Abstract
In the biodiverse Nakdong River estuary, the predominant seagrass and salt marsh species, Zostera japonica and Bolboschoenus planiculmis, are declining due to human and natural pressures. Our study investigated how environmental factors and co-existing salt marsh vegetation impact the growth and reproduction of Z. japonica. Understanding the reproductive dynamics of Z. japonica in this estuary is crucial, as sexual reproduction ensures the resilience and stability of seagrass populations in challenging environments. This study revealed that approximately 49% of Z. japonica shoots flowered, yet none persisted to the subsequent growth season, indicating a reliance on sexual reproduction for population resilience. The presence of competing B. planiculmis shoots and Ulva pertusa indirectly suppressed the growth and reproduction of Z. japonica by reducing light availability. Additionally, environmental stresses that occurred during summer, such as elevated temperatures, reduced salinity, and sediment transport, likely affected the vegetative and reproductive performance of Z. japonica in this estuary. Consequently, Z. japonica in this estuary has adopted a mixed annual life history strategy in response to these environmental oscillations. Our findings highlight the vulnerability of the Z. japonica population to seasonal environmental shifts and interspecies competition in this estuary, offering essential considerations for its conservation and effective management.
1. Introduction
Estuarine ecosystems, located at the confluence of rivers and oceans, exhibit a unique blend of characteristics from both riverine and marine ecosystems [1]. These exceptional systems are known for their high biodiversity and primary production, driven by their dynamic environmental conditions and diverse habitats [2]. The Nakdong River estuary is a representative estuarine ecosystem in Korea, benefiting from legal protection since the 1960s [3,4]. Within the Nakdong River estuary, 32 vascular hydrophytes were identified, including various seagrass and salt marsh species such as Zostera marina, Z. japonica, Ruppia maritima, B. planiculmis, and Phragmites australis [3,5]. This highly productive vegetation in the Nakdong River estuary serves as a critical habitat and food source for overwintering migratory birds, making it a key stopover along the East Asia–Australia flyway [3,5,6]. However, the construction of the Nakdong River Estuary Barrage in 1987 triggered a significant ecological shift [3,6,7]. This human-made barrier disrupts the natural exchange of water between the freshwater river and the estuarine saltwater regions [6], leading to the prolonged retention of pollutants, increased nutrient concentrations, and substantial changes in the predominant vegetation of the Nakdong River estuary [3,4,7,8,9]. This underscores the urgent need for enhanced protective measures and sustainable management to preserve the ecological richness of the Nakdong River estuary.
The vegetation in the Nakdong River estuary, specifically seagrass and salt marsh habitats, has significantly degraded due to a combination of human activities and environmental stresses [3,5,8]. The extensive Z. marina meadow, which once covered 13.6 km2 until the mid-1980s, has disappeared following the reclamation of adjacent mudflats in the late 1980s for port and industrial developments [3]. P. australis, which once covered 11 km2, has decreased to 1 km2 and has been replaced by B. planiculmis, which now occupies approximately 5.3 km2 [8]. The intertidal seagrass species Z. japonica (dwarf eelgrass), a dominant seagrass species in the Nakdong River estuary, originally hails from a broad latitudinal range expanding from Vietnam to the Russian Federation [10]. Z. japonica was introduced to the eastern Pacific Coast of North America in the early 20th century [10]. While Z. japonica populations have experienced rapid expansion along the Northeastern Pacific coast of North America, the populations in its native distribution regions have been on the decline due to frequent human disturbances and intense natural stresses such as dredging, reclamation, clam harvesting, salt marsh invasion, and typhoons [11,12,13].
Intertidal stressors, including tidal exposure, extreme temperatures, light fluctuation, desiccation, interspecific plant competition, and grazing by migratory birds, have a notable impact on the distribution, morphology, growth, and reproduction of seagrasses in intertidal areas [11,14,15,16]. The growth dynamics of Z. japonica within the intertidal zone were markedly constrained at both its upper and lower distributional boundaries: the restriction in growth at the upper limit was attributable to the stress from low-tide exposure, while at the lower limit, it was due to interspecific competition and diminished light penetration [14]. Previous studies have also indicated that Z. japonica responds to disturbances such as clamming activities and stresses from tidal inundation with an increase in reproductive effort and an extension of the flowering period, enhancing the resilience and stability of Z. japonica in the face of environmental stressors [11]. Furthermore, the arrival of migratory waterfowl, which induce considerable grazing pressure, precipitated a notable decline in the distribution and biomass of Z. japonica [16].
Within the Nakdong River estuary, B. planiculmis, a prevailing salt marsh species, occasionally co-exists with Z. japonica [17]. The tubers of B. planiculmis serve as a primary food source for avifauna, including swans, geese, and ducks in this estuary [17,18,19]. However, the distribution and the productivity of B. planiculmis in this estuary have declined over the past decade [18]. Seagrass leaves and rhizomes also can serve as essential food sources for seabirds and migratory birds [16,20,21]. In the Terschelling island of the Netherlands, Z. noltii, an intertidal seagrass species morphologically similar to Z. japonica, has been identified as the main food source for seagrass-feeding avifauna, with these birds potentially consuming up to half of the standing stock [22]. Thus, intense avifaunal grazing pressure, combined with interspecific competition with B. planiculmis, may influence the distribution and growth dynamics of the Z. japonica in the Nakdong River estuary. Despite the significant role of sexual reproduction in maintaining seagrass populations under vulnerable environmental conditions [11,23,24,25], the reproductive dynamics and life history of Z. japonica in this estuary remain poorly characterized. Most previous studies in seagrass and salt marsh plants in the Nakdong River estuary have primarily focused on areal distribution and growth dynamics [17,18,19], with scant attention to how abiotic environmental factors and intraspecific interactions with co-existing salt marsh plants may affect the growth and reproduction of Z. japonica in the intertidal mudflat of this estuary.
The aim of this study is to elucidate the reproductive dynamics of Z. japonica in the Nakdong River estuary, assessing the impacts of environmental factors and the influence of co-existing salt marsh vegetation on its growth and reproductive patterns. Specifically, we aim to determine whether Z. japonica adopts an annual life history strategy predominantly reliant on sexual reproduction in response to the intertidal stresses and disturbances of this estuary and to evaluate how the presence of B. planiculmis and U. pertusa affects its ability to maintain a stable population through vegetative growth and sexual reproduction. The findings of this study are intended to provide insights that will inform the conservation and sustainable management of Z. japonica meadows in the Nakdong River estuary and similar estuarine ecosystems under changing environmental conditions.
2. Materials and Methods
2.1. Study Site and Experimental Design
The study sites were located in the Eulsuk tidal flat on the Nakdong River estuary (35°04′34″ N, 128°55′56″ E) (Figure 1). Z. japonica, B. planiculmis, R. maritima, P. australis, and U. pertusa were distributed in the study area. The sediments exhibit a sandy composition in the outer regions of river-mouth bars, whereas the surrounding land is predominantly composed of sandy mud. The Nakdong River Estuary Barrage, located near the study sites, regulates its floodgate operations in accordance with tidal patterns. During the rainy season, approximately two-thirds of the annual freshwater discharge is released from this barrage [26]. The tidal regime is semidiurnal, with an average tidal range of 0.8 m in amplitude (Tide Tables for the Coasts of Korea, Korea Hydrographic and Oceanographic Administration; http://www.khoa.go.kr; accessed on 15 March 2021). The study sites have been designated as a Core Preservation Zone among the three Eulsukdo Migratory Bird Park zones managed by the Nakdong River Estuary Eco Center (https://www.busan.go.kr; accessed on 1 December 2020), resulting in rare occurrences of anthropogenic disturbances.
Figure 1.
(a) The maps show the two study sites in the Nakdong River estuary. (b) Site A was exclusively occupied by Zostera japonica, whereas Site B featured the coexistence of Z. japonica and Bolboschoenus planiculmis.
The experimental design utilized a modified version of the SeagrassNet manual for scientific monitoring of seagrass habitats [27]. Two study sites were selected within the Eulsuk tidal flat on the Nakdong River estuary: Site A was exclusively occupied by Z. japonica, whereas Site B featured the coexistence of Z. japonica and B. planiculmis. A permanent 50 m transect was established at each study site, facilitating the comprehensive investigation of the biological characteristics of Z. japonica and B. planiculmis populations from December 2020 to December 2021. The distance between the two study sites was approximately 200 m. To assess the distribution patterns of all species at the two study sites, a total of 12 permanent quadrats (50 × 50 cm) were designated as regular monitoring plots along the transect at each study site. Z. japonica populations at both study sites were going to be covered by macroalgae (U. pertusa) bloom during summer.
2.2. Environmental Parameters
Temperature was continuously monitored every 15 min using a Hobo data logger (model UA-002-64, Onset Computer Corp., Bourne, MA, USA) encased in waterproof underwater housing. Photon flux density (PFD) at the canopy level of Z. japonica shoots was monitored every 15 min using an Odyssey photosynthetic irradiance recording system (Dataflow Systems Ltd., Product code: ODYPARW, Christchurch, New Zealand). The logger was calibrated using an LI1400 data logger and an LI-193SA spherical quantum sensor (Daily Light Integral Package, Li-Cor, Lincoln, NE, USA). Daily PFD (mol photons m−2 d−1) was calculated as the sum of the quantum flux over each 24 h period. Temperature and PFD measurements were conducted from December 2020 to December 2021 at Site A and from July 2021 to December 2021 at Site B. Daily temperature and irradiance were averaged monthly.
Salinity was monitored every 15 min using Odyssey Conductivity & Temperature Logger (18 mS/cm, Dataflow Systems Ltd., Product code: ODYCT, Christchurch, New Zealand). The Odyssey Conductivity & Temperature Logger was calibrated using the calibration files supplied to Dataflow Systems Ltd. Formulas derived from UNESCO data were applied to facilitate the conversion of the conductivity scale (mS/cm) into the salinity scale (psu). The average daily and monthly values of the salinity were calculated. Daily freshwater discharge (m3 s−1 d−1) and daily cumulative precipitation (mm) within the Nakdong River estuary were calculated using the data provided by Korea Meteorological Administration (https://www.weather.go.kr/; accessed on 15 March 2021). Daily freshwater discharge was averaged monthly.
Four replicate water samples were collected to determine the inorganic nutrient concentrations in the water column. To determine the inorganic nutrient concentrations in sediment porewater, eight replicate sediment samples were randomly collected to a sediment depth of approximately 10 cm using a syringe corer. The sediment samples were collected from December 2020 to December 2021 at Site A, and from May 2021 to December 2021 at Site B. Sediment porewater was obtained using a centrifuge (8000× g for 20 min) and used for the determination of sediment porewater nutrient concentrations. Sediment porewater nutrient concentrations were determined after dilution with low-nutrient seawater (<0.1 μM). Dissolved inorganic nitrogen (DIN, i.e., NH4+, NO3− + NO2−) and PO43− concentrations in the water column and sediment porewater were measured using a standard colorimetric technique [28]. Concentrations of NO3− + NO2− were determined after running samples through a column containing copper-coated cadmium, reducing NO3− to NO2−.
2.3. Biological Parameters
To estimate the total shoot density, biomass, and reproductive phenology of Z. japonica at Site A, six replicate core samples were collected monthly from December 2020 to December 2021 using an 8.4-cm-diameter corer inserted approximately 15 cm into the sediment near the permanent quadrats along the transect. At Site B, all Z. japonica and B. planiculmis shoots, including above- and below-ground tissues were collected randomly within six quadrats (25 × 25 cm) along the transect to measure the total shoot density and biomass of Z. japonica and B. planiculmis as well as the reproductive phenology of Z. japonica from April 2021 to December 2021. All plant tissues from each core or quadrat sample were thoroughly cleaned of sediments and epiphytes, and then Z. japonica tissues were separated into vegetative and reproductive shoots. Vegetative and reproductive shoots of Z. japonica, as well as B. planiculmis shoots, were counted to estimate the shoot density of each species (shoots m−2). The flowering frequency of Z. japonica was estimated as the percentage of reproductive shoot density relative to total shoot density. All plant tissues in the core or quadrat were oven-dried separately to a constant weight at 60 °C. The biomass of each plant species was represented as a dry weight per unit area basis (g DW m−2). The reproductive effort (RE) of Z. japonica was estimated as the percentage of reproductive shoot biomass to total shoot biomass. Additionally, the shoot heights of Z. japonica and B. planiculmis were measured within the permanent quadrats along the transect at each study site (n = 3–10 per species per study site) from April 2021 to October 2021. The percentage coverage (%) of Z. japonica and U. pertusa within the 12 permanent quadrats along each transect at the two study sites was assessed using the percentage cover photo guide outlined in the SeagrassNet manual [27].
To determine the potential seed production of Z. japonica, the numbers of spathes per shoot and seeds per spathe were counted for all mature reproductive shoots in each core or quadrat sample. The number of seeds per reproductive shoot was estimated by multiplying the number of spathes per shoot by the number of seeds per spathe. Potential seed production per unit area was determined by multiplying the number of seeds per shoot by the maximum reproductive shoot density. To estimate the seed density in the sediment seed bank, six sediment samples were collected monthly to a sediment depth of approximately 15 cm using a 10 cm-diameter corer. The seed density in the sediment seed bank was measured from December 2020 to December 2021 at Site A and from June 2021 to December 2021 at Site B. Since the seed size of Z. japonica was 1–2 mm, the core samples were passed through a 500 mm-mesh sieve to remove sediments and debris. Intact seeds were counted under a dissecting microscope, and the seed density was converted to a unit area basis (m−2).
2.4. Statistical Analysis
Significant differences in temperature and irradiance, sediment porewater nutrient concentrations, total shoot density and biomass (both Z. japonica and B. planiculmis), reproductive shoot density and biomass, flowering frequency, the reproductive effort of Z. japonica, shoot height, and percent coverage among sampling months and between two study sites were tested using two-way ANOVAs. Differences in temperature and irradiance at Site A, daily salinity, daily freshwater discharge, daily precipitation, water column nutrient concentrations, and seed density of Z. japonica in sediments at Site A among sampling months were identified using one-way ANOVAs. Separated one-way ANOVA was performed to test for differences in maximum reproductive shoot density and biomass, flowering frequency, as well as the reproductive effort of Z. japonica among sampling months. Differences in the number of spathes per reproductive shoot and the number of seeds per spathe between the two study sites were analyzed using a t-test. Prior to analysis, all variables were individually checked for normality and homogeneity of variance to confirm that they met the assumptions of parametric statistics. If the assumptions of parametric statistics were not satisfied, the measurements were either square root- or log-transformed. A significance level of 0.05 was used in all cases. All statistical analyses were performed with SPSS software version 25.0.
3. Results
3.1. Environmental Parameters
The temperature at Site A exhibited significant (F12,352 = 485.7, p < 0.001) seasonal trends throughout the study period, reaching its maximum value of 28.1 °C in August and its minimum value of 7.8 °C in January (Figure 2a). Although temperature was monitored for five months, spanning from July 2021 to December 2021 at Site B, there was no significant (F1,294 = 0.21, p = 0.647) difference in temperature between the two study sites during this five-month period (Figure 2a). Significant (F12,354 = 11.12, p < 0.001) seasonal patterns in irradiance were observed at Site A from December 2020 to December 2021 (Figure 2b). The daily average irradiance at Site A was lowest in August 2021 and highest in April 2021, ranging from 24.6 to 58.8 mol photons m−2 d−1 (Figure 2b). Over the period of July 2021 to December 2021, irradiance was significantly (F1,293 = 12.335, p < 0.05) higher at Site A than at Site B (Figure 2b). The salinity in the Eulsuk tidal flat changed seasonally (F9,270 = 17.259, p < 0.001), with the lowest value of 10 PSU in September 2021 and the highest value of 22 PSU in December 2021. The salinity decreased during the monsoon season, reaching the lowest value in September 2021, and subsequently increased rapidly after the rainy season, reaching the highest value in December 2021 (Figure 2c). As precipitation levels fluctuated during the study period, corresponding variations were observed in freshwater discharge and salinity (Figure 2c,d). High precipitation was associated with increased freshwater discharge and decreased salinity, while low precipitation had the opposite effect (Figure 2c,d).
Figure 2.
Seasonal changes in temperature (a), irradiance (b), salinity (c), and freshwater discharge and precipitation (d) at the study sites in the Nakdong River estuary.
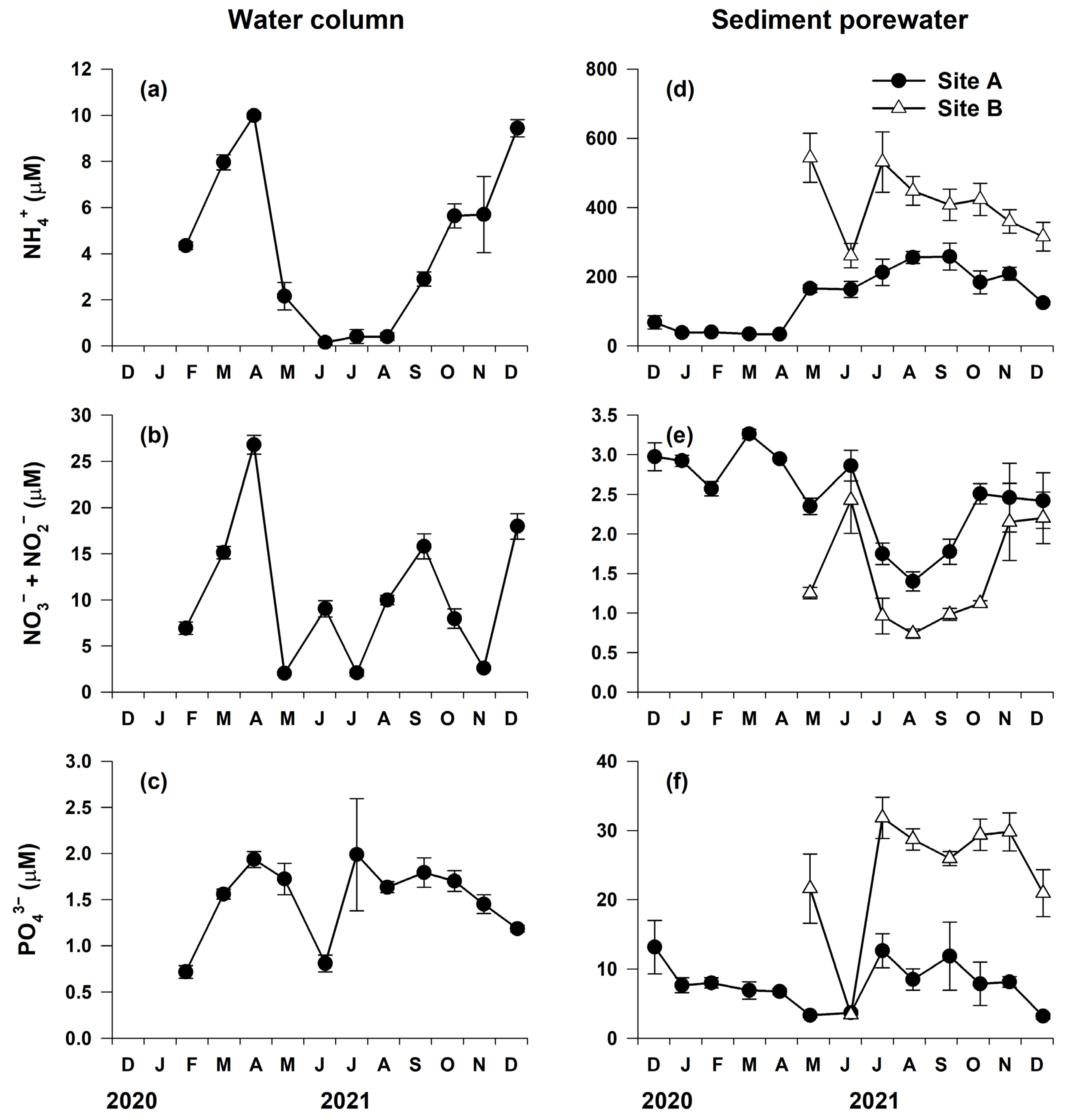
All nutrient concentrations in the water column were significantly (all p < 0.001) different among sampling times. The water column NH4+, NO3− + NO2−, and PO43− concentrations ranged from 0.2 to 10.0 μM, 2.1 to 26.8 μM, and 0.7 to 2.0 μM, respectively (Figure 3a–c). All nutrient concentrations in the sediment pore water significantly (all p < 0.001) varied among study sites and over time (Figure 3d–f). From May 2021 to December 2021, sediment NH4+ and PO43− concentrations were significantly (F1,48 = 123.487, p < 0.001 for NH4+; F1,48 = 174.759, p < 0.001 for PO43−) lower at Site A than at Site B, whereas sediment NO3− + NO2− concentration was significantly (F1,48 = 51.322, p < 0.001) higher at Site A than at Site B during the same study period (Figure 3d–f).
Figure 3.
Seasonal changes in water column NH4+ (a), NO3− + NO2− (b), and PO43− (c) concentrations and sediment porewater NH4+ (d), NO3− + NO2− (e), and PO43− (f) concentrations at the two study sites in the Nakdong River estuary from December 2020 to December 2021. Values are mean ± SE (n = 4).
3.2. Shoot Density and Biomass of Zostera japonica and Bolboschoenus planiculmis
The total shoot density of Z. japonica and B. planiculmis differed significantly (all p < 0.001) between the two study sites and throughout the sampling months (Figure 4a,b). The total shoot density of Z. japonica was significantly (F1,78 = 99.546, p < 0.001) higher at Site A than at Site B. The total shoot density of Z. japonica populations in the two study sites increased gradually during spring and summer and decreased during fall and winter (Figure 4a). The maximum shoot density of Z. japonica was observed in July 2021 at Site A (5955 ± 754 shoots m−2) and in June 2021 at Site B (293 ± 43 shoots m−2) (Figure 4a). In contrast, no B. planiculmis shoots were observed at Site A throughout the sampling period (Figure 4b). At Site B, B. planiculmis shoots were initially observed in April 2021, with above-ground tissues of B. planiculmis persisting until September 2021 (Figure 4b). The maximum shoot density of B. planiculmis population at Site B was recorded in July 2021 (Figure 4b).
Figure 4.
Seasonal changes in total shoot density of Zostera japonica (a) and Bolboschoenus planiculmis (b), and total biomass of Z. japonica (c) and B. planiculmis (d) at the two study sites in the Nakdong River estuary from December 2020 to December 2021. Values are mean ± SE (n = 6).
The total shoot biomass of Z. japonica and B. planiculmis exhibited significant (all p < 0.001) differences between the two study sites and among the sampling months (Figure 4c,d). The total shoot biomass of Z. japonica was significantly (F1,78 = 455.429, p < 0.001) higher at Site A than at Site B, while no B. planiculmis shoots were observed at Site A (Figure 4c,d). The total shoot biomass of Z. japonica increased during spring and summer and decreased during fall and winter (Figure 4c). The maximum total shoot biomass of Z. japonica was recorded in July 2021 (239.7 ± 27.7 g DW m−2) at Site A and June 2021 (7.0 ± 0.7 g DW m−2) at Site B (Figure 4c). At site B, the total biomass of B. planiculmis displayed similar temporal variation to the total shoot density, and only the below-ground tissues of B. planiculmis remained in the sediment from October 2021 to December 2021 (Figure 4d).
3.3. Reproductive Phenology of Zostera japonica
In the two study sites, reproductive shoots of Z. japonica were observed first in July 2021, persisting until October 2021(Figure 5a). Reproductive shoot density and flowering frequency exhibited distinct (F3,40 = 21.371, p < 0.001 for reproductive shoot density; F3,40 = 9.219, p < 0.001 for flowering frequency) temporal variations and were significantly higher (F1,40 = 147.359, p < 0.001 for reproductive shoot density; F1,40 = 9.296, p < 0.05 for flowering frequency) at Site A than at Site B (Figure 5a,b). The maximum reproductive shoot density at Site A occurred in September 2021 (2256 ± 102 shoots m−2), accounting for 49.2 ± 8.3% of the total shoot density, and the highest reproductive shoot density at Site B was observed in July 2021 (125 ± 58 shoots m−2), accounting for 35.3 ± 13.4% of the total shoot density (Figure 5a,b). Although the maximum reproductive shoot density was significantly (F1,10 = 331.305, p < 0.001) higher at Site A than at Site B, no significant (F1,10 = 0.769, p = 0.401) difference in flowering frequency was found between the two study sites.
Figure 5.
Seasonal changes in reproductive shoot density (a), flowering frequency (b), reproductive shoot biomass (c), and reproductive effort (d) of Zostera japonica at the two study sites in the Nakdong River estuary from December 2020 to December 2021. Values are mean ± SE (n = 6).
Reproductive shoot biomass and the corresponding reproductive effort significantly (F1,40 = 24.977, p < 0.001 for reproductive shoot biomass; F1,40 = 12.945, p < 0.05 for reproductive effort) differed between the two study sites (Figure 5c,d). The reproductive shoot biomass was highest in September 2021 at Site A (138.6 ± 23.8 g DW m−2) accounting for 65.2 ± 9.4% of the total shoot biomass, and that was highest in July 2021 (3.0 ± 1.8 g DW m−2) at Site B, accounting for 28.1 ± 12.9% of the total shoot biomass (Figure 5c,d). The maximum reproductive shoot biomass and reproductive effort were significantly (F1,10 = 75.842, p < 0.001 for maximum reproductive shoot biomass; F1,10 = 5.42, p < 0.05 for maximum reproductive effort) higher at Site A than at Site B.
3.4. Potential Seed Production and Sediment Seed Density of Zostera japonica
The number of spathes per reproductive shoot and the number of seeds per spathe did not significantly (t = 1.231, p = 0.224 for the number of spathes per reproductive shoot; t = 0.217, p = 0.092 for the number of seeds per spathe) differ between the two study sites (Table 1). Thus, due to the higher maximum reproductive shoot density at Site A, the potential seed production was over 24-fold higher at Site A (54,120 seeds m−2) than at Site B (2232 seeds m−2) (Table 1). Sediment seed density at Site A differed significantly (F1,65 = 2.99, p < 0.05) between the sampling month. The highest seed density in the sediment seed bank was observed during fall and winter following the dispersal of seeds from reproductive shoots (Figure 6). No seeds were found in sediments from June to July 2021 (Figure 6). The maximum seed densities in sediments were 812 seeds m−2 at Site A and 8 seeds m−2 at Site B, accounting for 1.50% and 0.36% of the potential seed production, respectively.
Table 1.
Mean values of the maximum reproductive shoot density, number of spathes per shoot, number of seeds per spathe, potential seed production, and maximum seed density in sediments at the two study sites in the Nakdong River estuary from December 2020 to December 2021. Values are mean ± SE (n = 6). Mean values with different superscript letters are significantly different between the study sites (p < 0.05).
Figure 6.
Seasonal variation in Zostera japonica seed density within the sediment seed bank of the two study sites in the Nakdong River estuary from December 2020 to December 2021. Values are mean ± SE (n = 6).
3.5. Coverage of Zostera japonica and Ulva pertusa
Percent cover of Z. japonica was significantly (F1,176 = 95.004, p < 0.001) higher at Site A than at Site B, and markedly (F7,176 = 19.029, p < 0.001) varied among sampling months (Figure 7a,b). At Site A, Z. japonica shoots occurred from March 2021 to October 2021, with a maximum coverage of about 77% observed in July 2021 (Figure 7a). Conversely, at Site B, Z. japonica shoots were observed from May 2021 to October 2021, with the highest coverage reaching about 30% in July 2021 (Figure 7a). The percent cover of U. pertusa was significantly (F1,110 = 55.527, p < 0.001) higher at Site B than at Site A, and markedly (F4,110 = 22.122, p < 0.001) varied among sampling months (Figure 7b). U. pertusa occurred from June 2021 to October 2021 in the two study sites (Figure 7b). The maximum percent cover of U. pertusa at Site A was recorded in June 2021, with 60%, while it was highest in July 2021, with a coverage of 82% at Site B (Figure 7b).
Figure 7.
Seasonal changes in percent cover of Zostera japonica (a) and Ulva pertusa (b) at the two study sites in the Nakdong River estuary from December 2020 to December 2021. Values are mean ± SE (n = 12).
3.6. Shoot Height of Zostera japonica and Bolboschoenus planiculmis
The shoot heights of Z. japonica and B. planiculmis exhibited significant differences (all p < 0.001) between the two study sites and among the sampling months (Figure 8). Notably, the mean shoot height of Z. japonica at Site B was significantly (all p < 0.05) lower compared to those of B. planiculmis at the same site and Z. japonica at Site A. Maximum shoot heights of Z. japonica at Site A and B. planiculmis at Site B were recorded in July 2021, which were 39.0 ± 1.6 cm and 51.2 ± 4.3 cm, respectively (Figure 8). The maximum shoot height of Z. japonica at Site B was observed in August 2021, with an average of 33.4 ± 3.0 cm (Figure 8).
Figure 8.
Shoot height of Zostera japonica and Bolboschoenus planiculmis at the two study sites in the Nakdong River estuary April 2021 to October 2021. Values are mean ± SE (n = 3–10).
4. Discussion
Seagrasses exhibit both asexual reproduction via clonal growth and sexual reproduction through flowering and seed production [29]. While asexual reproduction primarily sustains seagrass populations, sexual reproduction is essential for rapid recolonization and meadow expansion following natural and anthropogenic disturbance [25,30,31]. Diverse life history strategies emerge within seagrass populations, as evidenced by variations in flowering intensity and reproductive effort [32,33]. These strategies range from strictly annual or perennial strategies to ‘mixed-annual’ strategies [32,33,34]. While most seagrass populations typically adopt a perennial life history strategy, employing both asexual and sexual reproduction to maintain and expand existing meadows, the contribution of each strategy varies spatially and temporally [32,34,35,36]. For example, Z. marina in Jindong Bay, South Korea, exhibited a typical perennial life history in shallower areas but shifted to an annual life history in deeper regions due to summer water temperature spikes and reduced light penetration during summer and fall [32]. The reproductive intensity of seagrasses generally increases in response to natural and anthropogenic disturbances [23]. This heightened reproductive effort is a trait that can enhance the ability of seagrasses to withstand adverse environments by increasing recruitment potential in the next favorable season, improving dispersal to more suitable habitats, and enhancing the genetic diversity of meadows [11]. High reproductive intensities in perennial seagrass populations are often found in areas with severe environmental conditions, such as high water temperature, ice formation, heavy grazing, and sediment disruption caused by winter storms [11,31,32,37].
In our study, Z. japonica seeds from the sediment seed bank at Site A, an area exclusively occupied by Z. japonica shoots, germinated in January 2021 and subsequently developed into seedlings. These seedlings matured through rapid leaf and rhizome elongation, driven by increasing water temperature and irradiance, until July 2021. By September 2021, approximately 49% of the vegetative shoots developed into reproductive shoots, and all Z. japonica shoots, encompassing both vegetative and reproductive shoots, had disappeared by November 2021. No overwintering shoots were identified prior to the onset of seed germination. Perennial Z. japonica populations in relatively stable and undisturbed habitats typically exhibit a modest sexual reproductive effort, with fewer than 20% of shoots flowering [11,33,38,39,40]. These populations feature a coexistence of seedlings, which germinate during winter and spring and persist until the subsequent growing season, and overwintering vegetative shoots. Regarding the life history of the annual Z. japonica populations, although comprehensive data on its flowering period, flowering frequency, reproductive effort, seed density, seed germination rate, and seedling establishment rate remain elusive, a comparison with annual Z. marina populations is possible, since they are of the same genus. Notably, up to 95% of vegetative shoots in an annual Z. marina population flowered, with none of the shoots surviving after the fall [32]. By contrast, in the Nakdong River estuary, Z. japonica exhibits a distinct reproductive pattern: only about 49% of its shoots flower, and none of the shoots survived after the fall, suggesting the absence of overwintering shoots for the next growing season. Hence, the Z. japonica population in the Nakdong River estuary demonstrated a mixed annual life history strategy, aligning with the flowering frequency and overwintering survival rates observed in other typical mixed annual Z. japonica populations [33,41]. This mixed annual life history strategy of the Z. japonica population in the Nakdong River estuary emphasizes the allocation of more resources toward sexual reproduction, ensuring the maintenance and expansion of the Z. japonica population in this estuary.
In the present study, the maximum potential seed production was 54,120 seeds m−2 in the area exclusively occupied by Z. japonica shoots, but only 1.5% of this potential seed production was found in the sediments. Maximum sediment seed density of Z. japonica at the two study sites ranged from 8 to 812 seeds m−2. Previous studies have revealed that a significant proportion of seeds produced by seagrasses is absent from sediment seed banks. This phenomenon is primarily attributed to factors such as compromised viability, predation, dispersal, and decomposition [11,33,42,43]. The peak of sediment seed density of the Z. japonica population in the Nakdong River estuary was reached after seeds detached from flowering shoots during the flowering period. During the germination season, spanning from late winter to early spring, there was a rapid decline in sediment seed density, culminating in the complete absence of seeds from the sediment seed bank after the germination season. These results suggest that the majority of Z. japonica seeds in sediments germinated during the germination season, in line with variations in Z. japonica sediment seed density reported previously [11]. Z. japonica seedlings were first observed at the beginning of seed germination in January 2021. However, they were too small to be identified within natural meadows and were easily damaged during the extraction of core samples. As a result, the total shoot biomass of Z. japonica in Site A remained extremely low from January 2021 to April 2021, as only small and fragile Z. japonica seedlings were observed during this period.
In estuarine ecosystems like the Nakdong River estuary, the sexual reproduction and life history strategy of Z. japonica may be particularly influenced by dynamic environmental factors, including fluctuating salinities, turbidity, and sediment transport. The construction of the Nakdong River Estuary Barrage introduces significant seasonal variations in environmental conditions, such as freshwater discharge, salinity, and sediment dynamics [3,6,7,44]. Z. japonica, identified as a euryhaline species, is known to tolerate prolonged exposure to salinities ranging from 5 to 35 PSU [41,45]. Previous studies have reported that the Z. japonica population in Padilla Bay, WA, USA, is vulnerable to the synergistic effect of high-temperature stress and low salinity [45]. The high sexual reproduction observed in this non-native Z. japonica population in North America suggests that it may be under stress when adapting to local environmental conditions in its introduced regions [45,46]. During July to August 2021, the Nakdong River estuary experienced temperatures exceeding 25 °C, coupled with low salinities of approximately 10 PSU. Such a high water temperature combined with low salinity might be critical in determining the survival of Z. japonica populations in this estuary. Given that seagrasses typically exhibit enhanced sexual reproduction under stressful environmental conditions [11,23,25], the Z. japonica population in the Nakdong River estuary shows a significant investment in sexual reproduction to ensure the persistence of its meadows. Furthermore, regulatory measures from the Nakdong River Estuary Barrage induce seasonal sediment transport and erosion shifts in estuarine areas [47,48]. Previous studies have highlighted the enhanced sexual reproduction of intertidal seagrasses like Z. noltii due to sediment disturbances [23,49]. A pattern emerges where increased disturbances up to a moderate level enhance the flowering frequency and reproductive efforts, which then diminish with increasing disturbance intensity [24]. Notably, frequent sediment deposition and erosion from July to September 2021, driven by substantial precipitation and freshwater discharge, probably have significantly reduced both vegetative and reproductive shoot density of the Z. japonica population. Consequently, the combined effects of high water temperatures, low salinity, and heightened sediment transport during summer might play an important role in shaping the Z. japonica meadow in the estuary. It is conceivable that a strategy centered around high sexual reproduction and a mixed annual life history could optimize the persistence and resilience of the Z. japonica population in the next growth season.
Biological factors, including intraspecific competition with other co-existing plants and intense grazing pressure, also play significant roles in controlling the growth dynamics and reproduction intensity of seagrasses [12,24,50,51]. In the present study, the maximum values of total shoot density, total shoot biomass, reproductive shoot density, and potential seed production of Z. japonica were 23-, 34-, 18-, and 24-fold higher at Site A than those at Site B. While the temperature showed no significant difference between the sites, the irradiance at Site A was significantly greater than at Site B. Previous research has emphasized that the taller shoots of Spartina alterniflora shaded the sunlight originally available to Z. japonica, thereby inhibiting the growth of Z. japonica in co-occurring areas [12]. Similarly, the taller shoots of B. planiculmis at Site B could reduce the availability of light for the co-existing Z. japonica, limiting both vegetative growth and sexual reproduction of Z. japonica.
In the present study, the proliferation of U. pertusa occurred during the rainy season from June 2021 to October 2021 in the Nakdong estuary. The coverage of U. pertusa was significantly higher at Site B compared to Site A, while the coverage of Z. japonica was higher at Site A than at Site B. The expansive presence of U. pertusa at Site B covered the above-ground tissues of Z. japonica during low tide in summer, which likely reduced the light intensity reaching Z. japonica. The robust and elongated stems of B. planiculmis can also entrap larger quantities of U. pertusa at Site B, offering an additional explanation for the reduced light availability to Z. japonica in this area. Previous studies have indicated that dense microalgae or macroalgae blooms can lead to the rapid and substantial reduction in underwater light, causing an immediate decrease in the growth rate, leaf productivity, and recruitment of seagrasses [52,53,54]. Furthermore, it has been widely reported that the decomposition of macroalgae mats can lead to anoxic and eutrophic conditions, further impeding seagrass growth [55]. These findings suggest that the combined presence of B. planiculmis shoots and elevated coverage of U. pertusa, along with the environmental pressures in the Nakdong River estuary, may have detrimental effects on both the vegetative growth and sexual reproduction of Z. japonica.
5. Conclusions
Our investigation revealed that Z. japonica in the Nakdong River estuary follows a mixed annual life history strategy, with a reproductive pattern where approximately 49% of shoot s flower and a complete absence of overwintering shoots for subsequent seasons. Biotic factors like the shading effect from B. planiculmis shoots and the coverage by U. pertusa contribute to the suppression of the vegetative and reproductive performance of Z. japonica in this estuary. Furthermore, prevalent environmental stressors in this estuary, including variable water temperatures, salinity levels, and sediment transport, especially during the summer, likely affect the growth and reproduction of Z. japonica. As a result, this mixed annual life history strategy underscores a significant investment in sexual reproduction, possibly as an adaptive response to the fluctuating estuarine environments. The findings of this study highlight the intricate interplay between the unique reproductive strategies of Z. japonica and the dynamic estuarine conditions, offering insights into the adaptability and resilience of seagrasses in a changing environment.
Author Contributions
J.K. and K.-S.L. conceptualized the research. J.K., Z.S., S.H.K., H.K., F.Z. and H.S.P. performed the experiments. Z.S., J.K., S.H.K., H.K., F.Z. and K.-S.L. analyzed the results. J.K. wrote the first draft of the paper. Z.S. and K.-S.L. contributed substantially to revisions. All authors have read and agreed to the published version of the manuscript.
Funding
This research was supported by the National Research Foundation of Korea (NRF) grant funded by the Ministry of Education (NRF-2019R1A2C1090641 and NRF-2021R1I1A1A01049507) and “Responses of species-populations to climate change scenario” program of Korea institute of Marine Science & Technology Promotion (KIMST) funded by the Ministry of Oceans and Fisheries (KIMST-20220559).
Institutional Review Board Statement
Not applicable.
Informed Consent Statement
Not applicable.
Data Availability Statement
The data presented in this study are available upon request from the corresponding author. The data are not publicly available because of privacy restrictions.
Conflicts of Interest
The authors declare no conflict of interest.
References
- Gao, Y.; Yi, Y.; Chen, K.; Xie, H. Simulation of suitable habitats for typical vegetation in the Yellow River Estuary based on complex hydrodynamic processes. Ecol. Indic. 2023, 154, 110623. [Google Scholar] [CrossRef]
- Day Jr, J.W.; Kemp, W.M.; Yáñez-Arancibia, A.; Crump, B.C. Estuarine Ecology; John Wiley & Sons: Hoboken, NJ, USA, 2012. [Google Scholar]
- Park, S.R.; Kim, J.-H.; Kang, C.-K.; An, S.; Chung, I.K.; Kim, J.H.; Lee, K.-S. Current status and ecological roles of Zostera marina after recovery from large-scale reclamation in the Nakdong River estuary, Korea. Estuar. Coast. Shelf Sci. 2009, 81, 38–48. [Google Scholar] [CrossRef]
- Lee, S.-A.; Kim, G. Sources, fluxes, and behaviors of fluorescent dissolved organic matter (FDOM) in the Nakdong River Estuary, Korea. Biogeosciences 2018, 15, 1115–1122. [Google Scholar] [CrossRef]
- Kim, G.-Y.; Lee, C.-W.; Yoon, H.-S.; Joo, G.-J. Changes of distribution of vascular hydrophytes in the Nakdong River estuary and growth dynamics of Schenoplectus triqueter, waterfowl food plant. Korean J. Ecol. 2005, 28, 335–345. [Google Scholar] [CrossRef]
- Kim, J.Y.; Kim, G.-Y. Effects of regulated dam discharge on plants and migratory waterfowl are mediated by salinity changes in estuaries. Int. Rev. Hydrobiol. 2021, 106, 58–63. [Google Scholar] [CrossRef]
- Jo, H.; Jeppesen, E.; Ventura, M.; Buchaca, T.; Gim, J.-S.; Yoon, J.-D.; Kim, D.-H.; Joo, G.-J. Responses of fish assemblage structure to large-scale weir construction in riverine ecosystems. Sci. Total Environ. 2019, 657, 1334–1342. [Google Scholar] [CrossRef] [PubMed]
- Kang, C.-K.; Choy, E.J.; Paik, S.-K.; Park, H.J.; Lee, K.-S.; An, S. Contributions of primary organic matter sources to macroinvertebrate production in an intertidal salt marsh (Scirpus triqueter) ecosystem. Mar. Ecol. Prog. Ser. 2007, 334, 131–143. [Google Scholar] [CrossRef][Green Version]
- Hong, S.; Khim, J.S.; Park, J.; Kim, M.; Kim, W.-K.; Jung, J.; Hyun, S.; Kim, J.-G.; Lee, H.; Choi, H.J.; et al. In situ fate and partitioning of waterborne perfluoroalkyl acids (PFAAs) in the Youngsan and Nakdong River Estuaries of South Korea. Sci. Total Environ. 2013, 445–446, 136–145. [Google Scholar] [CrossRef]
- Short, F.T. World Atlas of Seagrasses; University of California Press: Berkeley, CA, USA, 2003. [Google Scholar]
- Suonan, Z.; Kim, S.H.; Qin, L.-Z.; Lee, K.-S. Reproductive strategy of the intertidal seagrass Zostera japonica under different levels of disturbance and tidal inundation. Estuar. Coast. Shelf Sci. 2017, 197, 185–193. [Google Scholar] [CrossRef]
- Yue, S.; Zhou, Y.; Xu, S.; Zhang, X.; Liu, M.; Qiao, Y.; Gu, R.; Xu, S.; Zhang, Y. Can the non-native salt marsh halophyte Spartina alterniflora threaten native seagrass (Zostera japonica) habitats? a case study in the Yellow River Delta, China. Front. Plant Sci. 2021, 12, 643425. [Google Scholar] [CrossRef]
- Yue, S.; Zhang, X.; Xu, S.; Liu, M.; Qiao, Y.; Zhang, Y.; Liang, J.; Wang, A.; Zhou, Y. The super typhoon Lekima (2019) resulted in massive losses in large seagrass (Zostera japonica) meadows, soil organic carbon and nitrogen pools in the intertidal Yellow River Delta, China. Sci. Total Environ. 2021, 793, 148398. [Google Scholar] [CrossRef] [PubMed]
- Kim, J.-H.; Kim, S.H.; Kim, Y.K.; Park, J.-I.; Lee, K.-S. Growth dynamics of the seagrass Zostera japonica at its upper and lower distributional limits in the intertidal zone. Estuar. Coast. Shelf Sci. 2016, 175, 1–9. [Google Scholar] [CrossRef]
- Cabaço, S.; Machás, R.; Santos, R. Individual and population plasticity of the seagrass Zostera noltii along a vertical intertidal gradient. Estuar. Coast. Shelf Sci. 2009, 82, 301–308. [Google Scholar] [CrossRef]
- Sato, F.; Tanaka, S.; Kirihara, S.; Tanaka, Y. The influence of migratory birds on the distribution of the seagrass Zostera japonica. Bot. Mar. 2020, 63, 521–525. [Google Scholar] [CrossRef]
- Yi, Y.M.; Yeo, U.S.; Sung, K. Relationship of initial density, biomass and tuber productivity of Scirpus planiculmis in the Nakdong river estuary. J. Wet. Res. 2013, 15, 9–17. [Google Scholar] [CrossRef]
- Yi, Y.-M.; Yeo, U.-S.; Oh, D.-H.; Sung, K.-J. Annual changes in Scirpus planiculmis and environmental characteristics of the Nakdong river estuary. J. Wet. Res. 2011, 13, 567–579. [Google Scholar]
- Kim, Y.; Kang, J.; Choi, J.U.; Park, C.M.; Woo, H.J. Geochemical Characteristics of Scirpus planiculmis Habitats in Nakdong Estuary, Korea. J. Wet. Res. 2019, 21, 125–131. [Google Scholar]
- Ganter, B. Seagrass (Zostera spp.) as food for brent geese (Branta bernicla): An overview. Helgol. Mar. Res. 2000, 54, 63–70. [Google Scholar] [CrossRef]
- Unsworth, R.K.F.; Butterworth, E.G. Seagrass meadows provide a significant resource in support of avifauna. Diversity 2021, 13, 363. [Google Scholar] [CrossRef]
- Jacobs, R.; Den Hartog, C.; Braster, B.; Carriere, F. Grazing of the seagrass Zostera noltii by birds at Terschelling (Dutch Wadden Sea). Aquat. Bot. 1981, 10, 241–259. [Google Scholar] [CrossRef]
- Cabaço, S.; Santos, R. Seagrass reproductive effort as an ecological indicator of disturbance. Ecol. Indic. 2012, 23, 116–122. [Google Scholar] [CrossRef]
- Henderson, J.; Hacker, S.D. Buried alive: An invasive seagrass (Zostera japonica) changes its reproductive allocation in response to sediment disturbance. Mar. Ecol. Prog. Ser. 2015, 532, 123–136. [Google Scholar] [CrossRef]
- Johnson, A.J.; Orth, R.J.; Moore, K.A. The role of sexual reproduction in the maintenance of established Zostera marina meadows. J. Ecol. 2020, 108, 945–957. [Google Scholar] [CrossRef]
- Ryu, J.; An, S. Seasonal variation of dissolved methane concentration and flux in the Nakdong Estuary. Sea J. Korean Soc. Oceanogr. 2016, 21, 91–102. [Google Scholar]
- Short, F.T.; Coles, R.G.; Short, C.M. SeagrassNet manual for Scientific Monitoring of Seagrass Habitat; Worldwide Edition; University of New Hampshire Publication: Durham, NH, USA, 2015; 73p. [Google Scholar]
- Parsons, T.; Maita, Y.; Lalli, C. A Manual of Biological and Chemical Methods for Seawater Analysis; Pergamon Press: Oxford, UK, 1984. [Google Scholar]
- den Hartog, C. The Sea-Grasses of the World; North Holland Publishing Company: Amsterdam, The Netherlands, 1970; p. 276. [Google Scholar]
- Paulo, D.; Diekmann, O.; Ramos, A.A.; Alberto, F.; Serrão, E.A. Sexual reproduction vs. clonal propagation in the recovery of a seagrass meadow after an extreme weather event. Sci. Mar. 2019, 83, 357–363. [Google Scholar] [CrossRef]
- Yue, S.; Zhang, X.; Xu, S.; Zhang, Y.; Zhao, P.; Wang, X.; Zhou, Y. Reproductive strategies of the seagrass Zostera japonica under different geographic conditions in northern China. Front. Mar. Sci. 2020, 7, 574790. [Google Scholar] [CrossRef]
- Kim, S.H.; Kim, J.-H.; Park, S.R.; Lee, K.-S. Annual and perennial life history strategies of Zostera marina populations under different light regimes. Mar. Ecol. Prog. Ser. 2014, 509, 1–13. [Google Scholar] [CrossRef]
- Zhang, X.; Zhou, Y.; Xu, S.; Wang, P.; Zhao, P.; Yue, S.; Gu, R.; Song, X.; Xu, S.; Liu, J.-X.; et al. Differences in reproductive effort and sexual recruitment of the seagrass Zostera japonica between two geographic populations in northern China. Mar. Ecol. Prog. Ser. 2020, 638, 65–81. [Google Scholar] [CrossRef]
- Jarvis, J.C.; Moore, K.A.; Kenworthy, W.J. Characterization and ecological implication of eelgrass life history strategies near the species’ southern limit in the western North Atlantic. Mar. Ecol. Prog. Ser. 2012, 444, 43–56. [Google Scholar] [CrossRef]
- Ito, M.A.; Lin, H.-J.; O’Connor, M.I.; Nakaoka, M. Large-scale comparison of biomass and reproductive phenology among native and non-native populations of the seagrass Zostera japonica. Mar. Ecol. Prog. Ser. 2021, 675, 1–21. [Google Scholar] [CrossRef]
- Blok, S.E.; Olesen, B.; Krause-Jensen, D. Life history events of eelgrass Zostera marina L. populations across gradients of latitude and temperature. Mar. Ecol. Prog. Ser. 2018, 590, 79–93. [Google Scholar] [CrossRef]
- Jarvis, J.C.; Moore, K.A. The role of seedlings and seed bank viability in the recovery of Chesapeake Bay, USA, Zostera marina populations following a large-scale decline. Hydrobiologia 2010, 649, 55–68. [Google Scholar] [CrossRef]
- Lee, S.Y.; Oh, J.H.; Choi, C.I.; Suh, Y.; Mukai, H. Leaf growth and population dynamics of intertidal Zostera japonica on the western coast of Korea. Aquat. Bot. 2005, 83, 263–280. [Google Scholar] [CrossRef]
- Kaldy, J.E. Production ecology of the non-indigenous seagrass, dwarf eelgrass (Zostera japonica Ascher. & Graeb.), in a Pacific Northwest estuary, USA. Hydrobiologia 2006, 553, 201–217. [Google Scholar]
- Huong, T.T.L.; Vermaat, J.E.; Terrados, J.; Van Tien, N.; Duarte, C.M.; Borum, J.; Tri, N.H. Seasonality and depth zonation of intertidal Halophila ovalis and Zostera japonica in Ha Long Bay (northern Vietnam). Aquat. Bot. 2003, 75, 147–157. [Google Scholar] [CrossRef]
- Zhang, X.; Lin, H.; Song, X.; Xu, S.; Yue, S.; Gu, R.; Xu, S.; Zhu, S.; Zhao, Y.; Zhang, S.; et al. A unique meadow of the marine angiosperm Zostera japonica, covering a large area in the turbid intertidal Yellow River Delta, China. Sci. Total Environ. 2019, 686, 118–130. [Google Scholar] [CrossRef]
- Brun, F.G.; Pérez-Lloréns, J.L.; Hernández, I.; Vergara, J.J. Patch distribution and within-patch dynamics of the seagrass Zostera noltii Hornem. in los Toruños Salt-Marsh, Cádiz Bay, Natural Park, Spain. Bot. Mar. 2003, 46, 513–524. [Google Scholar] [CrossRef]
- Zipperle, A.M.; Coyer, J.A.; Reise, K.; Stam, W.T.; Olsen, J.L. Evidence for persistent seed banks in dwarf eelgrass Zostera noltii in the German Wadden Sea. Mar. Ecol. Prog. Ser. 2009, 380, 73–80. [Google Scholar] [CrossRef]
- Kim, Y.; Kang, J.; Park, S. Changes in sedimentary structure and elemental composition in the Nakdong Estuary, Korea. J. Wet. Res. 2021, 23, 213–223. [Google Scholar]
- Kaldy, J.E.; Shafer, D.J. Effects of salinity on survival of the exotic seagrass Zostera japonica subjected to extreme high temperature stress. Bot. Mar. 2013, 56, 75–82. [Google Scholar] [CrossRef]
- Shafer, D.J.; Kaldy, J.E.; Sherman, T.D.; Marko, K.M. Effects of salinity on photosynthesis and respiration of the seagrass Zostera japonica: A comparison of two established populations in North America. Aquat. Bot. 2011, 95, 214–220. [Google Scholar] [CrossRef]
- Chang, J.; Lee, G.-h.; Harris, C.K.; Song, Y.; Figueroa, S.M.; Schieder, N.W.; Lagamayo, K.D. Sediment transport mechanisms in altered depositional environments of the Anthropocene Nakdong Estuary: A numerical modeling study. Mar. Geol. 2020, 430, 106364. [Google Scholar] [CrossRef]
- Jeon, Y.-H.; Yoon, H.-S.; Lee, K.-S. Spatiotemporal variations of coastal sediment transport at barrier islands in the Nakdong river estuary. J. Korean Soc. Mar. Environ. Saf. 2010, 16, 161–168. [Google Scholar]
- Cabaço, S.; Santos, R.; Duarte, C.M. The impact of sediment burial and erosion on seagrasses: A review. Estuar. Coast. Shelf Sci. 2008, 79, 354–366. [Google Scholar] [CrossRef]
- Shaughnessy, F.J.; Ferson, S.L.; Frimodig, A.J.; Barton, D.C.; Hurst, M.; Black, J.M. Growth and flowering responses of eelgrass to simulated grazing and fecal addition by Brant Geese. Ecosphere 2021, 12, e03690. [Google Scholar] [CrossRef]
- Lekammudiyanse, M.U.; Saunders, M.I.; Flint, N.; Irving, A.D.; Jackson, E.L. Simulated megaherbivore grazing as a driver of seagrass flowering. Mar. Environ. Res. 2022, 179, 105698. [Google Scholar] [CrossRef]
- Hauxwell, J.; Cebrián, J.; Furlong, C.; Valiela, I. Macroalgal canopies contribute to eelgrass (Zostera marina) decline in temperate estuarine ecosystems. Ecology 2001, 82, 1007–1022. [Google Scholar] [CrossRef]
- Brun, F.G.; Vergara, J.J.; Navarro, G.; Hernández, I.; Pérez-Lloréns, J.L. Effect of shading by Ulva rigida canopies on growth and carbon balance of the seagrass Zostera noltii. Mar. Ecol. Prog. Ser. 2003, 265, 85–96. [Google Scholar] [CrossRef][Green Version]
- Ralph, P.J.; Tomasko, D.; Moore, K.; Seddon, S.; Macinnis-Ng, C.M.O. Human impacts on seagrasses: Eutrophication, sedimentation, and contamination. In Seagrasses: Biology, Ecologyand Conservation; Larkum, A.W.D., Orth, R.J., Duarte, C.M., Eds.; Springer: Dordrecht, The Netherlands, 2007; pp. 567–593. [Google Scholar]
- Han, Q.; Liu, D. Macroalgae blooms and their effects on seagrass ecosystems. J. Ocean Univ. China 2014, 13, 791–798. [Google Scholar] [CrossRef]
Disclaimer/Publisher’s Note: The statements, opinions and data contained in all publications are solely those of the individual author(s) and contributor(s) and not of MDPI and/or the editor(s). MDPI and/or the editor(s) disclaim responsibility for any injury to people or property resulting from any ideas, methods, instructions or products referred to in the content. |
© 2023 by the authors. Licensee MDPI, Basel, Switzerland. This article is an open access article distributed under the terms and conditions of the Creative Commons Attribution (CC BY) license (https://creativecommons.org/licenses/by/4.0/).







