A Methodological Framework for Developing a Smart-Tourism Destination in the Southeastern Adriatic–Ionian Area
Abstract
1. Introduction
2. Background
“An innovative tourist destination, built on an infrastructure of state-of-the-art technology guaranteeing the sustainable development of tourist areas, accessible to everyone, which facilitates the visitor’s interaction with and integration into his or her surroundings, increases the quality of the experience at the destination, and improves residents’ quality of life”.
Relevance for Adriatic–Ionian Area
3. Methodological Framework
3.1. Macro-Perspective Analysis
3.2. Micro-Perspective Analysis
- The level of use of technologies, internet, and social media;
- The collaboration attitude and the level of integration with the other actors of the tourism system for creating new innovative opportunities;
- The level of interaction and collaboration with customers for experience and service co-creation.
3.3. Customer-Perspective Analysis
4. Results
4.1. Macroanalysis
4.2. Microanalysis
4.3. Customer Analysis
5. Discussion
- (1)
- (2)
- Knowledge creation and cooperation—consisting of resource and capability recombination to create novel concepts, competencies, products, and services in order to exploit the unexplored potentialities, especially in the case of similarities among countries.
6. Conclusions
Author Contributions
Funding
Institutional Review Board Statement
Informed Consent Statement
Data Availability Statement
Acknowledgments
Conflicts of Interest
Appendix A
Appendix A.1. Tourism Economic Impact
- Tourism’s direct contribution to GDP, related to the internal spending on travel and tourism, by residents and nonresidents and by government “individual” spending for services directly linked to visitors;
- Total indirect contribution to GDP, which includes the related impacts (indirect and induced) and refers to investment activity, such as the purchase of new aircraft and the construction of new hotels, and government “collective” spending which helps tourism activity in many ways, such as tourism marketing and promotion, aviation, administration, and resort area sanitation services;
- Tourism’s total contribution to GDP, which includes its wider impacts on the economy (i.e., the indirect and induced impacts), in addition to direct impacts;
- Tourism’s total contribution to employment, which includes direct and indirect jobs supported by the travel and tourism industry;
- Capital investment, i.e., investment associated with travel and tourism, both private and public;
- Visitor exports, i.e., spending in the domestic economy by foreign visitors.
Appendix A.2. Tourism Statistical Data
- Tourism flows;
- Tourism receipts and expenditure;
- Tourism enterprises.
- Domestic tourism, which comprises the activities of a resident visitor within the country observed;
- Inbound tourism is related to the activities of a nonresident visitor within the country observed;
- Outbound tourism includes the activities of a resident visitor outside the country observed.
| TOURISM FLOWS | |
| Domestic tourism | |
| Total domestic trips | |
| Overnight visitors (tourists) | |
| Same-day visitors (excursionists) | |
| Nights in all types of accommodation | |
| Hotel and similar establishments | |
| Specialized establishments | |
| Other collective establishments | |
| Private accommodation | |
| Inbound tourism | |
| Total international arrivals | |
| Overnight visitors (tourists) | |
| Same-day visitors (excursionists) | |
| Top markets (list) | |
| Nights in all types of accommodation | |
| Hotel and similar establishments | |
| Specialized establishments | |
| Other collective establishments | |
| Private accommodation | |
| Outbound tourism | |
| Total international departures | |
| Overnight visitors (tourists) | |
| Same-day visitors (excursionists) | |
| Top destinations (list) | |
| TOURISM RECEIPTS AND EXPENDITURE | |
| Inbound tourism | |
| Total international receipts | |
| Outbound tourism | |
| Total international expenditure | |
| TOURISM ENTERPRISES | |
| Tourism Industries | |
| Accommodation services for visitors | |
| Hotel and similar establishments (with typologies) and number of stars | |
| Food- and beverage-serving industry | |
| Passenger transport | |
| Air passenger transport | |
| Railway passenger transport | |
| Road passenger transport | |
| Water passenger transport | |
| Transport equipment rental | |
| Travel agencies | |
| Cultural industries | |
| Sport and recreation industries | |
| Retail trade of a country | |
| Other related tourism industry | |
Appendix A.3. Tourism Competitiveness Indicators
- Enabling environment;
- T&T policies and enabling conditions;
- Infrastructure;
- Natural and cultural resources.
| TTCI Index | |
| Index at pillar level | Variables |
| Business environment | |
| Safety and security | |
| Health and hygiene | |
| Human resources and labour market | |
| ICT readiness | ICT use for biz-to-biz transactions Internet use for biz-to-consumer transactions Internet users % pop. Fixed-broadband internet subscriptions/100 pop. Mobile-cellular telephone subscriptions/100 pop. Mobile-broadband subscriptions/100 pop. Mobile network coverage % pop. Quality of electricity supply |
| Prioritization of travel and tourism | Government prioritization of travel and tourism industry (T&T); government expenditure % government budget; effectiveness of marketing and branding to attract tourists; comprehensiveness of annual T&T data 0–120 (best); timeliness of providing monthly/quarterly T&T data; country brand strategy rating |
| International openness | |
| Price competitiveness | |
| Environmental sustainability | |
| Air transport infrastructure | Quality of air transport infrastructure Available seat kilometres, domestic (millions) Available seat kilometres, international (millions) Aircraft departures/1000 pop. Airport density, airports/million pop. Number of operating airlines |
| Ground and port infrastructure | Quality of roads Road density % total territorial area Paved-road density % total territorial area Quality of railroad infrastructure Railroad density, km of roads/land area Quality of port infrastructure Ground transport efficiency |
| Tourist service infrastructure | Hotel room number/100 pop. Quality of tourism infrastructure Presence of major car rental companies Automated teller machines |
| Natural resources | Number of World Heritage natural sites (number of sites) Total known species (number of species) Total protected areas (% total territorial area) Natural tourism digital demand, 0–100 (best) Attractiveness of natural assets |
| Cultural resources and business travel | Number of World Heritage cultural sites (number of sites) Oral and intangible cultural heritage (number of expressions) Sports stadiums (number of large stadiums) Number of international association meetings, 3-year average Cultural and entertainment tourism digital demand |
Appendix A.4. National and Local Tourism Strategy
| GOVERNANCE | |
| Name of the institutions responsible for the management and promotion of the tourism sector, at the national level | e.g., Ministry of Tourism, Ministry of Tourism and Environment, etc. |
| Name of the institutions responsible for the management and the promotion of the tourism sector, at the regional level | e.g., PugliaPromozione, etc. |
| Presence of a tourism development plan/strategy, at the national level | e.g., “Italia Paese per Viaggiatori”, etc. |
| Principles of the tourism strategic plan, at the national level | |
| List of principles | e.g., “Sustainability”, “Accessibility”, “ Innovation”, etc. |
| Strategic objectives at the national level | |
| List of target objectives | e.g., “Bost the tourism system’s competitiveness”. |
| Presence of development/strategic plan for tourism, at the local level | e.g., “Puglia 365”, etc. |
| Thematic area of development/strategic plan for tourism, at the local level | |
| List of thematic areas | e.g., “Hospitality”, “Education”, “Infrastructure”, etc. |
| Presence of destination management organization systems at national level | Name of the DMS at the national Level, e.g., “Enit.it2 |
| Presence of destination management organization systems at regional level | Name of the DMS at the local level, e.g., “agenziapugliapromozione.it” |
| Public organization or public private partnership to promote the tourism destination | List of other public or public/private organizations for tourism management |
Appendix A.5. Destination Identity/Brand
- Identification of an official hashtag or keyword to monitor, related to a specific destination;
- Identification of social media analytical tools;
- Identification of an official social network account (Facebook, Instagram, or Twitter);
- Definition of the observation time;
- Identification of social media metrics to analyse;
- Identification of social media metrics related to a social media account (Facebook, Instagram, or Twitter).
Appendix B
Questionnaire for Intermediaries
- 1.
I Am a: Name of Intermediary Ownership Website (If Yes,
Indicate the Name)Mobile App (If Yes, Indicate the Name) □ Tour operator
□ Travel agent
□ Other _______□ Public
□ Private
□ Other ___________________
____________
________________________
____________
____________- 2.
- What are the reasons of usage of internet? Indicate from 1 (low) to 7 (high).
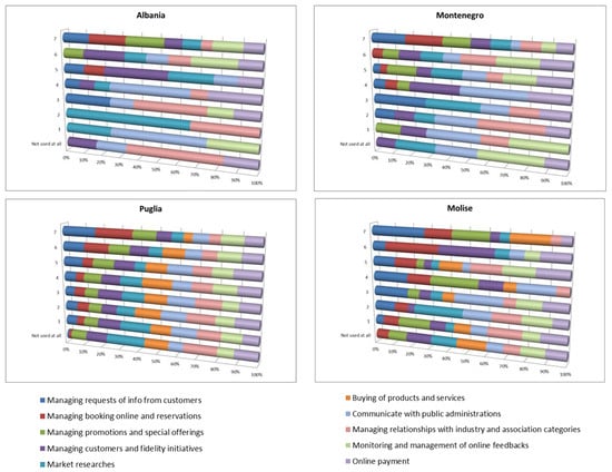
Not Used at All 1 2 3 4 5 6 7 1. Managing requests of info from customers □ □ □ □ □ □ □ □ 2. Managing promotions and special offerings □ □ □ □ □ □ □ □ 3. Managing customers and fidelity initiatives □ □ □ □ □ □ □ □ 4. Market researches □ □ □ □ □ □ □ □ 5. Buying of products and services □ □ □ □ □ □ □ □ 6. Communicate with public administrations □ □ □ □ □ □ □ □ 7. Managing relationships with touristic firms and association categories □ □ □ □ □ □ □ □ 8. Monitoring and management of online feedbacks □ □ □ □ □ □ □ □ 9. Online payment □ □ □ □ □ □ □ □ - 3.
- What kind of technologies are used for marketing purposes? Indicate from 1 (low) to 7 (high).
Not Used at All 1 2 3 4 5 6 7 1. Telephone □ □ □ □ □ □ □ □ 2. E-mail □ □ □ □ □ □ □ □ 3. Web site □ □ □ □ □ □ □ □ 4. Facebook □ □ □ □ □ □ □ □ 5. Twitter □ □ □ □ □ □ □ □ 6. App □ □ □ □ □ □ □ □ 7. Other online tools □ □ □ □ □ □ □ □ - 4.
- What is the level of use of the following technologies? Indicate from 1 (low) to 7 (high).
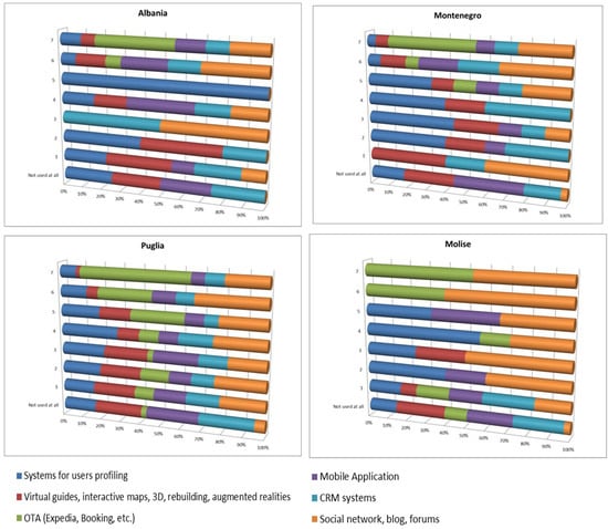
Not Used at All 1 2 3 4 5 6 7 1. Systems for users profiling □ □ □ □ □ □ □ □ 2. Virtual guides, interactive maps, 3D, rebuilding, augmented realities □ □ □ □ □ □ □ □ 3. Digital marketplaces (Booking, Expedia, and so on) □ □ □ □ □ □ □ □ 4. Mobile Application □ □ □ □ □ □ □ □ 5. CRM systems □ □ □ □ □ □ □ □ 6. Social network, blog, forums □ □ □ □ □ □ □ □ - 5.
- What is the level of use of the following technologies? Indicate from 1 (low) to 7 (high).
Not Used at All 1 2 3 4 5 6 7 1. Systems for users profiling □ □ □ □ □ □ □ □ 2. Virtual guides, interactive maps, 3D, rebuilding, augmented realities □ □ □ □ □ □ □ □ 3. Digital marketplaces (Booking, Expedia, and so on) □ □ □ □ □ □ □ □ 4. Mobile Application □ □ □ □ □ □ □ □ 5. CRM systems □ □ □ □ □ □ □ □ 6. Social network, blog, forums □ □ □ □ □ □ □ □ - 6.
- Where do you save the gathered data?
- 7.
- How do you think all your data could be used for?
- 8.
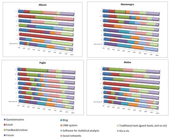
- What kind of tools are used by your company to monitor customer satisfaction? Indicate from 1 (low) to 7 (high).
Not Used at All 1 2 3 4 5 6 7 1. Questionnaires □ □ □ □ □ □ □ □ 2. Email □ □ □ □ □ □ □ □ 3. Feedback/reviews □ □ □ □ □ □ □ □ 4. Forum □ □ □ □ □ □ □ □ 5. Blog □ □ □ □ □ □ □ □ 6. CRM system □ □ □ □ □ □ □ □ 7. Software for statistical analysis □ □ □ □ □ □ □ □ 8. Social networks □ □ □ □ □ □ □ □ 9. Traditional tools (guest book, and so on) □ □ □ □ □ □ □ □ 10. Vis-à-vis □ □ □ □ □ □ □ □ - 9.
- For which type of the following activities do you collaborate with other partners?
- 10.
- Do you have any kind of collaboration/interaction with customers? □ Y □ N. If yes, what kind?
- 11.
- What are the advantages of social network adoption?
- 12.
- Do you have a collaboration with other partners, in order to incentive the touristic tours in the city? □ Y □ N. If yes, what kind of partner do you have?
References
- Noferini, A.; Berzi, M.; Camonita, F.; Durà, A. Cross-border cooperation in the EU: Euroregions amid multilevel governance and re-territorialization. Eur. Plan. Stud. 2020, 28, 35–56. [Google Scholar] [CrossRef]
- Blaas, W. A New Perspective for European Spatial Development Policies; Routledge: Milton Road, UK, 2019. [Google Scholar]
- Blatter, J. From ‘spaces of place’to ‘spaces of flows’? Territorial and functional governance in cross-border regions in Europe and North America. Int. J. Urban Reg. Res. 2004, 28, 530–548. [Google Scholar] [CrossRef]
- Foray, D.; McCann, P.; Ortega-Argilés, R. Smart specialization and European regional development policy. In Oxford Handbook of Local Competitiveness; Oxford University Press: Oxford, UK, 2015; pp. 458–480. [Google Scholar]
- Weidenfeld, A. Tourism and cross border regional innovation systems. Ann. Tour. Res. 2013, 42, 191–213. [Google Scholar] [CrossRef]
- Prokkola, E.K. Cross-border regionalization and tourism development at the Swedish-Finnish border: “Destination arctic circle”. Scand. J. Hosp. Tour. 2007, 7, 120–138. [Google Scholar] [CrossRef]
- Biagi, B.; Brandano, M.G.; Ortega-Argilés, R. Smart specialization and tourism: Understanding the priority choices in EU regions. Socio-Econ. Plan. Sci. 2021, 74, 100883. [Google Scholar] [CrossRef]
- Wintjes, R.; Hollanders, H. Innovation Pathways and Policy Challenges at the Regional Level: Smart Specialization; UNU-MERIT: Maastricht, The Netherlands, 2011. [Google Scholar]
- Weidenfeld, A. Tourism diversification and its implications for smart specialisation. Sustainability 2018, 10, 319. [Google Scholar] [CrossRef]
- European Commission. “TourismPartners Europe”—Development of European Cross-Border Tourist Destinations. INTERREG IIIC East zone project 2004–2007; Best Practice Report Draft; European Commission: Brussels, Belgium, 2007. [Google Scholar]
- Timothy, D.J. Cross-border partnership in tourism resource management: International parks along the US-Canada border. J. Sustain. Tour. 1999, 7, 182–205. [Google Scholar] [CrossRef]
- Gretzel, U.; Werthner, H.; Koo, C.; Lamsfus, C. Conceptual foundations for understanding smart tourism ecosystems. Comput. Hum. Behav. 2015, 50, 558–563. [Google Scholar] [CrossRef]
- Palazzo, M.; Gigauri, I.; Panait, M.C.; Apostu, S.A.; Siano, A. Sustainable Tourism Issues in European Countries during the Global Pandemic Crisis. Sustainability 2022, 14, 3844. [Google Scholar] [CrossRef]
- Del Vecchio, P.; Passiante, G. Is tourism a driver for smart specialization? Evidence from Apulia, an Italian region with a tourism vocation. J. Destin. Mark. Manag. 2017, 6, 163–165. [Google Scholar] [CrossRef]
- Xiang, Z.; Fesenmaier, D.R. Big data analytics, tourism design and smart tourism. In Analytics in Smart Tourism Design; Springer: Cham, Switzerland, 2017; pp. 299–307. [Google Scholar]
- Bănescu, C.; Boboc, C.; Ghiță, S.; Vasile, V. Tourism in Digital Era. In Proceedings of the 7th BASIQ International Conference on New Trends in Sustainable Business and Consumption, Foggia, Italy, 3–5 June 2021; pp. 3–5. [Google Scholar]
- Ndou, V.; Mele, G.; Hysa, E.; Manta, O. Exploiting Technology to Deal with the COVID-19 Challenges in Travel and Tourism: A Bibliometric Analysis. Sustainability 2022, 14, 5917. [Google Scholar] [CrossRef]
- Eşitti, B.B. COVID-19 and Alternative Tourism: New Destinations and New Tourism Products. In Handbook of Research on the Impacts and Implications of COVID-19 on the Tourism Industry; IGI Global: Hershey, PE, USA, 2021; pp. 786–805. [Google Scholar]
- Ödemiş, M. Smart Tourism Destinations: A Literature Review on Applications in Turkey's Touristic Destinations. In Optimizing Digital Solutions for Hyper-Personalization in Tourism and Hospitality; IGI Global: Hershey, PE, USA, 2022; pp. 131–153. [Google Scholar]
- Lopes, H.S.; Remoaldo, P.C.; Ribeiro, V.; Martín-Vide, J. Effects of the COVID-19 pandemic on tourist risk perceptions—The case study of Porto. Sustainability 2021, 13, 6399. [Google Scholar] [CrossRef]
- Lopes, H.S.; Remoaldo, P.C.; Ribeiro, V.; Martín-Vide, J. Pathways for adapting tourism to climate change in an urban destination—Evidences based on thermal conditions for the Porto Metropolitan Area (Portugal). J. Environ. Manag. 2022, 315, 115161. [Google Scholar] [CrossRef] [PubMed]
- Baggio, R.; Scott, N.; Cooper, C. Network science: A review focused on tourism. Ann. Tour. Res. 2010, 37, 802–827. [Google Scholar] [CrossRef]
- Buhalis, D.; Sinarta, Y. Real-time co-creation and nowness service: Lessons from tourism and hospitality. J. Travel Tour. Mark. 2019, 36, 563–582. [Google Scholar] [CrossRef]
- Sigala, M. New technologies in tourism: From multi-disciplinary to anti-disciplinary advances and trajectories. Tour. Manag. Perspect. 2018, 25, 151–155. [Google Scholar] [CrossRef]
- Dorcic, J.; Komsic, J.; Markovic, S. Mobile technologies and applications towards smart tourism–state of the art. Tour. Rev. 2019, 74, 82–103. [Google Scholar] [CrossRef]
- Nicolau, J.L.; Zach, F.J.; Tussyadiah, I.P. Effects of distance and first-time visitation on tourists’ length of stay. J. Hosp. Tour. Res. 2018, 42, 1023–1038. [Google Scholar] [CrossRef]
- Marasco, A.; De Martino, M.; Magnotti, F.; Morvillo, A. Collaborative innovation in tourism and hospitality: A systematic review of the literature. Int. J. Contemp. Hosp. Manag. 2018, 30, 2364–2395. [Google Scholar] [CrossRef]
- Neuhofer, B.; Buhalis, D.; Ladkin, A. Smart technologies for personalized experiences: A case study in the hospitality domain. Electron. Mark. 2015, 25, 243–254. [Google Scholar] [CrossRef]
- Prahalad, C.K.; Ramaswamy, V. Co-creation experiences: The next practice in value creation. J. Interact. Mark. 2004, 18, 5–14. [Google Scholar] [CrossRef]
- Femenia-Serra, F.; Ivars-Baidal, J.A. Do Smart Tourism Destinations Really Work? The Case of Benidorm. Asia Pac. J. Tour. Res. 2018, 26, 365–384. [Google Scholar] [CrossRef]
- Hysa, E.; Kruja, A.D. Advances of Sharing Economy in Agriculture and Tourism Sectors of Albania. In The Sharing Economy in Europe; Palgrave Macmillan: Cham, Switzerland, 2022; pp. 365–383. [Google Scholar]
- Lu, C.W.; Huang, J.C.; Chen, C.; Shu, M.H.; Hsu, C.W.; Bapu, B.T. An energy-efficient smart city for sustainable green tourism industry. Sustain. Energy Technol. Assess. 2021, 47, 101494. [Google Scholar] [CrossRef]
- Lopez de Avila, A. Smart destinations: XXI century tourism. In Proceedings of the ENTER2015 Conference on Information and Communication Technologies in Tourism, Lugano, Switzerland, 3–6 February 2015; pp. 4–6. [Google Scholar]
- Gretzel, U. Smart Destination Research: State of the Art. In Proceedings of the Smart Tourism Destinations: New Horizons in Tourism Research and Management STDRM. 2017. Available online: https://www.researchgate.net/profile/Ulrike-Gretzel/publication/320624748_Smart_Destination_Research_State_of_the_Art/links/59f22ea9aca272cdc7d013b8/Smart-Destination-Research-State-of-the-Art.pdf (accessed on 20 October 2022).
- Buhalis, D.; Amaranggana, A. Smart tourism destinations. In Information and Communication Technologies in Tourism; Springer: Cham, Switzerland, 2014; pp. 553–564. [Google Scholar] [CrossRef]
- Boes, K.; Buhalis, D.; Inversini, A. Smart tourism destinations: Ecosystems for tourism destination competitiveness. Int. J. Tour. Cities 2016, 2, 108–124. [Google Scholar] [CrossRef]
- Ndou, V.; Petti, C. Approaching tourism as a complex dynamic system: Implications and insights. In Information and Communication Technologies in Tourism; Springer: Vienna, Austria, 2006; p. 26. [Google Scholar]
- Wang, X.; Li, X.R.; Zhen, F.; Zhang, J. How smart is your tourist attraction?: Measuring tourist preferences of smart tourism attractions via a FCEM-AHP and IPA approach. Tour. Manag. 2016, 54, 309–320. [Google Scholar] [CrossRef]
- Adeyinka-Ojo, S. A strategic framework for analysing employability skills deficits in rural hospitality and tourism destinations. Tour. Manag. Perspect. 2018, 27, 47–54. [Google Scholar] [CrossRef]
- Appio, F.P.; Lima, M.; Paroutis, S. Understanding Smart Cities: Innovation ecosystems, technological advancements, and societal challenges. Technol. Forecast. Soc. Change 2019, 142, 1–14. [Google Scholar] [CrossRef]
- Giffinger, R.; Fertner, C.; Kramar, H.; Meijers, E. City-ranking of European medium-sized cities. Cent. Reg. Sci. Vienna UT 2007, 9, 1–12. [Google Scholar]
- Interreg Mediterranean Report. May 2019. Available online: https://sustainable-tourism.interreg-med.eu/bs/news-events/news/detail/actualites/policy-factsheet-2-promoting-alternative-tourism-models-to-reduce-pressures-in-the-mediterranean-r/ (accessed on 30 December 2022).
- Bellini, N.; Grillo, F.; Lazzeri, G.; Pasquinelli, C. Tourism and regional economic resilience from a policy perspective: Lessons from smart specialization strategies in Europe. Eur. Plan. Stud. 2017, 25, 140–153. [Google Scholar] [CrossRef]
- Matusiak, M.; Kleibrink, A. Supporting an Innovation Agenda for the Western Balkans: Tools and Methodologies. Publications Office of the EU, Luxembourg. Consultable à. 2018. Available online: http://publications.jrc.ec.europa.eu/repository (accessed on 20 October 2022).
- OECD. Competitiveness in South East Europe: A Policy Outlook; Organisation for Economic Co-operation and Development: Paris, France, 2018. [Google Scholar]
- Benner, M. Tourism in the context of smart specialization: The example of Montenegro. Curr. Issues Tour. 2019, 1–7. [Google Scholar] [CrossRef]
- Pedrini, L. The geography of tourism and leisure in Italy. GeoJournal 1984, 55–57. [Google Scholar] [CrossRef]
- Boboc, C.; Ghita, S.; Vasile, V. Patterns in Romanian Tourism Activity—A Factorial Analysis. In Caring and Sharing: The Cultural Heritage Environment as an Agent for Change; Springer: Cham, Switzerland, 2019; pp. 91–101. [Google Scholar]
- Nientied, P.; Porfido, E.; Ciro, A. Sustainable tourism development in Albania in times of liquid modernity. In Proceedings of the International Workshop: Enhancing Sustainable Tourism in Adriatic-Ionian Region through Co-Creation, Macerata, Italy, 15–16 September 2018; Available online: https://iris.unife.it/handle/11392/2386770 (accessed on 1 December 2022).
- Mastronardi, L.; Giaccio, V.; Giannelli, A.; Stanisci, A. Methodological Proposal about the Role of Landscape in the Tourism Development Process in Rural Areas: The Case of Molise Region (Italy). Eur. Countrys. 2017, 9, 245–262. [Google Scholar] [CrossRef]
- Vasile, V.; Surugiu, M.R.; Login, I.A. Heritage entrepreneurship and ecotourism. A new vision on ecosystem protection and in-situ specific activities for cultural heritage consumption. Rev. Romana De Econ. 2016, 42, 140–154. [Google Scholar]
- Vasile, V.; Bănică, E. Cultural Heritage Tourism Export and Local Development. Performance Indicators and Policy Challenges for Romania. In Caring and Sharing: The Cultural Heritage Environment as an Agent for Change; Springer: Cham, Switzerland, 2019; pp. 271–290. [Google Scholar]
- Filieri, R.; McLeay, F. E-WOM and Accommodation an Analysis of the Factors That Influence Travelers’ Adoption of Information from Online Reviews. J. Travel Res. 2014, 53, 44–57. [Google Scholar] [CrossRef]
- Sparks, B.A.; Browning, V. The impact of online reviews on hotel booking intentions and perception of trust. Tour. Manag. 2011, 32, 1310–1323. [Google Scholar] [CrossRef]
- Hysa, E. Influence of Tourism Sector In Albanian Gdp: Stimation Using Multiple Regression Method. Rev. Tur. Stud. Cercet. Tur. 2012, 13, 21–26. [Google Scholar]
- Crouch, G.I.; Ritchie, J.B. Application of the analytic hierarchy process to tourism choice and decision making: A review and illustration applied to destination competitiveness. Tour. Anal. 2005, 10, 17–25. [Google Scholar] [CrossRef]
- Buhalis, D. Tourism and information technologies: Past, present and future. Tour. Recreat. Res. 2000, 25, 41–58. [Google Scholar] [CrossRef]
- Hassan, S.S. Determinants of market competitiveness in an environmentally sustainable tourism industry. J. Travel Res. 2000, 38, 239–245. [Google Scholar] [CrossRef]
- Dupeyras, A.; MacCallum, N. Indicators for Measuring Competitiveness in Tourism. 2013. Available online: https://www.oecd.org/cfe/tourism/indicators%20for%20measuring%20competitiveness%20in%20tourism.pdf (accessed on 20 October 2022).
- Dos Anjos, F.A.; Kennell, J. Tourism, governance and sustainable development. Sustainability 2019, 11, 4257. [Google Scholar] [CrossRef]
- Tran, H.M.; Huertas, A.; Moreno, A. 6: A New Framework for the Analysis of Smart Tourism Destinations. A Comparative Case Study of Two Spanish Destinations. 2017. Available online: https://rua.ua.es/dspace/bitstream/10045/70149/5/Actas-Seminario-Destinos-Turisticos-Inteligentes_09.pdf (accessed on 20 October 2022).
- Della Corte, V.; Sciarelli, M.; Cascella, C.; Del Gaudio, G. Customer satisfaction in tourist destination: The case of tourism offer in the city of Naples. J. Invest. Manag. 2015, 4, 39–50. [Google Scholar] [CrossRef]
- Kanwel, S.; Lingqiang, Z.; Asif, M.; Hwang, J.; Hussain, A.; Jameel, A. The Influence of Destination Image on Tourist Loyalty and Intention to Visit: Testing a Multiple Mediation Approach. Sustainability 2019, 11, 6401. [Google Scholar] [CrossRef]
- Gretzel, U. The Role of Social Media in Creating and Addressing Overtourism. Overtourism: Issues, Realities and Solutions; De Gruyter: Boston, MA, USA, 2019; pp. 62–75. [Google Scholar]
- Elia, G.; Solazzo, G.; Lorenzo, G.; Passiante, G. The “Big Social Data” paradigm: Definition, key features, and applicative contexts. In Proceedings of the 14th International Forum on Knowledge Asset Dynamics (IFKAD 2019): Knowledge Ecosystems and Growth, Matera, Italy, 7–9 June 2019. [Google Scholar]
- Knippschild, R.; Vock, A. The conformance and performance principles in territorial cooperation: A critical reflection on the evaluation of INTERREG projects. Reg. Stud. 2017, 51, 1735–1745. [Google Scholar] [CrossRef]
- Liuhto, K. The EU-Russia innovation cooperation: Some experiences emerging from Finnish-Russian innovation collaboration. J. East-West Bus. 2011, 17, 156–169. [Google Scholar] [CrossRef]
- Makkonen, T.; Williams, A.M.; Weidenfeld, A.; Kaisto, V. Cross-border knowledge transfer and innovation in the European neighbourhood: Tourism cooperation at the Finnish-Russian border. Tour. Manag. 2018, 68, 140–151. [Google Scholar] [CrossRef]
- Xiang, Z.; Gretzel, U. Role of social media in online travel information search. Tour. Manag. 2010, 31, 179–188. [Google Scholar] [CrossRef]
- Vasilescu, M.D.; Apostu, S.A.; Militaru, E.; Hysa, E. Public Opinion on European Health Policy, Lessons from the COVID-19 Pandemic. Int. J. Environ. Res. Public Health 2022, 19, 4813. [Google Scholar] [CrossRef]
- Hysa, E.; Imeraj, E.; Feruni, N.; Panait, M.; Vasile, V. COVID-19—A Black Swan for Foreign Direct Investment: Evidence from European Countries. J. Risk Financ. Manag. 2022, 15, 156. [Google Scholar] [CrossRef]
- Manta, O.; Hysa, E.; Kruja, A. Finances and National Economy: Frugal Economy as a Forced Approach of the COVID Pandemic. Sustainability 2021, 13, 6470. [Google Scholar] [CrossRef]
- Avram, G.; Hysa, E. Education, Knowledge and Data in the Context of the Sharing Economy. In The Sharing Economy in Europe; Palgrave Macmillan: Cham, Switzerland, 2022; pp. 181–206. [Google Scholar]
- Solazzo, G.; Maruccia, Y.; Ndou, V.; Del Vecchio, P. How to exploit Big Social Data in the Covid-19 pandemic: The case of the Italian tourism industry. Serv. Bus. 2022, 16, 417–443. [Google Scholar] [CrossRef]
- Rodrigues, J.M.; Cardoso, P.J.; Monteiro, J.; Ramos, C.M. Augmented intelligence: Leverage smart systems. In Smart Systems Design, Applications, and Challenges; IGI Global: Hershey, PE, USA, 2020; pp. 1–22. [Google Scholar]














Disclaimer/Publisher’s Note: The statements, opinions and data contained in all publications are solely those of the individual author(s) and contributor(s) and not of MDPI and/or the editor(s). MDPI and/or the editor(s) disclaim responsibility for any injury to people or property resulting from any ideas, methods, instructions or products referred to in the content. |
© 2023 by the authors. Licensee MDPI, Basel, Switzerland. This article is an open access article distributed under the terms and conditions of the Creative Commons Attribution (CC BY) license (https://creativecommons.org/licenses/by/4.0/).
Share and Cite
Ndou, V.; Hysa, E.; Maruccia, Y. A Methodological Framework for Developing a Smart-Tourism Destination in the Southeastern Adriatic–Ionian Area. Sustainability 2023, 15, 2057. https://doi.org/10.3390/su15032057
Ndou V, Hysa E, Maruccia Y. A Methodological Framework for Developing a Smart-Tourism Destination in the Southeastern Adriatic–Ionian Area. Sustainability. 2023; 15(3):2057. https://doi.org/10.3390/su15032057
Chicago/Turabian StyleNdou, Valentina, Eglantina Hysa, and Ylenia Maruccia. 2023. "A Methodological Framework for Developing a Smart-Tourism Destination in the Southeastern Adriatic–Ionian Area" Sustainability 15, no. 3: 2057. https://doi.org/10.3390/su15032057
APA StyleNdou, V., Hysa, E., & Maruccia, Y. (2023). A Methodological Framework for Developing a Smart-Tourism Destination in the Southeastern Adriatic–Ionian Area. Sustainability, 15(3), 2057. https://doi.org/10.3390/su15032057

