Study on Microclimate and Thermal Comfort in Small Urban Green Spaces in Tokyo, Japan—A Case Study of Chuo Ward
Abstract
:1. Introduction
2. Materials and Methods
2.1. Study Site
2.2. Research Methods
2.2.1. Measurement Spots and Meteorological Data Collection
2.2.2. ENVI-Met Simulation
2.2.3. Validation of Simulation
2.2.4. Environmental Thermal Comfort Assessment
3. Results
3.1. Model Validation Results
3.2. Air Temperature Analysis
3.3. Thermal Comfort Assessment
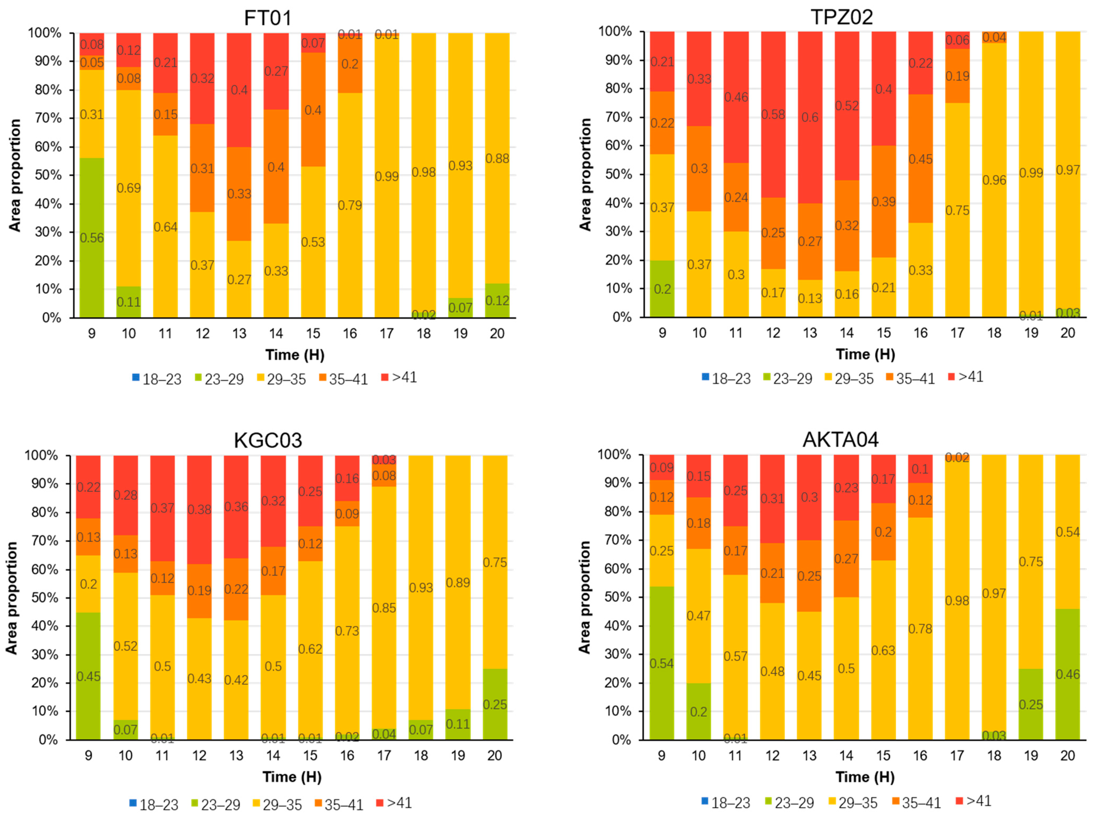
3.3.1. Thermal Comfort Assessment within the Green Spaces
3.3.2. Thermal Comfort Analysis between Green Spaces and the Surrounding Urban Blocks
4. Discussion
5. Conclusions
Author Contributions
Funding
Data Availability Statement
Conflicts of Interest
References
- Zhang, J.; Li, Z.; Wei, Y.; Hu, D. The Impact of the Building Morphology on Microclimate and Thermal Comfort—A Case Study in Beijing. Build. Environ. 2022, 223, 109469. [Google Scholar] [CrossRef]
- United Nations. The World’s Cities in 2016; Statistical Papers—United Nations (Ser. A), Population and Vital Statistics Report; UN: New York, NY, USA, 2016; ISBN 978-92-1-362000-7. Available online: https://digitallibrary.un.org/record/1634928 (accessed on 10 June 2023).
- Sumari, N.S.; Cobbinah, P.B.; Ujoh, F.; Xu, G. On the Absurdity of Rapid Urbanization: Spatio-Temporal Analysis of Land-Use Changes in Morogoro, Tanzania. Cities 2020, 107, 102876. [Google Scholar] [CrossRef]
- Oke, T.R. The Energetic Basis of the Urban Heat Island. Q. J. R. Meteorol. Soc. 1982, 108, 1–24. [Google Scholar] [CrossRef]
- Arnfield, A.J. Two Decades of Urban Climate Research: A Review of Turbulence, Exchanges of Energy and Water, and the Urban Heat Island. Int. J. Climatol. 2003, 23, 1–26. [Google Scholar] [CrossRef]
- Zhou, W.; Yu, W.; Wu, T. An Alternative Method of Developing Landscape Strategies for Urban Cooling: A Threshold-Based Perspective. Landsc. Urban Plan. 2022, 225, 104449. [Google Scholar] [CrossRef]
- Yu, Z.; Guo, X.; Zeng, Y.; Koga, M.; Vejre, H. Variations in Land Surface Temperature and Cooling Efficiency of Green Space in Rapid Urbanization: The Case of Fuzhou City, China. Urban For. Urban Green. 2018, 29, 113–121. [Google Scholar] [CrossRef]
- Bonamente, E.; Rossi, F.; Coccia, V.; Pisello, A.L.; Nicolini, A.; Castellani, B.; Cotana, F.; Filipponi, M.; Morini, E.; Santamouris, M. An Energy-Balanced Analytic Model for Urban Heat Canyons: Comparison with Experimental Data. Adv. Build. Energy Res. 2013, 7, 222–234. [Google Scholar] [CrossRef]
- Wang, Y.; Zacharias, J. Landscape Modification for Ambient Environmental Improvement in Central Business Districts—A Case from Beijing. Urban For. Urban Green. 2015, 14, 8–18. [Google Scholar] [CrossRef]
- Wong, L.P.; Alias, H.; Aghamohammadi, N.; Aghazadeh, S.; Nik Sulaiman, N.M. Urban Heat Island Experience, Control Measures and Health Impact: A Survey among Working Community in the City of Kuala Lumpur. Sustain. Cities Soc. 2017, 35, 660–668. [Google Scholar] [CrossRef]
- Zeng, W.; Lao, X.; Rutherford, S.; Xu, Y.; Xu, X.; Lin, H.; Liu, T.; Luo, Y.; Xiao, J.; Hu, M.; et al. The Effect of Heat Waves on Mortality and Effect Modifiers in Four Communities of Guangdong Province, China. Sci. Total Environ. 2014, 482–483, 214–221. [Google Scholar] [CrossRef]
- Sarrat, C.; Lemonsu, A.; Masson, V.; Guedalia, D. Impact of Urban Heat Island on Regional Atmospheric Pollution. Atmos. Environ. 2006, 40, 1743–1758. [Google Scholar] [CrossRef]
- Lai, Y.; Ning, Q.; Ge, X.; Fan, S. Thermal Regulation of Coastal Urban Forest Based on ENVI-Met Model—A Case Study in Qinhuangdao, China. Sustainability 2022, 14, 7337. [Google Scholar] [CrossRef]
- Jang, G.; Kim, S.; Lee, J.S. Planning Scenarios and Microclimatic Effects: The Case of High-Density Riverside Residential Districts in Seoul, South Korea. Build. Environ. 2022, 223, 109517. [Google Scholar] [CrossRef]
- Li, Y.; Chen, Q.; Cheng, Q.; Li, K.; Cao, B.; Huang, Y. Evaluating the Influence of Different Layouts of Residential Buildings on the Urban Thermal Environment. Sustainability 2022, 14, 10227. [Google Scholar] [CrossRef]
- Tang, H.; Liu, J.; Zheng, B. Study on the Green Space Patterns and Microclimate Simulation in Typical Urban Blocks in Central China. Sustainability 2022, 14, 15391. [Google Scholar] [CrossRef]
- Liu, H.; Lim, J.Y.; Wint Hnin Thet, B.; Lai, P.-Y.; Koh, W.S. Evaluating the Impact of Tree Morphologies and Planting Densities on Outdoor Thermal Comfort in Tropical Residential Precincts in Singapore. Build. Environ. 2022, 221, 109268. [Google Scholar] [CrossRef]
- Li, Y.; Lin, D.; Zhang, Y.; Song, Z.; Sha, X.; Zhou, S.; Chen, C.; Yu, Z. Quantifying Tree Canopy Coverage Threshold of Typical Residential Quarters Considering Human Thermal Comfort and Heat Dynamics under Extreme Heat. Build. Environ. 2023, 233, 110100. [Google Scholar] [CrossRef]
- Zhou, X.; Zhang, S.; Zhu, D. Impact of Urban Water Networks on Microclimate and PM2.5 Distribution in Downtown Areas: A Case Study of Wuhan. Build. Environ. 2021, 203, 108073. [Google Scholar] [CrossRef]
- Zölch, T.; Rahman, M.A.; Pfleiderer, E.; Wagner, G.; Pauleit, S. Designing Public Squares with Green Infrastructure to Optimize Human Thermal Comfort. Build. Environ. 2019, 149, 640–654. [Google Scholar] [CrossRef]
- Boeri, A.; Longo, D.; Fabbri, K.; Roversi, R.; Boulanger, S. The Relation between Outdoor Microclimate and People Flow in Historic City Context the Case Study of Bologna within the ROCK Project. Sustainability 2023, 15, 7527. [Google Scholar] [CrossRef]
- Zhao, Q.; Sailor, D.J.; Wentz, E.A. Impact of Tree Locations and Arrangements on Outdoor Microclimates and Human Thermal Comfort in an Urban Residential Environment. Urban For. Urban Green. 2018, 32, 81–91. [Google Scholar] [CrossRef]
- Sodoudi, S.; Zhang, H.; Chi, X.; Müller, F.; Li, H. The Influence of Spatial Configuration of Green Areas on Microclimate and Thermal Comfort. Urban For. Urban Green. 2018, 34, 85–96. [Google Scholar] [CrossRef]
- Yamazaki, T.; Iida, A.; Hino, K.; Murayama, A.; Hiroi, U.; Terada, T.; Koizumi, H.; Yokohari, M. Use of Urban Green Spaces in the Context of Lifestyle Changes during the COVID-19 Pandemic in Tokyo. Sustainability 2021, 13, 9817. [Google Scholar] [CrossRef]
- Cybriwsky, R. Changing Patterns of Urban Public Space: Observations and Assessments from the Tokyo and New York Metropolitan Areas. Cities 1999, 16, 223–231. [Google Scholar] [CrossRef]
- Takahashi, K. Greenspace Depletion in Tokyo, Japan. Ph.D. Thesis, Ohio University, Athens, OH, USA, 2008. [Google Scholar]
- Rosso, F.; Pioppi, B.; Pisello, A.L. Pocket Parks for Human-Centered Urban Climate Change Resilience: Microclimate Field Tests and Multi-Domain Comfort Analysis through Portable Sensing Techniques and Citizens’ Science. Energy Build. 2022, 260, 111918. [Google Scholar] [CrossRef]
- Matsumoto, J.; Fujibe, F.; Takahashi, H. Urban Climate in the Tokyo Metropolitan Area in Japan. J. Environ. Sci. 2017, 59, 54–62. [Google Scholar] [CrossRef]
- Forstall, R.L.; Greene, R.P.; Pick, J.B. Which Are the Largest? Why Lists of Major Urban Areas Vary So Greatly. Tijdschr. Voor Econ. Soc. Geogr. 2009, 100, 277–297. [Google Scholar] [CrossRef]
- IPCC—Intergovernmental Panel on Climate Change. Available online: https://scholar.google.co.jp/scholar?q=30.+IPCC%E2%80%94Intergovernmental+Panel+on+Climate+Change&hl=zh-CN&as_sdt=0&as_vis=1&oi=scholart (accessed on 16 June 2023).
- Ihara, T.; Genchi, Y.; Sato, T.; Yamaguchi, K.; Endo, Y. City-Block-Scale Sensitivity of Electricity Consumption to Air Temperature and Air Humidity in Business Districts of Tokyo, Japan. Energy 2008, 33, 1634–1645. [Google Scholar] [CrossRef]
- Li, W.; Zhu, J. The Formation of a Polycentric City Structure—A Case Study of Tokyo. Beijing Urban Plan. Constr. 2003, 6, 23–25. [Google Scholar]
- Zhang, H.; Han, M. Pocket Parks in English and Chinese Literature: A Review. Urban For. Urban Green. 2021, 61, 127080. [Google Scholar] [CrossRef]
- Choi, G.Y.; Kim, H.S.; Kim, H.; Lee, J.S. How Do Paving and Planting Strategies Affect Microclimate Conditions and Thermal Comfort in Apartment Complexes? Int. J. Clim. Chang. Strateg. Manag. 2021, 13, 97–119. [Google Scholar] [CrossRef]
- Liu, Z.; Zheng, S.; Zhao, L. Evaluation of the ENVI-Met Vegetation Model of Four Common Tree Species in a Subtropical Hot-Humid Area. Atmosphere 2018, 9, 198. [Google Scholar] [CrossRef]
- Berardi, U.; Jandaghian, Z.; Graham, J. Effects of Greenery Enhancements for the Resilience to Heat Waves: A Comparison of Analysis Performed through Mesoscale (WRF) and Microscale (Envi-Met) Modeling. Sci. Total Environ. 2020, 747, 141300. [Google Scholar] [CrossRef]
- Haddad, S.; Paolini, R.; Ulpiani, G.; Synnefa, A.; Hatvani-Kovacs, G.; Garshasbi, S.; Fox, J.; Vasilakopoulou, K.; Nield, L.; Santamouris, M. Holistic Approach to Assess Co-Benefits of Local Climate Mitigation in a Hot Humid Region of Australia. Sci. Rep. 2020, 10, 14216. [Google Scholar] [CrossRef] [PubMed]
- Willmott, C.J. Some Comments on the Evaluation of Model Performance. Bull. Am. Meteorol. Soc. 1982, 63, 1309–1313. [Google Scholar] [CrossRef]
- Liu, C.; Ouyang, J.; Yan, J.; Tang, L. Landsenses Ecology: A New Idea for Watershed Ecology Restoration. Int. J. Environ. Res. Public Health 2023, 20, 3610. [Google Scholar] [CrossRef]
- Höppe, P. The Physiological Equivalent Temperature—A Universal Index for the Biometeorological Assessment of the Thermal Environment. Int. J. Biometeorol. 1999, 43, 71–75. [Google Scholar] [CrossRef]
- Biqaraz, B.; Fayaz, R.; Haghighaat Naeeni, G. A Comparison of Outdoor Thermal Comfort in Historical and Contemporary Urban Fabrics of Lar City. Urban Clim. 2019, 27, 212–226. [Google Scholar] [CrossRef]
- Kumar, P.; Sharma, A. Study on Importance, Procedure, and Scope of Outdoor Thermal Comfort—A Review. Sustain. Cities Soc. 2020, 61, 102297. [Google Scholar] [CrossRef]
- Johansson, E.; Thorsson, S.; Emmanuel, R.; Krüger, E. Instruments and Methods in Outdoor Thermal Comfort Studies—The Need for Standardization. Urban Clim. 2014, 10, 346–366. [Google Scholar] [CrossRef]
- Matzarakis, A.; Mayer, H. Another Kind of Environmental Stress: Thermal Stress. WHO Collaborating Centre for Air Quality Management and Air Pollution Control. Newsletters 1996, 18, 7–10. [Google Scholar]
- Nastos, P.T.; Matzarakis, A. The Effect of Air Temperature and Human Thermal Indices on Mortality in Athens, Greece. Theor. Appl. Clim. 2012, 108, 591–599. [Google Scholar] [CrossRef]
- Johansson, E.; Yahia, M.W.; Arroyo, I.; Bengs, C. Outdoor Thermal Comfort in Public Space in Warm-Humid Guayaquil, Ecuador. Int. J. Biometeorol. 2018, 62, 387–399. [Google Scholar] [CrossRef] [PubMed]
- Yan, T.; Jin, Y.; Jin, H. Combined Effects of the Visual-Thermal Environment on the Subjective Evaluation of Urban Pedestrian Streets in Severely Cold Regions of China. Build. Environ. 2023, 228, 109895. [Google Scholar] [CrossRef]
- Lai, D.; Guo, D.; Hou, Y.; Lin, C.; Chen, Q. Studies of Outdoor Thermal Comfort in Northern China. Build. Environ. 2014, 77, 110–118. [Google Scholar] [CrossRef]
- Honjo, T. Thermal Comfort in Outdoor Environment. Glob. Environ. Res. 2009, 13, 43–47. [Google Scholar]
- Tsoka, S.; Tsikaloudaki, A.; Theodosiou, T. Analyzing the ENVI-Met Microclimate Model’s Performance and Assessing Cool Materials and Urban Vegetation Applications—A Review. Sustain. Cities Soc. 2018, 43, 55–76. [Google Scholar] [CrossRef]
- Lu, J.; Li, Q.; Zeng, L.; Chen, J.; Liu, G.; Li, Y.; Li, W.; Huang, K. A Micro-Climatic Study on Cooling Effect of an Urban Park in a Hot and Humid Climate. Sustain. Cities Soc. 2017, 32, 513–522. [Google Scholar] [CrossRef]
- Shashua-Bar, L.; Pearlmutter, D.; Erell, E. The Cooling Efficiency of Urban Landscape Strategies in a Hot Dry Climate. Landsc. Urban Plan. 2009, 92, 179–186. [Google Scholar] [CrossRef]
- Abdi, B.; Hami, A.; Zarehaghi, D. Impact of Small-Scale Tree Planting Patterns on Outdoor Cooling and Thermal Comfort. Sustain. Cities Soc. 2020, 56, 102085. [Google Scholar] [CrossRef]
- Grilo, F.; Pinho, P.; Aleixo, C.; Catita, C.; Silva, P.; Lopes, N.; Freitas, C.; Santos-Reis, M.; McPhearson, T.; Branquinho, C. Using Green to Cool the Grey: Modelling the Cooling Effect of Green Spaces with a High Spatial Resolution. Sci. Total Environ. 2020, 724, 138182. [Google Scholar] [CrossRef] [PubMed]
- Lau, K.K.-L.; Chung, S.C.; Ren, C. Outdoor Thermal Comfort in Different Urban Settings of Sub-Tropical High-Density Cities: An Approach of Adopting Local Climate Zone (LCZ) Classification. Build. Environ. 2019, 154, 227–238. [Google Scholar] [CrossRef]
- Hsieh, C.-M.; Jan, F.-C.; Zhang, L. A Simplified Assessment of How Tree Allocation, Wind Environment, and Shading Affect Human Comfort. Urban For. Urban Green. 2016, 18, 126–137. [Google Scholar] [CrossRef]










| Object Code | Horizontal Scale (Grids) | Vertical Scale (Grids) | Resolution (m) | Deflection Angle (°) |
|---|---|---|---|---|
| FT-01 | 100 × 100 | 80 | 1.5 | −25 |
| TPZ-02 | 100 × 100 | 60 | 2 | 0 |
| KGC-03 | 125 × 100 | 60 | 2 | −25 |
| AKTK-04 | 125 × 125 | 60 | 2 | −35 |
| Plant ID | Height (m) | Crown Width (m) | Foliage Shortwave Albedo | Foliage Shortwave Transmittance | Plant Type |
|---|---|---|---|---|---|
| 010001 | 4 | 3 | 0.18 | 0.3 | Tree |
| 010002 | 6 | 5 | 0.18 | 0.3 | Tree |
| 010003 | 10 | 5 | 0.2 | 0.3 | Tree |
| 010004 | 12 | 9 | 0.2 | 0.3 | Tree |
| 010005 | 18 | 12 | 0.18 | 0.3 | Tree |
| 010006 | 24 | 6 | 0.18 | 0.3 | Tree |
| 020001 | 1 | / | 0.18 | 0.3 | Shrub |
| 020002 | 2 | / | 0.18 | 0.3 | Shrub |
| 030001 | 0.2 | / | 0.2 | 0.3 | Grassland |
| Parameter Name | Parameter Value |
|---|---|
| Starting time | 29 July 2023 8:00 a.m. |
| Simulation duration | 12 h |
| Maximum air temperature | 35.7 °C |
| Minimum air temperature | 25.8 °C |
| Average wind speed | 3.7 m/s |
| Maximum relative humidity | 65% |
| Minimum relative humidity | 48% |
| Dominant wind direction | South wind |
| Roughness length | 0.01 |
| Cloud cover | 0 |
| PET (°C) | Thermal Perception | Grade of Physiological Stress |
|---|---|---|
| <4 | Very cold | Extreme cold stress |
| 4–8 | Cold | Strong cold stress |
| 8–13 | Cool | Moderate cold stress |
| 13–18 | Slightly cool | Slight cold stress |
| 18–23 | Comfortable | No thermal stress |
| 23–29 | Slightly warm | Slight heat stress |
| 29–35 | Warm | Moderate heat stress |
| 35–41 | Hot | Strong heat stress |
| >41 | Very hot | Extreme heat stress |
| Measurement Spots | Air Temperature (°C) | Relative Humidity (%) | |||||
|---|---|---|---|---|---|---|---|
| RMSE | MAE | d | RMSE | MAE | d | ||
| FT-01 | P1 | 0.83 | 0.73 | 0.96 | 3.77 | 3.29 | 0.92 |
| TPZ-02 | P2 | 1.13 | 1.05 | 0.93 | 4.96 | 4.50 | 0.89 |
| KGC-03 | P3 | 0.84 | 0.73 | 0.92 | 4.34 | 3.86 | 0.86 |
| P4 | 0.88 | 0.78 | 0.90 | 4.41 | 3.99 | 0.88 | |
| AKTK-04 | P5 | 1.04 | 0.97 | 0.88 | 5.52 | 5.26 | 0.81 |
| P6 | 1.04 | 0.97 | 0.90 | 4.39 | 3.89 | 0.87 | |
Disclaimer/Publisher’s Note: The statements, opinions and data contained in all publications are solely those of the individual author(s) and contributor(s) and not of MDPI and/or the editor(s). MDPI and/or the editor(s) disclaim responsibility for any injury to people or property resulting from any ideas, methods, instructions or products referred to in the content. |
© 2023 by the authors. Licensee MDPI, Basel, Switzerland. This article is an open access article distributed under the terms and conditions of the Creative Commons Attribution (CC BY) license (https://creativecommons.org/licenses/by/4.0/).
Share and Cite
Sun, F.; Zhang, J.; Yang, R.; Liu, S.; Ma, J.; Lin, X.; Su, D.; Liu, K.; Cui, J. Study on Microclimate and Thermal Comfort in Small Urban Green Spaces in Tokyo, Japan—A Case Study of Chuo Ward. Sustainability 2023, 15, 16555. https://doi.org/10.3390/su152416555
Sun F, Zhang J, Yang R, Liu S, Ma J, Lin X, Su D, Liu K, Cui J. Study on Microclimate and Thermal Comfort in Small Urban Green Spaces in Tokyo, Japan—A Case Study of Chuo Ward. Sustainability. 2023; 15(24):16555. https://doi.org/10.3390/su152416555
Chicago/Turabian StyleSun, Fuhao, Junhua Zhang, Ruochen Yang, Shuhao Liu, Jia Ma, Xiaoke Lin, Daer Su, Kun Liu, and Jingshu Cui. 2023. "Study on Microclimate and Thermal Comfort in Small Urban Green Spaces in Tokyo, Japan—A Case Study of Chuo Ward" Sustainability 15, no. 24: 16555. https://doi.org/10.3390/su152416555
APA StyleSun, F., Zhang, J., Yang, R., Liu, S., Ma, J., Lin, X., Su, D., Liu, K., & Cui, J. (2023). Study on Microclimate and Thermal Comfort in Small Urban Green Spaces in Tokyo, Japan—A Case Study of Chuo Ward. Sustainability, 15(24), 16555. https://doi.org/10.3390/su152416555

