Abstract
The purpose of the study is to assess campus dining sustainability from the college students’ perspective. A total of 394 responses were analyzed by the importance-performance analysis (IPA) to determine the difference between college students’ importance ratings for and perceived sustainability performance of sustainable practices in campus dining operations. The locus for focus model was applied to demonstrate the priority of the sustainable practices. The results indicate that there is a gap between students’ expectation and university dining services’ performance regarding sustainable practices. The findings suggest that university administrators and operators need to focus on reducing food waste and on food donation so that they can meet the customers’ green values and expectation.
1. Introduction
Recently, sustainability has become one of the top priorities in the foodservice industry due to its hazardous impact on the environment, including such things as excessive energy and water consumption, massive food waste, and greenhouse gas emissions [1,2]. Prior studies showed that restaurant customers are willing to pay more to have food at a green restaurant, and this tendency is significantly higher among young consumers under 35 years old than among older consumers in the 40-or-older range [3]. Additionally, DiPietro et al. [4] found that customers of upscale restaurants prefer visiting restaurants that use locally sourced products, have environmental records, and recycle. Such an increase in consumer demand for sustainable operations in foodservices has accelerated the adoption of sustainable and green practices in this field [3,5] and restaurants’ efforts to create a green brand image [6]. Examples of their sustainability efforts include reducing the use of disposable tableware and increasing menus with organic and locally sourced ingredients [7,8].
This trend has become prevalent not only in the foodservice and restaurant industry [7,8] but also in the management of campus dining facilities in higher education [4,9]. For example, Yale University was one of the first higher-education institutions that started sustainable dining initiatives by providing seasonal and locally grown food in the campus dining menu [5]. In addition, Harvard University dining services have donated uneaten food and ingredients to local shelters and food banks in local community, which has helped to reduce campus food waste and food insecurity [10]. The sustainable initiatives in the higher education institutions provide various educational opportunities for students to participate in sustainable consumption [11]. As higher education is responsible for preparing future leaders in our society who can explain sustainable management practices to interested parties and decision-makers [12], campus policies and campaigns should reflect and implement the values of sustainability.
Despite the importance of an educational aspect of sustainable practices in higher education, a limited number of studies explored students’ experience of sustainable and green practices in campus dining services, even though students are the primary customers of the service. While prior research focused heavily on administrators’ intention to adopt sustainable practices [9,12,13], this study aims to fill this gap by examining the college students’ perception and evaluations of green practices in the university dining service. Additionally, this study examined gender differences in perception of sustainable practices in campus dining services. We conducted an importance-performance analysis (IPA) to identify gaps between students’ importance ratings for the sustainability factors they consider in consumption of campus dining services and perceived green operations in campus dining services [14]. We also conducted the locus for focus model [15] to validate the results of IPA matrices by presenting the priority in the sustainable practices. Our findings offer campus foodservice managers insightful resources by demonstrating how college students perceive and evaluate sustainable green practices.
2. Literature Review
2.1. Sustainable and Green Practices in Campus Dining Service
The scope of sustainable practices has not been clearly defined in the food industry but has gradually expanded and evolved. The term sustainability has been used interchangeably with green, environmentally friendly, environmentally responsible, or socially responsible in the foodservice literature. In general, scholars have conceptualized sustainability in foodservice in terms of health, environment, and social impacts [8,16]. Health-related practices include serving healthy, organic, local, and nutritionally balanced food; environment-related practices include recycling, energy conservation, and pollution reduction; and social impact-related practices include community involvement and fair human resource practices [1,17]. Similarly, the Green Restaurant Association proposed eight standards for green restaurants: (a) water efficiency, (b) waste reduction and recycling, (c) sustainable food, (d) sustainable, durable goods and building materials, (e) energy, (f) reusable and environmentally preferable disposals, (g) chemical and pollution reduction, and (h) transparency and education [18].
An increasing number of universities and colleges in the United States have implemented sustainable programs and practices in their campus dining facilities and operations [9,19] to protect the environment, support the local community, and educate students to be good environmental stewards [9]. Sustainability in the foodservice industry involves a wide range of issues, such as energy conservation, organic/local food, fair trade, compositing/recycling, employee education [7,9,18,20], and animal welfare [21]. However, limited sustainable practices have been explored in the context of campus dining services. Therefore, there is a need for expanding the scope of sustainability practices in campus dining services.
2.2. Gender Difference in Sustainable Consumption
Individuals’ decisions to engage in sustainable consumption are influenced by personal factors such as gender [22], age [23], personal interest [24], moral values [25], and moral engagement tendency [20]. Gender has an especially important impact on how people think and behave [26]. Because of biological differences and different social experiences, men and women in general tend to demonstrate different attitudes, behaviors, and values [26]. For example, women tend to attach more importance to self-transcendence values and being more concerned about social justice and environmental protection. Panzone, Hilton, Sale, and Cohen [27] highlighted that women express higher explicit pro-environmental attitudes than men when they shop.
In a study that identified sustainable food consumer segments based on personality characteristics (socio-demographic variables), food-related lifestyles, and behaviors, Verain et al. [28] suggested that future studies should consider personal variables, such as age, gender, knowledge, and interest, to fully understand consumers’ perception and behavior towards sustainability. Gender has a significant effect on sustainable dining-related attitudes and behaviors, which this study particularly focuses on. For instance, DiPietro et al. [4] found that female consumers have a higher intention to visit environmentally friendly restaurants than do male consumers. Females are more likely to purchase sustainable products because they hold stronger attitudes toward environmental issues [29]. Studies also found that women are generally more willing to purchase [30,31] and pay more for sustainable products [31] compared to their counterparts. This is because women tend to consider the impacts of their consumption on others more carefully than do men [22]. In contrast, men tend to have wasteful habits of consumption, which suggests they are less concerned about environmental scarcity for future generations than are female participants [32]. Thus, we propose that there are differences between the genders in customers’ perceptions of sustainable practices in the campus dining service.
2.3. Importance-Performance Analysis in Sustainability Management Literature
The importance-performance analysis (IPA) has been used to identify gaps between stakeholders’ perceived importance or expectation of a specific attribute and the actual performance or satisfaction of a firm or organization on managing that attribute [14]. In other words, the importance scale measures to which extent a participant perceives the item is important whereas the performance scale measures to which extent the participant evaluates the item is actually practiced. IPA enables scholars and practitioners to visually identify which product or service attributes an institution needs to focus on in order to increase customer satisfaction [33]. As presented in Figure 1, the X-axis indicates the perception of performance scores, and the Y-axis indicates the perceived importance scores in the results of IPA. The four quadrants and their origin (central point) were constructed based on the overall mean scores of the importance and performance ratings. The distance between the overall means of the importance and performance ratings and the means of each of the items provided the grid cross-hair points on which the four quadrants were identified and the attributes classified. Figure 1 illustrates the position of the items in the four quadrants, respectively.
Figure 1.
IPA Matrix for Campus Dining Sustainable Practices.
Quadrant 1 (Keep up the Good Work) indicates high levels of importance and performance, and it suggests where a company must continue to perform well as those attributes are considered important by the customers. Quadrant 2 (Concentrate Here) indicates a high level of importance but a low level of performance. This is an area that requires the most attention and efforts from a company to meet the high level of customers’ expectation. Quadrant 3 (Low Priority) indicates low levels of both importance and performance. Attributes in this area are considered as low importance and not performed well by a company, suggesting that limited attention is needed for these attributes. Quadrant 4 (Possible Overkill) represents a low level in importance but a high level in performance. Attributes in this area are suggested to reduce efforts by a company. After the attributes are visually displayed, managers and practitioners can then appropriate resources to adjust accordingly between importance and performance [14].
Few studies in the sustainable management literature employed the IPA approach to distinguish discrepancies between what stakeholders’ think is an important component of sustainable practices in the foodservice operations and their actual performance of how well the issue is being managed [13,34]. Atzori et al. [34] examined the gap between the importance and performance of the sustainable practices of the coffee chain Starbucks with Generation Y consumers. The study tested 14 attributes of sustainable practices and found that composting and food waste management practices were a low priority area for them. Recently, Lee and colleagues [13] investigated the importance and actual performance of green practices from the university-operated restaurants’ perspective. This empirical research identified 32 green restaurant attributes (in seven categories) and found that, overall, the educational restaurant dining services are participating at a high level in sustainable practices. Attributes related to energy conservation–electricity–kitchen were perceived to be the most important by operators while attributes in the group of energy conservation–water–dining and common area were perceived to be the least important. On the other hand, green attributes in the category of pollution prevention performed the best.
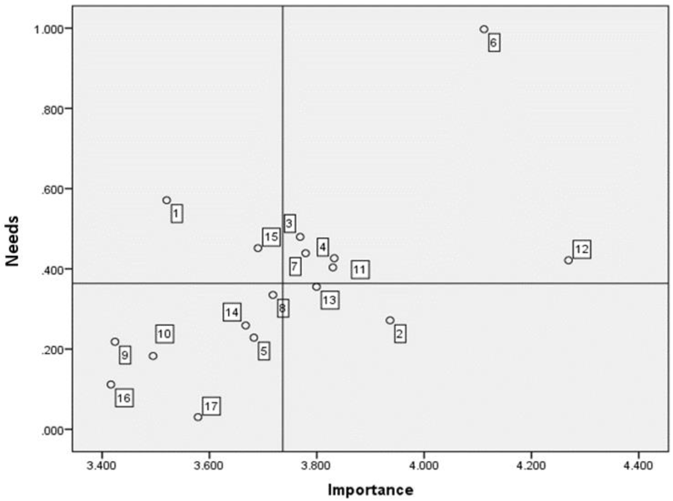
Despite the advantage of IPA that simultaneously analyzes the customers’ judgment of importance and perception of performance, scholars suggested that the additional analyses enhance the validity of IPA [35,36,37]. Thus, this study additionally performs the locus for focus model [15] to enhance the understanding of IPA results and present a reference point for the order of priority. In addition to using IPA, scholars in the education discipline have recently been paying attention to use of the locus for focus model [15] as an advanced educational needs analysis method [36,37]. Mink et al. [15] developed a new goal assessment instrument for organizations because the existing assessment model did not provide clarifications in determining most necessary goals for the current stage of organizations. Therefore, their model aimed to revise an organization’s target goals by comparing between should be and is ratings. The locus for focus matrix was dissected at the mean point on each axis (should be and is ratings), resulting in the formation of four quadrants. According to Mink et al. [15], Quadrant 1 (high discrepancy/high importance) implies that the goals in this area should be the organization’s revised target goals, Quadrant 2 (low discrepancy/low importance) shows a general satisfactory situation with the relevant goal items, Quadrant 3 (low discrepancy/low importance) presents less consequential goals that may be safely ignored between the required and the present goal level, and Quadrant 4 (high discrepancy/low importance) indicates that its items of goals may eventually require attention because high discrepancy exists while their low should be ratings. In summary, this study applies IPA to demonstrate the gap between the college students’ perception of importance and performance regarding campus dining sustainability and the locus for focus model to clarify the determination of the priority of items’ needs.
3. Methods
3.1. Data Collection and Survey Design
The target sample of this study was college students, which is the primary customer group of campus dining services. The survey was administered to college students at a large southeastern university in the United States. The self-administered questionnaires were distributed to undergraduate and graduate students in eight dining halls over three weeks, from 9 September 2019 to 30 September 2019. Participants were asked to voluntarily fill out a survey and return it directly to the survey administrators on site. In the questionnaire, the questions about importance were asked before and separately from those about performance. Out of the 487 surveys distributed, 423 questionnaires were returned. After removing 29 incomplete responses, a total of 394 usable responses were analyzed.
Table 1 presents 17 sustainable practices included in the questionnaire for importance ratings and performance assessment. These items were developed through the literature review of sustainable practices in restaurants and campus dining services [4,9,34] and in a report of the Green Restaurant Association [18]. In order to properly reflect the sustainable practices implemented in a campus dining service, researchers checked the university dining website for sustainability [38], so that respondents can evaluate the attributes as accurately as possible. The developed sustainable practices were reviewed by two hospitality professors and one restaurant manager in the university dining service. All of the seventeen items were identified as being appropriate.
Table 1.
Summary of importance and performance scores of sustainable practices.
Respondents’ importance ratings and performance assessment for each item were measured on five-point Likert-type scales, ranging from 1 (very unimportant/strongly dissatisfied) to 5 (very important/strongly satisfied). The survey also included questions for demographic information, such as age, gender, ethnicity, and student classification.
3.2. Data Analysis
We conducted descriptive statistics to identify sample characteristics, a paired sample t-test and IPA to examine differences between students’ importance ratings and perceived performance of sustainable dining practice in campus dining services, and multivariate analyses of variance (MANOVA) to examine the effects of gender. Additionally, we performed the locus for focus model [15] to validate the IPA results by comparing between should be and is ratings [36,37].
4. Results
4.1. Sample Characteristics
The sample consisted of 35% male and 65% female; 87.8% Caucasian, 3.3% African American, 3.6% Hispanic, 4.6% Asian, and 0.8% other; 22.6% freshmen, 28.4% sophomores, 23.4% juniors, 22.6% seniors, and 3.0% graduate students. The mean age of the sample was 20.23 years old, ranging from 18 to 24.
4.2. Evaluation of Campus Dining Sustainability
The construct validity of the instrument was evaluated following the guidelines provided by Cohen et al. [39]. Discriminant validity was established, as the correlation coefficients between the items were below the threshold of 0.7 [40]. A paired t-test was used to verify the differences between the levels of importance and performance regarding the sustainable practices in university dining service. The results showed statistical differences between the levels of importance and performance at a significance level of ρ < 0.01 (Table 1). As shown in Table 1, the level of importance was revealed to be higher than that of the performance in all items except the use of fair-trade coffee (item 16) and bleach-free and recycled napkins (item 17). The mean values of importance and performance regarding the 17 items of sustainable practices were measured to be 3.74 and 3.37, respectively. This result demonstrated that the students considered the university dining’s sustainable practices to be important yet implemented a relatively low level of performance.
4.2.1. Results of Importance-Performance Analysis
The mean values of importance and performance were used to construct the IPA matrix. In Figure 1. Quadrant 1 shows items with high ratings of both importance and performance. The results of IPA analysis indicated that items 2 (recycling bins), 4 (reducing disposal product), 11 (efficient water usage), 12 (free, filtered water), and 13 (using recycled-content office and copy paper) belong to this group. Quadrant 2 shows items with high ratings of importance but low ratings of perceived performance. The items that belong to this quadrant include 3 (compositing project), 6 (donating leftover food), 7 (reusable dishware) and 8 (eliminating Styrofoam). Quadrant 3 is comprised of items with low ratings of both importance and performance, which include items 1 (local food), 9 (fryer oil recycling), 10 (reusable condiment containers), 15 (training employees), and 16 (fair trade coffee). Quadrant 4 shows items with low ratings of importance but high ratings of of perceived performance, which include items 5 (trayless dining program), 14 (energy-conserving light bulbs), and 17 (recycled napkins). In sum, the students perceived that some important practices such as recycling bins, reducing disposal product, and water usage were well-performed, while other important practices such as compositing project, donating leftover food, and reusable dishware were not sufficiently implemented.
4.2.2. Results of the Locus for Focus Model
The results of IPA analysis showed that several items were closely positioned to the cross-hairs in IPA matrices. Thus, we conducted additional analyses to validate the results of IPA. The locus for focus model was tested to clarify the determination of the priority of items’ needs. As shown in Figure 2, Quadrant 1 shows items high in perceived importance and a level of needs, which includes items 3 (compositing project), 4 (reducing disposal product), 6 (fryer oil recycling), 7 (reusable dishware), 11 (efficient water usage), and 12 (free, filtered water). This finding suggest that these items are the priority practices that should be considered first for maintenance and/or improvement. Further, our finding suggests Quadrant 4 as the second priority group that should be considered for maintenance and/or improvement. This includes items 2 (recycling bins) and 13 (using recycled-content office and copy paper). In sum, the results indicated that college students were most concerned about recycling various products and water usage.
Figure 2.
The Locus for Focus Model for Campus Dining Sustainable Practices.
Taken together, the results of the IPA and Locus for Focus model revealed that college students view the implementation of sustainable practices, such as composting (Item 3), recycling used fryer oil (Item 6), and using reusable dishware (Item 7), as the most important and pressing areas for improvement on their campus.
4.2.3. Gender Differences in Campus Dining Sustainable Practices
We conducted a series of MANOVA to examine the effect of gender on the evaluation of sustainable practices (Table 2). The results showed a significant difference in the importance rating between male and female students (Pillai’s Trace = 0.135, F = 1.595, p = 0.018; Wilks’ Λ = 0.869, F = 1.604, p = 0.017; Hotelling’s Trace = 0.147, F = 1.614, p = 0.016). Overall, female students rated the importance of sustainable dining practice higher than did male students. The results of a Tukey HSD post hoc test revealed that female students’ importance ratings for items 2, 4, 6, 11, 12, 13, 14, 15, 16, and 17 were significantly higher than male students’ ratings. However, no significant gender difference was found in students’ assessment of sustainable practices in campus dining services (Pillai’s Trace = 0.093, F = 1.075, p = 0.355; Wilks’ Λ = 0.909, F = 1.073, p = 0.359; Hotelling’s Trace = 0.097, F = 1.070, p = 0.363).
Table 2.
Results of MANOVAs by Gender.
5. Discussion and Implications
This study investigated sustainable practices in campus dining services from the perspective of college students. This study determined the gap between the college students’ perception of importance and performance regarding campus dining sustainability. The overall performance levels of sustainable practices in campus dining were lower than the importance level assessed by the students. This finding is consistent with the previous study that young consumers evaluated the level of actual performance at Starbucks as lower than their expectation [34]. The university restaurant managers/operators also concluded that the current campus dining’s sustainable practices should be improved [13]. The result implies that the primary customer in campus dining, students, believe that campus dining could do more to plan and implement sustainable practices. Given that the study of Monroe et al. [41] indicates that a sustainable food environment in university dining can increase awareness of sustainability and sustainable food choices, campus dining sustainability is an important driver to motive university students to adopt sustainable behaviors and consumption. Therefore, this study supports that current campus dining should implement sustainable practices to motivate students to play a role in a sustainable food system.
The results of IPA and the locus for focus model identified well-performed areas, areas in need, and some areas that were not necessary to be concerned about from students’ perspective. Our findings demonstrated that a composting project, reducing disposal products, fryer oil recycling, and efficient and safe water usage should be first and urgently improved as students identified these items to be important sustainable practices but their assessment of these practices was low. The finding of this study also suggests that students consider recycling practices to be important in the dining service area on campus, such as using recycling bins and recycled office supplies. Further, the findings of this study revealed that food donation and food waste management are highly considered as green practices among college students but assessed poorly in actual practices. This finding is consistent with those of other investigators [9] suggesting that food composting and sharing unserved food with those in need were the least frequently implemented green practices in college dining services. Hence, our findings suggest that universities should make tangible efforts to reduce food waste and develop programs that facilitate food donation to meet student customers’ green values. Additionally, our findings demonstrated the significant gender effect on sustainable consumption and behaviors among college students [22]. Regarding gender differences, the findings of this study found that female students are more aware than male students of the importance of dining sustainability, whereas both genders recognized that the overall performance of green practices in campus dining do not meet their expectations. Female students are more aware of the importance of energy and resources savings, recycling, and fair trade compared to their counterparts. This result supports previous findings that women are more aware of environmentally friendly consumption and are more interested in environmental issues [4,27,30].
From a theoretical perspective, the findings of this study add substantial knowledge of campus dining sustainability to the existing literature [9,13]. To the best of our knowledge, this is the first study that implemented the locus for focus model to supplement IPA in the sustainability management context. Being applied intensely in the field of education to identify changes in the education demand analyses [35,42], the locus for focus model added rigor of analysis in this study. Employing IPA and the locus for focus model, we tested a gap between college students’ perception of important green practices and actual performance in campus dining services. The results of two analyses clearly showed which sustainable practices of campus dining should be prioritized from the students’ perspective. Hence, the findings of this study demonstrate the effectiveness of the new method in this field.
Our findings provide campus dining administrators with meaningful implications. As the number of college and university students is projected to increase from an estimated 14.6 million in 2018 to 14.9 million by the year 2029 [43], a high demand for campus dining service is expected. Given the steady growth of the number of college students, campus dining sustainability is expected to play a critical role in educating the future leaders for environmental protection. Because college-aged people are the largest and most environmentally conscious consumer group in the United States [44], it is crucial to understand their priorities in sustainable and green practices and their assessment of how well those practices are implemented by campus dining services.
To this end, campus dining administrators and managers should understand how their customers perceive and evaluate the current sustainable practices as the majority of young consumers in food retailing prefer sustainably conscious consumption [44]. By identifying which sustainable practices were ranked high or low by this young generation, they should consider the customers’ interests when they design and plan sustainable programs. For instance, university dining could put more effort into reducing food waste and sharing unserved food in order to meet customers’ green values. The overall findings of this study suggest that administrators should focus more on implementing composting projects, reducing disposal products, using reusable dishware, and developing an efficient water usage program as well as providing safe water. The practitioners also note that both gender groups’ evaluations of sustainable dining practices were lower than their perceived importance on those matters, which clearly indicates that their green practices have much room for improvement. Applying the finding that female students’ awareness of dining sustainability is higher than male students, campus dining operators may easily gather more sensible opinions from female students so as to improve their sustainable dining service.
6. Limitations and Future Study
Although this research filled the gap in campus dining sustainability research, the findings and implications of exploratory research may be limited because of the sample. Data for this study was collected from one university in the southeastern United States. The results, therefore, may not be applicable to be generalized across all university dining services in the United States. It is strongly recommended that future research expand the sample by adding university dining programs from both across and outside of the United States. The effect of gender in sustainable consumption may be different among ethnic, cultural, or religious groups. For example, Mostafa [45] found that male participants had more positive attitudes towards environmental issues and sustainable consumption compared to female participants in Egypt. Furthermore, to better explain sustainable food consumption, this empirical study should be extended by measuring personal health concerns [46] and motives for environmental protection [47]. Notwithstanding these limitations, we believe that this study helps show current sustainable practices in campus dining services from the perspective of college students. The findings of the IPA and locus for focus model indicate that college students place a strong emphasis on sustainable practices such as composting, recycling used fryer oil, and using reusable dishware. They considered these practices to be the most important and most urgently in need of improvement for promoting environmental sustainability on their campus.
Author Contributions
Conceptualization, B.Y. and J.L.; methodology, J.L.; formal analysis, J.L.; investigation, B.Y.; writing—original draft preparation, B.Y., J.L., and H.L.; writing—review and editing, H.L.; All authors have read and agreed to the published version of the manuscript.
Funding
This research received no external funding.
Institutional Review Board Statement
The study was conducted in accordance with the Declaration of Helsinki, and approved by the Institutional Review Board of The University of Tennessee, Knoxville (UTK IRB-18-04665-XM, 9 September 2018).
Informed Consent Statement
Informed consent was obtained from all subjects involved in the study.
Data Availability Statement
Not applicable.
Conflicts of Interest
The authors declare no conflict of interest.
References
- Tzschentke, N.A.; Kirk, D.; Lynch, P.A. Going green: Decisional factors in small hospitality operations. Int. J. Hosp. Manag. 2008, 27, 126–133. [Google Scholar] [CrossRef]
- National Restaurant Association [NRA]. Serving Up Sustainability. 2015. Available online: https://conserve.restaurant.org/Best-Practices (accessed on 21 July 2022).
- Namkung, Y.; Jang, S. Are consumers willing to pay more for green practices at restaurants? J. Hosp. Tour. Res. 2017, 41, 329–356. [Google Scholar] [CrossRef]
- DiPietro, B.; Cao, Y.R.; Partlow, C. Green practices in upscale foodservice operations. Int. J. Contemp. Hosp. 2013, 25, 779–796. [Google Scholar] [CrossRef]
- Turenne, J. Sustainability in food service. In Sustainability in the Food Industry; Baldwin, C.J., Ed.; John Wiley & Sons: Hoboken, NJ, USA, 2009; pp. 225–238. [Google Scholar]
- Namkung, Y.; Jang, S.S. Effects of restaurant green practices on brand equity formation: Do green practices really matter? Int. J. Hosp. Manag. 2013, 33, 85–95. [Google Scholar] [CrossRef]
- Hu, H.H.; Parsa, H.G.; Self, J. The dynamics of green restaurant patronage. Cornell Hosp. Q. 2010, 51, 344–362. [Google Scholar] [CrossRef]
- Yoon, B.; Chung, Y.; Jun, K. Restaurant industry practices to promote healthy sustainable eating: A content analysis of restaurant websites using the value chain approach. Sustainability 2020, 12, 7127. [Google Scholar] [CrossRef]
- Chen, C.; Arendt, S.; Gregoire, M. What sustainable practices exist in college and university dining service. J. Food Sci. Educ. 2010, 4, 5–10. [Google Scholar]
- Harvard University. Harvard University Dining Services: Food Donation Program. 2022. Available online: https://dining.harvard.edu/about-huds/sustainability/food-donation-program (accessed on 1 July 2022).
- Ribeiro, J.M.P.; Hoeckesfeld, L.; Magro, C.B.D.; Favretto, J.; Barichello, R.; Lenzi, F.C.; Secchi, L.; de Lima, C.R.M.; Guerra, O.A. Green Campus Initiatives as sustainable development dissemination at higher education institutions: Students’ perceptions. J. Clean. Prod. 2021, 312, 127671. [Google Scholar] [CrossRef]
- McMillin, J.; Dyball, R. Developing a whole-of-university approach to educating for sustainability: Linking curriculum, research and sustainable campus operations. J. Educ. Sustain. Dev. 2009, 3, 55–64. [Google Scholar] [CrossRef]
- Lee, M.J.; Kang, H.; Choi, H.; Olds, D. Managerial Attitudes towards Green Practices in Educational Restaurant Operations: An Importance-Performance Analysis. J. Hosp. Tour. Educ. 2019, 32, 142–155. [Google Scholar] [CrossRef]
- Martilla, J.A.; James, J.C. Importance performance analysis. J. Mark. 1977, 41, 77–79. [Google Scholar] [CrossRef]
- Mink, O.G.; Shultz, J.M.; Mink, B.P. Developing and Managing Open Organizations: A Model and Method for Maximizing Organizational Potential; Somerset Consulting Group, Inc.: Austin, TX, USA, 1991. [Google Scholar]
- Choi, G.; Parsa, H.G. Green practices II: Measuring restaurant managers’ psychological attributes and their willingness to charge for the “Green Practices”. J. Foodserv. Bus. 2007, 9, 41–63. [Google Scholar] [CrossRef]
- Schubert, F.; Kandampully, J.; Solnet, D.; Kralj, A. Exploring consumer perceptions of green restaurants in the US. Tour. Hosp. Res. 2010, 10, 286–300. [Google Scholar] [CrossRef]
- Green Restaurant Association. Green Restaurant Certification Standards. 2020. Available online: https://www.dinegreen.com/certification-standards (accessed on 1 July 2022).
- Tseng, M.; DeGreef, K.; Fishler, M.; Gipson, R.; Koyano, K.; Neill, D.B. Assessment of a university campus food environment. Prev. Chronic Dis. 2016, 13, 13–18. [Google Scholar]
- Lim, H.; Cho, M.; Bedford, S.C. You Shall (Not) Fear: The effects of emotional stimuli in social media campaigns and moral disengagement on apparel consumers’ behavioral engagement. J. Fash. Mark. Manag. 2019, 23, 628–644. [Google Scholar] [CrossRef]
- Harper, G.C.; Makatouni, A. Consumer perception of organic food production and farm animal welfare. Br. Food. J. 2002, 104, 287–299. [Google Scholar] [CrossRef]
- Roberts, J.A. Will the real socially responsible consumer please step forward? Bus. Horiz. 1996, 39, 79–83. [Google Scholar] [CrossRef]
- Bulut, Z.A.; Kökalan Çımrin, F.; Doğan, O. Gender, generation and sustainable consumption: Exploring the behaviour of consumers from Izmir, Turkey. Int. J. Consum. Stud. 2017, 41, 597–604. [Google Scholar] [CrossRef]
- Campbell, J.; DiPietro, R.B.; Remar, D. Local foods in a university setting: Price consciousness, product involvement, price/quality inference and consumer’s willingness-to-pay. Int. J. Hosp. Manag. 2014, 42, 39–49. [Google Scholar] [CrossRef]
- Bray, J.; Johns, N.; Kilburn, D. An exploratory study into the factors impeding ethical consumption. J. Bus. Ethics 2011, 98, 597–608. [Google Scholar] [CrossRef]
- Putrevu, S. Exploring the origins and information processing differences between men and women: Implications for advertisers. Acad. Mark. Sci. Rev. 2001, 10, 1–14. [Google Scholar]
- Panzone, L.; Hilton, D.; Sale, L.; Cohen, D. Socio-demographics, implicit attitudes, explicit attitudes, and sustainable consumption in supermarket shopping. J. Econ. Psychol. 2016, 55, 77–95. [Google Scholar] [CrossRef]
- Verain, M.C.; Bartels, J.; Dagevos, H.; Sijtsema, S.J.; Onwezen, M.C.; Antonides, G. Segments of sustainable food consumers: A literature review. Int. J. Consum. Stud. 2012, 36, 123–132. [Google Scholar] [CrossRef]
- Diamantopoulos, A.; Schlegelmilch, B.; Sinkovics, R.; Greg, M.; Bohlen, G. Can socio-demographics still play a role in profiling green consumers? A review of the evidence and an empirical investigation. J. Bus. Res. 2003, 56, 465–480. [Google Scholar] [CrossRef]
- Khan, N.; Trivedi, P. Gender differences and sustainable consumption behavior. Br. J. Mark. Stud. 2015, 3, 29–35. [Google Scholar]
- Laroche, M.; Bergeron, J.; Barbaro-Forleo, G. Targeting consumers who are willing to pay more for environmentally friendly products. J. Consum. Mark. 2001, 18, 503–520. [Google Scholar] [CrossRef]
- Honkanen, P.; Olsen, S.O. Environmental and animal welfare issues in food choice: The case of farmed fish. Br. Food J. 2009, 111, 293–309. [Google Scholar] [CrossRef]
- Deng, J.; Pierskalla, C.D. Linking importance–performance analysis, satisfaction, and loyalty: A study of Savannah, GA. Sustainability 2018, 10, 704. [Google Scholar] [CrossRef]
- Atzori, R.; Shapoval, V.; Murphy, K.S. Measuring Generation Y consumers’ perceptions of green practices at Starbucks: An IPA analysis. J. Foodserv. Bus. Res. 2018, 21, 1–21. [Google Scholar] [CrossRef]
- Galvin, B.M.; Randel, A.E.; Collins, B.J.; Johnson, R.E. Changing the focus of locus (of control): A targeted review of the locus of control literature and agenda for future research. J. Organ. Behav. 2018, 39, 820–833. [Google Scholar] [CrossRef]
- Son, E.J.; Yong, L.; Huh, M.K. A needs analysis of character education on socio-biological human exploration using Borich priority and locus for focus model. Int. J. Acad. Res. Reflect. 2019, 7, 16–22. [Google Scholar]
- Ko, Y.; Lee, Y.; Kim, D.; Kim, H. Analysis of recognition and educational needs on competency of secondary school informatics teachers. Int. J. Adv. Sci. Eng. Inf. Technol. 2017, 7, 1632–1637. [Google Scholar] [CrossRef]
- Vol Dining Sustainability. Available online: https://ut.campusdish.com/Sustainability/WhatWeAreDoing (accessed on 12 February 2022).
- Cohen, R.J.; Swerdlik, M.E.; Smith, D.K. Psychological Testing and Assessment: An Introduction to Tests and Measurement; Mayfield Publishing Company: Mountain View, CA, USA, 1992. [Google Scholar]
- Cohen, J. Statistical Power Analysis for the Behavioral Sciences; Academic Press: New York, NY, USA, 1977. [Google Scholar]
- Monroe, M.C.; Plate, R.R.; Oxarart, A.; Bowers, A.; Chaves, W.A. Identifying effective climate change education strategies: A systematic review of the research. Environ. Educ. Res. 2019, 25, 791–812. [Google Scholar] [CrossRef]
- Kim, K.E.; Kim, J.R.; Woo, H. Analysis of differences in perceptions and educational needs of university students, graduates, human resource manager on NCS basic job skill. J. Eng. Educ. Res. 2017, 20, 12–20. [Google Scholar]
- National Center for Education Statistics. Back-to-School Statistics. 2020. Available online: https://nces.ed.gov/fastfacts/display.asp?id=372 (accessed on 5 June 2022).
- Su, C.-H.; Tsai, C.-H.; Chen, M.-H.; Qing Lv, W.U.S. Sustainable food market generation Z consumer segments. Sustainability 2019, 11, 3607. [Google Scholar] [CrossRef]
- Mostafa, M.M. Gender difference in Egyptian consumers’ green purchase behaviors: The effects of environmental knowledge, concern and attitude. Int. J. Consum. Stud. 2007, 31, 220–229. [Google Scholar] [CrossRef]
- Chryssohoidis, G.M.; Krystallis, A. Organic consumers’ personal values research: Testing and validating the list of values (LOV) scale and implementing a value-based segmentation task. Food Qual. Prefer. 2005, 16, 585–599. [Google Scholar] [CrossRef]
- Saba, A.; Messina, F. Attitudes towards organic foods and risk/benefit perception associated with pesticides. Food Qual. Prefer. 2003, 14, 637–645. [Google Scholar] [CrossRef]
Disclaimer/Publisher’s Note: The statements, opinions and data contained in all publications are solely those of the individual author(s) and contributor(s) and not of MDPI and/or the editor(s). MDPI and/or the editor(s) disclaim responsibility for any injury to people or property resulting from any ideas, methods, instructions or products referred to in the content. |
© 2023 by the authors. Licensee MDPI, Basel, Switzerland. This article is an open access article distributed under the terms and conditions of the Creative Commons Attribution (CC BY) license (https://creativecommons.org/licenses/by/4.0/).

