Experimental Research on Coal-Gas Outburst Prevention by Injection Liquid Freezing during Uncovering Coal Seam in Rock Crosscut
Abstract
1. Introduction
2. Main Influence Factors and Hypotheses of Coal–Gas Outburst
3. Analyses on Coal–Gas Outburst Process
4. Research Methods on Injection Liquid Freezing
5. Injection Liquid Freezing Experiment
5.1. Sampling Survey
5.2. Experiment Equipment
5.3. Experiment Procedure
6. Results and Discussion
6.1. Relationship between Temperature and Freezing Time
6.2. Porosity and the Initial Speed of Gas Diffusion
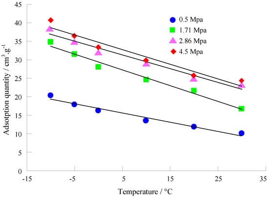
6.3. Effect of Temperature on CH4 Adsorption of Coal
6.4. The Changes inMechanical Properties of Coal
6.5. The Changes of the Coal Structure
6.6. Effect Evaluation of Freezing Measures for Injection Liquid Freezing
7. Conclusions
Author Contributions
Funding
Institutional Review Board Statement
Informed Consent Statement
Data Availability Statement
Conflicts of Interest
References
- Cao, Y.; He, D.; Glick, D.C. Coal and gas outburst in footwalls of reverse faults. Int. J. Coal Geol. 2001, 48, 47–63. [Google Scholar] [CrossRef]
- Xuefu, X.; Jiang, X.; Hongtu, W. Predication of potential danger region (zone) of coal and gas outburst. Eng. Sci. 2001, 3, 39–46, 51. [Google Scholar]
- Li, H. Major and minor structural features of a bedding shear zone along a coal seam and related gas outburst, Pingdingshan coalfield, northern China. Int. J. Coal Geol. 2001, 47, 101–113. [Google Scholar] [CrossRef]
- Ye, Q.; Wang, W.; Wang, G.; Jia, Z. Numerical simulation on tendency mining-fracture-evolution characteristics of overlying strata and coal seams above working face with large inclination angle and mining depth. Arab. J. Geosci. 2017, 10, 82. [Google Scholar] [CrossRef]
- Ye, Q.; Wang, G.G.; Jia, Z.; Zheng, C. Experimental study on the influence of wall heat effect on gas explosion and its propagation. Appl. Therm. Eng. 2017, 118, 392–397. [Google Scholar] [CrossRef]
- Ye, Q.; Jia, Z.; Zheng, C. Study on hydraulic-controlled blasting technology for pressure relief and permeability improvement in a deep hole. J. Pet. Sci. Eng. 2017, 159, 433–442. [Google Scholar] [CrossRef]
- Guo, X. Application of directional long borehole gas drainage and outburst prevention technology in crosscut coal uncovering operation. Coal Sci. Technol. Mag. 2022, 43, 95–99. [Google Scholar]
- Tian, S.; Jiang, C.; Xu, L.; Yang, D.; Tang, J.; Chen, Y.; Li, X. A study of the principles and methods of quick validation of the outburst-prevention effect in the process of coal uncovering. J. Nat. Gas Sci. Eng. 2016, 30, 276–283. [Google Scholar] [CrossRef]
- Hu, C. Research and application of progressive tunneling technology in coal uncovering with top coal crosscut. Coal Chem. Ind. 2022, 45, 32–34. [Google Scholar]
- Wang, J. Study on advance grouting reinforcement technology of crosscut coal uncovering. Coal Chem. Ind. 2022, 45, 28–30. [Google Scholar]
- Qing, Y.; Tao, F.; Baiquan, L.; Zhenzhen, J. Study on prevention and control technology of gas and coal delay outburst in uncovering coal seam in crosscut. China Saf. Sci. J. 2008, 18, 167–171. [Google Scholar]
- Ye, Q.; Wang, G.; Jia, Z.; Zheng, C.; Wang, W. Similarity simulation of mining-crack-evolution characteristics of overburden strata in deep coal mining with large dip. J. Pet. Sci. Eng. 2018, 165, 477–487. [Google Scholar] [CrossRef]
- Lama, R.D.; Bodziony, J. Management of outburst in underground coal mines. Int. J. Coal Geol. 1998, 35, 83–115. [Google Scholar] [CrossRef]
- Jiang, C.; Yu, Q. Spherical Shell Instability Mechanism and Control Technology of Coal and Gas Outburst; University of Mining and Technology Press: Xuzhou, China, 1998. [Google Scholar]
- Jia, Z. Research on Coal and Gas Delay Outburst Power Sources and Its Prediction Technology in Tunneling Process in Coal Mines. Ph.D. Dissertation, Central South University, Changsha, China, 2014. [Google Scholar]
- Li, C.; Zhang, X.; Wei, C.; Nie, Y. Study on plastic zone distribution characteristic of coal and rock mass in excavation from crosscut coa1. Geofluids 2020, 2020, 6610399. [Google Scholar] [CrossRef]
- Jiang, C.; Guo, L. The mechanism of delay outburst and its simulated tests. J. China Coal Soc. 1999, 24, 373–378. [Google Scholar]
- Qing, Y.; Tao, F.; Zhenzhen, J.; Baiquan, L.; Lihua, Z. Mechanism and effect factors of gas and coal delay outburst in uncovering coal seam in crosscut. China Min. Mag. 2008, 17, 83–85. [Google Scholar]
- Wu, Y.; Pan, T.; Tang, J. Application of artificial freezing technology in city underground engineering. Explor. Eng. 2006, 6, 60–63. [Google Scholar]
- Yin, G.; Wang, D.; Zhang, D.; Wang, W. Test analysis of deformation characteristics and compressive strengths of two types of coal specimens containing gas. Chin. J. Rock Mech. Eng. 2009, 28, 410–417. [Google Scholar]
- Yang, Z.; Song, Y. Prevention of coal and gas outburst in crosscut by using grouting reinforcement technology. Saf. Coal Mines. 2007, 1, 9–11. [Google Scholar]
- Zhang, C.; Xiao, P.; Chen, J.; Lin, J. Theory and practical experience with prevention and control of coal and gas outburst by applying solidifying liquid. J. China Coal Soc. 1995, 20 (Suppl. S1), 70–75. [Google Scholar]
- Lin, Y.; Ma, D.; Liu, Y.; Ma, W.; Jia, X. Experiment of the influence of temperature on coal bed methane adsorption. Coal Geol. Explor. 2012, 40, 24–28. [Google Scholar]










| Coal Sample Number | Test Index | Before Freezing | After Freezing | Ratio |
|---|---|---|---|---|
| 1 | n | 12.6 | 8.14 | 64.6% |
| 2 | n | 11.8 | 8.06 | 68.3% |
| 1# | ΔP | 35.5 | 4 | 11.3% |
| 2# | ΔP | 36.2 | 5 | 13.8% |
| Freezing Temperature (°C) | Average Compressive Strength (MPa) | Average Axial Strain (10−3) | Average Transverse Strain (10−3) | Average Elastic Modulus (GPa) | Average Poisson Ratio |
|---|---|---|---|---|---|
| −5 | 1.36 | 59.16 | 35.10 | 0.028 | 0.48 |
| −10 | 2.17 | 55.91 | 30.64 | 0.046 | 0.39 |
| −15 | 3.03 | 61.02 | 61.02 | 0.061 | 0.41 |
| −20 | 3.82 | 67.13 | 67.13 | 0.066 | 0.35 |
Disclaimer/Publisher’s Note: The statements, opinions and data contained in all publications are solely those of the individual author(s) and contributor(s) and not of MDPI and/or the editor(s). MDPI and/or the editor(s) disclaim responsibility for any injury to people or property resulting from any ideas, methods, instructions or products referred to in the content. |
© 2023 by the authors. Licensee MDPI, Basel, Switzerland. This article is an open access article distributed under the terms and conditions of the Creative Commons Attribution (CC BY) license (https://creativecommons.org/licenses/by/4.0/).
Share and Cite
Jia, Z.; Tao, F.; Ye, Q. Experimental Research on Coal-Gas Outburst Prevention by Injection Liquid Freezing during Uncovering Coal Seam in Rock Crosscut. Sustainability 2023, 15, 1788. https://doi.org/10.3390/su15031788
Jia Z, Tao F, Ye Q. Experimental Research on Coal-Gas Outburst Prevention by Injection Liquid Freezing during Uncovering Coal Seam in Rock Crosscut. Sustainability. 2023; 15(3):1788. https://doi.org/10.3390/su15031788
Chicago/Turabian StyleJia, Zhenzhen, Feng Tao, and Qing Ye. 2023. "Experimental Research on Coal-Gas Outburst Prevention by Injection Liquid Freezing during Uncovering Coal Seam in Rock Crosscut" Sustainability 15, no. 3: 1788. https://doi.org/10.3390/su15031788
APA StyleJia, Z., Tao, F., & Ye, Q. (2023). Experimental Research on Coal-Gas Outburst Prevention by Injection Liquid Freezing during Uncovering Coal Seam in Rock Crosscut. Sustainability, 15(3), 1788. https://doi.org/10.3390/su15031788

