Intelligent Personalized Lighting Control System for Residents
Abstract
:1. Introduction
2. Materials and Methods
2.1. The Working Framework of This Study
2.2. Face Recognition Module
2.3. Data Acquisition
2.4. Controller Design and Data Coding
2.5. Model Evaluation Index
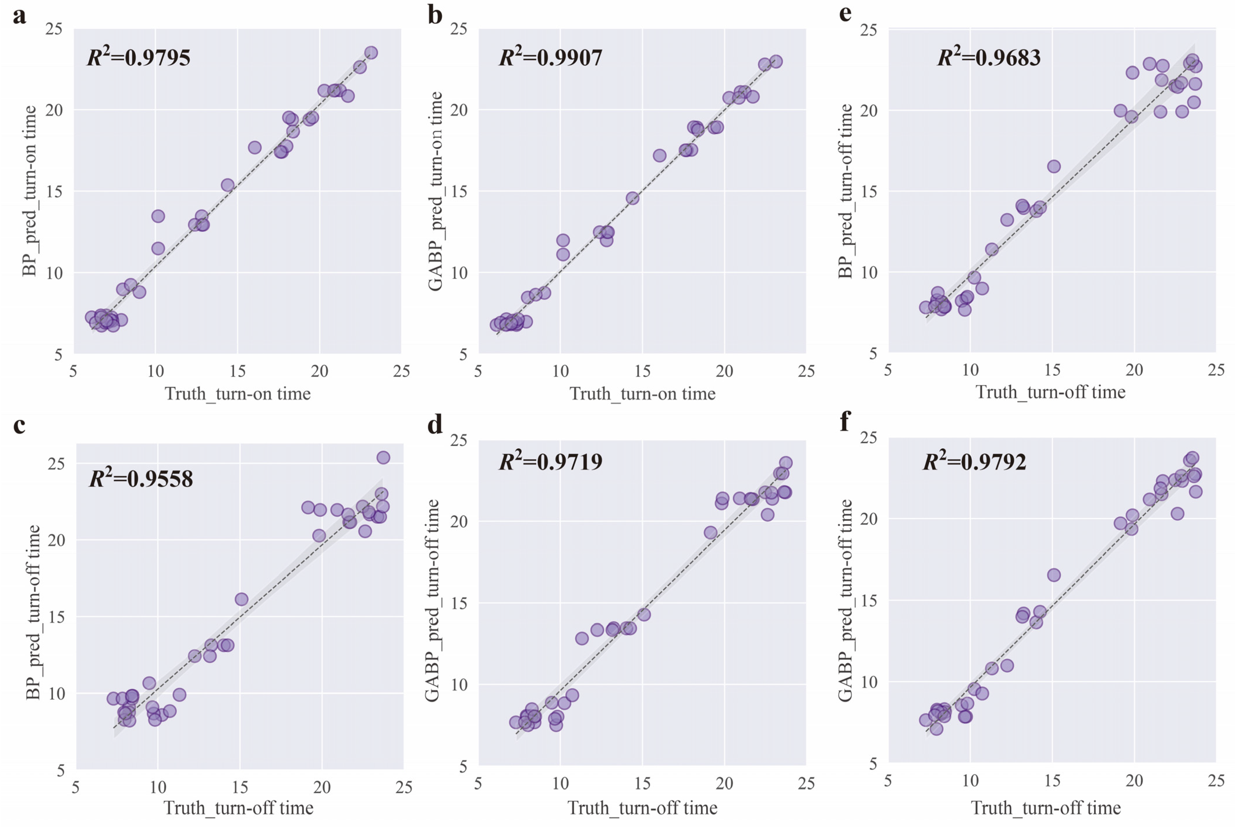
3. Results
3.1. Model Preliminary Screening and Design
3.2. Randomly Divided Test Set Testing
3.3. Test Set Tests in Chronological Order
4. Conclusions
- (1)
- Lighting control based on habit prediction considers that different users have regular daily routines during the week. Sufficient data on the use of lamps by different users were collected and the BPNN algorithm obtained the next lamp use time of a user for the prediction and control of the lighting system.
- (2)
- Compared with the traditional manual control of lighting, the proposed system effectively reduces the manual operation control of users. The method is based on personal preferences, which not only allows for the development of optimal control strategies, but also effectively reduces energy consumption and provides users with comfortable and personalized services.
- (3)
- The proposed system is able to record the user’s lighting data in real time without relying on other factors and accurately predicts the lighting time according to the user’s individual preference for lighting. This intelligent and energy-saving lighting system thus realizes sensorless control of a multi-user environment.
- (4)
- In applications, if the result is not satisfactory to the user and the user retakes control of the lighting, the system reverses the control result to the Raspberry Pi database to form a new database. The new dataset is re-returned to the BP model for prediction and new actions are executed in the negative feedback process; e.g., controlling the lights on/off at the corresponding time in the next week and giving the time to turn on/off the lights.
- (5)
- Additionally, users can use mobile phones to operate the system in real-time. The new data are fed back to the database, and the new data set is used to predict which lamp will be turned on or off at the next moment. In the diagram, when the system has finished the learning and training to generate prediction results, it transmits the prediction results to the control module via Bluetooth. The control module receives the resulting command to operate the lighting module at the corresponding position.
Author Contributions
Funding
Institutional Review Board Statement
Informed Consent Statement
Data Availability Statement
Conflicts of Interest
References
- Putrada, A.G.; Abdurohman, M.; Perdana, D.; Nuha, H.H. Machine Learning Methods in Smart Lighting Toward Achieving User Comfort: A Survey. IEEE Access 2022, 10, 45137–45178. [Google Scholar] [CrossRef]
- Pauley, S.M. Lighting for the human circadian clock: Recent research indicates that lighting has become a public health issue. Med. Hypotheses 2004, 63, 588–596. [Google Scholar] [CrossRef]
- Yoon, S.H.; Lee, K.S.; Cha, J.S.; Mariappan, V.; Lee, M.W.; Woo, D.G.; Kim, J.U. Indoor surveillance camera based human centric lighting control for smart building lighting management. Int. J. Adv. Cult. Technol. 2020, 8, 207–212. [Google Scholar]
- Al Horr, Y.; Arif, M.; Kaushik, A.; Mazroei, A.; Katafygiotou, M.; Elsarrag, E. Occupant productivity and office indoor environment quality: A review of the literature. J. Affect. Disord. 2016, 105, 369–389. [Google Scholar] [CrossRef]
- Hsieh, M. Effects of illuminance distribution, color temperature and illuminance level on positive and negative moods. J. Asian Arch. Build. Eng. 2015, 14, 709–716. [Google Scholar] [CrossRef]
- Khoa, T.A.; Nhu, L.M.B.; Son, H.H.; Trong, N.M.; Phuc, C.H.; Phuong, N.T.H.; Van Dung, N.; Nam, N.H.; Chau, D.S.T.; Duc, D.N.M. Designing efficient smart home management with IoT smart lighting: A case study. Wirel. Commun. Mob. Comput. 2020, 2020, 1–18. [Google Scholar] [CrossRef]
- Kandasamy, K.N. Smart lighting system using ANN-IMC for personalized lighting control and daylight harvesting. Build. Environ. 2018, 139, 170–180. [Google Scholar] [CrossRef]
- Zarindast, A.; Wood, J.; Sharma, A. A data-driven personalized smart lighting recommender system. arXiv 2021, arXiv:2104.02164. [Google Scholar]
- Tarasevičienė, A.P.; Morkevičius, N.; Janavičiūtė, A. The usage of artificial neural networks for intelligent lighting control based on residents behavioral pattern. Electron. Air Elektrotechnika 2015, 21, 72–79. [Google Scholar]
- Chen, Y.T.; Chen, W.N.; Zhang, X.Z. Fly face recognition based on deep convolution neural network. Opt. Precis. Eng. 2020, 28, 1558–1567. [Google Scholar] [CrossRef]
- Fan, L.L.; Zhao, H.W.; Zhao, H.Y. Overview of target detection based on deep convolution neural network. Opt. Precis. Eng. 2020, 28, 1152–1164. [Google Scholar]
- Sun, X.; Lv, M. Facial Expression Recognition Based on a Hybrid Model Combining Deep and Shallow Features. Cogn. Comput. 2019, 11, 587–597. [Google Scholar] [CrossRef]
- Indolia, S.; Goswami, A.K.; Mishra, S.; Asopa, P. Conceptual understanding of convolutional neural network—A deep learning approach. Procedia Comput. Sci. 2018, 132, 679–688. [Google Scholar] [CrossRef]
- Ren, K.Q.; Hu, H. Discriminant face recognition algorithm based on deep convolution neural network. J. Huazhong Univ. Sci. Technol. 2019, 47, 127–132. [Google Scholar]
- Long, J.; Shel, H.E.; Darrell, T. Fully Convolutional Networks for Semantic Segmentation. IEEE Trans. Pattern Anal. Mach. Intell. 2015, 39, 640–651. [Google Scholar]
- Lu, P.; Song, B.; Xu, L. Human face recognition based on convolutional neural network and augmented dataset. Syst. Sci. Control Eng. 2021, 9, 29–37. [Google Scholar] [CrossRef]
- Du, Y.; Lim, Y.; Tan, Y. A Novel Human Activity Recognition and Prediction in Smart Home Based on Interaction. Sensors 2019, 19, 4474. [Google Scholar] [CrossRef] [PubMed]
- Park, J.Y.; Dougherty, T.; Fritz, H.; Nagy, Z. LightLearn: An adaptive and occupant centered controller for lighting based on reinforcement learning. J. Affect. Disord. 2012, 147, 397–414. [Google Scholar] [CrossRef]
- Li, X. Research on the Design Strategy of Natural Ventilation Building’s Light and Thermal Environment Considering Rhythm Coordination; Dalian University of Technology: Dalian, China, 2020; p. 0519. [Google Scholar]
- Alam, M.R.; Reaz, M.B.I.; Ali, M.A.M. SPEED: An inhabitant activity prediction algorithm for smart homes. IEEE Trans. Syst. Man Cybern.—Part A Syst. Hum. 2011, 42, 985–990. [Google Scholar] [CrossRef]
- Yang, K.; Zhao, L. Intelligent lighting system based on VLC and PLC. Laser J. 2019, 40, 72–75. [Google Scholar]
- Yang, W.; Jeon, J.Y. Effects of correlated colour temperature of LED light on visual sensation, perception, and cognitive performance in a classroom lighting environment. Sustainability 2020, 12, 4051. [Google Scholar] [CrossRef]
- Schonlau, M.; Zou, R.Y. The random forest algorithm for statistical learning. Stata J. 2020, 20, 3–29. [Google Scholar] [CrossRef]
- Xu, M.; Watanachaturaporn, P.; Varshney, P.K.; Arora, M.K. Decision tree regression for soft classification of remote sensing data. Remote Sens. Environ. 2005, 97, 322–336. [Google Scholar] [CrossRef]
- Ostertagová, E. Modelling using polynomial regression. Procedia Eng. 2012, 48, 500–506. [Google Scholar] [CrossRef]
- Smola, A.J.; Schölkopf, B. A tutorial on support vector regression. Stat. Comput. 2004, 14, 199–222. [Google Scholar] [CrossRef]
- McDonald, G.C. Ridge regression. Wiley Interdiscip. Rev. Comput. Stat. 2009, 1, 93–100. [Google Scholar] [CrossRef]
- Ranstam, J.; Cook, J.A. LASSO regression. J. Br. Surg. 2018, 105, 1348. [Google Scholar] [CrossRef]
- Hans, C. Elastic Net Regression modeling with the orthant normal prior. J. Am. Stat. Assoc. 2011, 106, 1383–1393. [Google Scholar] [CrossRef]
- Song, Y.; Liang, J.; Lu, J.; Zhao, X. An efficient instance selection algorithm for k nearest neighbor regression. Neurocomputing 2017, 251, 26–34. [Google Scholar] [CrossRef]







| Classification | Reference Plane and Height (Horizontal Plane) |
|---|---|
| Bedroom (general activity area) | 2.65 m |
| Kitchen | 2.65 m |
| Living room | 2.65 m |
| Restroom | 2.65 m |
| Model | MSE | MAE | R2 | |||
|---|---|---|---|---|---|---|
| Turn-On | Turn-Off | Turn-On | Turn-Off | Turn-On | Turn-Off | |
| Random forest | 0.38 | 14.91 | 0.45 | 1.48 | 0.99 | 0.69 |
| Decision tree | 0.40 | 14.27 | 0.48 | 1.39 | 0.99 | 0.70 |
| Polynomial | 0.43 | 15.47 | 0.44 | 1.63 | 0.99 | 0.67 |
| Support vector | 0.45 | 17.29 | 0.44 | 1.69 | 0.99 | 0.64 |
| Ridge | 0.45 | 17.19 | 0.45 | 1.73 | 0.99 | 0.64 |
| Lasso | 1.46 | 17.20 | 1.06 | 2.21 | 0.96 | 0.64 |
| ElasticNet | 6.02 | 20.37 | 2.27 | 3.30 | 0.84 | 0.57 |
| K nearest neighbor | 0.57 | 15.26 | 0.58 | 1.67 | 0.98 | 0.68 |
| BPNN | 0.41 | 11.16 | 0.41 | 1.55 | 0.99 | 0.77 |
| GABPNN | 0.28 | 8.56 | 0.37 | 1.24 | 0.99 | 0.82 |
Disclaimer/Publisher’s Note: The statements, opinions and data contained in all publications are solely those of the individual author(s) and contributor(s) and not of MDPI and/or the editor(s). MDPI and/or the editor(s) disclaim responsibility for any injury to people or property resulting from any ideas, methods, instructions or products referred to in the content. |
© 2023 by the authors. Licensee MDPI, Basel, Switzerland. This article is an open access article distributed under the terms and conditions of the Creative Commons Attribution (CC BY) license (https://creativecommons.org/licenses/by/4.0/).
Share and Cite
Zhang, J.; Chen, Z.; Wang, A.; Li, Z.; Wan, W. Intelligent Personalized Lighting Control System for Residents. Sustainability 2023, 15, 15355. https://doi.org/10.3390/su152115355
Zhang J, Chen Z, Wang A, Li Z, Wan W. Intelligent Personalized Lighting Control System for Residents. Sustainability. 2023; 15(21):15355. https://doi.org/10.3390/su152115355
Chicago/Turabian StyleZhang, Jialing, Zhanxu Chen, An Wang, Zhenzhang Li, and Wei Wan. 2023. "Intelligent Personalized Lighting Control System for Residents" Sustainability 15, no. 21: 15355. https://doi.org/10.3390/su152115355
APA StyleZhang, J., Chen, Z., Wang, A., Li, Z., & Wan, W. (2023). Intelligent Personalized Lighting Control System for Residents. Sustainability, 15(21), 15355. https://doi.org/10.3390/su152115355

