Next Article in Journal
Green FinTech Innovation as a Future Research Direction: A Bibliometric Analysis on Green Finance and FinTech
Previous Article in Journal
Research on the Supervision and Implementation System of Territorial Space Planning from the Perspective of Resilience
Previous Article in Special Issue
Process Model for the Introduction of Automated Buses
 
 
Font Type:
Arial Georgia Verdana
Font Size:
Aa Aa Aa
Line Spacing:
Column Width:
Background:
Article

Classification of Speed Change and Unstable Flow Segments Using Geohash-Encoded Vehicle Big Data

Korea Institute of Civil Engineering and Building Technology, 283 Goyang-daero, Ilsanseo-gu, Goyang-si 10223, Gyeonggi-do, Republic of Korea
Sustainability 2023, 15(20), 14684; https://doi.org/10.3390/su152014684
Submission received: 10 August 2023 / Revised: 18 September 2023 / Accepted: 5 October 2023 / Published: 10 October 2023
(This article belongs to the Special Issue Intelligent Transportation System in the New Normal Era)

Abstract

:
Precise and detailed speed information is indispensable for ensuring safe and efficient transportation. This is particularly true within unstable flow (UF) segments, which are especially prone to accidents due to the significant speed variations between vehicles and across lanes, and in the context of evolving transportation systems, where autonomous and non-autonomous vehicles are increasingly mixing. To address the limitations of existing methods in providing such data, this study aims to improve the detail, accuracy, and granularity of road information for micro-segments by leveraging individual vehicle big data. The proposed approach utilizes the geohash algorithm for spatial segmentation and introduces a novel criterion for identifying UF segments based on the relationship between space mean speed (SMS) and time mean speed (TMS). The presented strategy was validated through a comprehensive analysis of DTG (Digital Tachograph) data from freight vehicles on Expressway No. 50 in the Gyeonggi region in the Republic of Korea. As a result, a total of 301 segments were identified, including 178 eastbound and 123 westbound segments. UF segments corresponded to partitions falling beyond the reference standard deviation range. Compared with VDS (Vehicle Detection System) and conzone speeds, the proposed method provided more precise and continuous speed information, surpassing those obtained from conventional link-based approaches.

1. Introduction

By the year 2022, the Republic of Korea witnessed a total of 196,836 traffic accidents, resulting in 2735 fatalities. Alarmingly, on expressways alone, the accident count reached 4860, with 184 lives lost—nearly 2.7 times the fatality rate compared with other roadways. Because of the median barriers featured by expressways, most of those accidents were side or rear-end collisions (1207 and 1698, respectively), whereas only 40 corresponded to head-on collisions, as shown in Table 1. A significant contributor to accidents is unstable flow (UF) caused by various interferences affecting traffic movement, such as interactions at entrance and exit ramps and accidents, which lead to rapid speed reductions as traffic volume escalates. The prevalence of UF across continuous flow zones like highways underscores its potential role in traffic accidents, necessitating the classification of road segments based on their traffic flow characteristics.
Currently, traffic information segments (a unit of the road network that provides speed information) are established on nodes and links derived from the road’s central axis. Nodes and links are generated at locations such as road intersections, origin and destination points, traffic control sections, points of structural or road management changes, administrative zone transitions, and entry/exit junctures. However, due to these static links, traffic information segments do not correspond to actual speed alteration segments or indicate speed attributes, i.e., despite internal speed differentials within the same segment, they are presented as a singular data entity.
The rapid advancement of autonomous vehicles and Cooperative Intelligent Transportation Systems (C-ITS) is expected to transform the road/traffic environment into a complex amalgamation of autonomous and non-autonomous vehicles in the near future. This underscores the critical importance of ensuring precision and accuracy in the surrounding vehicle attribute data (such as location and speed) obtained through Vehicle-to-Everything (V2X) communication [1]. Notably, the acquisition of precise micro-segmented speed data is considered a pivotal factor for ensuring safe and comfortable vehicle operation, facilitating autonomous driving, and seamless C-ITS integration in environments where autonomous and non-autonomous vehicles coexist [2]. The provision of precise and reliable information on the speed of proximate vehicles within a relatively large spatial domain is particularly critical to ensuring safety when implementing autonomous driving with high-speed vehicles, given the reduced reaction time available for unforeseen circumstances [3].
The present study utilizes substantial Digital Tachograph (DTG) data—big data containing location information acquired from individual vehicles—to identify and expound upon UF occurrences, such as instances of speed alterations and segments characterized by velocity disparities between lanes. We introduce discerning criteria for segregating segments characterized by uneven speed distribution, employing space mean speed (SMS) to detect both intra- and inter-vehicle speed differences within a single segment. Furthermore, to provide detailed traffic information, we divide UF segments where speed differences occurred by lane.

2. Literature Review

A junction is a location where vehicles merge and sort, prompted by competitive conflicts arising from divergent traffic demands. Primarily established to link the traffic streams of an expressway and a standard route, this segment exhibits a higher frequency of lane changes compared with the main expressway artery, resulting in inherently unstable traffic flow, heightened congestion, and a higher propensity for accidents. The most common type of connections are entrance and exit ramps; the impact area is calculated based on the junction’s geometric design, road alignment, and lane count, whereas service levels are determined based on traffic volume [4]. Efforts to mitigate UF have encompassed the integration of Variable Message Signs (VMS) and density metrics within a congestion prediction model that leverages the cumulative moving average of vehicle speed arrays [5]. A vehicle trajectory model rooted in Vehicle Detection System (VDS) data was used in the construction of a dynamic Origin–Destination (O-D) prediction model to explore congested traffic flow dynamics [6]. Factors that can explain lane interdependencies were identified in the study “Development of Impulse Propagation Model between Lanes through Temporal-Spatial Analysis” [7]. This led to the development of a lane impact propagation model, employing multiple regression analysis to quantify impact based on the analyzed segment and lane. Notably, prior research grappled with the challenge of precisely timing UF instances through the examination of detector data from junctions, such as entrance and exit ramps.
Given the inherent variation in speeds within a traffic stream, an accurate single depiction of the speed of a traffic stream necessitates understanding speed distribution, typically approximated by a normal distribution. The average speed is usually divided into two components: time mean speed (TMS) and SMS. TMS represents the arithmetic mean of speeds exhibited by vehicles traversing a point or short road segment over a defined interval. On the other hand, SMS quantifies the sum of all vehicles passing through a specific segment within a specific period, divided by the distance traveled [8]. Consequently, the speed of vehicles in a specific segment is expressed by the relationship between TMS and SMS, with UF surfacing when individual vehicle speeds diverge from a given value.
Because they are fixed on individual vehicles and provide crucial information about their operation, DTG data emerge as a promising resource for generating finer-grained micro-speed information [9]. The widespread integration of diverse sensors within vehicles has ushered in an era of location-based big data, sourced from individual vehicle sensors. These data assume a pivotal role by not only contributing to road and traffic information but also offering insights into the operational conditions of neighboring vehicles [10]. Particularly, DTG data based on satellite positioning systems differ from VDS data collected through devices such as loop detectors and Closed-Circuit Television (CCTV) due to their ability to furnish copious amounts of data, encompassing vehicle locations and instantaneous speeds. While VDS data bear reliability, their utility is constrained by their focus on point information, thereby limiting their ability to capture the dynamic behaviors of vehicles characterized by frequent accelerations and decelerations [11]. Moreover, the generation of diverse traffic information faces spatial limitations, potentially compromising the reliability of the yielded data depending on the traffic environment [12].
The expeditious processing of DTG big data is an imperative facet in collating and presenting micro-segment speed information of vehicles. In this regard, the velocity in processing location-based big data is the most important aspect in deciding whether big data-driven road and traffic information can be delivered in real time [13]. Notably, the potency and rapidity of spatial analysis exert a commanding influence on the processing of location-based big data. However, the present approach of spatial analysis, entailing the connection of current point data with link data, proves inadequate for real-time data provisioning due to its requirement of map matching technology. This arises from the necessity to precisely map coordinates onto the geographical layout and subsequently match them with the requisite buffer area encompassing surrounding links. Moreover, depending on the distance between data points and reference points, varied matching strategies—ranging from point-to-point and point-to-curve to curve-to-curve approaches—to align individual vehicle big data with map data may lead to considerable errors [14,15]. Therefore, providing accurate speed information based on DTG big data hinges on a comprehensive assessment of accurate and efficient matching procedures between spatial orientation and data representation.
Various methodologies have been proposed for generating accurate vehicle speed data. Han [16] examined methodologies for calculating SMS on expressways, utilizing vehicle trajectory data from radar detectors. Ko [17] discussed the challenges of continuous micro-traffic analysis, contrasting prevalent image-based traffic analysis approaches with a microscopic traffic analysis framework using drone-acquired photographs. These aerial images facilitated the extraction of essential metrics, including speed, traffic volume, and density. Liu [18] employed GPS data to compute SMS for node links, elucidating the nexus between speed and vehicle collision incidents along a segment of the Shanghai trunk route.
While the aforementioned studies have contributed commendable methodologies for generating accurate speed data pertinent to their respective datasets, certain limitations persist. First, data procured from roadside stations, loop detectors, CCTV, and probe cars operate within a static link framework relative to the road’s central axis. This approach, however, may fall short of representing genuine speed variations or capturing speed homogenous segments characterized by distinctive speed attributes. Fixed sensors like radar and loop detectors solely furnish speed information at designated points, neglecting the broader spatiotemporal distribution of speed [19]. Second, speed data emanating from node links cannot adequately reflect micro-segment attributes. Lastly, methodologies reliant on mobile platform videos face difficulties in acquiring continuous, relevant data and maintaining constant observation [17].
Numerous investigations have explored the geographic alignment of vehicle big data based on Global Navigation Satellite Systems (GNSS). Zhao [20] mapped GPS data on a 60 m grid to predict vehicle speeds. Ibarra-Espinosa [21] generated regional model data for traffic flow and speed, mapping vehicle GPS data on a fixed grid. Liu [18] studied spatial patterns of urban traffic congestion through a grid-based analysis of node capacity shortages, bottlenecks, and intersection congestion trends. Nonetheless, because these existing studies rely on a fixed grid size, their accuracy may vary depending on the grid configuration. Moreover, reducing grid size to enhance precision might inadvertently delay data processing.
The central aim of this study was to create dynamic homogeneous speed zones from DTG data and to use them to facilitate the generation of speed information pertinent to micro-segments. These homogeneous speed zones were determined by comparing TMS and SMS. Typically, drivers are presented with an average speed for a designated segment, which is further partitioned into TMS and SMS. TMS and SMS represent, respectively, the arithmetic mean of vehicle speeds traversing a point or small road segment within a specified timeframe, and the quotient of speed by the distance covered by all vehicles transiting a road segment during the same period [8]. Usually, TMS is lower than SMS and both would be equal if all vehicles within a segment maintained an identical pace. Thus, the similarity between TMS and SMS serves as a metric for assessing the uniformity of vehicle speeds within a given segment. The present study evaluates TMS-SMS congruence based on the correlation between the two speeds. Past research has drawn upon empirical analyses to elucidate the relationship between TMS and SMS in the context of vehicles on expressways or national highways [22]. Garber [23] established an empirical linear linkage between TMS and SMS within expressway settings. Leong [24] also determined a linear relationship between these two speeds on a Malaysian national highway.

3. Methodology

3.1. Determination of Unstable Flow

SMS and TMS are equal if all vehicles in the same space have the same speed. However, divergent individual vehicle speeds introduce discernible differentials between these two means, as illustrated in Figure 1. The relationship between these mean speeds is mathematically expressed in Equation (1). Employing the ratio of the square of TMS speed’s standard deviation to TMS itself offers an effective measure to quantify the dissimilarity between these mean speeds. This quantification is particularly informative when speed variations are uniformly spread across a designated space. In such instances, the extent of speed variability among vehicles may fluctuate, as dictated by the variance denoted as σ . Notably, the range of Speed Fluctuation (SF) per speed resides within the confines defined by the function of the two mean speeds, as described by Equation (2). This depiction is graphically elucidated in Figure 2.
S M S = T M S σ T M S 2 / T M S
S M S = T M S σ 2 / T M S

3.2. Establishment of Unstable Flow Boundaries

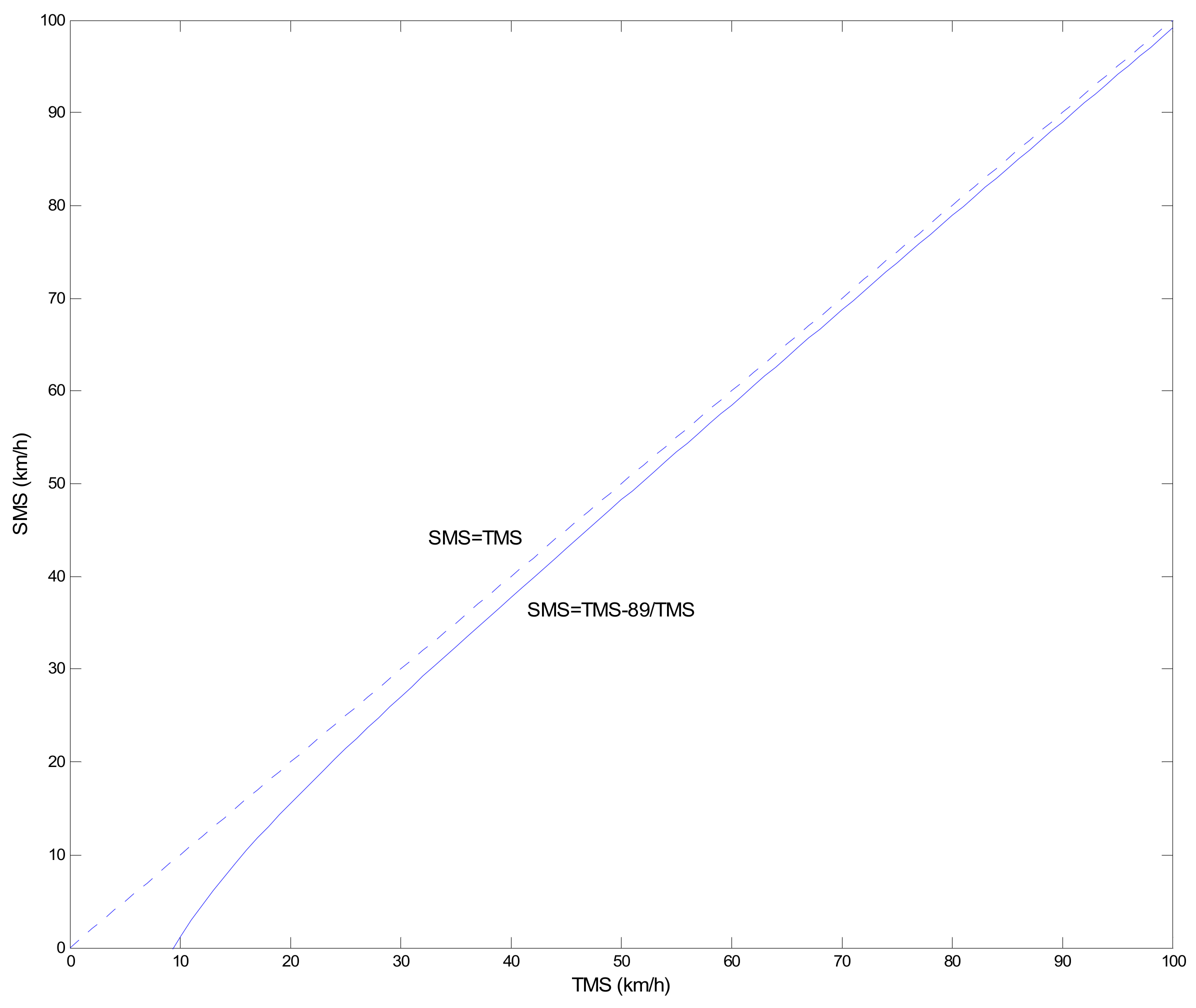
UF manifests as a significant speed discrepancy among vehicles transiting a brief segment. This divergence in speed precipitates abrupt decelerations, in turn affecting trailing vehicles. In this context, the standard deviation, as outlined in Equation (3), serves as the pivotal demarcation for speed deviations. The crux of this boundary definition lies in identifying segments characterized by akin actual driving speeds. To expound upon this, Figure 3 offers a visualization of DTG data pertinent to Expressway no. 50, specifically focusing on the right-handed upbound data stream. The calculation of the speed’s standard variation was executed through link data analysis across eight distinct straight or curved segments, each devoid of entrance and exit ramp junctions—a configuration summarized in Table 2. The resulting standard deviation was derived from a sample of six segments tallied at 9.45 kph, thus serving as the benchmark standard deviation value for this investigation using Figure 4.
S M S = T M S 89 / T M S

3.3. Dynamic Segmentation Method

In this study, the process of spatial segmentation at the study location was executed using the geohash algorithm. The geohash algorithm, a grid-based and string encoding technique, generates a hierarchical grid map by iteratively quartering (2 × 2) the target region. Figure 5 illustrates the fundamental components of the geohash algorithm. The black numerals within the figure depict the code assigned to the initial partitioned area, while the blue, green, and red letters signify grid code numbers corresponding to the second, third, and fourth subdivisions, respectively. Employing the geohash algorithm, the study partitioned the geographic expanse of the Republic of Korea, encompassing longitudes 126° to 130° and latitudes 34° to 38°.
Dynamic segmentation, a pivotal facet of this study, orchestrates the hierarchy of segmentation predicated on UF determination. To elaborate, the partitioning process hinges on the interplay between TMS and SMS, dictating the UF categorization for each grid. In essence, grids identified as SF halt further partitioning, while non-SF grids undergo continued subdivision. This dynamic segmentation methodology is comprehensively depicted in Figure 5. The initial step, depicted in Figure 5a, entails the division of the grid along both latitude and longitude axes, with sequential codes 0, 1, 2, and 3 allocated. Grid 3, devoid of road passages, is excluded from this partitioning. Similarly, Figure 5b displays a parallel division, with space 1 from Figure 5a now labeled as 10, 11, 12, and 13. To maintain granularity while averting excessive coverage or exceedingly diminutive road lengths, the study instituted a minimum of 5 partitions and a maximum of 12. This selection rationale balances the need to avoid overly extensive regions (fewer than 5 partitions) and the requirement for road segments of adequate length (more than 12 partitions) to furnish micro-segment speed data for expressways. As earlier outlined, the partitioning process follows the pre-determined UF categories. Notably, space 0 qualifies as SF, while spaces 1 and 2 are identified as UF, as illustrated in Figure 6a. The ensuing space segmentation follows the pattern outlined in Figure 6b. Upon determining space no. 20 as UF, partitioning proceeds accordingly. When the partition count reaches 12, space 203 again meets the criteria for UF classification, as evident in Figure 6c, culminating in the conclusion of further partitioning.

3.4. Research Data

The focal point of this study rests upon expressways, and for the purpose of calculating micro-segment speeds, DTG data sourced from freight vehicles and expressway node link data were employed. The study’s aim revolves around partitioning lengthy road segments based on variations in vehicle speeds and subsequently generating speed data for each delineated segment. Consequently, emphasis was placed on expressways characterized by extended segment lengths and higher speed limits. This selection rationale stemmed from the prevalence of continuous entrance and exit ramp junctions, accident occurrences, and sporadic instances of congestion—features more pronounced on expressways as compared with those on urban roads. Urban roads, typified by relatively shorter segment lengths, lower speed limits, and fluctuations in traffic flow due to intermittent patterns, were thus excluded from the study’s scope.
To effectively capture prototypical vehicle driving behaviors and amass comprehensive position and speed data, DTG data from freight vehicles were harnessed. While DTG data can be culled from taxis, buses, and trucks, this study chose to focus solely on freight vehicles. The rationale behind this exclusion was rooted in the potential divergence in driving patterns exhibited by taxis and buses, largely stemming from their prevalence within urban domains. Notably, taxis and city buses often engage in frequent stops, dictated by factors like passenger embarkation, disembarkation, and service halts. Moreover, the presence of bus-exclusive lanes can introduce distinctive attributes to intercity buses’ driving behaviors. In contrast, freight vehicles exhibit unique characteristics, predominantly traversing at lower speeds and frequently occupying the right lane. Aligning with the objective of securing congruence in driving patterns and data availability, this study concentrated on freight vehicle DTG data. A comprehensive overview of the obtained data’s scope is enumerated in Table 3.
Data extraction was undertaken based on expressway routes, utilizing the standard node link framework established by the National Transport Information Center [25]. The experimental setup encompassed 951 nodes and 2133 links situated on Expressway no. 50 within the Gyeonggi region. The attributes encompassed in this extraction process are itemized in Table 3.
Table 4 further delineates a comparison between national node links for expressways and Gyeonggi-do regional node links applicable to urban freeways.

4. Results and Discussion

4.1. Analysis Results

The DTG data sourced from freight vehicles along the Interstate 50 corridor facilitated the acquisition of comprehensive individual vehicle information traversing the expressway. Extracting data from peak traffic periods demonstrated noteworthy fluctuations in speed homogeneity across distinct timeframes. Notably, Tuesday registered the lengthiest average trip duration of 339.5 min, coupled with the shortest average journey distance of 165.1 km. Consequently, data from Tuesday at 9:30 a.m.—falling within the peak hour range of 8:00 a.m. to 10:00 a.m., a period characterized by heightened truck activity—was selected for further analysis. Raw data fields from truck DTGs underwent preprocessing, with the encrypted trip key and chassis number serving as criteria for bulk elimination of erroneous entries. Paramount data for this study encompassed vehicle speed, vehicle position, and GIS azimuth angle fields, with the ‘TIME’ field employed to facilitate time-based filtering.
The outcome of the 12-step grid partitioning of the Gyeonggi region along Expressway no. 50, as executed using the geohash algorithm with DTG data, is visually presented in Figure 7. If it is located above the standard deviation relationship curve between SMS and TMS, it is classified as SF, and if it is located below, it is classified as UF and the space is separated repeatedly.
Figure 8 delineates the resultant 12-step grid division for the eastbound Expressway no. 50 in Figure 8a, road line configurations and overlapping segmentation in Figure 8b, and the extraction of the unstable traffic component within the final 12 segments in Figure 8c. A parallel analysis conducted on Interstate 50’s westbound trajectory is showcased in Figure 9. Table 5 comprehensively encapsulates the statistics derived from this analysis. Here, the part where the matched road alignment was cut off was excluded due to insufficient data for analysis.
The segmentation results encompassing 301 segments, stemming from the 12-fold division of 188 grids, identified outliers beyond the standard deviation threshold. Termed UF segments, these anomalies are featured within the westbound direction of Expressway no. 50, as depicted in Table 6. Within this context, 13 out of the total 63 segments emerged as UF segments, distinct in their characteristics.

4.2. Interpretation of Results

The velocity insights concerning Korean expressway segments are conventionally established through the concept of ‘conzones,’ wherein VDS facilitate the determination of instantaneous and average speeds within these delineated areas. A ‘conzone’ constitutes an expressway segment characterized by a consistent volume of passing vehicles, commonly associated with nodes such as interchanges, junctions, and toll gates. The particulars of this mechanism are exhibited in Table 7, which illustrates real-time data captured at 09:00 on 10 April 2018, encompassing various detectors and zones. VDS installations, spaced at irregular intervals spanning from 330 m to 2.96 km, engage in vehicle speed detection. Subsequently, the velocity data gleaned from two or more VDSs are amalgamated into an averaged conzone speed, imparting uniform interval-based information. Nevertheless, this approach falls short in accounting for instances such as accidents within a segment or the influence of subdivisions, thereby obscuring insights into UF occurrences.
The spatial domain under scrutiny encompasses the two-way traffic of Expressway no. 50 within Gyeonggi Province, characterized by a cumulative one-way expanse of 102.14 km. To derive segment speeds, the study employed DTG-based individual vehicle statistics. Segments featuring uniform speeds bereft of substantial inter-vehicle discrepancies underwent further partitioning into a geohash-derived grid, establishing a sense of uniformity, termed SF. In contrast, segments characterized by significant speed disparities among vehicles were systematically subdivided into smaller units designated as UF, until each grid reached a minimum size of 100 m. Notably, instances manifesting pronounced disparities in vehicle speeds, as illustrated in Table 8, were classified as UF segments.
With UF segments thus identified, the intricate road network map was subsequently scrutinized to pinpoint influential variables. Figure 10 elucidates the outcomes of this analytical endeavor; the red line in the picture is the UF segments analysis result. This line matches the center line of the road, and the shape of the road matches the background of the map, highlighting distinct scenarios:
(1)
UF emerges as a segment characterized by a mixture of vehicles undergoing speed reduction before the expressway toll plaza, intermingled with those maintaining high velocities, yielding an average speed of 51 km per hour.
(2)
The UF category is typified by an average speed range of 66–67 kph, wherein vehicles of varying velocities merge from the right.
(3)
The first segment maintains an average speed range of 83–93 kph, juxtaposed with a second segment registering a speed of 60 kph. The former segment attains Level of Service A, yet it faces the influence of lane-changing vehicles decelerating into the right-hand turn lane. Concurrently, vehicles operating at standard speeds along the mainline further affect this segment. In contrast, the second segment reflects Level of Service C, contending with the deceleration of vehicles converging towards the toll plaza ahead, alongside a blend of both sluggish and rapid-moving vehicles.
(4)
The final classification designates the speed range of 91–99 kph as UF. This range is subject to fluctuations attributable to frontal classifications, culminating in a mixture of slow and swift vehicles traversing the lanes.
Hence, UF characterizes short road segments spanning less than 100 m, wherein pronounced fluctuations in vehicle speeds ensue, potentially culminating in side or rear-end collisions. As exemplified in Figure 10, instance 1 highlights scenarios where segment driving speeds remain relatively low, yet substantial disparities emerge between front and rear vehicles due to hindrances preceding the lead vehicle or the downstream impact of diminished speeds. Additionally, example 4 underscores that even within a relatively seamless segment marked by elevated overall speeds, noteworthy discrepancies in speed distribution between left and right lanes may arise. These differentials can be attributed to abrupt lane shifts, deceleration events related to entering and exiting vehicles, or the influence of junctions and classification zones. Such nuances elude comprehension through conventional average segment speed analyses, underscoring the criticality of delving deeper into speed variations to provide insights into hazardous segment attributes. This distinctive facet distinguishes the findings of this study from the existing body of research, spotlighting the paramount importance of driving safety considerations.

5. Conclusions

This study introduced a methodology aimed at enhancing the precision of road information for fine-grained micro-segments through the utilization of individual vehicle big data and a criterion for categorizing UF segments characterized by speed variations across lanes. The presented approach involves establishing criteria for identifying segments with uneven speed distributions, leveraging inter-vehicle speed deviation based on the relationship between SMS and TMS, which can indicate the speed difference of individual vehicles within the same segment. Segment divisions were determined by computing standard deviation in speed discrepancies among vehicles through a geohash-coded approach. This approach, in turn, facilitated the identification and classification of UF segments exhibiting lane-specific speed differences, thereby providing detailed traffic information.
In this investigation, DTG data encompassing vehicle identifiers, coordinates, azimuth angles, and speed measurements from freight vehicles were harnessed within the Gyeonggi region of Expressway No. 50. As a result, a total of 301 segments were identified, including 178 eastbound and 123 westbound segments. UF segments corresponded to partitions falling beyond the reference standard deviation range. Compared with VDS and conzone speeds, the proposed method provided more precise and continuous speed information, surpassing those obtained from conventional link-based approaches.
A salient outcome of this study resides in its ability to pinpoint specific sections characterized by speed differentials and lane-specific velocity fluctuations. This demonstrated that UF segments can be segmented while under the effect of classification or merging, yielding insights into sudden decelerations or lane-specific slowdowns along expressways. Such information holds a direct correlation with rear-end and side-impact incidents, positioning it as a valuable tool for furnishing drivers with proactive traffic accident mitigation guidance. Future research endeavors should contemplate the integration of additional data sources, including autonomous vehicles, as well as the exploration of lane-specific speed variation benchmarks based on precise road maps and speed deviation standards for each vehicle in SF according to specific parameters, including road type, lane configuration, vehicle category, and road alignment.
Due to its capacity to effectively deliver speed information with higher accuracy, the methodological framework introduced in this study for generating micro-segment speed information based on segmentation using individual vehicle big data can be used for real-time micro-segment speed information services. As a result, this approach holds the potential to improve the efficiency of the collection, analysis, segmentation, and dissemination of traffic information, leveraging driving data streams from autonomous, connected, and shared vehicles. Moreover, its applicability extends to supporting secure vehicle operation in dynamic driving environments encompassing both autonomous and non-autonomous vehicles.

Funding

This study was supported by a research grant from the Ministry of Land, Infrastructure, and Transport (20220293-001).

Institutional Review Board Statement

Not applicable.

Informed Consent Statement

Not applicable.

Data Availability Statement

Not applicable.

Conflicts of Interest

The author declares no conflict of interest.

References

  1. Ahn, J.W.; Park, T.J.; Kweon, T.J.; Han, C.S. A path tracking control algorithm for autonomous vehicles. J. Korean Soc. Precis. Eng. 2000, 17, 121–128. [Google Scholar]
  2. Maduro, C.; Batista, K.; Peixoto, P.; Batista, J. Estimating Vehicle Velocity Using Rectified Images. In Proceedings of the VISAPP 2008—International Conference on Computer Vision Theory and Applications, Madeira, Portugal, 22–25 January 2008; pp. 551–558. [Google Scholar]
  3. Lee, S.K. The Development Direction of Highway C-ITS for Smart Autonomous Driving. Transp. Technol. Policy 2021, 18, 4–6. [Google Scholar]
  4. MOLIT. Korean Highway Capacity Manual; MOLIT: Sejong City, Republic of Korea, 2013; pp. 78–86. [Google Scholar]
  5. Lee, S.; Ahn, W.; Kang, H. A Study on Forecasting Traffic Congestion Using IMA (Integrated Moving Average) of Speed Sequence Array. J. Civ. Environ. Eng. Res. 2010, 30, 113–118. [Google Scholar]
  6. Kim, Y.; Lee, S. Dynamic O-D Trip estimation Using Real-Time Traffic Data in congestion. J. Korea Inst. Intell. Transp. Syst. 2006, 5, 1–12. [Google Scholar]
  7. Kim, S.; Ryu, J. Development of Impulse Propagation Model between Lanes through Temporal-Spatial Analysis. J. Korean Soc. Transp. 2011, 29, 123–137. [Google Scholar]
  8. Do, C.W. Transportation Engineering Principle, 3rd ed.; Cheungmungak: Seoul, Republic of Korea, 2009; pp. 53–59. [Google Scholar]
  9. Park, J.I. Road Policy Utilization Plan of Vehicle Driving Route Big Data. Krihs Policy Brief 2017, 624, 1–8. [Google Scholar]
  10. Kim, D.; Jung, T.; Yi, K.S. Lane Map-based Vehicle Localization for Robust Lateral Control of an Automated Vehicle. J. Inst. Control. Robot. Syst. 2015, 21, 108–114. [Google Scholar] [CrossRef]
  11. Lee, S.; Chang, H.; Kang, T. Analysis Method for Speeding Risk Exposure using Mobility Trajectory Big Data. J. Soc. Disaster Inf. 2021, 17, 655–666. [Google Scholar]
  12. Lim, D.H.; Ko, E.J.; Seo, Y.H.; Kim, H.J. Spatiotemporal Traffic Density Estimation Based on Low Frequency ADAS Probe Data on Freeway. Transp. Technol. Policy 2020, 19, 208–221. [Google Scholar] [CrossRef]
  13. Kwak, N.J.; Jeong, J.S. Trend of Image Recognition Technology for Autonomous Vehicles. J. Korean Soc. Automot. Eng. 2018, 40, 32–36. [Google Scholar]
  14. Bernstein, D.; Kornhauser, A. An Introduction to Map Matching for Personal Navigation Assistants; Technical Report; TIDE Center: South River, NJ, USA, 1996. [Google Scholar]
  15. White, C.E.; Bernstein, D.; Kornhauser, A.L. Some map matching algorithms for personal navigation assistants. Transp. Res. Part C Emerg. Technol. 2000, 8, 91–108. [Google Scholar] [CrossRef]
  16. Han, E.; Kim, S.B.; Rho, J.H.; Yun, I.S. Comparison of the Methodologies for Calculating Expressway Space Mean Speed Using Vehicular Trajectory Information from a Radar Detector. Korea Inst. Intell. Transp. Syst. 2016, 15, 34–44. [Google Scholar] [CrossRef]
  17. Ko, E.J.; Kim, S.H.; Kim, H.J. Microscopic Traffic Analysis of Freeway Based on Vehicle Trajectory Data Using Drone Images. Transp. Technol. Policy 2021, 20, 66–83. [Google Scholar] [CrossRef]
  18. Liu, Y.; Yan, X.; Wang, Y.; Yang, Z.; Wu, J. Grid Mapping for Spatial Pattern Analysis of Recurrent Urban Traffic Congestion Based on Taxi GPS Sensing Data. Sustainability 2017, 9, 533. [Google Scholar] [CrossRef]
  19. Wang, X.; Zhou, Q.; Quddus, M.; Fan, T. Speed, speed variation and crash relationships for urban arterials. Accid. Anal. Prev. 2018, 113, 236–243. [Google Scholar] [CrossRef] [PubMed]
  20. Zhao, J.; Gao, Y.; Yang, Z.; Li, J.; Feng, Y.; Qin, Z.; Bai, Z. Truck traffic speed prediction under non-recurrent congestion: Based on optimized deep learning algorithms and GPS data. IEEE Access 2019, 7, 9116–9127. [Google Scholar] [CrossRef]
  21. Ibarra-Espinosa, S.; Ynoue, R.; Giannotti, M.; Ropkins, K.; de Freitas, E.D. Generating Traffic Flow and Speed Regional Model Data Using Internet GPS Vehicle Records. MethodsX 2019, 6, 2065–2075. [Google Scholar] [CrossRef] [PubMed]
  22. Drake, J.; Schofe, R.J.; May, A. A statistical analysis of speed-density hypotheses. Highw. Res. Rec. 1965, 154, 53–87. [Google Scholar]
  23. Garber, N.J.; Hoel, L.A. Traffic and Highway Engineering, 3rd ed.; Cengage Learning: Boston, MA, USA, 2002; pp. 173–176. [Google Scholar]
  24. Leong, L.V.; Azahar, A.M. Estimating Space-Mean Speed for Rural and Suburban Highways in Malaysia. In Proceedings of the 9th International Conference of Eastern Asia Society for Transportation Studies, Jeju, Republic of Korea, 20–23 June 2011; Volume 8, p. 295. [Google Scholar]
  25. MOCT. National Spacial Data Infrastructure Portal. 2023. Available online: http://www.nsdi.go.kr/lxportal/?menuno=2679 (accessed on 10 July 2023).
Figure 1. Schematic of TMS and SMS concepts.
Figure 1. Schematic of TMS and SMS concepts.
Sustainability 15 14684 g001
Figure 2. Relationship between SMS, TMS, and unstable flow concepts.
Figure 2. Relationship between SMS, TMS, and unstable flow concepts.
Sustainability 15 14684 g002
Figure 3. Identifying segments characterized by akin actual driving speeds.
Figure 3. Identifying segments characterized by akin actual driving speeds.
Sustainability 15 14684 g003
Figure 4. Establishment of unstable flow boundaries.
Figure 4. Establishment of unstable flow boundaries.
Sustainability 15 14684 g004
Figure 5. Geohash-based space segmentation method. (a) N-th (b) N+1st (c) N+2nd spaces.
Figure 5. Geohash-based space segmentation method. (a) N-th (b) N+1st (c) N+2nd spaces.
Sustainability 15 14684 g005
Figure 6. Space segmentation according to the determination of UF. (a) N-th (b) N+1st (c) N+2nd spaces.
Figure 6. Space segmentation according to the determination of UF. (a) N-th (b) N+1st (c) N+2nd spaces.
Sustainability 15 14684 g006
Figure 7. Comparison of TMS, SMS, and UF boundaries in the12-step grid split result.
Figure 7. Comparison of TMS, SMS, and UF boundaries in the12-step grid split result.
Sustainability 15 14684 g007
Figure 8. Eastbound UF results for Expressway No. 50.
Figure 8. Eastbound UF results for Expressway No. 50.
Sustainability 15 14684 g008aSustainability 15 14684 g008b
Figure 9. Westbound UF results for Expressway No. 50.
Figure 9. Westbound UF results for Expressway No. 50.
Sustainability 15 14684 g009
Figure 10. Analysis of the precise road network map of the UF segment.
Figure 10. Analysis of the precise road network map of the UF segment.
Sustainability 15 14684 g010
Table 1. Traffic accident statistics in 2022.
Table 1. Traffic accident statistics in 2022.
Accident TypeRoad TypeNumber of AccidentsNumber of DeathsNumber of Injured
Head-on collisionNational highway784911012,590
Provincial road5376888707
Metropolitan city road28,85411242,697
City road25,98920738,946
County road3568485587
Expressway1333102374
Unknown3588155255
Rear-end collisionNational highway4521668403
Provincial road2052273736
Metropolitan city road11,9174819,860
City road88206915,075
County road694161176
Expressway19431004852
Unknown125732091
Etc./unknownNational highway4729417093
Provincial road2171183301
Metropolitan city road17,8937525,026
City road13,2766918,890
County road73981097
Expressway1374272775
Unknown3733145191
Table 2. A configuration summarized.
Table 2. A configuration summarized.
StatisticsS1S2S3S4S5S6S7S8Average
Number280342202195219275299121241
Sum23,507 27,65716,885 17,63119,003 25,488 28,132 11,176 21,185
Average83.9580.8783.5990.4286.7792.6894.0992.3688.09
Median818183918787929386.88
Standard deviation (population)7.608.298.6111.419.719.349.3711.259.45
Standard deviation (samples)7.618.308.6311.449.739.359.3811.299.47
Minimum736663717378807772.63
Maximum108103109108108109109109107.88
Range353746373531293235.25
Minority1069969839389849790.00
Majority8186778187878710986.88
Variety273632273126291728.13
Table 3. DTG data definition.
Table 3. DTG data definition.
Time1–30 April 2018Region of Interest (Road)Expressway No. 50 in Gyeonggi-do
Data SizeApprox. 3.13 TB
(Approx. 22.35 billion files,
intervals of 1 s)
Number of
Vehicles
2775
Data FieldsField NameAttributeNote
T_KEYTrip keyEncoding
CARNUMCar numberEncoding
SPEEDVehicle speedkm/h
WGS84_XVehicle location XLatitude coordinate (WGS84)
WGS84_YVehicle location YLongitude coordinate (WGS84)
AZIMGIS azimuthDegree
TIMETimeDate-hour-minute-second (18042809074000)
Table 4. Node-link data definition.
Table 4. Node-link data definition.
ExpresswayData Fields
NodeLinkField NameAttributeValue
Nationwide45019835LINK_IDLink IDDigit (2440063100)
LANESNumber of lanesDigit (5)
ROAD_NORoad numberDigit (1)
Gyeonggi-do9512133ROAD_NAMERoad name Text (Youngdong)
CONNECTLinkDigit (000/101)
MAX_SPDMaximum speed limitDigit (110 km/h)
LENGTHLink lengthDigit (344.7723755 km)
Table 5. UF results for Expressway No. 50.
Table 5. UF results for Expressway No. 50.
Grid LevelEastboundWestbound
ID InstanceAverage TMSAverage SMSGrid CountID InstanceAverage TMSAverage SMSGrid Count
52030189.2988.1982030185.6584.924
621203383.7882.22221303389.5488.675
7212023180.4478.783212033388.8887.8310
82120230362.4660.6582123101193.9293.448
921203203274.8573.77921231110180.1079.129
10203102220077.2576.528203121023183.5682.6611
112031201321075.6074.3152123000101389.8589.3113
1220313123121280.4677.9713521231010313088.7086.1963
Table 6. Comparison of UF in the 12-step split grids for Expressway no. 50.
Table 6. Comparison of UF in the 12-step split grids for Expressway no. 50.
Grid IDTMSSMSFlowGrid IDTMSSMSFlowGrid IDTMSSMSFlow
21230001120397.9196.91SF21231111030082.3777.41UF212300000311111.12111.11SF
212300011202100.63100.58SF21203203122348.1942.32UF212300000310110.42110.39SF
21230001120178.3377.94SF20312102300381.1480.84SF21320001300196.4095.99SF
212300011200103.86103.84SF20312102300267.1260.04UF2132000130005.505.45SF
212300001201112.61112.53SF2031303212114.003.87SF21231010211398.2297.98SF
212300001200111.06111.04SF20313032121078.9278.86SF212310102112101.53101.50SF
21230001012399.6498.79SF21202211323381.6981.56SF212300001123108.50108.48SF
212300010122102.44102.12SF21202211323280.3180.17SF212300001122109.44109.44SF
212300010023104.96104.80SF21202210313146.9313.00UF212300000301107.94107.94SF
212300010022108.47108.47SF21202210313013.118.92SF212300000300105.38105.36SF
21231010310269.0048.57UF21320001122253.5014.89UF212310103121100.24100.14SF
21231010300396.6796.29SF21202211322379.3179.15SF212310103120101.06101.00SF
21231010300297.2997.01SF21202211322277.8677.69SF212300001133107.96107.88SF
21230001121288.4085.29UF21202211322081.5081.22SF212300001132108.90108.85SF
212311100311101.88101.81SF21303223330345.3343.88SF212300001033110.05110.03SF
212311100310102.60102.48SF21303223320275.5068.51UF212300001032110.78110.75SF
21231111031180.3674.69UF21231111130186.6083.80UF212300010033102.92102.70SF
21231111031081.9076.58UF21231111130083.1280.40UF212300010032104.68104.50SF
21231010301396.0095.30SF21231111131096.0094.34SF212310103133100.81100.64SF
21231010301296.9396.40SF212300010311104.15104.12SF21231010313299.6799.49SF
21231111030181.0375.68UF212300010310104.85104.82SF212310103130103.25103.25SF
Table 7. Speed information guidance criteria for westbound segment of Expressway No. 50.
Table 7. Speed information guidance criteria for westbound segment of Expressway No. 50.
CountVDS_IDDistance
(km)
VDS Zone Length
(m)
Conzone IDInstantaneous Speed (km/h)
10500VDE001001.312400500CZE010
20500VDE002002.310500500CZE010
30500VDE003003.413000500CZE010
40500VDE004004.98500500CZE010
50500VDE005006.0529600500CZE020
60500VDE007008.713400500CZE025
70500VDE008009.97400500CZE025
80500VDE0090011.325000500CZE03066
90500VDE0100012.66600500CZE040106
100500VDE0110013.813000500CZE040126
950500VDE09400109.913500500CZE20089
960500VDE09500111.219500500CZE200
Minimum 330 49
Maximum 2960 126
Table 8. Average speed and traffic flow on westbound segment of Expressway No. 50.
Table 8. Average speed and traffic flow on westbound segment of Expressway No. 50.
CountLength (m)CHGRIDAverage Speed (km/h)Flow
1599.5221231111130083.12UF
2599.5221231111130186.60UF
3599.6021320000107.62SF
4472.3321230185.19SF
84900.36212310103133100.81SF
9468.0021230185.19SF
104900.36212310103130103.25SF
2739.162123101199.78SF
320599.52212311111282.50SF
321599.5221320000107.62SF
Minimum39.16 4.00
Maximum5450.80 112.61
Disclaimer/Publisher’s Note: The statements, opinions and data contained in all publications are solely those of the individual author(s) and contributor(s) and not of MDPI and/or the editor(s). MDPI and/or the editor(s) disclaim responsibility for any injury to people or property resulting from any ideas, methods, instructions or products referred to in the content.

Share and Cite

MDPI and ACS Style

Chong, K.S. Classification of Speed Change and Unstable Flow Segments Using Geohash-Encoded Vehicle Big Data. Sustainability 2023, 15, 14684. https://doi.org/10.3390/su152014684

AMA Style

Chong KS. Classification of Speed Change and Unstable Flow Segments Using Geohash-Encoded Vehicle Big Data. Sustainability. 2023; 15(20):14684. https://doi.org/10.3390/su152014684

Chicago/Turabian Style

Chong, Kyu Soo. 2023. "Classification of Speed Change and Unstable Flow Segments Using Geohash-Encoded Vehicle Big Data" Sustainability 15, no. 20: 14684. https://doi.org/10.3390/su152014684

APA Style

Chong, K. S. (2023). Classification of Speed Change and Unstable Flow Segments Using Geohash-Encoded Vehicle Big Data. Sustainability, 15(20), 14684. https://doi.org/10.3390/su152014684

Note that from the first issue of 2016, this journal uses article numbers instead of page numbers. See further details here.

Article Metrics

Back to TopTop