google Scholar]
- Liu, M.; Wang, Z.; Wang, S.; Mei, J.; Xu, L.; Xu, J.; Han, H. A facile functionalized routine for the synthesis of imidazolium-based anion-exchange membrane with excellent alkaline stability. J. Membr. Sci. 2016, 505, 138–147. [Google Scholar] [CrossRef]
- Kim, D.; Lee, B.; Nam, S. Synthesis and characterization of PEEK containing imidazole for anion exchange membrane fuel cell. Int. J. Hydrogen Energy 2017, 42, 23759–23767. [Google Scholar] [CrossRef]
- Msomi, P.; Nonjola, P.; Ndungu, P.; Ramontja, J. Poly (2,6-dimethyl-1,4-phenylene)/polysulfone anion exchange membrane blended with TiO2 with improved water uptake for alkaline fuel cell application. Int. J Hydrog. Energy. 2020, 45, 29465–29476. [Google Scholar] [CrossRef]
- Rambabu, K.; Bharath, G.; Arangadi, A.; Velu, S.; Banat, F.; Show, P. ZrO2 incorporated polysulfone anion exchange membranes for fuel cell applications. Int. J. Hydrogen Energy 2020, 45, 29668–29680. [Google Scholar] [CrossRef]
- Wang, G.; Lin, B.; Qiao, G.; Wang, L.; Zhu, L.; Chu, F.; Feng, T.; Yuan, N.; Ding, G. Polybenzimidazole/ionic liquid functionalized graphene oxide nanocomposite membrane for alkaline anion exchange membrane fuel cells. Mater. Lett. 2016, 173, 219–222. [Google Scholar] [CrossRef]
- Das, G.; Dongho, K.; Kim, C.Y.; Yoon, H.H. Graphene oxide crosslinked poly(phenylene oxide) nanocomposite as high-performance anion-conducting membrane. J. Ind. Chem. 2019, 72, 380–389. [Google Scholar] [CrossRef]
- Long, G.; Lu, C.; Li, Y.; Wang, Z.; Zhu, H. N-spirocyclic ammonium-functionalized graphene oxide-based anion exchange membrane for fuel cells. Int. J. Hydrogen Energy 2020, 45, 19778–19790. [Google Scholar] [CrossRef]














| Membrane Type | IC (mS·cm−1) |
|---|---|
| QPES | 35.8 |
| QPES/ImGO-0.1% | 56.8 |
| QPES/ImGO-0.3% | 47.1 |
| QPES/ImGO-0.5% | 73.2 |
| QPES/ImGO-1% | 50.2 |
| Membrane Type | Temp (°C) | IC (mS·cm−1) | Ref. |
|---|---|---|---|
| QPES/ImGO-0.5% | 25 | 73.2 | This study |
| QPES/ImGO-1% | 25 | 50.2 | This study |
| ImPSF/ImGO-0.2% | 80 | 35.89 | [24] |
| qPPO/C-1/G-1 | 25 | 112.89 | [49] |
| QPPO/PSF/2.0%GO | 80 | 63.67 | [17] |
| PBI/IL-GO-30 | 80 | 67.0 | [48] |
| Membrane Type | Peak Power Density (mW·cm−2) | Temp (°C) | Ref. |
|---|---|---|---|
| ImPSF/ImGO-0.2 | 78.7 | 25 | [24] |
| QPPO/PSF/2%GO | 112 | 25 | [17] |
| QPES/ImGO-0.5% | 130 | 25 | This study |
| ImPEEK/ImGO-4 | 50.0 | 50 | [27] |
| QPPOQGO-2 | 5.20 | 60 | [49] |
Disclaimer/Publisher’s Note: The statements, opinions and data contained in all publications are solely those of the individual author(s) and contributor(s) and not of MDPI and/or the editor(s). MDPI and/or the editor(s) disclaim responsibility for any injury to people or property resulting from any ideas, methods, instructions or products referred to in the content. |
© 2023 by the authors. Licensee MDPI, Basel, Switzerland. This article is an open access article distributed under the terms and conditions of the Creative Commons Attribution (CC BY) license (https://creativecommons.org/licenses/by/4.0/).
Share and Cite
Mothupi, M.L.; Msomi, P.F. Quaternized Polyethersulfone (QPES) Membrane with Imidazole Functionalized Graphene Oxide (ImGO) for Alkaline Anion Exchange Fuel Cell Application. Sustainability 2023, 15, 2209. https://doi.org/10.3390/su15032209
Mothupi ML, Msomi PF. Quaternized Polyethersulfone (QPES) Membrane with Imidazole Functionalized Graphene Oxide (ImGO) for Alkaline Anion Exchange Fuel Cell Application. Sustainability. 2023; 15(3):2209. https://doi.org/10.3390/su15032209
Chicago/Turabian StyleMothupi, Moshito Lethabo, and Phumlani Fortune Msomi. 2023. "Quaternized Polyethersulfone (QPES) Membrane with Imidazole Functionalized Graphene Oxide (ImGO) for Alkaline Anion Exchange Fuel Cell Application" Sustainability 15, no. 3: 2209. https://doi.org/10.3390/su15032209
APA StyleMothupi, M. L., & Msomi, P. F. (2023). Quaternized Polyethersulfone (QPES) Membrane with Imidazole Functionalized Graphene Oxide (ImGO) for Alkaline Anion Exchange Fuel Cell Application. Sustainability, 15(3), 2209. https://doi.org/10.3390/su15032209

