Implementation of an Industry 4.0 Strategy Adapted to Manufacturing SMEs: Simulation and Case Study
Abstract
:1. Introduction
2. Research Context
2.1. Research Context Methodology
2.2. Definition of Industry 4.0
2.3. Identifying the Tools and Practices for Adapting an Industry 4.0 Strategy to SMEs
2.4. Agility and Modularity
2.5. 4.0 Prerequisites for SMEs
2.6. 4.0 Implementation Strategy for SMEs
3. Theory/Case Study
3.1. Company Case
3.2. Adapting a Strategy
3.2.1. Preparation Phase
3.2.2. Digital Transformation Phase
3.3. Case Study Methodology
- Adding a clerk to feed workstations improves the efficiency rate of value-added workstations, thereby making production and assembly resources more efficient. Further lean and agility projects are analyzed in the simulated experimental design plan.
- A new parts and modules coding system was developed in line with the company’s specific needs, making searching for parts and modules quicker and more efficient. In addition, the project increased the standard parts reuse rate.
- A system for reserving standard parts and modules was implemented, leading to better management of the use of these parts and avoiding production start-up errors. In addition, labels generated automatically from part reservation information improved traceability and part management.
- The ERP system was adapted to associate standard parts and modules with customer projects by entering equipment BOM directly at the design stage.
- The submission process was optimized using a method based on the analysis of data already in the ERP manufacturing costs. Submissions are now based on lists of pre-established modules, simplifying sales pricing.
- In parallel with preparing the ERP for the modules, a methodology was adapted to carry out modular product design. This approach included steps such as sales analysis, the definition of technical specifications, concept development and design review. Some challenges were encountered in terms of the significant company resources that were required to make all the equipment offered by the company modular. Modular design and projects made possible by modularity such as parallel assembly, JIT and Kanban served as variables in the simulated experimental design plan.
- Several essential prerequisites for Industry 4.0 implementation were validated and implemented. These included adopting lean principles and production agility, validating the presence of a high-speed Internet connection, validating real-time access to ERP data and developing strategic planning, all of which contribute to preparing the company to successfully integrate Industry 4.0.
- Industry 4.0 technologies were also implemented, specifically data storage in a cloud-based solution, using Microsoft SharePoint, minimized use of paper-based information, improved accessibility and information management. SharePoint sites and Teams infrastructure were created to facilitate communication, document filing and project organization. These projects lead to the implementation of a paperless production floor, which was set as the last variable in the experimental design.
- In parallel, several internal processes were automated to reduce repetitive tasks. These include sending drawings to suppliers, computerized document management for the finance and purchasing departments, creating work environments for customer projects and managing non-conformities with suppliers.
3.4. Experimental Design
3.4.1. Variables and Levels
- Variable 1—JIT and Kanban (A)
- Variable 2—Modular Design (B)
- Variable 3—Flexible Layout and Parallel Assembly (C)
- Variable 4—Agile Information Systems—Intranet and Screens at Every Workstation (D)
- Variable 5—Performance Indicators, Continuous Improvement, Lean and Agility (E)
3.4.2. Model Description
3.5. Simulation
3.5.1. Simulation Data
3.5.2. Simulation Validation and Steady-State Evaluation
4. Experimental Design Results and Analysis
4.1. Experimental Results
4.2. Table of Main Effects
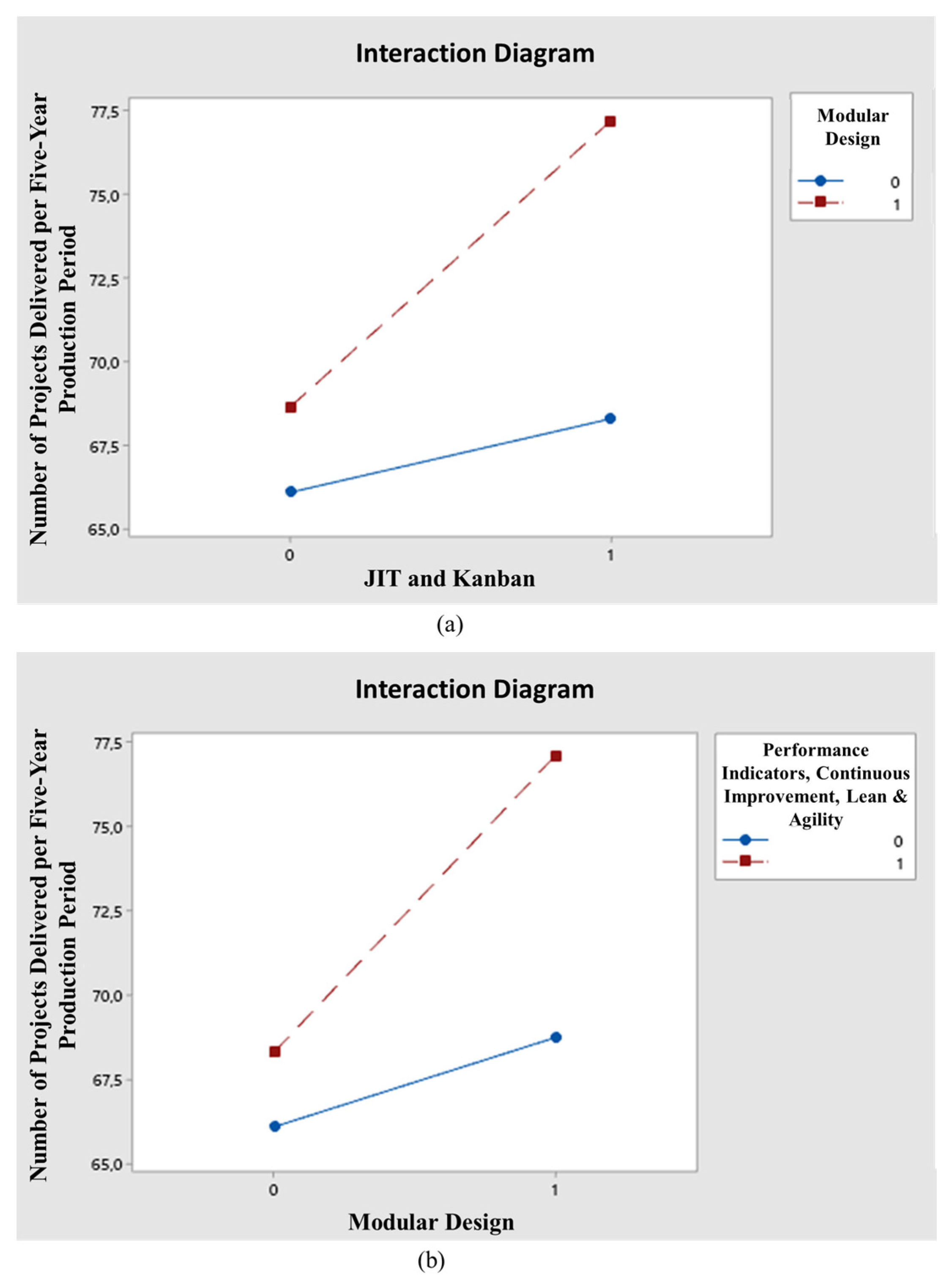
4.3. Analysis of Variance
5. Discussion and Suggestions
5.1. Company Case Analysis
- A 40% reduction in time spent searching for information and parts in the assembly department;
- A 50% reduction in the number of surplus standard parts produced over a six-month period;
- A 90% reduction in product design time and a 32% reduction in drawing time using standard modules and parts;
- A 4.4% reduction in the number of standard parts following the elimination of duplicates;
- The realization from management that a select group of options corresponds to 80% of the options sold;
- The understanding that ordering five or more identical parts from a supplier reduces the unit purchase cost by 20% compared with buying one part;
- A reduction in the number of paper documents, as well as in the search, filing and transcription of these documents;
- Easier sharing of information and documents between internal workers and with external suppliers;
- Reduced risk of data and document loss following the implementation of cybersecurity solutions;
- A marked improvement in document tracking, with the introduction of statuses and tracking lists;
- Reduced repetitive tasks such as implementing Teams, authorizing SharePoint access and drawing searches.
5.2. Next Steps Analysis
5.3. Strategy Demonstration
5.4. Global Analysis—Technologies
5.5. Global Analysis—Strategy Adaptability
6. Conclusions
Author Contributions
Funding
Institutional Review Board Statement
Informed Consent Statement
Data Availability Statement
Conflicts of Interest
References
- Leger. L’état de la Numérisation des Entreprises Manufacturières Au Québec. 2022. Available online: https://productiviteinnovation.investquebec.com/medias/iw/Enquete_Num-Manuf2021_Rapport-final-003.pdf (accessed on 15 June 2023).
- Rauch, E.; Stecher, T.; Unterhofer, M.; Dallasega, P.; Matt, D.T. Suitability of Industry 4.0 concepts for small and medium sized enterprises: Comparison between an expert survey and a user survey. In Proceedings of the International Conference on Industrial Engineering and Operations Management, Bangkok, Thailand, 5–7 March 2019. [Google Scholar]
- Gamache, S.; Abdul-Nour, G.; Baril, C. Evaluation of the influence parameters of Industry 4.0 and their impact on the Quebec manufacturing SMEs: The first findings. Cogent Eng. 2020, 7, 1771818. [Google Scholar] [CrossRef]
- Charbonneau Genest, M.; Gamache, S. Prerequisites for the Implementation of Industry 4.0 in Manufacturing SMEs. Procedia Manuf. 2020, 51, 1215–1220. [Google Scholar] [CrossRef]
- Bertolini, M.; Esposito, G.; Neroni, M.; Romagnoli, G. Maturity models in industrial internet: A review. In Proceedings of the 25th International Conference on Production Research Manufacturing Innovation: Cyber Physical Manufacturing, Chicago, IL, USA, 9–14 August 2019. [Google Scholar]
- De Carolis, A.; Macchi, M.; Kulvatunyou, B.; Brundage, M.; Terzi, S. Maturity Models and Tools for Enabling Smart Manufacturing Systems: Comparison and Reflections for Future Developments. In Product Lifecycle Management and the Industry of the Future; Springer: Cham, Switzerland, 2017; pp. 23–35. [Google Scholar]
- Sassanelli, C.; Rossi, M.; Terzi, S. Evaluating the smart maturity of manufacturing companies along the product development process to set a PLM project roadmap. Int. J. Prod. Lifecycle Manag. 2020, 12, 185–209. [Google Scholar] [CrossRef]
- Mittal, S.; Khan, M.A.; Romero, D.; Wuest, T. Building blocks for adopting smart manufacturing. In Proceedings of the 47th SME North American Manufacturing Research Conference, Erié, PA, USA, 10–14 June 2019. [Google Scholar]
- Moeuf, A.; Pellerin, R.; Lamouri, S.; Tamayo-Giraldo, S.; Barbaray, R. The industrial management of SMEs in the era of Industry 4.0. Int. J. Prod. Res. 2018, 56, 1118–1136. [Google Scholar] [CrossRef]
- Schmitt, P.; Schmitt, J.; Engelmann, B. Evaluation of proceedings for SMEs to conduct I4.0 projects. In Proceedings of the 7th CIRP Global Web Conference, CIRPe 2019, Berlin, Germany, 16–18 October 2019. [Google Scholar]
- Bouchard, S.; Abdulnour, G.; Gamache, S. Agility and Industry 4.0 Implementation Strategy in a Quebec Manufacturing SME. Sustainability 2022, 14, 7884. [Google Scholar] [CrossRef]
- Abdulnour, S.; Baril, C.; Abdulnour, G.; Gamache, S. Implementation of Industry 4.0 Principles and Tools: Simulation and Case Study in a Manufacturing SME. Sustainability 2022, 14, 6336. [Google Scholar] [CrossRef]
- Forschungsunion. Recommendations for Implementing the Strategic Initiative INDUSTRIE 4.0: Securing the Future of German Manufacturing Industry; Forschungsunion: Baedekerstraße, Germany, 2013; p. 84. [Google Scholar]
- Garay-Rondero, C.L.; Martinez-Flores, J.L.; Smith, N.R.; Caballero Morales, S.O.; Aldrette-Malacara, A. Digital supply chain model in Industry 4.0. J. Manuf. Technol. Manag. 2019, 31, 887–933. [Google Scholar] [CrossRef]
- Szász, L.; Demeter, K.; Rácz, B.G.; Losonci, D. Industry 4.0: A review and analysis of contingency and performance effects. J. Manuf. Technol. Manag. 2020, 32, 667–694. [Google Scholar] [CrossRef]
- Porter, M.E.; Heppelmann, J.E. How Smart, Connected Products Are Transforming Competition. Harv. Bus. Rev. 2014, 92, 18. [Google Scholar]
- Schönfuß, B.; McFarlane, D.; Hawkridge, G.; Salter, L.; Athanassopoulou, N.; de Silva, L. A catalogue of digital solution areas for prioritising the needs of manufacturing SMEs. Comput. Ind. 2021, 133, 103532. [Google Scholar] [CrossRef]
- Pech, M.; Vrchota, J. Classification of small-and medium-sized enterprises based on the level of industry 4.0 implementation. Appl. Sci. 2020, 10, 5150. [Google Scholar] [CrossRef]
- Torn, I.A.R.; Vaneker, T.H.J. Mass personalization with industry 4.0 by SMEs: A concept for collaborative networks. In Proceedings of the 7th International Conference on Changeable, Agile, Reconfigurable and Virtual Production, CARV 2018, Nantes, France, 8–10 October 2018. [Google Scholar]
- Türkeş, M.C.; Oncioiu, I.; Aslam, H.D.; Marin-Pantelescu, A.; Topor, D.I.; Căpuşneanu, S. Drivers and barriers in using industry 4.0: A perspective of SMEs in Romania. Process 2019, 7, 153. [Google Scholar] [CrossRef]
- Menon, S.; Shah, S. Are SMEs Ready for Industry 4.0 Technologies: An Exploratory Study of I 4.0 Technological Impacts. In Proceedings of the 2020 International Conference on Computation, Automation and Knowledge Management, Dubai, United Arab Emirates, 9–10 January 2020. [Google Scholar]
- Vázquez-Bustelo, D.; Lucía, A.; Esteban, F. Agility drivers, enablers and outcomes Empirical test of an integrated agile manufacturing mode. Int. J. Oper. Prod. Manag. 2007, 27, 1303–1332. [Google Scholar] [CrossRef]
- Gunasekaran, A.; Yusuf, Y.Y. Agile manufacturing: A taxonomy of strategic and technological imperatives. Int. J. Prod. Res. 2002, 40, 1357–1385. [Google Scholar] [CrossRef]
- Leite, M.; Braz, V. Agile manufacturing practices for new product development: Industrial case studies. J. Manuf. Technol. Manag. 2016, 27, 560–576. [Google Scholar] [CrossRef]
- Zhang, D.Z. Towards theory buildaing in agile manufacturing strategies—Case studies of an agility taxonomy. Int. J. Prod. Econ. 2011, 131, 303–312. [Google Scholar] [CrossRef]
- Tortorella, G.L.; Fettermann, D. Implementation of industry 4.0 and lean production in brazilian manufacturing companies. Int. J. Prod. Res. 2018, 56, 2975–2987. [Google Scholar] [CrossRef]
- Zhang, Y.; Deng, Y.; Wang, Y.; Chen, P.; Yan, B.; Zou, X.; Zheng, Y.; Wu, S.; Zhu, H. Functional Structure Modeling and Assembly Practice of Ditching Fertilizer Based on Standardized Module Design. IOP Conf. Ser. Mater. Sci. Eng. 2019, 573, 012113. [Google Scholar] [CrossRef]
- Gosling, J.; Naim, M.M. Engineer-to-order supply chain management: A literature review and research agenda. Int. J. Prod. Econ. 2009, 122, 741–754. [Google Scholar] [CrossRef]
- Abdul-Nour, G.; Lambert, S.; Drolet, J. Adaptation of JIT phylosophy and kanban technique to a small-sized manufacturing firm; a project management approach. Comput. Ind. Eng. 1998, 35, 419–422. [Google Scholar] [CrossRef]
- Sheu, C.; Wacker, J.G. The effects of purchased parts commonality on manufacturing lead time. Int. J. Oper. Prod. Manag. 1997, 17, 725. [Google Scholar] [CrossRef]
- Brox, J.A.; Fader, C. The set of just-in-time management strategies: An assessment of their impact on plant-level productivity and input-factor substitutability using variable cost function estimates. Int. J. Prod. Res. 2002, 40, 2705–2720. [Google Scholar] [CrossRef]
- Nakayama, R.S.; De Mesquita Spinola, M. Production planning and control in small engineer-to-order companies: Understanding difficulties and pragmatic approach. In Proceedings of the Portland International Center for Management of Engineering and Technology, PICMET 2015, Portland, OR, USA, 2–6 August 2015. [Google Scholar]
- Sriariyawat, N. Implementation of Agile Manufacturing for Thai’s SMEs. In Proceedings of the 1st International Conference on Advance and Scientific Innovation (ICASI), Medan, Indonesia, 23–24 April 2018. [Google Scholar]
- Bessant, J.; Francis, D.; Meredith, S.; Kaplinsky, R.; Brown, S. Developing manufacturing agility in SMEs. Int. J. Entrep. Innov. Manag. 2000, 1, 730–756. [Google Scholar] [CrossRef]
- Burgess, T.F. Making the Leap to Agility. Int. J. Oper. Prod. Manag. 1994, 14, 23–34. [Google Scholar] [CrossRef]
- Müller, J.M.; Voigt, K.I. Sustainable Industrial Value Creation in SMEs: A Comparison between Industry 4.0 and Made in China 2025. Int. J. Precis. Eng. Manuf. Green Technol. 2018, 5, 659–670. [Google Scholar] [CrossRef]
- Črešnar, R.; Potočan, V.; Nedelko, Z. Speeding up the implementation of industry 4.0 with management tools: Empirical investigations in manufacturing organizations. Sensors 2020, 20, 3469. [Google Scholar] [CrossRef] [PubMed]
- Beaudoin, J. Prendre Part À La Révolution Manufacturière? Du Rattrapage Technologique À L’industrie 4.0 Chez Les Pme; Centre Francophone d’Informatisation des Organisations (CEFRIO): Québec, QC, Canada, 2016; p. 32. [Google Scholar]
- Ghobakhloo, M. The future of manufacturing industry: A strategic roadmap toward Industry 4.0. J. Manuf. Technol. Manag. 2018, 29, 910–936. [Google Scholar] [CrossRef]
- Mofolasayo, A.; Young, S.; Martinez, P.; Ahmad, R. How to adapt lean practices in SMEs to support Industry 4.0 in manufacturing. In Proceedings of the 3rd International Conference on Industry 4.0 and Smart Manufacturing, Linz, Austria, 17–19 November 2021. [Google Scholar]
- Sufian, A.T.; Abdullah, B.M.; Ateeq, M.; Wah, R.; Clements, D. Six-gear roadmap towards the smart factory. Appl. Sci. 2021, 11, 3568. [Google Scholar] [CrossRef]
- Ghobakhloo, M.; Iranmanesh, M.; Vilkas, M.; Grybauskas, A.; Amran, A. Drivers and barriers of Industry 4.0 technology adoption among manufacturing SMEs: A systematic review and transformation roadmap. J. Manuf. Technol. Manag. 2022, 33, 1029–1058. [Google Scholar] [CrossRef]
- Ducrey, V.; Vivier, E. Le Guide de la Transformation Digitale; Eyrolles: Paris, France, 2017. [Google Scholar]
- Ismail, H.; Reid, I.; Mooney, J.; Poolton, J.; Arokiam, I. How small and medium enterprises effectively participate in the mass customization game. IEEE Trans. Eng. Manag. 2007, 54, 86–97. [Google Scholar] [CrossRef]
- Mittal, S.; Khan, M.A.; Purohit, J.K.; Menon, K.; Romero, D.; Wuest, T. A smart manufacturing adoption framework for SMEs. Int. J. Prod. Res. 2020, 58, 1555–1573. [Google Scholar] [CrossRef]
- Rauch, E.; Vickery, A.R. Systematic analysis of needs and requirements for the design of smart manufacturing systems in smes. J. Comput. Des. Eng. 2020, 7, 129–144. [Google Scholar] [CrossRef]
- Busto Parra, B.; Pando Cerra, P.; Álvarez Peñín, P.I. Combining ERP, Lean Philosophy and ICT: An Industry 4.0 Approach in an SME in the Manufacturing Sector in Spain. Eng. Manag. J. 2021, 34, 655–670. [Google Scholar] [CrossRef]
- Müller, J.; Oana, B.; Kai-Ingo, V. Fortune favors the prepared: How SMEs approach business model innovations in Industry 4.0. Technol. Forecast. Soc. Chang. 2018, 132, 2–17. [Google Scholar] [CrossRef]
- Crupi, A.; Del Sarto, N.; Di Minin, A.; Gregori, G.L.; Lepore, D.; Marinelli, L.; Spigarelli, F. The digital transformation of SMEs—A new knowledge broker called the digital innovation hub. J. Knowl. Manag. 2020, 24, 1263–1288. [Google Scholar] [CrossRef]
- Sassanelli, C.; Terzi, S. The D-BEST Reference Model: A Flexible and Sustainable Support for the Digital Transformation of Small and Medium Enterprises. Glob. J. Flex. Syst. Manag. 2022, 23, 345–370. [Google Scholar] [CrossRef]






| Variable | Authors | Level 0 | Level 1 |
|---|---|---|---|
| JIT and Kanban (A) | [23] | Documents produced on request | Standard parts managed using the Kanban method |
| Modular Design (B) | [23,32,44] | Custom-designed and -manufactured products | Standard parts and module drawings used for 80% of equipment sold |
| Flexible Layout and Parallel Assembly (C) | [23,24] | Series equipment assembly | Parallel assembly of targeted equipment |
| Agile Information Systems—Intranet and Screens at Every Workstation (D) | [17,25,34] | Workers move to a common computer station to create their timecard and take part drawings | Computer station at each workstation to display drawings and for completing timecards |
| Performance Indicators, Continuous Improvement, Lean and Agility (E) | [40,45,46,47] | Current start-up times | SMED technique reduces bottleneck set-up times |
| Equipment Name | Quantity | Percentage |
|---|---|---|
| Chain conveyor | 11 | 16.2% |
| Belt conveyor | 9 | 13.2% |
| Gripper | 7 | 10.3% |
| Safety perimeter | 7 | 10.3% |
| Pallet magazine | 7 | 10.3% |
| Robot | 7 | 10.3% |
| Cardboard warehouse | 5 | 7.4% |
| Conveyor scale | 3 | 4.4% |
| Gravity conveyor | 3 | 4.4% |
| Leveling conveyor | 3 | 4.4% |
| Bagging machine | 2 | 2.9% |
| Wrapper | 2 | 2.9% |
| Gripper conveyor | 1 | 1.5% |
| Bagger | 1 | 1.5% |
| Total | 68 | 100.0% |
| N° | Taguchi Plan Column | Results | |||||||||
|---|---|---|---|---|---|---|---|---|---|---|---|
| A | B | C | D | E | Number of Projects Delivered per 5 Years of Production | ||||||
| JIT and Kanban | Modular Design | Flexible Layout and Parallel Assembly | Agile Information Systems | Performance Indicators, Continuous Improvement, Lean and Agility | Ans.1 | Ans.2 | Ans.3 | Ans.4 | Rep.5 | Avg. | |
| 1 | 0 | 0 | 0 | 0 | 0 | 60 | 61 | 60 | 64 | 61 | 61.2 |
| 2 | 0 | 0 | 0 | 1 | 1 | 70 | 71 | 67 | 73 | 69 | 70 |
| 3 | 0 | 0 | 1 | 0 | 1 | 67 | 70 | 69 | 69 | 69 | 68.8 |
| 4 | 0 | 0 | 1 | 1 | 0 | 64 | 63 | 67 | 65 | 63 | 64.4 |
| 5 | 0 | 1 | 0 | 0 | 1 | 72 | 72 | 70 | 71 | 72 | 71.4 |
| 6 | 0 | 1 | 0 | 1 | 0 | 65 | 65 | 65 | 65 | 66 | 65.2 |
| 7 | 0 | 1 | 1 | 0 | 0 | 62 | 58 | 65 | 64 | 59 | 61.6 |
| 8 | 0 | 1 | 1 | 1 | 1 | 77 | 77 | 74 | 76 | 78 | 76.4 |
| 9 | 1 | 0 | 0 | 0 | 1 | 69 | 66 | 67 | 67 | 65 | 66.8 |
| 10 | 1 | 0 | 0 | 1 | 0 | 71 | 72 | 67 | 68 | 71 | 69.8 |
| 11 | 1 | 0 | 1 | 0 | 0 | 69 | 68 | 68 | 71 | 69 | 69 |
| 12 | 1 | 0 | 1 | 1 | 1 | 68 | 68 | 70 | 66 | 66 | 67.6 |
| 13 | 1 | 1 | 0 | 0 | 0 | 72 | 74 | 74 | 74 | 72 | 73.2 |
| 14 | 1 | 1 | 0 | 1 | 1 | 84 | 80 | 82 | 78 | 82 | 81.2 |
| 15 | 1 | 1 | 1 | 0 | 1 | 81 | 78 | 81 | 80 | 77 | 79.4 |
| 16 | 1 | 1 | 1 | 1 | 0 | 73 | 75 | 77 | 75 | 75 | 75 |
| Source | Degree of Freedom | Sum of Fitted Squares | Adjusted Mean Square | F Value | p-Value |
|---|---|---|---|---|---|
| JIT and Kanban (A) | 1 | 577.81 | 577.812 | 93.20 | 0.000 |
| Modular Design (B) | 1 | 655.51 | 655.512 | 105.73 | 0.000 |
| Flexible Layout and Parallel Assembly (C) | 1 | 3.61 | 3.613 | 0.58 | 0.448 |
| Agile Information Systems (D) | 1 | 103.51 | 103.513 | 16.70 | 0.000 |
| Performance Indicators, Continuous Improvement, Lean and Agility (E) | 1 | 556.51 | 556.513 | 89.77 | 0.000 |
| JIT and Kanban × Modular Design (AB) | 1 | 201.61 | 201.613 | 32.52 | 0.000 |
| JIT and KANBAN × Agile Information Systems (AD) | 1 | 19.01 | 19.013 | 3.07 | 0.084 |
| Modular Design × Agile Information Systems (BD) | 1 | 12.01 | 12.013 | 1.94 | 0.168 |
| Modular Design × Performance Indicators, Continuous Improvement, Lean and Agility (BE) | 1 | 189.11 | 189.112 | 30.50 | 0.000 |
| Error | 70 | 433.98 | 6.200 | ||
| Inadequate adjustment | 6 | 245.18 | 40.863 | 13.85 | 0.000 |
| Pure error | 64 | 188.80 | 2.950 | ||
| Total | 79 | 2752.69 |
Disclaimer/Publisher’s Note: The statements, opinions and data contained in all publications are solely those of the individual author(s) and contributor(s) and not of MDPI and/or the editor(s). MDPI and/or the editor(s) disclaim responsibility for any injury to people or property resulting from any ideas, methods, instructions or products referred to in the content. |
© 2023 by the authors. Licensee MDPI, Basel, Switzerland. This article is an open access article distributed under the terms and conditions of the Creative Commons Attribution (CC BY) license (https://creativecommons.org/licenses/by/4.0/).
Share and Cite
Roy, M.-A.; Abdul-Nour, G.; Gamache, S. Implementation of an Industry 4.0 Strategy Adapted to Manufacturing SMEs: Simulation and Case Study. Sustainability 2023, 15, 15423. https://doi.org/10.3390/su152115423
Roy M-A, Abdul-Nour G, Gamache S. Implementation of an Industry 4.0 Strategy Adapted to Manufacturing SMEs: Simulation and Case Study. Sustainability. 2023; 15(21):15423. https://doi.org/10.3390/su152115423
Chicago/Turabian StyleRoy, Marc-Antoine, Georges Abdul-Nour, and Sébastien Gamache. 2023. "Implementation of an Industry 4.0 Strategy Adapted to Manufacturing SMEs: Simulation and Case Study" Sustainability 15, no. 21: 15423. https://doi.org/10.3390/su152115423
APA StyleRoy, M.-A., Abdul-Nour, G., & Gamache, S. (2023). Implementation of an Industry 4.0 Strategy Adapted to Manufacturing SMEs: Simulation and Case Study. Sustainability, 15(21), 15423. https://doi.org/10.3390/su152115423

