Sustainable Use of Marine Macroalga Sargassum muticum as a Biosorbent for Hazardous Crystal Violet Dye: Isotherm, Kinetic and Thermodynamic Modeling
Abstract
1. Introduction
2. Materials and Methods
2.1. Collection and Preparation of Algae
2.2. Adsorbate Solution
2.3. Biosorption Experiments
2.4. Characterization of Algal Biomass
2.4.1. Scanning Electron Microscopy and Energy Dispersive Spectroscopy
2.4.2. Fourier Transform Infrared Spectra (FTIR)
2.5. Statistical Analysis
3. Results and Discussion
3.1. Biosorbent Characterization
3.1.1. SEM
3.1.2. Energy Dispersive Spectroscopy (EDX)
3.1.3. FTIR Analysis
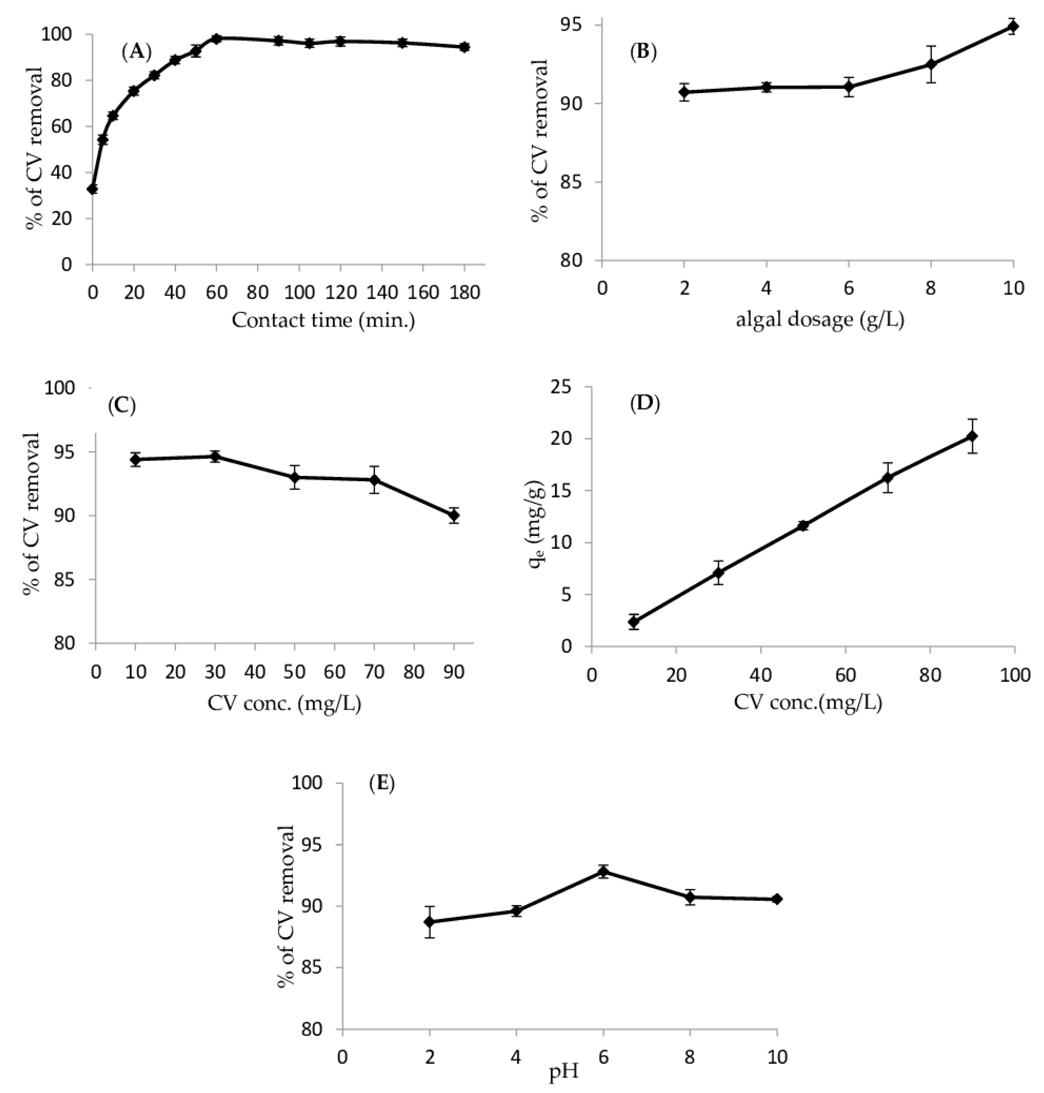
3.2. Optimization of CV Biosorption Parameters
3.2.1. Influence of Contact Time
3.2.2. Influence of Algal Dosage
3.2.3. Influence of Initial Concentrations of CV Dye
3.2.4. Influence of pH Values
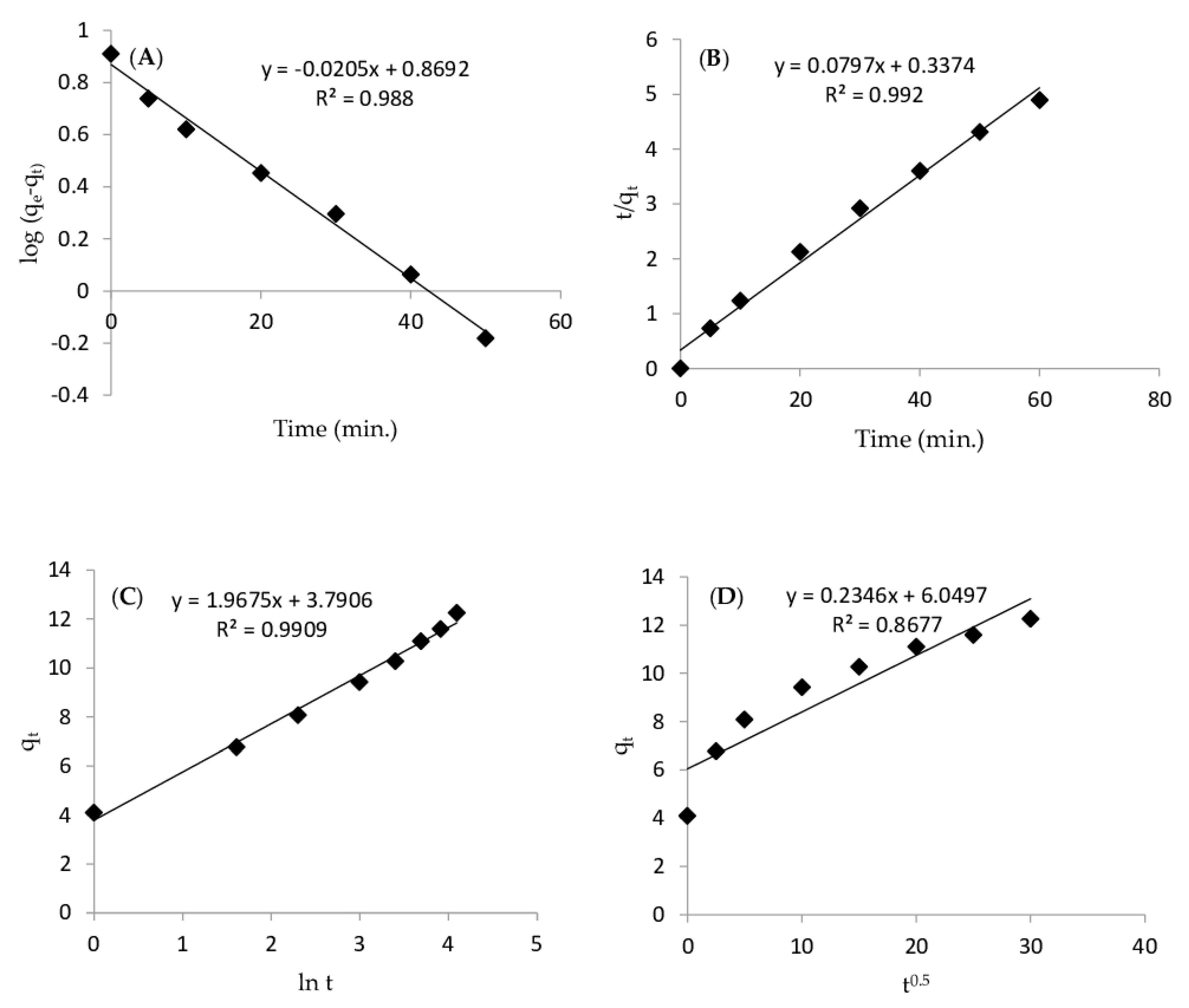
3.3. Biosorption Kinetics
3.4. Isothermal Biosorption Study
3.5. Effect of Temperature and Thermodynamic Studies
3.6. Application in Real Wastewater Treatment
3.7. Comparison of Crystal Violet Dye Biosorption Capacity with Other Sorbents
3.8. Biosorption Mechanism
4. Conclusions
Supplementary Materials
Author Contributions
Funding
Institutional Review Board Statement
Informed Consent Statement
Data Availability Statement
Acknowledgments
Conflicts of Interest
References
- Al-Zaban, M.I.; Alharbi, N.K.; Albarakaty, F.M.; Alharthi, S.; Hassan, S.H.; Fawzy, M.A. Experimental Modeling Investigations on the Biosorption of Methyl Violet 2B Dye by the Brown Seaweed Cystoseira tamariscifolia. Sustainability 2022, 14, 5285. [Google Scholar] [CrossRef]
- Vergis, B.R.; Krishna, R.H.; Kottam, N.; Nagabhushana, B.M.; Sharath, R.; Darukaprasad, B. Removal of malachite green from aqueous solution by magnetic CuFe2O4 nano-adsorbent synthesized by one pot solution combustion method. J. Nanostruct. Chem. 2018, 8, 1–12. [Google Scholar] [CrossRef]
- Hsini, A.; Essekri, A.; Aarab, N.; Laabd, M.; Ait Addi, A.; Lakhmiri, R.; Albourine, A. Elaboration of novel polyaniline@Almond shell biocomposite for effective removal of hexavalent chromium ions and Orange G dye from aqueous solutions. Environ. Sci. Pollut. Res. 2020, 27, 15245–15258. [Google Scholar] [CrossRef] [PubMed]
- Koli, P.B.; Kapadnis, K.H.; Deshpande, U.G.; Patil, M.R. Fabrication and characterization of pure and modified Co3O4 nanocatalyst and their application for photocatalytic degradation of eosine blue dye: A comparative study. J. Nanostruct. Chem. 2018, 8, 453–463. [Google Scholar] [CrossRef]
- Mittal, A.; Mittal, J.; Malviya, A.; Kaur, D.; Gupta, V.K. Adsorption of hazardous dye crystal violet from wastewater by waste materials. J. Colloid Inter. Sci. 2010, 343, 463–473. [Google Scholar] [CrossRef]
- Jana, S.; Ray, J.; Mondal, B.; Pradhan, S.S.; Tripathy, T. pH responsive adsorption/desorption studies of organic dyes from their aqueous solutions by katira gum-cl-poly (acrylic acid-co-N-vinyl imidazole) hydrogel. Colloid Surface A 2018, 553, 472–486. [Google Scholar] [CrossRef]
- Ghaedi, M.; Shojaeipour, E.; Ghaedi, A.M.; Sahraei, R. Isotherm and kinetics study of malachite green adsorption onto copper nanowires loaded on activated carbon: Artificial neural network modeling and genetic algorithm optimization, Spectrochim. Acta A Mol. Biomol. Spectrosc. 2015, 142, 135–149. [Google Scholar] [CrossRef]
- Moghaddam, S.S.; Moghaddam, M.A.; Arami, M. Coagulation/flocculation process for dye removal using sludge from water treatment plant: Optimization through response surface methodology. J. Hazard. Mater. 2010, 175, 651–657. [Google Scholar] [CrossRef]
- Luo, X.P.; Fu, S.Y.; Du, Y.M.; Guo, J.Z.; Li, B. Adsorption of methylene blue and malachite green from aqueous solution by sulfonic acid group modified MIL-101. Micropor. Mesopor. Mat. 2017, 237, 268–274. [Google Scholar] [CrossRef]
- Kaushik, P.; Malik, A. Fungal dye decolourization: Recent advances and future potential. Environ. Int. 2009, 35, 127–141. [Google Scholar] [CrossRef]
- Daneshvar, E.; Vazirzadeh, A.; Niazi, A.; Kousha, M.; Naushad, M.; Bhatnagar, A. Desorption of Methylene blue dye from brown macroalga: Effects of operating parameters, isotherm study and kinetic modeling. J. Clean. Prod. 2017, 152, 443–453. [Google Scholar] [CrossRef]
- Goel, N.K.; Kumar, V.; Misra, N.; Varshney, L. Cellulose based cationic adsorbent fabricated via radiation grafting process for treatment of dyes waste water. Carbohydr. Polym. 2015, 132, 444–451. [Google Scholar] [CrossRef]
- Saroj, S.; Singh, S.V.; Mohan, D. Removal of colour (Direct Blue 199) from carpet industry wastewater using different biosorbents (maize cob, citrus peel and rice husk). Arabian J. Sci. Eng. 2015, 40, 1553–1564. [Google Scholar] [CrossRef]
- Cengiz, S.; Cavas, L. Removal of methylene blue by invasive marine seaweed: Caulerpa racemosa var. cylindracea. Bioresour. Technol. 2008, 99, 2357–2363. [Google Scholar] [CrossRef] [PubMed]
- Wang, L.; Li, Q.; Wang, A.Q. Adsorption of cationic dye on N,O-carboxymethyl-chitosan from aqueous solutions: Equilibrium, kinetics, and adsorption mechanism. Polym. Bull. 2010, 65, 961–975. [Google Scholar] [CrossRef]
- Abdallah, R.; Taha, S. Biosorption of methylene blue from aqueous solution by nonviable Aspergillus fumigatus. Chem. Eng. J. 2012, 195, 69–76. [Google Scholar] [CrossRef]
- Balci, B.; Erkurt, F.E. Adsorption of reactive dye from aqueous solution and synthetic dye bath wastewater by Eucalyptus bark/magnetite composite. Water Sci. Technol. 2016, 74, 1386–1397. [Google Scholar] [CrossRef][Green Version]
- Fawzy, M.A.; Gomaa, M. Low-cost biosorption of Methylene Blue and Congo Red from single and binary systems using Sargassum latifolium biorefinery waste/wastepaper xerogel: An optimization and modeling study. J. Appl. Phycol. 2021, 33, 675–691. [Google Scholar] [CrossRef]
- Kousha, M.; Daneshvar, E.; Sohrabi, M.S.; Jokar, M.; Bhatnagar, A. Adsorption of acid orange II dye by raw and chemically modified brown macroalga Stoechospermum marginatum. Chem. Eng. J. 2012, 192, 67–76. [Google Scholar] [CrossRef]
- Anastopoulos, I.; Kyzas, G.Z. Progress in batch biosorption of heavy metals onto algae. J. Mol. Liq. 2015, 209, 77–86. [Google Scholar] [CrossRef]
- Tabaraki, R.; Sadeghinejad, N. Biosorption of six basic and acidic dyes on brown alga Sargassum ilicifolium: Optimization, kinetic and isotherm studies. Water Sci. Technol. 2017, 75, 2631–2638. [Google Scholar] [CrossRef] [PubMed]
- Wang, X.S.; Zhou, Y.; Jiang, Y. Evaluation of marine brown Laminaria japonica algae as a low-cost adsorbent for the removal of malachite green dye from aqueous solution. Adsorp. Sci. Technol. 2009, 27, 537–547. [Google Scholar] [CrossRef]
- Esmaeli, A.; Jokar, M.; Kousha, M.; Daneshvar, E.; Zilouei, H.; Karimi, K. Acidic dye wastewater treatment onto a marine macroalga, Nizamuddina zanardini (Phylum: Ochrophyta). Chem. Eng. J. 2013, 217, 329–336. [Google Scholar] [CrossRef]
- Liang, J.; Xia, J.; Long, J. Biosorption of methylene blue by nonliving biomass of the brown macroalga Sargassum hemiphyllum. Water Sci. Technol. 2017, 76, 1574–1583. [Google Scholar] [CrossRef] [PubMed]
- Alharbi, N.K.; Al-Zaban, M.I.; Albarakaty, F.M.; Abdelwahab, S.F.; Hassan, S.H.; Fawzy, M.A. Kinetic, isotherm and thermodynamic aspects of Zn2+ biosorption by Spirulina platensis: Optimization of process variables by response surface methodology. Life 2022, 12, 585. [Google Scholar] [CrossRef]
- Omar, H.; El-Gendy, A.; Al-Ahmary, K. Bioremoval of toxic dye by using different marine macroalgae. Turkish J. Bot. 2018, 42, 15–27. [Google Scholar] [CrossRef]
- Vijayaraghavana, G.; Shanthakumarb, S. Removal of Crystal violet dye in textile effluent by coagulation using algal alginate from brown algae Sargassum sp. In Proceedings of the First International Conference on Recent Trends in Clean Technologies for Sustainable Environment (CTSE-2019), Chennai, India, 26–27 September 2019; Volume 26, p. 27. [Google Scholar]
- Keshtkar, M.; Dobaradaran, S.; Keshmiri, S.; Ramavandi, B.; Arfaeinia, H.; Ghaedi, H. Effective parameters, equilibrium, and kinetics of fluoride adsorption on Prosopis cineraria and Syzygium cumini Leaves. Environ. Prog. Sustain. Energy 2019, 38 (Suppl. S1), S429–S440. [Google Scholar] [CrossRef]
- El Atouani, S.; Bentiss, F.; Reani, A.; Zrid, R.; Belattmania, Z.; Pereira, L.; Mortadi, A.; Cherkaoui, O.; Sabour, B. The invasive brown seaweed Sargassum muticum as new resource for alginate in Morocco: Spectroscopic and rheological characterization: S. muticum as an alginophyt in Morocco. Phycol. Res. 2016, 64, 185–193. [Google Scholar] [CrossRef]
- Pennesi, C.; Rindi, F.; Totti, C.; Beolchini, F. Marine Macrophytes: Biosorbents. In Springer Handbook of Marine Biotechnology; Springer: Berlin/Heidelberg, Germany, 2015; pp. 597–610. [Google Scholar]
- Marais, M.F.; Joseleau, J.P. A fucoidan fraction from Ascophyllum nodosum. Carbohydr. Res. 2001, 336, 155–159. [Google Scholar] [CrossRef]
- Kumar, R.; Ahmad, R. Biosorption of hazardous crystal violet dye from aqueous solution onto treated ginger waste (TGW). Desalination 2011, 265, 112–118. [Google Scholar] [CrossRef]
- Ashour, M.; Alprol, A.E.; Khedawy, M.; Abualnaja, K.M.; Mansour, A.T. Equilibrium and Kinetic Modeling of Crystal Violet Dye Adsorption by a Marine Diatom, Skeletonema costatum. Materials 2022, 15, 6375. [Google Scholar] [CrossRef] [PubMed]
- Shao, H.; Li, Y.; Zheng, L.; Chen, T.; Liu, J. Removal of methylene blue by chemically modified defatted brown algae Laminaria japonica. J. Taiwan Inst. Chem. Eng. 2017, 80, 525–532. [Google Scholar] [CrossRef]
- Maurya, R.; Ghosh, T.; Paliwal, C.; Shrivastav, A.; Chokshi, K.; Pancha, I.; Ghosh, A.; Mishra, S. Biosorption of methylene blue by de-oiled algal biomass: Equilibrium, kinetics and artificial neural network modelling. PLoS ONE 2014, 9, e109545. [Google Scholar] [CrossRef]
- Jayaraj, R.; Mohan, M.C.; Prasath, P.M.D.; Khan, T.H. Malachite green dye removal using the seaweed Enteromorpha. E-J. Chem. 2011, 8, 649–656. [Google Scholar] [CrossRef]
- Aditiya, I.; Al Kausar, R. Production of a Spirulina sp. algae hybrid with a silica matrix as an effective adsorbent to absorb crystal violet and methylene blue in a solution. Sustain. Environ. Res. 2019, 29, 1–11. [Google Scholar]
- Daneshvar, E.; Kousha, M.; Jokar, M.; Koutahzadeh, N.; Guibal, E. Acidic dye biosorption onto marine brown macroalgae: Isotherms, kinetic and thermodynamic studies. Chem. Eng. J. 2012, 204, 225–234. [Google Scholar] [CrossRef]
- Gupta, V.K.; Rastogi, A. Biosorption of hexavalent chromium by raw and acid treated green alga Oedogonium hatei from aqueous solutions. J. Hazard. Mater. 2009, 163, 396–402. [Google Scholar] [CrossRef]
- Badmus, M.A.O.; Audu, T.O.K.; Anyata, B.U. Removal of lead ion from industrial wastewater by activated carbon prepared from Periwinkle Shells (Typanotonus fuscatus). Turkish J. Eng. Environ. Sci. 2007, 31, 251–263. [Google Scholar]
- Chakraborty, S.; Chowdhury, S.; Saha, P.D. Insight into biosorption equilibrium, kinetics and thermodynamics of crystal violet onto Ananas comosus (pineapple) leaf powder. Appl. Water Sci. 2012, 2, 135–141. [Google Scholar] [CrossRef][Green Version]
- Fawzy, M.A. Biosorption of copper ions from aqueous solution by Codium vermilara: Optimization, kinetic, isotherm and thermodynamic studies. Adv. Powder Technol. 2020, 31, 3724–3735. [Google Scholar] [CrossRef]
- Nemr, A.E.; El-Sikaily, A.; Khaled, A.; Abdelwahab, O. Removal of toxic chromium from aqueous solution, wastewater and saline water by marine red alga Pterocladia capillacea and its activated carbon. Arabian J. Chem. 2015, 8, 105–117. [Google Scholar] [CrossRef]
- Rivera–Utrilla, J.; Bautista-Toledo, I.; Ferro-García, M.A.; Moreno-Castilla, C. Activated carbon surface modifications by adsorption of bacteria and their effect on aqueous lead adsorption. J. Chem. Technol. Biotechnol. 2001, 76, 1209–1215. [Google Scholar] [CrossRef]
- Ncibi, M.C.; Ben Hamissa, A.M.; Fathallah, A.; Kortas, M.H.; Baklouti, T.; Mahjoub, B.; Seffen, M. Biosorptive uptake of methylene blue using Mediterranean green alga Enteromorpha spp. J. Hazard. Mater. 2009, 170, 1050–1055. [Google Scholar] [CrossRef]
- Lagergren, S. Zur theorie der sogenannten adsorption geloster stoffe, Kungliga Svenska Vetenskapsakademiens. Handlingar 1898, 24, 1–39. [Google Scholar]
- Ho, Y.S.; McKay, G. Sorption of dye from aqueous solution by peat. Chem. Eng. J. 1998, 70, 115–124. [Google Scholar] [CrossRef]
- Wu, F.C.; Tseng, R.L.; Juang, R.S. Characteristics of Elovich equation used for the analysis of adsorption kinetics in dyechitosan systems. Chem. Eng. J. 2009, 150, 366–373. [Google Scholar] [CrossRef]
- Weber, W.J.; Morris, J.C. Kinetics of adsorption on carbon from solution. J. Sanit. Eng. Div. Am. Soc. Civil Eng. 1963, 89, 31–60. [Google Scholar] [CrossRef]
- Fawzy, M.A.; Gomaa, M. Use of algal biorefinery waste and waste office paper in the development of xerogels: A low cost and eco-friendly biosorbent for the effective removal of congo red and Fe (II) from aqueous solutions. J. Environ. Manag. 2020, 262, 110380. [Google Scholar] [CrossRef]
- Benavente, M.; Moreno, L.; Martinez, J. Sorption of heavy metals from gold mining wastewater using chitosan. J. Taiwan Inst. Chem. Eng. 2011, 42, 976–998. [Google Scholar] [CrossRef]
- Benally, C.; Messele, S.A.; El-Din, M.G. Adsorption of organic matter in oil sands process water (OSPW) by carbon xerogel. Water Res. 2019, 154, 402–411. [Google Scholar] [CrossRef]
- Toor, M.; Jin, B. Adsorption characteristics, isotherm, kinetics and diffusion of modified natural bentonite for removing diazo dye. Chem. Eng. J. 2012, 187, 79–88. [Google Scholar] [CrossRef]
- Cobas, M.; Sanromán, M.; Pazos, M. Box–Behnken methodology for Cr (VI) and leather dyes removal by an eco-friendly biosorbent: F. vesiculosus. Bioresour. Technol. 2014, 160, 166–174. [Google Scholar] [CrossRef] [PubMed]
- Foo, K.Y.; Hameed, B.H. Insights into the modeling of adsorption isotherm systems. Chem. Eng. J. 2010, 156, 2–10. [Google Scholar] [CrossRef]
- Oloo, C.M.; Onyari, J.M.; Wanyonyi, W.C.; Wabomba, J.N.; Muinde, V.M. Adsorptive removal of hazardous crystal violet dye form aqueous solution using Rhizophora mucronata stem-barks: Equilibrium and kinetics studies. Environ. Chem. Ecotoxicol. 2020, 2, 64–72. [Google Scholar] [CrossRef]
- Yurtsever, M.; Sengil, I.A. Biosorption of Pb(II) ions by modified quebracho tannin resin. J. Hazard. Mater. 2009, 163, 58–64. [Google Scholar] [CrossRef]
- Shahmohammadi-Kalalagh, S.; Babazadeh, H.; Nazemiand, A.H.; Manshouri, M. Isotherm and kinetic studies on adsorption of Pb, Zn and Cu by kaolinite. Caspian J. Environ. Sci. 2011, 9, 243–255. [Google Scholar]
- Chakraborty, S.; Chowdhury, S.; Saha, P.D. Adsorption of crystal violet from aqueous solution onto NaOH-modified rice husk. Carbohydr. Polym. 2011, 86, 1533–1541. [Google Scholar] [CrossRef]
- Fawzy, M.A.; Hifney, A.F.; Adam, M.S.; Al-Badaani, A.A. Biosorption of cobalt and its effect on growth and metabolites of Synechocystis pevalekii and Scenedesmus bernardii: Isothermal analysis. Environ. Technol. Innov. 2020, 19, 100953. [Google Scholar] [CrossRef]
- Motik, C.; Chegdani, F.; Blaghen, M. The biosorption potential of Plocamium cartilagineum algal biomass for the elimination of the synthetic dye Cibacron Blue. Aquac. Aquar. Conserv. Legis. 2022, 15, 544–556. [Google Scholar]
- Rajasimman, M.; Murugaiyan, K. Optimization of process variables for the biosorption of chromium using Hypnea valentiae. Nova Biotechnol. 2010, 10, 107–115. [Google Scholar] [CrossRef]
- Rajabi, M.; Mahanpoor, K.; Moradi, O. Preparation of PMMA/GO and PMMA/GO-Fe3O4 nanocomposites for malachite green dye adsorption: Kinetic and thermodynamic studies. Compos. Part B Eng. 2019, 167, 544–555. [Google Scholar] [CrossRef]
- Khosravi, R.; Moussavi, G.; Ghaneian, M.T.; Ehrampoush, M.H.; Barikbin, B.; Ebrahimi, A.A.; Sharifzadeh, G. Chromium adsorption from aqueous solution using novel green nanocomposite: Adsorbent characterization, isotherm, kinetic and thermodynamic investigation. J. Mol. Liq. 2018, 256, 163–174. [Google Scholar] [CrossRef]
- Jafari, H.; Mahdavinia, G.R.; Kazemi, B.; Javanshir, S.; Alinavaz, S. Basic dyes removal by adsorption process using magnetic Fucus vesiculosus (brown algae). J. Water Environ. Nanotechnol. 2020, 5, 256–269. [Google Scholar]
- Fawzy, M.A.; Alharthi, S. Cellular responses and phenol bioremoval by green alga Scenedesmus abundans: Equilibrium, kinetic and thermodynamic studies. Environ. Technol. Innov. 2021, 22, 101463. [Google Scholar] [CrossRef]
- Bertolini, T.C.R.; Izidoro, J.C.; Magdalena, C.P.; Fungaro, D.A. Adsorption of crystal violet dye from aqueous solution onto zeolites from coal fly and bottom ashes. Orbital Electron. J. Chem. 2013, 5, 179–191. [Google Scholar]
- Ali, H.; Muhammad, S.K. Biosorption of crystal violet from water on leaf biomass of Calotropis procera. J. Environ. Sci. Technol. 2008, 1, 143–150. [Google Scholar] [CrossRef]
- Menkiti, M.; Aniagor, C.; Agu, C.; Ugonabo, V. Effective adsorption of crystal violet dye from an aqueous solution using lignin-rich isolate from elephant grass. Water Conserv. Sci. Eng. 2018, 3, 33–46. [Google Scholar] [CrossRef]
- Nieva, A.D.; Avena, L.G.S.; Pascual, M.A.M.; Pamintuan, K.R.S. Characterization of powdered pineapple (Ananas comosus) crown leaves as adsorbent for crystal violet in aqueous solutions. In IOP Conference Series: Earth and Environmental Science, 2020 2nd International Conference on Resources and Environment Sciences, 5–7 June 2020, Kasetsart University, Bangkok, Thailand, 2020; IOP Publishing: Bristol, UK, 2020; Volume 563, p. 012010. [Google Scholar] [CrossRef]
- Escudero, L.B.; Smichowski, P.N.; Dotto, G.L. Macroalgae of Iridaea cordata as an efficient biosorbent to remove hazardous cationic dyes from aqueous solutions. Water Sci. Technol. 2017, 76, 3379–3391. [Google Scholar] [CrossRef]
- Vijayaraghavan, J.; Bhagavathi Pushpa, T.; Sardhar Basha, S.J.; Jegan, J. Isotherm, kinetics and mechanistic studies of methylene blue biosorption onto red seaweed Gracilaria corticata. Desalin. Water Treat. 2016, 57, 13540–13548. [Google Scholar] [CrossRef]
- Wang, X.S.; Liu, X.; Wen, L.; Zhou, Y.; Jiang, Y.; Li, Z. Comparison of basic dye crystal violet removal from aqueous solution by low-cost biosorbents. Sep. Sci. Technol. 2008, 43, 3712–3731. [Google Scholar] [CrossRef]
- Shi, W.; Xia, M.; Wang, F.; Dong, L.; Zhu, S. Efficient absorption properties of surface grafted HEDP-HAP composites for Pb2+ and Cu2+: Experimental study and visualization study of interaction based on Becke surface analysis and independent gradient model. J. Hazard. Mater. 2021, 401, 123748. [Google Scholar] [CrossRef] [PubMed]








| Kinetics Model | Parameters | Values |
|---|---|---|
| qe (exp.) (mg/g) | 12.26 | |
| Pseudo-first order | qe (cal.) (mg/g) | 7.39 |
| K1 (min−1) | 0.047 | |
| R2 | 0.988 | |
| Pseudo-second order | qe (cal.) (mg/g) | 12.55 |
| K2 (g/mg min) | 0.02 | |
| R2 | 0.992 | |
| Elovich | α (g/mg min) | 17.3 |
| β (g/mg) | 0.508 | |
| R2 | 0.991 | |
| Intra-particle diffusion | Ki (mg/g min0.5) | 0.235 |
| Ci (mg/g) | 6.05 | |
| R2 | 0.867 |
| Isotherms | Parameters | Values |
|---|---|---|
| Langmuir | qmax (mg/g) | 39.1 |
| b (L/mg) | 0.12 | |
| RL | 0.09–0.33 | |
| R2 | 0.954 | |
| Freundlich | n | 1.27 |
| Kf (mg/g) | 4.21 | |
| R2 | 0.977 | |
| Temkin | B | 6.49 |
| A (L/mg) | 2.18 | |
| b (J/mol) | 381 | |
| R2 | 0.970 | |
| Dubinin and Radushkevich | qo (mg/g) | 15.3 |
| β × 10−7 (mol2/J2) | 3.0 | |
| E (kJ/mol) | 12.9 | |
| R2 | 0.915 |
| Temperature (K) | ΔGo (kJ/mol) | ΔHo (kJ/mol) | ΔSo (kJ/mol) | R2 |
|---|---|---|---|---|
| 298 | −1.54 | |||
| 308 | −1.72 | 4.91 | 0.022 | 0.974 |
| 318 | −1.98 |
| Adsorbents | Biosorption Conditions | qmax (mg/g) | References | |
|---|---|---|---|---|
| Contact Time (min) | pH | |||
| Skeletonema costatum diatom | 120 | 3 | 10.77 | [33] |
| Rhizophora mucronata stem-bark | 60 | 7 | 1.18 | [56] |
| Zeolite from bottom ash | 10 | 6.5 | 17.6 | [67] |
| Leaf biomass of Calotropis procera | 60 | - | 4.14 | [68] |
| Lignin-rich Isolate from Elephant Grass | 30 | - | 24.99 | [69] |
| Pineapple crown leaves | - | - | 6.49 | [70] |
| Iridaea cordata macroalga | 90 | 7 | 36.5 | [71] |
| Gracilaria corticata macroalga | - | 8 | 28.9 | [72] |
| Laminaria japonica macroalga | - | 10 | 14.5 | [73] |
| Sargassum muticum | 60 | 6 | 39.1 | Present study |
Disclaimer/Publisher’s Note: The statements, opinions and data contained in all publications are solely those of the individual author(s) and contributor(s) and not of MDPI and/or the editor(s). MDPI and/or the editor(s) disclaim responsibility for any injury to people or property resulting from any ideas, methods, instructions or products referred to in the content. |
© 2023 by the authors. Licensee MDPI, Basel, Switzerland. This article is an open access article distributed under the terms and conditions of the Creative Commons Attribution (CC BY) license (https://creativecommons.org/licenses/by/4.0/).
Share and Cite
Fawzy, M.A.; Aloufi, A.S.; Hassan, S.H.A.; Alessa, A.H.; Alsaigh, A.A.; Koutb, M.; Abdel-Rahim, I.R. Sustainable Use of Marine Macroalga Sargassum muticum as a Biosorbent for Hazardous Crystal Violet Dye: Isotherm, Kinetic and Thermodynamic Modeling. Sustainability 2023, 15, 15064. https://doi.org/10.3390/su152015064
Fawzy MA, Aloufi AS, Hassan SHA, Alessa AH, Alsaigh AA, Koutb M, Abdel-Rahim IR. Sustainable Use of Marine Macroalga Sargassum muticum as a Biosorbent for Hazardous Crystal Violet Dye: Isotherm, Kinetic and Thermodynamic Modeling. Sustainability. 2023; 15(20):15064. https://doi.org/10.3390/su152015064
Chicago/Turabian StyleFawzy, Mustafa A., Abeer S. Aloufi, Sedky H. A. Hassan, Abdulrahman H. Alessa, Ahmad A. Alsaigh, Mostafa Koutb, and Ismail R. Abdel-Rahim. 2023. "Sustainable Use of Marine Macroalga Sargassum muticum as a Biosorbent for Hazardous Crystal Violet Dye: Isotherm, Kinetic and Thermodynamic Modeling" Sustainability 15, no. 20: 15064. https://doi.org/10.3390/su152015064
APA StyleFawzy, M. A., Aloufi, A. S., Hassan, S. H. A., Alessa, A. H., Alsaigh, A. A., Koutb, M., & Abdel-Rahim, I. R. (2023). Sustainable Use of Marine Macroalga Sargassum muticum as a Biosorbent for Hazardous Crystal Violet Dye: Isotherm, Kinetic and Thermodynamic Modeling. Sustainability, 15(20), 15064. https://doi.org/10.3390/su152015064

