Abstract
This study uses the computational fluid dynamics (CFD) method to investigate the effects of the depth-width ratio of a three-dimensional street valley and wind velocity on the flow field and pollutant spread in street valleys with double-deck elevated bridges. The simulation results indicate that when there is no viaduct, there is only one vortex in the gorge when the depth-width ratio (H/W) is less than 1.5; when it is equal to 1.5, multiple vortices appear. With a double-deck viaduct, the viaduct changes the airflow field and turbulence structure in the valley, creating a primary vortex and multiple secondary vortices. Aiming at the diffusion of pollutants, the changing trend in the horizontal and vertical direction was quantitatively analyzed. The study found that when the aspect ratio increased from 0.8 to 1.5, the CO concentration on the leeward side increased by 40%, and the CO concentration on the windward side increased by four times. When the street width increased from 20 m to 37.5 m, the CO concentration decreased by 30%. The increase in wind speed reduced the CO concentration by 28% on the lee side and 33% on the windward side. This study reveals the general pattern of pollutant dispersion in viaduct-street canyon structures, providing insights into the construction of viaducts.
1. Introduction
With the development of the economy, cities continue to expand, accompanied by the consumption of large amounts of resources and the aggravation of urban pollution. The exhaust gas emitted by urban vehicles is one of the primary sources of urban pollutants, mainly including carbon monoxide, nitride, and particulate matter (PM2.5) [1]. The street valley composed of tall buildings on both sides and narrow streets in the middle is a typical feature of the city; tall and dense buildings reduce the ventilation capacity of the street valley, the car exhaust on the street cannot be discharged in time, so the concentration of pollutants is maintained at a high level, and residents are exposed to the street valley for a long time, which poses a severe threat to human health, especially for people suffering from respiratory diseases [2].
It has been established that the structure of the canyon can cause changes in airflow that can alter the distribution of pollutants [3,4,5,6]. The flow of air currents and the dispersal of contaminants in the canyon have been studied extensively over the past few decades. The methods commonly used in the research are field measurement [7], wind tunnel experiment [8,9,10], and numerical simulation of computational fluid dynamics (CFD) [11,12,13,14,15,16,17]. Previous studies have focused on the following aspects: the aspect ratio of the street canyon; aspect ratio is a critical parameter, and the structure of the flow field in the canyon with different aspect ratios is not precisely the same; the researchers found that when the aspect ratio is small, there is only one clockwise vortex in the street canyon, and when the aspect ratio becomes larger, there are multiple vortices in the canyon and the direction will be changed [18,19,20]. Mohamed et al. investigated the effect of building orientation on the dispersion of pollutants in street canyons and found that the minimum concentrations in street canyons were located on the windward side when the buildings were orientated at θ = 112.5°, 135°, and 157.5° and that pollutant concentrations decreased with increasing building orientation from θ = 90° [21]. On the influence of street valley asymmetry on pollutant diffusion, it is found that the greater the street valley asymmetry, the better the pollutant discharge [22,23,24,25]. The shape of the roof also affects the diffusion of pollutants in street valleys, and the researchers carried out numerical simulation studies for different roof shapes, and found that the shape of the roof is an important influencing factor, and the airflow velocity is higher in pitched roofs than in other roof forms, and pollutant accumulation near the leeward side of pitched roofs is higher than that of flat roofs [26,27]. Wind environment, wind speed and direction: the greater the wind speed, the more conducive to the diffusion of pollutants; when the wind direction is parallel to the street valley, the stronger the purification capacity of the wind [28,29,30,31]. Seasonal variations significantly alter the microclimate of the street canyon, with relatively high concentrations of pollutants during summer mornings and winter nights [32]. Solar radiation causes the temperature rise of the street canyon, and the airflow structure in the street canyon is more complicated than that in isothermal conditions [33,34,35,36]. The turbulent kinetic energy caused by motor vehicle motion is studied. The results show that the turbulent kinetic energy is mainly behind the vehicle, and the magnitude of the turbulent kinetic energy around the moving vehicle is much higher than that around the stationary vehicle [37]. At street intersections, where the urban structure is more complex, the researchers conducted three-dimensional numerical simulations of the ventilation conditions at right and oblique intersections under eight wind directions [38]. Solar radiation promotes photochemical reactions (O3 + NO O2 + NO2), forming environmental problems such as photochemical smog, further aggravating pollution [39,40].
The explosion of the urban population and means of transportation has brought tremendous pressure to the traffic, and the urban structure has to be changed accordingly; for this reason, people build viaducts to relieve the urban traffic pressure and improve traffic efficiency; however, when viaducts are built in urban street valleys, new problems will be brought: the viaducts increase the flow of traffic, which also increases the exhaust gas and the pollution inside the streets. To understand the impact of viaducts on the airflow field and pollutant spread inside streets, researchers have done a lot of relevant studies around viaducts, mainly considering the size of viaducts and noise barriers. Hang et al. [41] studied the effects of ground heating and viaducts on the diffusion of pollutants in street valleys in two dimensions and found that viaducts significantly reduced the concentration of contaminants above the viaducts. Alibek et al. [42] simulated the influence of noise barriers of different heights on the diffusion of pollutants, and the results showed that the height of noise barriers played a significant role in improving the air quality of street valleys, and the presence of noise barriers greatly reduced the concentration of pollutants. Zhang et al. [43] found that the street valley airflow was affected by the viaduct and changed the central position of the main vortex; when the viaduct was 10 m above the ground, two vortices appeared. Huang et al. [44] found that within a street valley with a viaduct, a clockwise primary vortex is formed, while one or more secondary vortices form at other locations. Ming et al. [45] used a two-dimensional model to study the diffusion of active pollutants in street valleys. Focusing on the chemical changes of NO and O3, the study found that the concentration of ground pollutants increased with the increase in the height and width of the viaduct.
Previous studies have centered on the effects of single-deck viaducts on the flow field and pollutant dispersion in street canyons, but there is a lack of research on double-deck viaducts. Double-deck viaducts are usually built in places where traffic conditions are particularly complex, especially in urban street canyons. When the street is wide, there is no need to build a double-decker viaduct, and when the street is narrow, the double-deck viaduct can be a good way to relieve the pressure of traffic, which makes the internal structure of the street canyon even more complex and polluted.
To address this issue, this study aims to use numerical simulation to investigate the effect of a double-deck viaduct street on airflow and pollutant dispersion within a street canyon, and to provide a reference for the design of viaducts. This study aims to provide valuable lessons for designing viaducts and the layout of urban construction, where sound design can attenuate the pollution level within a neighborhood. The meaning of the symbols is shown in Table 1.
Table 1.
Nomenclature.
2. Methodology
2.1. Geometric Model
This study used the CFD method to simulate and analyze the spread characteristics of pollutants in the 1:10 three-dimensional street valley-deck viaduct structure. Figure 1 shows the position of the double-deck viaduct (117°37′ E, 31°91′ N). Figure 2a is a simplified three-dimensional structure of the double-deck viaduct based on the actual situation; the height of the viaduct is smaller than the buildings on both sides, the height of the buildings is denoted by H, and the width of the street is denoted by W. The heights of the double-deck viaducts are denoted by H1 and H2, respectively, and the widths are W1 and W2, respectively. Figure 2b shows the computational domain of the simulation, with six buildings in the simulation area, five identical street valleys are formed between the buildings, and the viaduct is placed in the 3rd street valley, which is done to create a fully developed turbulence in front of the viaduct so that the simulated conditions are more closely aligned with the real environment [46]. The size of the computational domain for the simulation is XYZ = 350 × 100 × 150 m, the distance from the first building to the entry boundary should be five times the height of the building, the exit boundary should be ten times the height of the last building, and the top boundary should be five times the height of the top of the building [47]. As shown in Figure 2b, the wind direction selected in the study is perpendicular to the street valley, which is easy to set and more realistic.
Figure 1.
Double-deck viaduct location. The red line is the location of the viaduct.
Figure 2.
(a) Double-deck viaduct structure, (b) computational domain of the simulation.
2.2. Governing Equations
The selection of a suitable turbulence model is beneficial to improve the correctness of the simulation, and previous studies have found that the Large Eddy Simulation (LES) model is more ideal for turbulence simulation than the Reynolds Averaged Navier-Stokes (RANS) model [48,49,50]; however, the LES model requires higher grid quality and longer calculation time, so the RANS method is still the most common method, among them, but the RNG k-ε model is more widely used. Researchers have validated the turbulence model using wind tunnel experiments [51,52,53], and the results showed that the RNG k-ε model was the best model for predicting the spread of pollutants. Therefore, the RNG k-ε model is selected to obtain better simulation results.
Continuity equation:
Momentum equation:
The conservation equations for turbulent kinetic energy (k) and dissipation rate (ε) are
In the above equation, is the thermal expansion coefficient, is the molecular kinematic viscosity. is the acceleration due to gravity. is the air temperature, (), , , , and are empirical constants with sizes 0.09, 1.44, 1.92, and is an expression.
2.3. Boundary Conditions and Simulation Cases
In this study, each boundary condition is shown in Table 2. The simulation area’s building wall and bottom boundaries are set as no-slip walls. The inlet boundary is designated as a velocity inlet, the outlet is a pressure outlet, the pollutant is set as a free-flow boundary, and the top and side boundaries are symmetrical. Gradient winds are used for inlet velocity, which is more realistic [54]; therefore, an exponential wind is used to designate the inlet boundary conditions, and the following equation characterizes the magnitude of the cross-section wind velocity.
Table 2.
The boundary conditions of numerical simulation.
denotes the wind velocity at reference height h, which is set to 25 m. is the roughness index, set to 0.23 based on previous experience. Based on the above conditions, numerical simulations were carried out for different building heights H, and street widths W at various wind velocities, and simulation results were also compared for the presence or absence of viaducts within the street to determine the effect of the depth-width ratio and wind velocity on the dispersion of pollutants in the street valley. Table 3 lists all the simulations.
Table 3.
List of simulation cases.
2.4. Pollutants Setting
Figure 3 shows the parameters of the street valley and the double-deck viaduct. The height of the building is 20, 25, 30, or 37.5 m, and the width of the street W = 20, 25, 30, or 37.5 m, so that a variety of street depth-width ratios H/W can be obtained. H1 and H2 express the distance from the double-deck viaduct to the ground, H1 = 8 m and H2 = 16 m, width W1 = 11 m and W2 = 7 m.
Figure 3.
Pollution source setting. Red lines are sources of pollution.
In this study, we selected CO from vehicle exhaust emissions as the pollutant, and the sources were classified as ground level and bridge level, as shown in Figure 3. The pollutant release source’s width on the viaduct’s first level is 7 m. The width of the pollutant release source on the second level of the viaduct is 11 m. The release source of the first layer is 9 m above the ground, the release source of the second layer is 17 m above the ground, and the width of the ground-level release source is 4 m. The geometric size and emission rate of the CO release source are constant, and the spread equation of CO is as follows:
where C denotes the pollutant concentration (kg/m3), is the pollutant emission rate (kg/m3/s), is the turbulent eddy diffusivity of pollutants, where is the kinematic eddy viscosity and is the turbulent Schmidt number, which ranges from 0.2 to 1.3 [55]. The pollutant emission rate = 10−5 kg/m3/s is sufficiently small to ensure that it does not interfere with the dispersion process of the pollutant.
2.5. Grid Independence Validation
The quantity and quality of the computational domain meshing are significant in the simulation process. A higher quality mesh can get better simulation results, while the number of meshes affects the computation time, so we have to select better quality and a smaller number of mesh conditions.
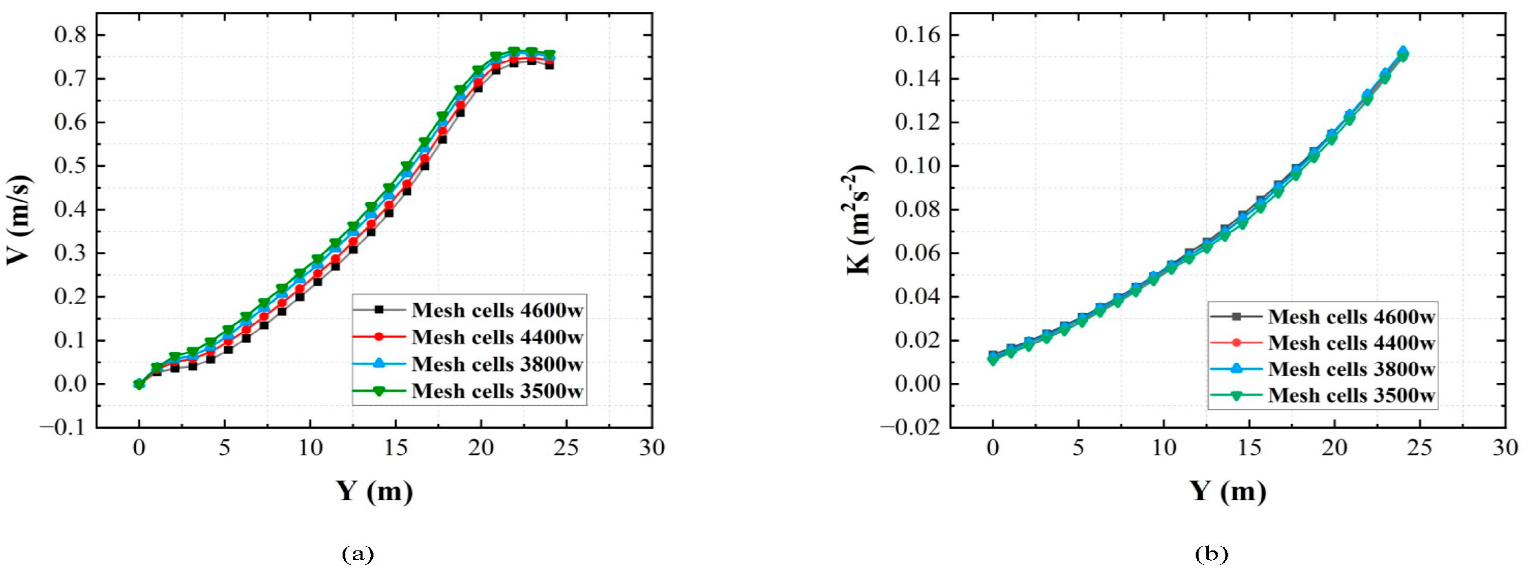
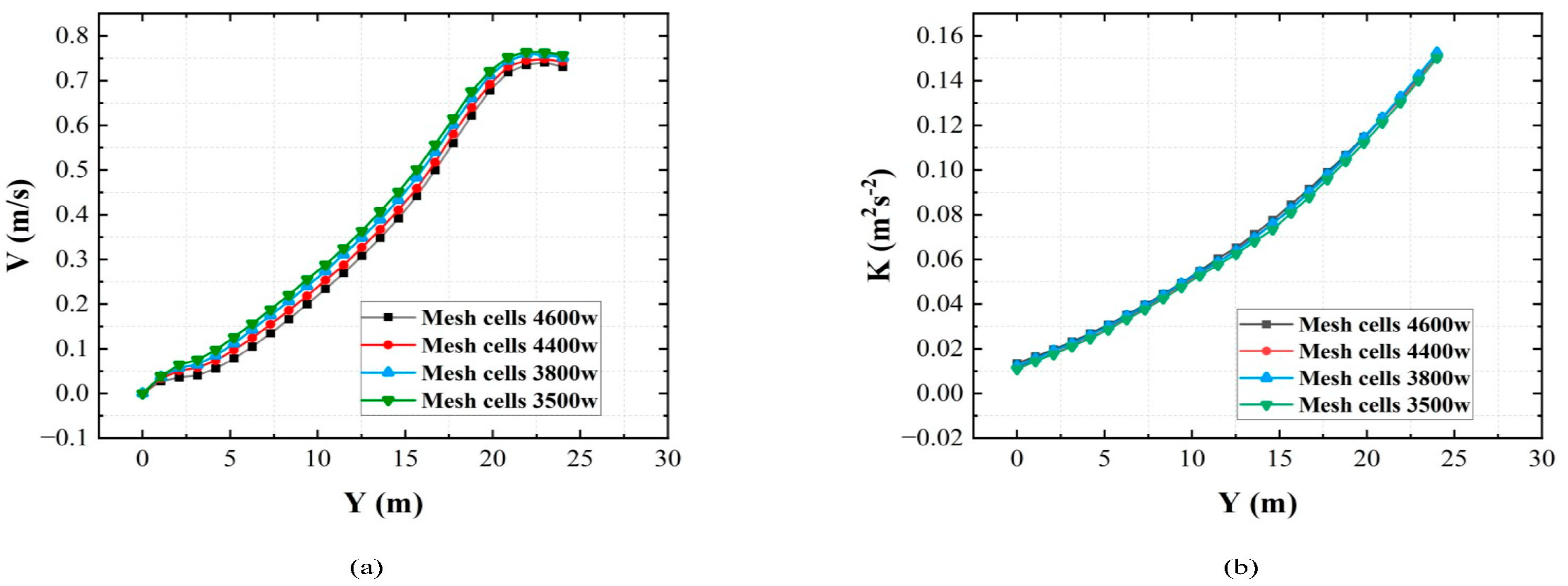
We selected Case 2 in Table 3 as the object for grid partitioning and grid independence verification. The entire computational domain is split into three sections, as depicted in Figure 4, and the grid size and growth rate are not the same in different regions, with specific parameters as listed in Table 4. Simulation tests were carried out for the four cases in Table 3 to analyze the effect of the number of grids on the simulation results. The simulation conditions were the same, and the wind velocity was 2 m/s. The simulation results are shown in Figure 5. Under different grid numbers, the maximum difference of velocity and turbulent kinetic energy in the vertical direction at the center of the street valley is less than 6%, which indicates that the number of grids is more appropriate, and more grid numbers will not have a significant impact on the simulation results. Therefore, to consider the calculation accuracy and time, grid parameter No. 3 is selected as the reference value for simulation grid division.
Figure 4.
Schematic diagram of the grid demarcation.
Table 4.
Grid division conditions (unit: m).
Figure 5.
Different grid modulus results: (a) Velocity, (b) Turbulent kinetic energy.
2.6. Turbulence Model Validation
This section presents the validation of the RNG k-ε model using experimental results from wind tunnel experiments at the University of Karlsruhe, Germany [56]. The urban street valley setup for the wind tunnel experiment is shown in Figure 6a; the physical model is a scaled-down model of 1:150, 12 cm high, H/W = 1, and the building length is L = 144 cm. There are four buildings in the wind tunnel, the pollutant release source is set up in the last street, and there are two pollution sources A, B. A release source is 3.5 cm away from I, B release source is 8.5 cm away from II, and the wind velocity = = 7.7 m/s. SF6 was used as the pollutant, and the average concentration of the pollutant was measured on the walls of the building. In this study, the average pollutant concentrations at the windward and leeward walls were simulated with only source A; comparing the experimental and numerical simulations in Figure 6b, it is found that the trends with height are approximately the same and the magnitudes of the concentrations are relatively close, which suggests that the RNG k-ε method has good applicability in modeling the dispersion of pollutants in urban street valleys.
Figure 6.
RNG k-ε model validation: (a) Sketch of a real installation in a street canyon in a wind tunnel experiment at Karlsruhe University in Germany (Kastner-klein et al., 1999 [56]), (b) Comparison of pollutant concentration (C) on windward and leeward sides under wind tunnel experiment and RNG k-ε model numerical simulation.
3. Results
In this paper, the effects of the depth-width ratio and wind velocity of a street valley on the flow field within a street valley with a double-deck viaduct are investigated, the influencing factors of pollutant dispersion within a street valley are compared, and the trends of pollutant concentrations in different directions are quantitatively analyzed.
3.1. Influence of Building Height on Pollutant Dispersion
Figure 7 shows the streamlines and CO concentrations in the center plane at the level of buildings of different heights. In the study, the street width was set to a constant value and the height of the buildings was varied to compare four sets of cases with different street depth-width ratios of 0.8, 1.0, 1.2, 1.5, and = 2 m/s. In Figure 7a,d,g,j is the canyon valley on the flow field in the street without viaducts, (Figure 7b,e,h,k) is the valley flow field in the street with viaducts, and (Figure 7c,f,i,l) is the CO spread cloud maps.
Figure 7.
Streamlines and CO concentrations in the center plane in the horizontal direction of buildings of different heights. (a,d,g,j) are flow field diagrams without viaducts; (b,e,h,k) are viaduct flow diagrams; (c,f,i,l) are CO diffusion cloud images.
From the results in the figure, in the absence of viaducts, when the depth-width ratio is less than 1.5 in Figure 7a,d,g, a clockwise vortex is formed in the valley of the target street, the location of the vortex is close to the leeward side, and the height of the vortex center increases with the increase of the depth-width ratio, which is the same as the results of the previous studies. When the depth-width ratio is 1.5, in Figure 7j, multiple vorticities appear, with a sizeable clockwise vorticity at the top left and counterclockwise vorticity at the bottom. This phenomenon may be because the incoming wind is blocked by the right wall and backflows back. Because the building is taller, the backflows are blocked by the left wall and separated. Similarly, in Figure 7a,d,g, part of the backflow is downward, forming a counterclockwise vortex at the bottom.
With a double-deck viaduct, when the depth-width ratio is less than 1.5 in Figure 7b,e,h, multiple vortices are generated inside the street valley, and their number increases with the increase of the depth-width ratio. Around the second level of the viaduct, the vortex changes from being around the viaduct at the beginning to being above the second level of the viaduct, and the vortex grows larger as the depth-width ratio increases, since the height of the viaduct is fixed; and as the depth-width ratio increases, the distance of the second level of the viaduct from the tops of the buildings increases, creating a structure similar to a street valley, which creates the vortex. In addition to the formation of vortices above the second level of viaducts, similarly large vortices were formed at the lower left position of each level of viaducts, due to the fact that the viaducts split the flow field, resulting in lower velocities below each level of viaducts and higher velocities above each level of viaducts, and the difference in velocities formed vortices. When the depth-width ratio is 1.5 in Figure 7k, the vortices around the first viaduct are more widely distributed and the number of counterclockwise vortices increases, which is due to the fact that the first viaduct is located right at the center of the counterclockwise vortex at the bottom, which disrupts the original flow field structure.
The results of CO spread in valleys with double-deck viaducts are shown in Figure 7c,f,i,l. The CO concentration becomes larger with the increase of the depth-width ratio, and its concentration distribution is closely related to the flow field structure. The direction of CO spread is the same as that of the streamlines, and the direction of the streamlines is mostly from the right to the left so that the concentration of CO on the leeward side is higher than that on the windward side. Areas of low CO concentration are generally areas of low velocity; as the depth-width ratio increases, this leads to lower wind velocity and turbulence intensity at the bottom and a weaker exchange of pollutants with the outside world. It can be seen that the concentration of CO on the first level of the viaduct is very large in Figure 7l for a depth-width ratio of 1.5, which is because the direction of the streamlines in the area above the first level of the viaduct has a large angle with the horizontal direction, and the wind velocity in this area is zero. At the height of human breath y = 1.5 m, the CO concentration curve of different building heights in the x-direction is shown in Figure 8. The CO concentration magnitude was found to have a bimodal distribution, which is due to the presence of a ground-based CO release source, where the CO concentration is bound to be higher in the vicinity of the release source. As the depth-width ratio increases, the CO concentration also increases. When the depth-width ratio is 0.8 in Figure 8 case 5, the maximum CO concentration is 46 mg/m3 on the leeward side and 15 mg/m3 on the windward side. When the depth-width ratio is 1.5 in Figure 8 case 8, the maximum CO concentration on the leeward side is 64 mg/m3, the maximum concentration on the windward side is 73 mg/m3, and the CO concentration on the windward side exceeds that on the leeward side, so it can be seen that the pollutant concentration on the windward side is the one that is most affected by the depth-width ratio. The distribution of pollutants affects the health of the residents, and the simulation results will help the residents travel and avoid being attacked by high pollutants.
Figure 8.
CO concentration curve in the x-direction for buildings of different heights (y = 1.5 m).
3.2. Effect of Street Width on Pollutant Dispersion
The streamlines and CO concentrations in the center plane in the horizontal direction of street valleys of different widths are shown in Figure 9. In this study, the height of the building is a constant value, its size is 25 m, and the width of the street valley is varied. Four sets of cases with different street widths of 20 m, 25 m, 30 m, and 37.5 m were selected, and the wind velocity = 2 m/s. Figure 9a,d,g,j show the flow field in the street valley without viaducts, (Figure 9b,e,h,k) with viaducts, and (Figure 9c,f,i,l) show the CO spread cloud.
Figure 9.
Streamlines and CO concentrations in the center plane in the horizontal direction for buildings of different widths. (a,d,g,j) are flow field diagrams without viaducts; (b,e,h,k) are viaduct flow diagrams; (c,f,i,l) are CO diffusion cloud images.
Without the viaduct, a clockwise vortex exists in the street valley, the number of vortices does not vary with the width of the street, the height of the vortex center decreases with increasing width, and the vortex becomes significantly larger. With the viaduct, the flow field is disrupted and multiple vortices are created. At the location to the left of the first viaduct, there is a larger vortex and multiple smaller vortices, which become smaller. The number of vortices decreases with increasing street width, which may be because the increase in width makes the flow field structure around the first viaduct homogeneous. The low-velocity region becomes larger, and thus, the number of vortices decreases. Around the second viaduct, the vortex changes from being above the second viaduct to wrapping around the second viaduct as the width increases, and the center of the vortex also becomes larger as the width increases. When the width of the street is 37.5 m, as shown in Figure 9a, several small vortices are formed in the giant vortex surrounding the second viaduct, which may be caused by the fact that the distance between the second viaduct and the building is small due to the large width of the second viaduct. When the width of the street valley is 20 m, as shown in Figure 9b, it can be seen that the vortex at the second level of the viaduct near the windward side is unable to form a complete vortex due to the small space between the viaduct and the building on the windward side, and the increase in the width of the street makes the space between the second level of the viaduct and the structure larger, and the sufficient space facilitates the generation of the vortex.
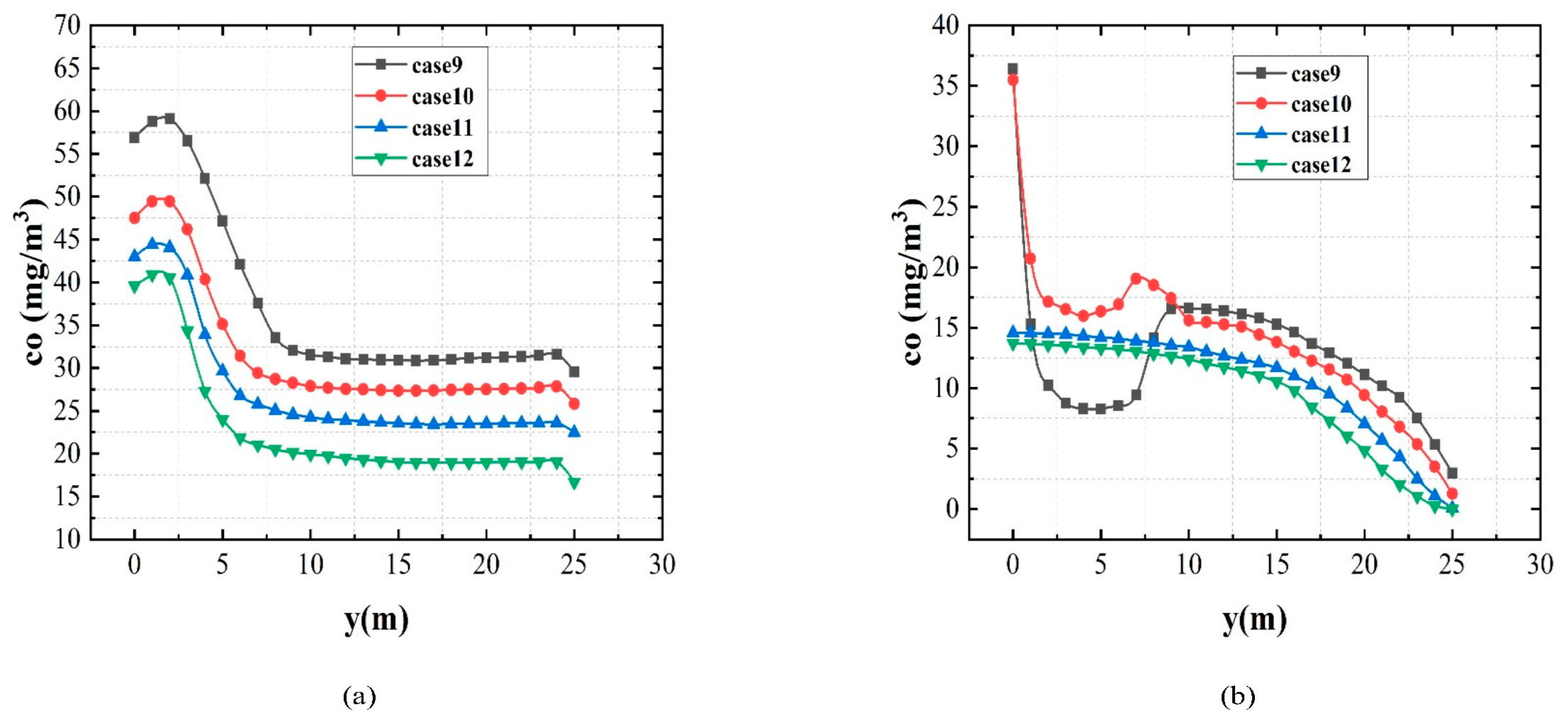
Figure 9c,f,i,l show the results of CO spread within a street valley with a double-deck viaduct. As the width of the street increases, the CO concentration decreases significantly because the greater the width, the higher the internal wind velocity, the higher the turbulence intensity, the stronger the air exchange, and the greater the role of wind in pollutant spread.
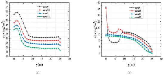
CO concentration on the viaduct’s second layer changes most obviously. When the width is 20 m, as shown in Figure 9c, and 25 m, as shown in Figure 9f, the main spread direction of CO is the leeward side; with the increase of the width, as shown in Figure 9i,l, the main spread direction of CO is closer to the windward side, which is due to the increase of the width, the distance between the buildings on the lee side and the viaduct is enlarged, and the influence of incoming flow on the second viaduct near the lee side is increased, which changes the direction of CO spread. Figure 10a,b shows the variation curves of CO concentration with height on the lee side and the windward side, respectively. It can be seen from the curve that the concentration of CO on the leeward side is much higher than that on the windward side, and decreases with the increase of street width. The difference is that the concentration of CO on the leeward side always decreases with the increase of street width, while the concentration of CO on the leeward side is unchanged after 10 m height. On the leeward side, the maximum CO concentration is 60 mg/m3 at the minimum width, as shown in Figure 10a case 9, and the maximum CO concentration is 42 mg/m3 at the maximum width, as shown in Figure 10a case 12; and the width of the street is changed from 20 m to 37.5 m, and the CO concentration is decreased by 30%. On the windward side, the CO concentration is smaller, and the concentration is zero at y = 25 m, which shows that the effect of street width on CO spread is obvious.
Figure 10.
Variation curves of CO with height for street canyons of different widths: (a) leeward side, (b) windward side.
3.3. Effect of Wind Velocity on Pollutant Dispersion
Case 7 and case 3 are selected as the physical models to study the spread of pollutants by wind velocity. Case 3 is a street valley without a viaduct, which is the same size as case 7, with a building height of 30 m, a street width of 25 m, a depth-width ratio of 1.25, and a wind velocity of = 2 m/s, 5 m/s, 7 m/s, and 10 m/s. The results of the simulation are shown in Figure 11. Figure 11a,d,g,j show the flow field in the street valley without a viaduct, (to Figure 11b,e,h,k) with a viaduct, and (to Figure 11c,f,i,l) show the CO concentration cloud.
Figure 11.
Streamlines and CO concentrations in the center plane in the horizontal direction at different wind speeds. (a,d,g,j) are flow field diagrams without viaducts; (b,e,h,k) are viaduct flow diagrams; (c,f,i,l) are CO diffusion cloud images.
Without the viaduct, the wind velocity in the valley becomes larger with the increase of the incoming wind velocity, a clockwise vortex exists, and the flow field does not change significantly. The viaduct changes the structure of the flow field, and around the viaduct, the streamlines always flow from the right side to the left side, and thus the spread direction of CO is above the left side of the viaduct in all of Figure 11c,f,i,l. There are mainly two larger vortices in the valley, which are located below the first viaduct and above the second viaduct; and the locations of the vortices do not change significantly with the increase of wind velocity, so in Figure 11b,e,h,k, it can be seen that the flow fields are highly similar at different wind velocities, while the spread of CO is closely related to the flow field, and the results of spread are also highly similar at all four wind velocities. The vortex below the first viaduct and between the two viaducts tends to become smaller as the wind velocity increases, because the higher the incoming wind velocity, the higher the wind velocity below the first viaduct and between the two viaducts, the smaller the low-velocity region becomes, the smaller the vortex formed, and the smaller the CO concentration becomes in these two regions.
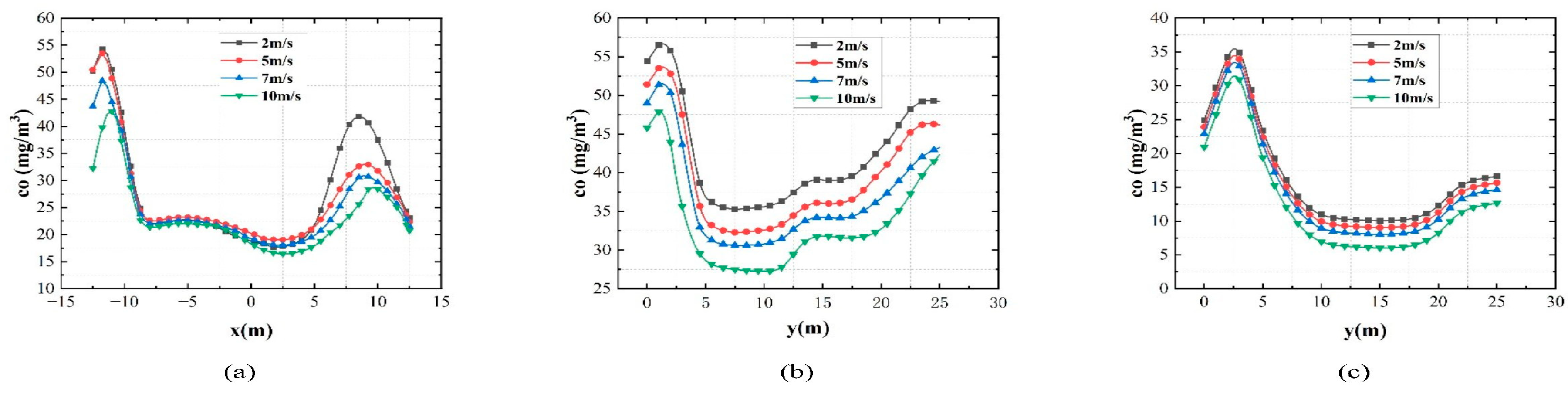
The quantitative analysis of CO concentration is shown in Figure 12. Figure 12a shows the variation curve of CO concentration in the x-direction at y = 1.5 m, Figure 12b the variation curve of CO concentration with height on the leeward side, and Figure 12c the variation curve of CO concentration with height on the windward side. In the horizontal direction, the CO concentration is the same as in Figure 8, showing a double-peak pattern and decreasing with the increase of wind velocity. When the wind velocity is 2 m/s, the maximum CO concentration on the leeward side is 54 mg/m3, and the maximum CO concentration on the windward side is 42 mg/m3. When the wind velocity is 10 m/s, the maximum concentration of CO on the leeward side is 42 mg/m3, and the maximum concentration of CO on the windward side is 28 mg/m3. When the wind velocity changes from 2 m/s to 10 m/s, the concentration of CO on the leeward side is reduced by 28%, and the concentration of CO on the windward side is reduced by 33%. Therefore, the wind velocity affects the concentration of CO on the windward side.
Figure 12.
Variation curves of CO concentration under different wind velocity: (a) y = 1.5 m, (b) leeward side, (c) windward side.
4. Conclusions
With the development of the city, more and more elevated bridges have been built to alleviate the pressure brought by traffic. Previous studies have focused on single-layer elevated bridges, lacking research on double-layer elevated bridges. To fill this gap, this study used the CFD simulation method to investigate the influence of a double-deck elevated bridge on the flow field and pollutant dispersion in a canyon. The diffusion of CO was mainly considered in the simulation. The main conclusions are as follows:
Without the viaduct, when the depth-width ratio was less than 1.5, a clockwise vortex was formed in the valley, the location of the vortex was close to the leeward side, and the number of vortices did not change with the depth-width ratio and wind velocity. When the depth-width ratio was 1.5, multiple vortices appeared, and the direction of the vortex changed to a counterclockwise vortex. The presence of the double-deck viaduct changed the airflow structure in the valley, and multiple vortices appeared above the second-deck viaduct and around the first-deck viaduct.
Valley height and width have a large effect on the dispersion of pollutants. In general, in the horizontal direction, CO concentrations became larger with increasing street height and decreased with increasing width. In the vertical direction, CO concentrations were greater on the leeward side than on the windward side and became larger with increasing street height and smaller with increasing width. The higher the height of the viaduct relative to the building, the more favorable the spread of CO. The effect of wind velocity on the flow field is not very obvious, and the CO concentration decreases with increasing wind velocity, both horizontally and vertically.
This study is general, and the research findings can provide valuable experience for designing elevated bridges and urban planning layouts. Reasonable design can reduce the level of pollution within the blocks.
In the future, we need to do more simulations based on the actual situation. Simulations need to consider more factors, such as different streets and forms of elevated bridges, etc., to enrich the general research on the double-deck elevated bridge-street structure.
Author Contributions
Conceptualization, B.Z.; methodology, B.Z.; software, H.P.; validation, H.P.; formal analysis, S.Z.; investigation, S.Z.; resources, S.Z.; data curation, B.Z. and S.Z.; writing—original draft preparation, B.Z.; writing—review and editing, A.J.; visualization, H.P.; supervision, A.J.; project administration, A.J. All authors have read and agreed to the published version of the manuscript.
Funding
This works was funded by National Natural Sciences Foundation of China, Grant/Award Number: 51968069.
Institutional Review Board Statement
Not applicable.
Informed Consent Statement
Not applicable.
Data Availability Statement
Not applicable.
Acknowledgments
This works was supported by the National Natural Sciences Foundation of China (51968069). The authors would like to thank the anonymous reviewers and the editor for providing valuable comments that helped improve the quality of this paper.
Conflicts of Interest
The authors declare no conflict of interest.
References
- Chan, C.K.; Yao, X. Air Pollution in Mega Cities in China. Atmos. Environ. 2008, 42, 1–42. [Google Scholar] [CrossRef]
- Zhou, B.; Zhao, B.; Guo, X.; Chen, R.; Kan, H. Investigating the Geographical Heterogeneity in PM10-Mortality Associations in the China Air Pollution and Health Effects Study (CAPES): A Potential Role of Indoor Exposure to PM10 of Outdoor Origin. Atmos. Environ. 2013, 75, 217–223. [Google Scholar] [CrossRef]
- He, L.; Hang, J.; Wang, X.; Lin, B.; Li, X.; Lan, G. Numerical Investigations of Flow and Passive Pollutant Exposure in High-Rise Deep Street Canyons with Various Street Aspect Ratios and Viaduct Settings. Sci. Total Environ. 2017, 584–585, 189–206. [Google Scholar] [CrossRef]
- Zhi, H.; Qiu, Z.; Wang, W.; Wang, G.; Hao, Y.; Liu, Y. The Influence of a Viaduct on PM Dispersion in a Typical Street: Field Experiment and Numerical Simulations. Atmos. Pollut. Res. 2020, 11, 815–824. [Google Scholar] [CrossRef]
- Ding, S.; Huang, Y.; Cui, P.; Wu, J.; Li, M.; Liu, D. Impact of Viaduct on Flow Reversion and Pollutant Dispersion in 2D Urban Street Canyon with Different Roof Shapes—Numerical Simulation and Wind Tunnel Experiment. Sci. Total Environ. 2019, 671, 976–991. [Google Scholar] [CrossRef]
- Lu, K.-F.; Peng, Z.-R. Impacts of Viaduct and Geometry Configurations on the Distribution of Traffic-Related Particulate Matter in Urban Street Canyon. Sci. Total Environ. 2023, 858, 159902. [Google Scholar] [CrossRef]
- Liu, Y.; Luo, Y.; Miao, S.; Ding, H.; Jin, T.; Chen, J. Pseudo-Simultaneous Measurements for the Spatial-Temporal Characteristics of Accumulation and Coarse Mode Particles near an Urban Viaduct within Street Canyons. Atmos. Pollut. Res. 2019, 10, 1643–1654. [Google Scholar] [CrossRef]
- Li, M.; Gernand, J.M. Identifying Shelter Locations and Building Air Intake Risk from Release of Particulate Matter in a Three-Dimensional Street Canyon via Wind Tunnel and CFD Simulation. Air Qual. Atmos. Health 2019, 12, 1387–1398. [Google Scholar] [CrossRef]
- Cui, P.-Y.; Zhang, Y.; Chen, W.-Q.; Zhang, J.-H.; Luo, Y.; Huang, Y.-D. Wind-Tunnel Studies on the Characteristics of Indoor/Outdoor Airflow and Pollutant Exchange in a Building Cluster. J. Wind. Eng. Ind. Aerodyn. 2021, 214, 104645. [Google Scholar] [CrossRef]
- Trini Castelli, S.; Armand, P.; Tinarelli, G.; Duchenne, C.; Nibart, M. Validation of a Lagrangian Particle Dispersion Model with Wind Tunnel and Field Experiments in Urban Environment. Atmos. Environ. 2018, 193, 273–289. [Google Scholar] [CrossRef]
- Ghobadi, P.; Nasrollahi, N. Assessment of Pollutant Dispersion in Deep Street Canyons under Different Source Positions: Numerical Simulation. Urban Clim. 2021, 40, 101027. [Google Scholar] [CrossRef]
- Wang, L.; Tian, W.-X.; Zhao, X.-Y.; Huang, C.-Q. Numerical Simulation of the Effects of Canopy Properties on Airflow and Pollutant Dispersion in Street Canyons. Indoor Built Environ. 2022, 31, 466–478. [Google Scholar] [CrossRef]
- Li, X.-X.; Britter, R.; Norford, L.K. Effect of Stable Stratification on Dispersion within Urban Street Canyons: A Large-Eddy Simulation. Atmos. Environ. 2016, 144, 47–59. [Google Scholar] [CrossRef]
- Fatehi, H.; Nilsson, E.J.K. Effect of Buoyancy on Dispersion of Reactive Pollutants in Urban Canyons. Atmos. Pollut. Res. 2022, 13, 101502. [Google Scholar] [CrossRef]
- Du, Y.; Blocken, B.; Pirker, S. A Novel Approach to Simulate Pollutant Dispersion in the Built Environment: Transport-Based Recurrence CFD. Build. Environ. 2020, 170, 106604. [Google Scholar] [CrossRef]
- Hnaien, N.; Hassen, W.; Kolsi, L.; Mesloub, A.; Alghaseb, M.A.; Elkhayat, K.; Abdelhafez, M.H.H. CFD Analysis of Wind Distribution around Buildings in Low-Density Urban Community. Mathematics 2022, 10, 1118. [Google Scholar] [CrossRef]
- Wen, Y.-B.; Huang, Z.-R.; Tang, Y.-F.; Li, D.-R.; Zhang, Y.-J.; Zhao, F.-Y. Air Exchange Rate and Pollutant Dispersion inside Compact Urban Street Canyons with Combined Wind and Thermal Driven Natural Ventilations: Effects of Non-Uniform Building Heights and Unstable Thermal Stratifications. Sci. Total Environ. 2022, 851, 158053. [Google Scholar] [CrossRef]
- Hang, J.; Xian, Z.; Wang, D.; Mak, C.M.; Wang, B.; Fan, Y. The Impacts of Viaduct Settings and Street Aspect Ratios on Personal Intake Fraction in Three-Dimensional Urban-like Geometries. Build. Environ. 2018, 143, 138–162. [Google Scholar] [CrossRef]
- Yang, H.; Chen, G.; Wang, D.; Hang, J.; Li, Q.; Wang, Q. Influences of Street Aspect Ratios and Realistic Solar Heating on Convective Heat Transfer and Ventilation in Full-Scale 2D Street Canyons. Build. Environ. 2021, 204, 108125. [Google Scholar] [CrossRef]
- Niu, H.; Wang, B.; Liu, B.; Liu, Y.; Liu, J.; Wang, Z. Numerical Simulations of the Effect of Building Configurations and Wind Direction on Fine Particulate Matters Dispersion in a Street Canyon. Environ. Fluid Mech. 2018, 18, 829–847. [Google Scholar] [CrossRef]
- Yassin, M.F.; Kassem, M.A. Effect of Building Orientations on Gaseous Dispersion in Street Canyon: A Numerical Study. Environ. Model. Assess. 2014, 19, 335–344. [Google Scholar] [CrossRef]
- Sin, C.H.; Cui, P.-Y.; Jon, K.S.; Luo, Y.; Shen, J.-W.; Huang, Y. Evaluation on Ventilation and Traffic Pollutant Dispersion in Asymmetric Street Canyons with Void Decks. Air Qual. Atmos. Health 2023, 16, 817–839. [Google Scholar] [CrossRef] [PubMed]
- Li, Z.; Zhang, H.; Wen, C.-Y.; Yang, A.-S.; Juan, Y.-H. Effects of Height-Asymmetric Street Canyon Configurations on Outdoor Air Temperature and Air Quality. Build. Environ. 2020, 183, 107195. [Google Scholar] [CrossRef]
- Cui, D.; Li, X.; Liu, J.; Yuan, L.; Mak, C.M.; Fan, Y.; Kwok, K. Effects of Building Layouts and Envelope Features on Wind Flow and Pollutant Exposure in Height-Asymmetric Street Canyons. Build. Environ. 2021, 205, 108177. [Google Scholar] [CrossRef]
- Sin, C.H.; Cui, P.-Y.; Luo, Y.; Jon, K.S.; Huang, Y. CFD Modeling on the Canyon Ventilation and Pollutant Exposure in Asymmetric Street Canyons with Continuity/Discontinuity Balconies. Atmos. Pollut. Res. 2023, 14, 101641. [Google Scholar] [CrossRef]
- Kluková, Z.; Nosek, Š.; Fuka, V.; Jaňour, Z.; Chaloupecká, H.; Ďoubalová, J. The Combining Effect of the Roof Shape, Roof-Height Non-Uniformity and Source Position on the Pollutant Transport between a Street Canyon and 3D Urban Array. J. Wind. Eng. Ind. Aerodyn. 2021, 208, 104468. [Google Scholar] [CrossRef]
- Yassin, M.F.; Al-Rashidi, M.; Ohba, M. Experimental and Numerical Simulations of Air Quality in an Urban Canopy: Effects of Roof Shapes and Atmospheric Stability. Atmos. Pollut. Res. 2022, 13, 101618. [Google Scholar] [CrossRef]
- Sin, C.H.; Jon, K.S.; Un, G.H.; Thae, Y.I.; Kim, H.; Tokgo, J.; Ri, H.M. Evaluation of the Ventilation and Pollutant Exposure Risk Level inside 3D Street Canyon with Void Deck under Different Wind Directions. Environ. Sci. Pollut. Res. Int. 2023, 30, 61808–61828. [Google Scholar] [CrossRef]
- Jon, K.S.; Huang, Y.; Sin, C.H.; Cui, P.; Luo, Y. Influence of Wind Direction on the Ventilation and Pollutant Dispersion in Different 3D Street Canyon Configurations: Numerical Simulation and Wind-Tunnel Experiment. Environ. Sci. Pollut. Res. Int. 2023, 30, 31647–31675. [Google Scholar] [CrossRef]
- Jon, K.S.; Luo, Y.; Sin, C.H.; Cui, P.; Huang, Y.; Tokgo, J. Impacts of Wind Direction on the Ventilation and Pollutant Dispersion of 3D Street Canyon with Balconies. Build. Environ. 2023, 230, 110034. [Google Scholar] [CrossRef]
- Chen, L.; Mak, C.M.; Hang, J.; Dai, Y.; Niu, J.; Tse, K.T. Large Eddy Simulation Study on Pedestrian-Level Wind Environments around Elevated Walkways and Influential Factors in Ideal Urban Street Canyons. Build. Environ. 2023, 235, 110236. [Google Scholar] [CrossRef]
- Dong, J.; Tan, Z.; Xiao, Y.; Tu, J. Seasonal Changing Effect on Airflow and Pollutant Dispersion Characteristics in Urban Street Canyons. Atmosphere 2017, 8, 43. [Google Scholar] [CrossRef]
- Guo, D.; Han, T.; Yang, F.; Li, Y.; Zhang, J.; Wang, X.-F. Numerical Simulation Studies of the Flow Field and Pollutant Diffusion around Street Canyons under Different Thermal Stratifications. Atmos. Pollut. Res. 2023, 14, 101829. [Google Scholar] [CrossRef]
- Zhang, W.-C.; Luo, X.-Y.; Peng, X.-R.; Liu, R.-Z.; Jing, Y.; Zhao, F.-Y. Green Roof on the Ventilation and Pollutant Dispersion in Urban Street Canyons under Unstable Thermal Stratification: Aiding and Opposing Effects. Sustain. Cities Soc. 2021, 75, 103315. [Google Scholar] [CrossRef]
- Cai, J.; Chen, J.; Cheng, H.; Zi, S.; Xiao, J.; Xia, F.; Zhao, J. The Effects of Thermal Stratification on Airborne Transport within the Urban Roughness Sublayer. Int. J. Heat Mass Transf. 2022, 184, 122289. [Google Scholar] [CrossRef]
- Simón-Moral, A.; Santiago, J.L.; Martilli, A. Effects of Unstable Thermal Stratification on Vertical Fluxes of Heat and Momentum in Urban Areas. Bound. Layer Meteorol. 2017, 163, 103–121. [Google Scholar] [CrossRef]
- Wang, Q.; Fang, W.; De Richter, R.; Peng, C.; Ming, T. Effect of Moving Vehicles on Pollutant Dispersion in Street Canyon by Using Dynamic Mesh Updating Method. J. Wind. Eng. Ind. Aerodyn. 2019, 187, 15–25. [Google Scholar] [CrossRef]
- Zhang, M.; Gao, Z.; Guo, X.; Shen, J. Ventilation and Pollutant Concentration for the Pedestrian Zone, the Near-Wall Zone, and the Canopy Layer at Urban Intersections. Int. J. Environ. Res. Public Health 2021, 18, 11080. [Google Scholar] [CrossRef]
- Liu, C.W.; Mei, S.J.; Zhao, F.Y. A CFD Modelling Study of Reactive Pollutant Dispersion in an Urban Street Canyon. IOP Conf. Ser. Earth Environ. Sci. 2018, 188, 012051. [Google Scholar] [CrossRef]
- Weerasuriya, A.U.; Zhang, X.; Tse, K.T.; Liu, C.-H.; Kwok, K.C.S. RANS Simulation of Near-Field Dispersion of Reactive Air Pollutants. Build. Environ. 2022, 207, 108553. [Google Scholar] [CrossRef]
- Hang, J.; Lin, M.; Wong, D.C.; Wang, X.; Wang, B.; Buccolieri, R. On the Influence of Viaduct and Ground Heating on Pollutant Dispersion in 2D Street Canyons and toward Single-Sided Ventilated Buildings. Atmos. Pollut. Res. 2016, 7, 817–832. [Google Scholar] [CrossRef]
- Issakhov, A.; Omarova, P.; Abylkassymova, A. Determination of Optimal Height of Barriers to Reduce the Amount of Pollution in the Viaduct Settings in an Idealized Urban Canyon: A Numerical Study. Environ. Monit. Assess. 2023, 195, 178. [Google Scholar] [CrossRef] [PubMed]
- Zhang, C.; Wen, M.; Zeng, J.; Zhang, G.; Fang, H.; Li, Y. Modeling the Impact of the Viaduct on Particles Dispersion from Vehicle Exhaust in Street Canyons. Sci. China Technol. Sci. 2012, 55, 48–55. [Google Scholar] [CrossRef]
- Huang, Y.; Zhou, Z. A Numerical Study of Airflow and Pollutant Dispersion Inside an Urban Street Canyon Containing an Elevated Expressway. Environ. Model Assess. 2013, 18, 105–114. [Google Scholar] [CrossRef]
- Ming, T.; Nie, C.; Li, W.; Kang, X.; Wu, Y.; Zhang, M.; Peng, C. Numerical Study of Reactive Pollutants Diffusion in Urban Street Canyons with a Viaduct. Build. Simul. 2022, 15, 1227–1241. [Google Scholar] [CrossRef]
- Hang, J.; Luo, Z.; Wang, X.; He, L.; Wang, B.; Zhu, W. The Influence of Street Layouts and Viaduct Settings on Daily Carbon Monoxide Exposure and Intake Fraction in Idealized Urban Canyons. Environ. Pollut. 2017, 220, 72–86. [Google Scholar] [CrossRef]
- Tominaga, Y.; Mochida, A.; Yoshie, R.; Kataoka, H.; Nozu, T.; Yoshikawa, M.; Shirasawa, T. AIJ Guidelines for Practical Applications of CFD to Pedestrian Wind Environment around Buildings. J. Wind. Eng. Ind. Aerodyn. 2008, 96, 1749–1761. [Google Scholar] [CrossRef]
- Gu, Z.-L.; Zhang, Y.-W.; Cheng, Y.; Lee, S.-C. Effect of Uneven Building Layout on Air Flow and Pollutant Dispersion in Non-Uniform Street Canyons. Build. Environ. 2011, 46, 2657–2665. [Google Scholar] [CrossRef]
- Li, X.-X.; Britter, R.E.; Norford, L.K.; Koh, T.-Y.; Entekhabi, D. Flow and Pollutant Transport in Urban Street Canyons of Different Aspect Ratios with Ground Heating: Large-Eddy Simulation. Bound. Layer Meteorol. 2012, 142, 289–304. [Google Scholar] [CrossRef]
- Tominaga, Y.; Stathopoulos, T. CFD Modeling of Pollution Dispersion in a Street Canyon: Comparison between LES and RANS. J. Wind. Eng. Ind. Aerodyn. 2011, 99, 340–348. [Google Scholar] [CrossRef]
- Kastner-Klein, P.; Plate, E.; Fedorovich, E. Gaseous Pollutant Dispersion around Urban-Canopy Elements: Wind-Tunnel Case Studies. Int. J. Environ. Pollut. 1997, 8, 727–737. [Google Scholar]
- Ashie, Y.; Kono, T. Urban-Scale CFD Analysis in Support of a Climate-Sensitive Design for the Tokyo Bay Area. Int. J. Climatol. 2011, 31, 174–188. [Google Scholar] [CrossRef]
- Panagiotou, I.; Neophytou, M.K.-A.; Hamlyn, D.; Britter, R.E. City Breathability as Quantified by the Exchange Velocity and Its Spatial Variation in Real Inhomogeneous Urban Geometries: An Example from Central London Urban Area. Sci. Total Environ. 2013, 442, 466–477. [Google Scholar] [CrossRef]
- Mu, D.; Gao, N.; Zhu, T. CFD Investigation on the Effects of Wind and Thermal Wall-Flow on Pollutant Transmission in a High-Rise Building. Build. Environ. 2018, 137, 185–197. [Google Scholar] [CrossRef]
- Tominaga, Y.; Stathopoulos, T. Turbulent Schmidt Numbers for CFD Analysis with Various Types of Flowfield. Atmos. Environ. 2007, 41, 8091–8099. [Google Scholar] [CrossRef]
- Kastner-Klein, P.; Plate, E.J. Wind-Tunnel Study of Concentration felds in Street Canyons. Atmos. Environ. 1999, 33, 3973–3979. [Google Scholar] [CrossRef]
Disclaimer/Publisher’s Note: The statements, opinions and data contained in all publications are solely those of the individual author(s) and contributor(s) and not of MDPI and/or the editor(s). MDPI and/or the editor(s) disclaim responsibility for any injury to people or property resulting from any ideas, methods, instructions or products referred to in the content. |
© 2023 by the authors. Licensee MDPI, Basel, Switzerland. This article is an open access article distributed under the terms and conditions of the Creative Commons Attribution (CC BY) license (https://creativecommons.org/licenses/by/4.0/).











