Performance of the Flexible and Rigid Lining under Earthquake Impact and Weakness of the New Austrian Tunneling Method (NATM) Principles, a Specific Case Study of the Bolu Tunnel
Abstract
:1. Introduction
- geological and geotechnical conditions;
- seismicity of the Bolu tunnel and the Düzce earthquake;
- support systems in the Bolu tunnels;
- geotechnical instrumentation;
- analysis of support system with analytical solutions;
- the impact of the Düzce earthquake on the Bolu tunnel;
- ○
- investigation of the Elmalık side;
- ○
- investigation of the Asarsuyu side;
- ○
- evaluation of geotechnical measurements;
- ○
- inner lining design after the Düzce earthquake;
- Conclusions.
2. Bolu Tunnel
Geological and Geotechnical Conditions
3. Seismicity of the Bolu Tunnel
- The Bakacak fault may be reactivated in the future with high-intensity earthquakes in the Bolu section, regarding the North Anatolian fault line or the Düzce fault. The Bakacak fault extends as a connection fault between these two faults. During the 1999 Düzce earthquake, movements occurred in the western part of the Bakacak fault. The Düzce fault and the Bolu part of the North Anatolian fault were activated in the earthquakes of 1944 and 1999, respectively. In these sections, it is expected that there will be huge earthquakes in the next 50 to 100 years;
- In addition, the Bakacak fault may play a part in moderate earthquakes. Depending on the fault length and rupture area, the Bakacak fault may produce earthquakes having magnitudes of 6.25 to 6.5. Average depth of the surface rupture is expected to be approximately between 30 and 50 cm after these potential earthquakes. It is known that there are strong geomorphic conditions associated with a specific section of the Bakacak fault lying between the main section of the Bakacak fault towards the Bolu tunnel.
- The Elmalık fault can be segregated under the effect of high-magnitude earthquakes on the North Anatolian fault line and the Düzce fault. The Elmalık fault is located between the Düzce fault and the main North Anatolian fault. The 1944 Bolu–Gerede earthquake induced ruptures on the Elmalık fault, and, contrary to that, the Düzce earthquake did not rupture the Elmalık fault;
- The Elmalık fault will be activated in a moderate earthquake. The fault will produce an earthquake of 6.25 and 6.5 magnitude, depending on the length and the rupture area, and will cause displacement between 30 and 50 cm on average, but may, potentially, reach up to 1 m at maximum.
4. Support Systems Applied in the Bolu Tunnel and Stability Problems in the Elmalık Entrance Collapsed Zone
Geotechnical Instrumentations in the Tunnel
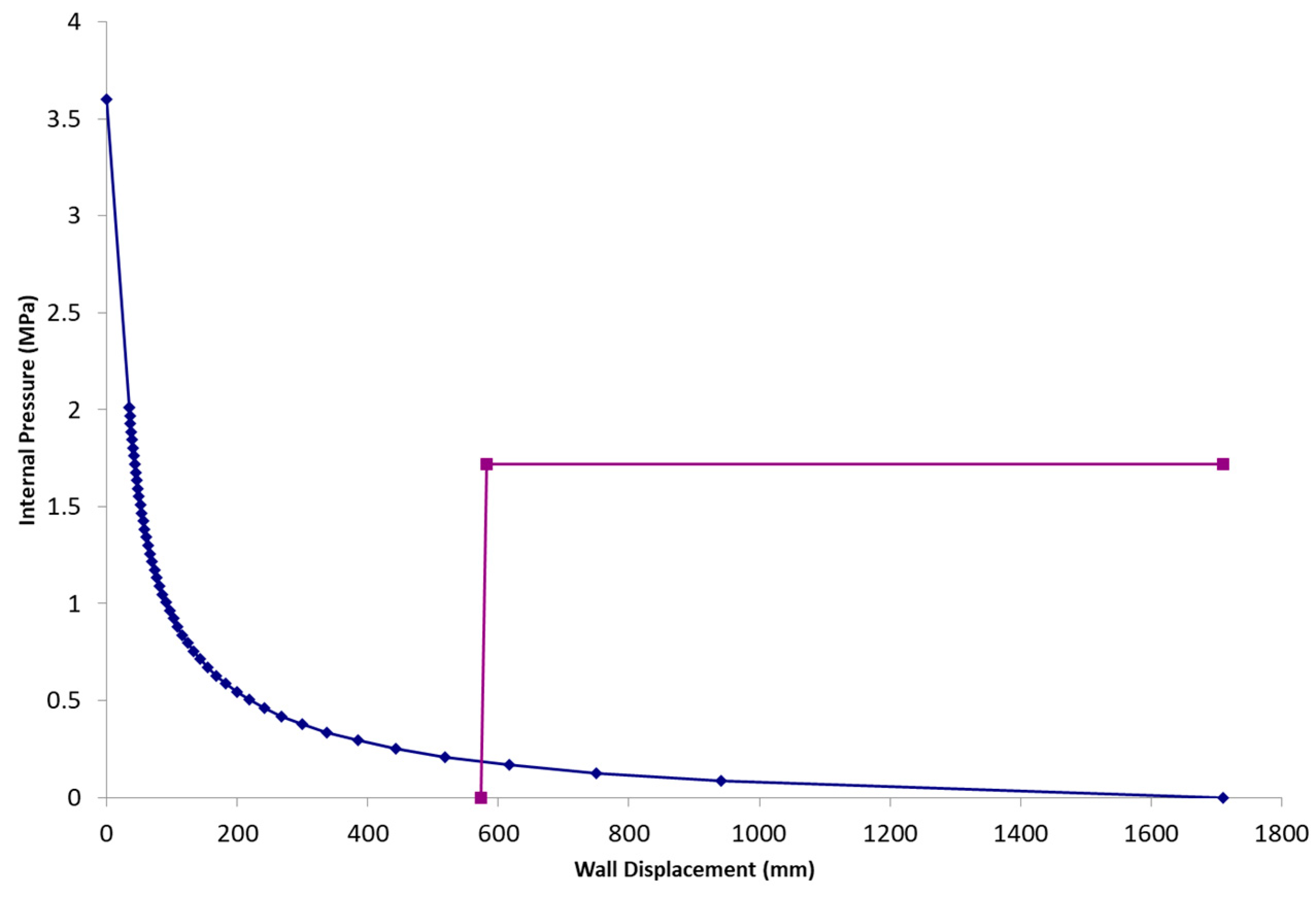
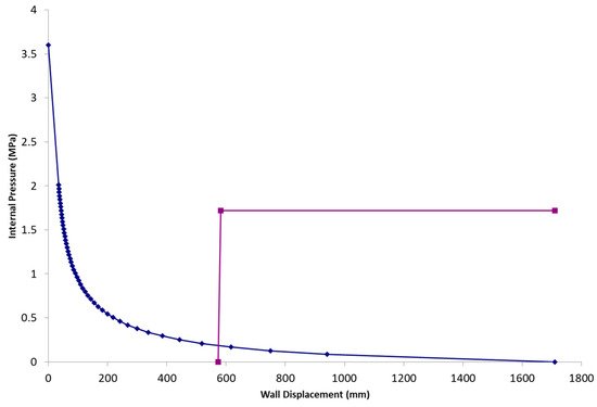
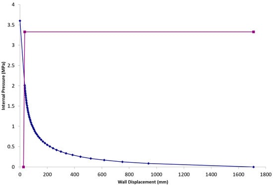
5. Analysis of Support Systems with Analytical Solutions and Evaluation of Tunnel Squeezing
6. The Impact of the Earthquake on the Bolu Tunnel
6.1. Investigation of the Collapsed Sections in the Elmalık Sections
6.2. Investigation of the Collapsed Sections in the Asarsuyu Sections
6.3. Evaluation of Geotechnical Measurements in the Tunnel after the 12 November 1999 Düzce Earthquake
6.4. Inner Lining Design after the Düzce Earthquake
7. Conclusions
8. Discussion
Funding
Institutional Review Board Statement
Informed Consent Statement
Data Availability Statement
Acknowledgments
Conflicts of Interest
References
- St-John, C.M.; Zahrah, T.F. Asiesmic Design of Underground Sructures. Tunn. Undergr. Space Technol. 1987, 2, 165–197. [Google Scholar] [CrossRef]
- Ghasemi, H.; Cooer, J.D.; Imbsen, R.; Piskin, H.; İnal, F.; Tiras, A. The November 1999 Duzce Earthquake: Post-Earthquake Investigation of the Structures on the Term. Publication No: FHWA-RD-146; 1999; p. 26. Available online: https://www.fhwa.dot.gov/publications/research/infrastructure/structures/00146.pdf (accessed on 15 August 2023).
- Hashash, Y.M.A.; Hook, J.J.; Schmidt, B.; Yao, J.I.C. Seismic design and analysis of underground structures. ITA/AITES Accredit. Mater. Tunn. Undergr. Space Technol. 2001, 16, 247–293. [Google Scholar] [CrossRef]
- Wang, W.L.; Wang, T.T.; Su, J.J.; Lin, C.H.; Seng, C.R.; Huang, T.H. Assessment of damage in mountain tunnels due to the taiwan chi-chi earthquake. Tunn. Undergr. Space Technol. 2001, 16, 133–150. [Google Scholar] [CrossRef]
- Elgamal, A.; Elfaris, N. Adverse impact of earthquake seismic loading on angular offset tunnels and effects of isolation grout. Infrastructures 2022, 7, 87. [Google Scholar] [CrossRef]
- Pakbaz, M.C.; Yareevand, A. 2-d analysis of circular tunnel against earthquake loading. Tunn. Undergr. Space Technol. 2005, 20, 411–417. [Google Scholar] [CrossRef]
- Hwang, J.H.; Lu, C.C. Seismic capacity assessment of old Sanyi railway tunnels. Tunn. Undergr. Space Technol. 2007, 22, 433–449. [Google Scholar] [CrossRef]
- Kontoe, S.; Zdravković, L.; Potts, D.M.; Menkiti, C.O. Case study on seismic tunnel response. Can. Geotech. J. 2008, 45, 1743–1764. [Google Scholar] [CrossRef]
- Kontoe, S.; Zdravkovic, L.; Potts, D.; Mentiki, C. On the relative merits of simple and advanced constitutive models in dynamic analysis of tunnels. Geotechnique 2011, 61, 815–829. [Google Scholar] [CrossRef]
- Kutter, B.L.; Chou, J.C.; Travasarou, T. Centrifuge testing of the seismic performance of a submerged cut and cover tunnel in liquefiable soils. In Proceedings of the Fourth Geotechnical Earthquake Engineering and Soils Dynamics Conference (GEESDC), Sacramento, CA, USA, 18–22 May 2008. [Google Scholar]
- Sedarat, H.; Kozak, A.; Hashash, Y.M.A.; Shamsabadi, A.; Krimotat, A. Contact interface in seismic analysis of circular tunnels. Tunn. Undergr. Space Technol. 2009, 24, 482–490. [Google Scholar] [CrossRef]
- Brandl, J. Challenges to tunnel design a case history of the bolu tunnel. In Proceedings of the 2nd Expert Group Meeting, Ankara, Turkey, 2–3 April 2012. [Google Scholar]
- Pitilakis, K.; Tsinidis, G.; Chalatis, A. Shallow immersed rectangular tunnel in soft soils. In ISO/TR 12930:2014 Seismic Design Examples Based on ISO 23459; International Organization for Standardization: Geneva, Switzerland, 2014. [Google Scholar]
- Pitilakis, K.; Tsinidis, G. Performance and seismic design of underground structures. In Earthquake Geotechnical Engineering Design; Springer: Cham, Switzerland, 2014; pp. 279–340. [Google Scholar]
- Kampas, G.; Knappett, J.A.; Brown, M.J.; Anastasopoulos, I.; Nikitas, N.; Alonso–Rodriquez, A.; Fuentes, R. Suitability of equivalent linear soil models for analysing the seismic response of a concrete tunnel. In Proceedings of the 16th European Conference of Earthquake Engineering, Thessaloniki, Greece, 18–20 June 2018. [Google Scholar]
- Kampas, G.; Knappett, J.A.; Brown, M.J.; Anastasopoulos, I.; Nikitas, N.; Fuentes, R. The effect of tunnel lining modelling approaches on the seismic response of sprayed concrete tunnels in coarse–grained soils. Soil Dyn. Earthq. Eng. 2019, 117, 122–137. [Google Scholar] [CrossRef]
- Tsinidis, G.; De Silva, F.; Anastasopoulos, I.; Bilotta, E.; Bobet AHashash, Y.M.A.; He, C.; Kampas, G.; Knappett, J.; Madabhushi, G.; Nikitas, N.; et al. Seismic Behavior of Tunnels: From Experiments to Analysis. Tunn. Undergr. Space Technol. 2020, 99, 103334. [Google Scholar] [CrossRef]
- Patil, M.; Choudhury, D.; Ranjith, P.G.; Zhao, J. Behavior of shallow tunnel in soft soil under seismic conditions. Tunn. Undergr. Space Technol. 2018, 82, 30–38. [Google Scholar] [CrossRef]
- Chao, M.; Dechun, L.; Xiuli, D. Seismic performance upgrading for underground structures by introducing sliding isolation bearings. Tunn. Undergr. Sp. Tech. 2018, 74, 1–9. [Google Scholar]
- Lu, C.C.; Hwang, J.H. Nonlinear collapse simulation of Daikai Subway in the 1995 Kobe earthquake: Necessity of dynamic analysis for a shallow tunnel. Tunn. Undergr. Space Technol. 2019, 87, 78–90. [Google Scholar] [CrossRef]
- Altunel, E.; Barka, A.A.; Çakır, Z.; Kozacı, Ö.; Hitchcock, C.; Helms, J.; Elms, J.; Bachuber, J.; Lettis, W. What goes on at the eastern termination of the November 12, 1999 Düzce earthquake, M=7.2, North Anatolian Fault, Turkey. In Proceedings of the American Geophysical Fall Meeting, San Francisco, CA, USA, 15–19 December 2000; p. F816. [Google Scholar]
- Ayhan, M.E.; Burgmann, R.; Mccusky, S.; Lenk, O.; Aktu, B.; Herece, E.; Erece, E.; Reilinger, R.E. Kinematics of the Mw=7.2, 12 November 1999, Düzce, Turkey earthquake. Geophys. Res. Lett. 2001, 28, 367–370. [Google Scholar] [CrossRef]
- Barka, A.A.; Altunel, E.; Akyüz, S.; Çakır, R.; Kozacı, O.; Lettis, W.; Bachhuber, J.; Hitchcock, C.; Helms, J. Seismic Activity and Fault Segmentation of the NAF in the Bolu Mountain: Relationship between the November 12, 1999 and the February 1, 1944 Earthquakes. In Proceedings of the EUG XI Meeting, Strasbourg, France, 8–12 April 2001; p. 295. [Google Scholar]
- Akyuz, H.; Hartleb, S.R.; Barka, A.; Altunel, E.; Sunal, G.; Meyer, B.; Armijo, R. Surface rupture and slip distribution of the 12 november 1999 duzce earthquake, (m 7.1), north anatolian fault, Bolu, Turkey. Bull. Seism. Soc. Am. 2002, 92, 61–66. [Google Scholar] [CrossRef]
- Bock, G.; Tibi, R.; Baumbach, M.; Grosser, H.; Milkereit, C.; Kind, R.; Zschau, J. Rupture processes of the August 17 İzmit and November 12, 1999 Düzce earthquakes. In The 1999 İzmit and Düzce Earthquakes: Preliminary Results; Barka, A.A., Kozaci, O., Akyüz, S., Altunel, E., Eds.; İstanbul Technical University Publication: Istanbul, Turkey, 2000; pp. 105–108. [Google Scholar]
- Bouchon, M.; Bouin, M.-P.; Karabulut, H.; Toksöz, N.; Dietrich, M.; Rosakis, A.J. How fast is rupture during an earthquake? New insights from the 1999 Turkey earthquakes. Geophys. Res. Lett. 2001, 28, 2723–2725. [Google Scholar] [CrossRef]
- Bouchon, M.; Toksoz, N.; Karabulut, H.; Bouin, M.P.; Dietrich, M.; Aktar, M.; Edie, M. Space and time evolution of rupture and faulting during the 1999 Izmit (Turkey) earthquake. Bull. Seism. Soc. Am. 2002, 92, 256–266. [Google Scholar] [CrossRef]
- Bürgman, R.; Ayhan, M.A.; Fielding, E.J.; Wright, T.; Mcclusky, S.; Aktug, B.; Demir, C.; Lenk, O.; Türkezer, A. Deformation during the 12 November 1999, Düzce, Turkey Earthquake, from GPS and InSAR Data. Bull. Seismol. Soc. Am. 2002, 92, 161–171. [Google Scholar] [CrossRef]
- Bouin, M.-P.; Bouchon, M.; Karabulut, H.; Aktar, M. Rupture process of the 1999 November 12 Duzce (Turkey) earthquake deduced from strong motion and Global Positioning System measurements. Geophys. J. Int. 2004, 159, 207–211. [Google Scholar]
- Duman, T.Y.; Emre, O.; Dogan, A.; Ozal, S. Step-over and bend structures along the 1999 duzce earthquake surface rupture, North Anatolian Fault, Turkey. Bull. Seismol. Soc. Am. 2005, 95, 1250–1262. [Google Scholar] [CrossRef]
- Lettis, W.; Barka, A. Geologic characterization of fault rupture hazard, Gumusova—Gerede Motorway. In Report prepared for the Astaldi-Bayindir Joint Venture Turkey; Astaldi: Bolu, Turkey, 2000. [Google Scholar]
- Ozben, M.; Tokgozoglu, F.; Isik, S. Seismic assessment results and actual application in the complex ground conditions of Bolu tunnels after the 1999 Duzce earthquake. In Underground Space Use: Analysis of the Past and Lessons for the Future; CRC Press: Boca Raton, FL, USA, 2005; pp. 657–662. [Google Scholar]
- Dowding, C.H.; Rozen, A. Damage to rock tunnels from earthquake shaking. J. Geotech. Eng. Div. 1978, 104, 175–191. [Google Scholar] [CrossRef]
- Rowe, R. Tunneling in seismic zones. Tunn. Tunneling 1992, 24, 41–44. [Google Scholar]
- Wang, J.N. Seismic Design of Tunnels: A State-of-the-Art Approach. In Monograph 7; Parsons, Brinckerhoff Quade and Douglas Inc.: New York, NY, USA, 1993. [Google Scholar]
- Aygar, E.B.; Gokçeoglu, C. Problems encountered during a railway tunnel excavation in squeezing and swelling materials and possible engineering measures: A case study from turkey. Sustainability 2020, 12, 1166. [Google Scholar] [CrossRef]
- Aygar, E.B.; Gokçeoglu, C. Analytical solutions and 3D numerical analyses of shallow tunnel excavated in weak ground: A case from Turkey. Int. J. Geo-Eng. 2021, 12, 9. [Google Scholar] [CrossRef]
- Aygar, E.B.; Gokceoglu, C. A special support design for a large-span tunnel crossing an active fault (T9 tunnel, Ankara-Sivas high speed railway project, Turkey. Environ. Earth Sci. 2021, 80, 37. [Google Scholar] [CrossRef]
- Geoconsult ZT Gmbh. Anatolian motorway stretch-2 bolu tunnels review of geotechnical conditions at Bolu Tunnels. In Report No: 45.110/R/2125 Revision-1; Geoconsult: Bolu, Turkey, 1997. [Google Scholar]
- Dalgic, S. Tunneling in squeezing rock, the Bolu tunnel, Anatolian Motorway, Turkey. Eng. Geol. 2002, 67, 73–96. [Google Scholar] [CrossRef]
- Dalgic, S. Engineering Geology of the Passage of the Anatolian Motorway through the Bolu Mountains. Ph.D. Thesis, Istanbul University, Istanbul, Turkey, 1994. [Google Scholar]
- Geoconsult ZT Gmbh. Bolu tunnel geological longitudinal profile a long left tube as built conditions, Asarsuyu portal to Elmalık portal. In Technical Drawing No. S-050; Geoconsult: Bolu, Turkey, 1998. [Google Scholar]
- O’Rourke, T.D.; Goh, S.H.; Menkiti, C.O.; Mair, R.J. Highway Tunnel Performance during the 1999 Duzce Earthquake. In Proceedings of the Fifteenth International Conference on Soil Mechanics and Geotechnical Engineering (XV ICSMGE), Istanbul, Turkey, 27–31 August 2001. [Google Scholar]
- Arıoglu, E.; Yılmaz, A.O. Çözümlü Problemlerle Tünel/Galerilerin Sismik Analizi; TMMOB Maden Mühendisliği: İstanbul, Turkey, 2006. (In Turkish) [Google Scholar]
- Aygar, E.B. Investigation of the Bolu Tunnel Stability by Means of Static and Dynamic Analyses. Ph.D. Thesis, Hacettepe University, Ankara, Turkey, 2007. [Google Scholar]
- Aygar, E.B. Evaluation of new austrian tunnelling method applied to bolu tunnel’s weak rocks. J. Rock Mech. Geotech. Eng. 2020, 12, 541–556. [Google Scholar] [CrossRef]
- Österreichisches Normungsinstitut. ONORM B 2203. (Österreichisches Normungsinstitut), Untertagebauarbeiten—Werkvertrag-Snorm; Österreichisches Normungsinstitut: Vienna, Austria, 1994. [Google Scholar]
- Aygar, E.B. A Critical Approach to the New Austrian Tunneling Method in Bolu Tunnels. Master’s Thesis, Hacettepe University, Ankara, Turkey, 2000. [Google Scholar]
- Geoconsult ZT Gmbh. Anatolian motorway stretch 2-bolu tunnels option 3-bernold lining initial support. In Technical Drawing No. 45.110/R/9464; Geoconsult: Bolu, Turkey, 1999. [Google Scholar]
- Geoconsult ZT Gmbh. Anatolian Motorway Stretch 2 Bolu Tunnels Option 4 Initial Support Section with Deformation Elements; Technical Drawing No. 45.110/R/9432A; Geoconsult: Bolu, Turkey, 1999. [Google Scholar]
- Astaldi, S.p.A. Geotechnical Measurements Results; Geodata: Leoben, Austria, 1998. [Google Scholar]
- Astaldi, S.p.A. Geotechnical Measurements Results; Geodata: Leoben, Austria, 1996. [Google Scholar]
- Hoek, E.; Marinos, P. Predicting tunnel squeezing. In Tunnels and Tunnelling International. Part 1—November 2000, Part 2—December 2000; 2000; Available online: https://www.rocscience.com/assets/resources/learning/hoek/Predicting-Tunnel-Squeezing-Problems-in-Weak-Heterogeneous-Rock-Masses-2000.pdf (accessed on 13 October 2023).
- Jethwa, J.L.; Singh, B. Estimation of Ultimate Rock Pressure for Tunnelings under Squeezing Rock Conditions. A New Approach. In Proceedings of the ISRM Symposium, Design and Performance of Underground Excavation, Cambridge, UK, 3–6 September 1984. [Google Scholar]
- Hoek, E.; Brown, E.T. Underground Excavations in Rock; Instn Min. Metall: London, UK, 1980. [Google Scholar]
- Hoek, E. Rock Support Interaction Analysis for Tunnels in Weak Rcok Masses. 2012. Available online: https://www.rocscience.com/documents/pdfs/rocnews/winter2012/Rock-Support-Interaction-Analysis-for-Tunnels-Hoek.pdf (accessed on 4 November 2022).
- Vlachopoulos, N.; Diederichs, M.S. Improved longitudinal displacement profiles for convergence confinement analysis of deep tunnels. Rock Mech. Rock Eng. 2009, 42, 131–146. [Google Scholar] [CrossRef]
- Brady, B.H.G.; Brown, E.T. Rock Mechanics for Underground Mining; Allen and Unwin: London, UK, 1985. [Google Scholar]
- Durukal, E. Critical evaluation of strong motion in Kocaeli and Düzce (Turkey) Earthqaukes. Soil Dyn. Earthqauke Eng. 2002, 22, 589–609. [Google Scholar] [CrossRef]
- Menkiti, C.O.; Mair, R.J.; Miles, R. Tunneling in complex ground conditions in Bolu. In Proceedings of the Underground Construction, London, UK, 18–20 September 2001. [Google Scholar]
- Kaptan, K.; Tezcan, S. Deprem dalgalarının zemin büyütmesi üzerine örnekler. Turk. Sci. Res. Found. 2012, 5, 17–32. (In Turkish) [Google Scholar]
- Geoconsult ZT Gmbh. Anatolian Motorway Gümüşova-Gerede Section 2 Bolu Tunnel, Collapse in Bolu Tunnel (Elmalik Side) Interim Report; Report No: 45.110/R/2170; Geoconsult ZT Gmbh: Bolu, Turkey, 2000. [Google Scholar]
- Geoconsult ZT Gmbh. Anatolian Motorway Gümüşova-Gerede Section 2 Bolu Tunnel, Elmalik Left Tube Comperative Longitudinal Section; Drawing No: 45.110/15513; Geoconsult ZT Gmbh: Bolu, Turkey, 2000. [Google Scholar]
- Lombardi Eng. Ltd. Gümüsova-Gerede Motorway Asarsuyu Tunnels, Detailed Seismic Analysis-op.3 op.4 and Active Fault Crossing-Design Philosophy and Joint Requirements; Astaldi: Bolu, Turkey, 2001. [Google Scholar]
- Isik, S.; Ozben, M. Asssesment of deformation effects of 12 November 1999 duzce earthquake on bolu tunnels and seismic design. In Proceedings of the Sixth National Conference on Earthqauke Engineering, Istanbul, Turkey, 16–20 October 2007; pp. 709–722. [Google Scholar]
- Astaldi, S.p.A. Geotechnical Measurements Results; Geodata: Leoben, Austria, 2003. [Google Scholar]
- Russo, M.; Germani, G.; Amberg, W. Tunnel through active faults: A recent application. In Proceedings of the International Conference of Tunnelling & Underground Space Use, Istanbul, Turkey, 16–18 October 2002. [Google Scholar]




































| Unit | Peak | Residual | G0/σ’v 7 | ||
|---|---|---|---|---|---|
| ϕ’ 6 | c’ 6 (kPa) | ϕ’ 6 | c’ 6 (kPa) | ||
| High PI 5 flysch clay | 15°–17° | 100 | 9°–12° | 50 | 500 1 |
| Blocky flysch clay | 20°–25° | 100 | 13°–17° | 50 | 650 1 |
| Area 3 FG 3 clay | 13°–16° | 100 | 9°–12° | 50 | 700 1 |
| AS/EL FG 3 clay | 18°–24° | 100 | 6°–12° | 50 | NA 4 |
| Metasediments | 25°–30° | 50 | 20°–25° | 25 | 825 1 |
| Crushed MCB | 20°–25° | 50 | 15°–20° | 25 | 950 1 |
| Sound MCB 2 | 55° | 1500 | NA 4 | NA 4 | High |
| Deformation Modulus (MPa) | Uniaxial Compressive Strength (MPa) | Internal Friction Angle (ϕ) (Degree) | Unit Weight (kN/m3) | Poisson Ratio (ν) | Overburden (m) |
|---|---|---|---|---|---|
| 533 | 0.23 | 22 | 22 | 0.3 | 100 |
| Researchers | Equations |
|---|---|
| Jethwa et al. (1984) [54] | (1) |
| Hoek and Marinos (2000) [53] | Ɛ = 0.2*(σcm/p0)−2 (2) |
| Squeezing Conditions | Range |
|---|---|
| High | <0.4 |
| Middle | 0.4–0.8 |
| Light | 0.8–2 |
| No squeezing | >2 |
| The uniaxial compressive strength of the rock mass σcm (3) | The radius of the plastic zone rp when pi = 0 (6) | ||
| Critical support pressure pcr (4) | Inward radial displacement uip (7) | ||
| Radial elastic displacement uie (5) | Per cent strain, Ɛ (8) | ||
| rp = plastic zone radius ui = tunnel sidewall deformation ro = original tunnel radius in metres pi = internal support pressure po = in situ stress = depth below surface *unit weight of rock mass = | σ′1 = the axial stress at which failure occurs σ′3= the confining stress c′ = the cohesive strength ϕ′ i ø′ = the angle of friction of the rock mass Em = Young’s modulus or deformation modulus υ = Poisson’s ratio | ||
| Rock Mass Strength σcm | In Situ Stress P0 | σcm/P0 | Plastic Zone Radius rp (m) | Strain Ɛ (%) | Total Deformation ui (m) | Tunnel Face Deformation uif (m) | Critical Support Pressure Pcr (MPa) |
|---|---|---|---|---|---|---|---|
| 0.16 | 2.2 | 0.07 | 39 | 18 | 0.055 | 0.10 | 1.20 |
| Shotcrete | Steel Rib | Bolt |
|---|---|---|
| 45 cm | HEB 140 | 12 m |
| As (m2) | sl (m) | Es (Mpa) | σys (Mpa) | Pssmax (MPa) | Kss (MPa/m) |
|---|---|---|---|---|---|
| Cross-sectional area | Spacing along the tunnel axis | Young’s modulus of the steel rib | Yield strength of the steel | Support pressure | Stiffness |
| 0.00496 | 1 | 207,000 | 365 | 0.203 | 12.96 |
| tc (m) | νc | Ec (Mpa) | σcc (Mpa) | (MPa) | (MPa/m) |
|---|---|---|---|---|---|
| Thickness of the shotcrete | Poisson ratio | Young’s modulus of the shotcrete | Uniaxial compressive strength of the shotcrete | Support pressure | Stiffness |
| 0.45 | 0.2 | 30,000 | 25 | 1.232 | 182.26 |
| db (m) | l (m) | Es (Mpa) | sc (m) | sl (m) | Tbf (MN) | Psbmax (MPa) | Ksb (Mpa/m) |
|---|---|---|---|---|---|---|---|
| 0.032 | 12 | 207,000 | 1 | 1 | 0.280 | 0.28 | 13.87 |
| tc (m) | νc | Ec (Mpa) | σcc (Mpa) | (MPa) | (MPa/m) |
|---|---|---|---|---|---|
| Thickness of the Bernold lining | Poisson ratio | Young’s modulus of the Bernold lining | Uniaxial compressive strength of the shotcrete | Support pressure | Stiffness |
| 0.60 | 0.2 | 30,000 | 25 | 1.62 | 245.26 |
Disclaimer/Publisher’s Note: The statements, opinions and data contained in all publications are solely those of the individual author(s) and contributor(s) and not of MDPI and/or the editor(s). MDPI and/or the editor(s) disclaim responsibility for any injury to people or property resulting from any ideas, methods, instructions or products referred to in the content. |
© 2023 by the author. Licensee MDPI, Basel, Switzerland. This article is an open access article distributed under the terms and conditions of the Creative Commons Attribution (CC BY) license (https://creativecommons.org/licenses/by/4.0/).
Share and Cite
Aygar, E.B. Performance of the Flexible and Rigid Lining under Earthquake Impact and Weakness of the New Austrian Tunneling Method (NATM) Principles, a Specific Case Study of the Bolu Tunnel. Sustainability 2023, 15, 15544. https://doi.org/10.3390/su152115544
Aygar EB. Performance of the Flexible and Rigid Lining under Earthquake Impact and Weakness of the New Austrian Tunneling Method (NATM) Principles, a Specific Case Study of the Bolu Tunnel. Sustainability. 2023; 15(21):15544. https://doi.org/10.3390/su152115544
Chicago/Turabian StyleAygar, Ebu Bekir. 2023. "Performance of the Flexible and Rigid Lining under Earthquake Impact and Weakness of the New Austrian Tunneling Method (NATM) Principles, a Specific Case Study of the Bolu Tunnel" Sustainability 15, no. 21: 15544. https://doi.org/10.3390/su152115544
APA StyleAygar, E. B. (2023). Performance of the Flexible and Rigid Lining under Earthquake Impact and Weakness of the New Austrian Tunneling Method (NATM) Principles, a Specific Case Study of the Bolu Tunnel. Sustainability, 15(21), 15544. https://doi.org/10.3390/su152115544

