Classification of Speed Change and Unstable Flow Segments Using Geohash-Encoded Vehicle Big Data
Abstract
:1. Introduction
2. Literature Review
3. Methodology
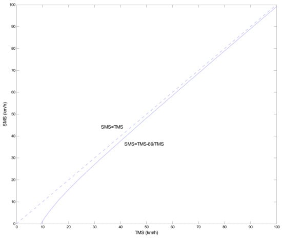
3.1. Determination of Unstable Flow
3.2. Establishment of Unstable Flow Boundaries
3.3. Dynamic Segmentation Method
3.4. Research Data
4. Results and Discussion
4.1. Analysis Results
4.2. Interpretation of Results
- (1)
- UF emerges as a segment characterized by a mixture of vehicles undergoing speed reduction before the expressway toll plaza, intermingled with those maintaining high velocities, yielding an average speed of 51 km per hour.
- (2)
- The UF category is typified by an average speed range of 66–67 kph, wherein vehicles of varying velocities merge from the right.
- (3)
- The first segment maintains an average speed range of 83–93 kph, juxtaposed with a second segment registering a speed of 60 kph. The former segment attains Level of Service A, yet it faces the influence of lane-changing vehicles decelerating into the right-hand turn lane. Concurrently, vehicles operating at standard speeds along the mainline further affect this segment. In contrast, the second segment reflects Level of Service C, contending with the deceleration of vehicles converging towards the toll plaza ahead, alongside a blend of both sluggish and rapid-moving vehicles.
- (4)
- The final classification designates the speed range of 91–99 kph as UF. This range is subject to fluctuations attributable to frontal classifications, culminating in a mixture of slow and swift vehicles traversing the lanes.
5. Conclusions
Funding
Institutional Review Board Statement
Informed Consent Statement
Data Availability Statement
Conflicts of Interest
References
- Ahn, J.W.; Park, T.J.; Kweon, T.J.; Han, C.S. A path tracking control algorithm for autonomous vehicles. J. Korean Soc. Precis. Eng. 2000, 17, 121–128. [Google Scholar]
- Maduro, C.; Batista, K.; Peixoto, P.; Batista, J. Estimating Vehicle Velocity Using Rectified Images. In Proceedings of the VISAPP 2008—International Conference on Computer Vision Theory and Applications, Madeira, Portugal, 22–25 January 2008; pp. 551–558. [Google Scholar]
- Lee, S.K. The Development Direction of Highway C-ITS for Smart Autonomous Driving. Transp. Technol. Policy 2021, 18, 4–6. [Google Scholar]
- MOLIT. Korean Highway Capacity Manual; MOLIT: Sejong City, Republic of Korea, 2013; pp. 78–86. [Google Scholar]
- Lee, S.; Ahn, W.; Kang, H. A Study on Forecasting Traffic Congestion Using IMA (Integrated Moving Average) of Speed Sequence Array. J. Civ. Environ. Eng. Res. 2010, 30, 113–118. [Google Scholar]
- Kim, Y.; Lee, S. Dynamic O-D Trip estimation Using Real-Time Traffic Data in congestion. J. Korea Inst. Intell. Transp. Syst. 2006, 5, 1–12. [Google Scholar]
- Kim, S.; Ryu, J. Development of Impulse Propagation Model between Lanes through Temporal-Spatial Analysis. J. Korean Soc. Transp. 2011, 29, 123–137. [Google Scholar]
- Do, C.W. Transportation Engineering Principle, 3rd ed.; Cheungmungak: Seoul, Republic of Korea, 2009; pp. 53–59. [Google Scholar]
- Park, J.I. Road Policy Utilization Plan of Vehicle Driving Route Big Data. Krihs Policy Brief 2017, 624, 1–8. [Google Scholar]
- Kim, D.; Jung, T.; Yi, K.S. Lane Map-based Vehicle Localization for Robust Lateral Control of an Automated Vehicle. J. Inst. Control. Robot. Syst. 2015, 21, 108–114. [Google Scholar] [CrossRef]
- Lee, S.; Chang, H.; Kang, T. Analysis Method for Speeding Risk Exposure using Mobility Trajectory Big Data. J. Soc. Disaster Inf. 2021, 17, 655–666. [Google Scholar]
- Lim, D.H.; Ko, E.J.; Seo, Y.H.; Kim, H.J. Spatiotemporal Traffic Density Estimation Based on Low Frequency ADAS Probe Data on Freeway. Transp. Technol. Policy 2020, 19, 208–221. [Google Scholar] [CrossRef]
- Kwak, N.J.; Jeong, J.S. Trend of Image Recognition Technology for Autonomous Vehicles. J. Korean Soc. Automot. Eng. 2018, 40, 32–36. [Google Scholar]
- Bernstein, D.; Kornhauser, A. An Introduction to Map Matching for Personal Navigation Assistants; Technical Report; TIDE Center: South River, NJ, USA, 1996. [Google Scholar]
- White, C.E.; Bernstein, D.; Kornhauser, A.L. Some map matching algorithms for personal navigation assistants. Transp. Res. Part C Emerg. Technol. 2000, 8, 91–108. [Google Scholar] [CrossRef]
- Han, E.; Kim, S.B.; Rho, J.H.; Yun, I.S. Comparison of the Methodologies for Calculating Expressway Space Mean Speed Using Vehicular Trajectory Information from a Radar Detector. Korea Inst. Intell. Transp. Syst. 2016, 15, 34–44. [Google Scholar] [CrossRef]
- Ko, E.J.; Kim, S.H.; Kim, H.J. Microscopic Traffic Analysis of Freeway Based on Vehicle Trajectory Data Using Drone Images. Transp. Technol. Policy 2021, 20, 66–83. [Google Scholar] [CrossRef]
- Liu, Y.; Yan, X.; Wang, Y.; Yang, Z.; Wu, J. Grid Mapping for Spatial Pattern Analysis of Recurrent Urban Traffic Congestion Based on Taxi GPS Sensing Data. Sustainability 2017, 9, 533. [Google Scholar] [CrossRef]
- Wang, X.; Zhou, Q.; Quddus, M.; Fan, T. Speed, speed variation and crash relationships for urban arterials. Accid. Anal. Prev. 2018, 113, 236–243. [Google Scholar] [CrossRef] [PubMed]
- Zhao, J.; Gao, Y.; Yang, Z.; Li, J.; Feng, Y.; Qin, Z.; Bai, Z. Truck traffic speed prediction under non-recurrent congestion: Based on optimized deep learning algorithms and GPS data. IEEE Access 2019, 7, 9116–9127. [Google Scholar] [CrossRef]
- Ibarra-Espinosa, S.; Ynoue, R.; Giannotti, M.; Ropkins, K.; de Freitas, E.D. Generating Traffic Flow and Speed Regional Model Data Using Internet GPS Vehicle Records. MethodsX 2019, 6, 2065–2075. [Google Scholar] [CrossRef] [PubMed]
- Drake, J.; Schofe, R.J.; May, A. A statistical analysis of speed-density hypotheses. Highw. Res. Rec. 1965, 154, 53–87. [Google Scholar]
- Garber, N.J.; Hoel, L.A. Traffic and Highway Engineering, 3rd ed.; Cengage Learning: Boston, MA, USA, 2002; pp. 173–176. [Google Scholar]
- Leong, L.V.; Azahar, A.M. Estimating Space-Mean Speed for Rural and Suburban Highways in Malaysia. In Proceedings of the 9th International Conference of Eastern Asia Society for Transportation Studies, Jeju, Republic of Korea, 20–23 June 2011; Volume 8, p. 295. [Google Scholar]
- MOCT. National Spacial Data Infrastructure Portal. 2023. Available online: http://www.nsdi.go.kr/lxportal/?menuno=2679 (accessed on 10 July 2023).











| Accident Type | Road Type | Number of Accidents | Number of Deaths | Number of Injured |
|---|---|---|---|---|
| Head-on collision | National highway | 7849 | 110 | 12,590 |
| Provincial road | 5376 | 88 | 8707 | |
| Metropolitan city road | 28,854 | 112 | 42,697 | |
| City road | 25,989 | 207 | 38,946 | |
| County road | 3568 | 48 | 5587 | |
| Expressway | 1333 | 10 | 2374 | |
| Unknown | 3588 | 15 | 5255 | |
| Rear-end collision | National highway | 4521 | 66 | 8403 |
| Provincial road | 2052 | 27 | 3736 | |
| Metropolitan city road | 11,917 | 48 | 19,860 | |
| City road | 8820 | 69 | 15,075 | |
| County road | 694 | 16 | 1176 | |
| Expressway | 1943 | 100 | 4852 | |
| Unknown | 1257 | 3 | 2091 | |
| Etc./unknown | National highway | 4729 | 41 | 7093 |
| Provincial road | 2171 | 18 | 3301 | |
| Metropolitan city road | 17,893 | 75 | 25,026 | |
| City road | 13,276 | 69 | 18,890 | |
| County road | 739 | 8 | 1097 | |
| Expressway | 1374 | 27 | 2775 | |
| Unknown | 3733 | 14 | 5191 |
| Statistics | S1 | S2 | S3 | S4 | S5 | S6 | S7 | S8 | Average |
|---|---|---|---|---|---|---|---|---|---|
| Number | 280 | 342 | 202 | 195 | 219 | 275 | 299 | 121 | 241 |
| Sum | 23,507 | 27,657 | 16,885 | 17,631 | 19,003 | 25,488 | 28,132 | 11,176 | 21,185 |
| Average | 83.95 | 80.87 | 83.59 | 90.42 | 86.77 | 92.68 | 94.09 | 92.36 | 88.09 |
| Median | 81 | 81 | 83 | 91 | 87 | 87 | 92 | 93 | 86.88 |
| Standard deviation (population) | 7.60 | 8.29 | 8.61 | 11.41 | 9.71 | 9.34 | 9.37 | 11.25 | 9.45 |
| Standard deviation (samples) | 7.61 | 8.30 | 8.63 | 11.44 | 9.73 | 9.35 | 9.38 | 11.29 | 9.47 |
| Minimum | 73 | 66 | 63 | 71 | 73 | 78 | 80 | 77 | 72.63 |
| Maximum | 108 | 103 | 109 | 108 | 108 | 109 | 109 | 109 | 107.88 |
| Range | 35 | 37 | 46 | 37 | 35 | 31 | 29 | 32 | 35.25 |
| Minority | 106 | 99 | 69 | 83 | 93 | 89 | 84 | 97 | 90.00 |
| Majority | 81 | 86 | 77 | 81 | 87 | 87 | 87 | 109 | 86.88 |
| Variety | 27 | 36 | 32 | 27 | 31 | 26 | 29 | 17 | 28.13 |
| Time | 1–30 April 2018 | Region of Interest (Road) | Expressway No. 50 in Gyeonggi-do |
| Data Size | Approx. 3.13 TB (Approx. 22.35 billion files, intervals of 1 s) | Number of Vehicles | 2775 |
| Data Fields | Field Name | Attribute | Note |
| T_KEY | Trip key | Encoding | |
| CARNUM | Car number | Encoding | |
| SPEED | Vehicle speed | km/h | |
| WGS84_X | Vehicle location X | Latitude coordinate (WGS84) | |
| WGS84_Y | Vehicle location Y | Longitude coordinate (WGS84) | |
| AZIM | GIS azimuth | Degree | |
| TIME | Time | Date-hour-minute-second (18042809074000) |
| Expressway | Data Fields | ||||
|---|---|---|---|---|---|
| Node | Link | Field Name | Attribute | Value | |
| Nationwide | 4501 | 9835 | LINK_ID | Link ID | Digit (2440063100) |
| LANES | Number of lanes | Digit (5) | |||
| ROAD_NO | Road number | Digit (1) | |||
| Gyeonggi-do | 951 | 2133 | ROAD_NAME | Road name | Text (Youngdong) |
| CONNECT | Link | Digit (000/101) | |||
| MAX_SPD | Maximum speed limit | Digit (110 km/h) | |||
| LENGTH | Link length | Digit (344.7723755 km) | |||
| Grid Level | Eastbound | Westbound | ||||||
|---|---|---|---|---|---|---|---|---|
| ID Instance | Average TMS | Average SMS | Grid Count | ID Instance | Average TMS | Average SMS | Grid Count | |
| 5 | 20301 | 89.29 | 88.19 | 8 | 20301 | 85.65 | 84.92 | 4 |
| 6 | 212033 | 83.78 | 82.22 | 2 | 213033 | 89.54 | 88.67 | 5 |
| 7 | 2120231 | 80.44 | 78.78 | 3 | 2120333 | 88.88 | 87.83 | 10 |
| 8 | 21202303 | 62.46 | 60.65 | 8 | 21231011 | 93.92 | 93.44 | 8 |
| 9 | 212032032 | 74.85 | 73.77 | 9 | 212311101 | 80.10 | 79.12 | 9 |
| 10 | 2031022200 | 77.25 | 76.52 | 8 | 2031210231 | 83.56 | 82.66 | 11 |
| 11 | 20312013210 | 75.60 | 74.31 | 5 | 21230001013 | 89.85 | 89.31 | 13 |
| 12 | 203131231212 | 80.46 | 77.97 | 135 | 212310103130 | 88.70 | 86.19 | 63 |
| Grid ID | TMS | SMS | Flow | Grid ID | TMS | SMS | Flow | Grid ID | TMS | SMS | Flow |
|---|---|---|---|---|---|---|---|---|---|---|---|
| 212300011203 | 97.91 | 96.91 | SF | 212311110300 | 82.37 | 77.41 | UF | 212300000311 | 111.12 | 111.11 | SF |
| 212300011202 | 100.63 | 100.58 | SF | 212032031223 | 48.19 | 42.32 | UF | 212300000310 | 110.42 | 110.39 | SF |
| 212300011201 | 78.33 | 77.94 | SF | 203121023003 | 81.14 | 80.84 | SF | 213200013001 | 96.40 | 95.99 | SF |
| 212300011200 | 103.86 | 103.84 | SF | 203121023002 | 67.12 | 60.04 | UF | 213200013000 | 5.50 | 5.45 | SF |
| 212300001201 | 112.61 | 112.53 | SF | 203130321211 | 4.00 | 3.87 | SF | 212310102113 | 98.22 | 97.98 | SF |
| 212300001200 | 111.06 | 111.04 | SF | 203130321210 | 78.92 | 78.86 | SF | 212310102112 | 101.53 | 101.50 | SF |
| 212300010123 | 99.64 | 98.79 | SF | 212022113233 | 81.69 | 81.56 | SF | 212300001123 | 108.50 | 108.48 | SF |
| 212300010122 | 102.44 | 102.12 | SF | 212022113232 | 80.31 | 80.17 | SF | 212300001122 | 109.44 | 109.44 | SF |
| 212300010023 | 104.96 | 104.80 | SF | 212022103131 | 46.93 | 13.00 | UF | 212300000301 | 107.94 | 107.94 | SF |
| 212300010022 | 108.47 | 108.47 | SF | 212022103130 | 13.11 | 8.92 | SF | 212300000300 | 105.38 | 105.36 | SF |
| 212310103102 | 69.00 | 48.57 | UF | 213200011222 | 53.50 | 14.89 | UF | 212310103121 | 100.24 | 100.14 | SF |
| 212310103003 | 96.67 | 96.29 | SF | 212022113223 | 79.31 | 79.15 | SF | 212310103120 | 101.06 | 101.00 | SF |
| 212310103002 | 97.29 | 97.01 | SF | 212022113222 | 77.86 | 77.69 | SF | 212300001133 | 107.96 | 107.88 | SF |
| 212300011212 | 88.40 | 85.29 | UF | 212022113220 | 81.50 | 81.22 | SF | 212300001132 | 108.90 | 108.85 | SF |
| 212311100311 | 101.88 | 101.81 | SF | 213032233303 | 45.33 | 43.88 | SF | 212300001033 | 110.05 | 110.03 | SF |
| 212311100310 | 102.60 | 102.48 | SF | 213032233202 | 75.50 | 68.51 | UF | 212300001032 | 110.78 | 110.75 | SF |
| 212311110311 | 80.36 | 74.69 | UF | 212311111301 | 86.60 | 83.80 | UF | 212300010033 | 102.92 | 102.70 | SF |
| 212311110310 | 81.90 | 76.58 | UF | 212311111300 | 83.12 | 80.40 | UF | 212300010032 | 104.68 | 104.50 | SF |
| 212310103013 | 96.00 | 95.30 | SF | 212311111310 | 96.00 | 94.34 | SF | 212310103133 | 100.81 | 100.64 | SF |
| 212310103012 | 96.93 | 96.40 | SF | 212300010311 | 104.15 | 104.12 | SF | 212310103132 | 99.67 | 99.49 | SF |
| 212311110301 | 81.03 | 75.68 | UF | 212300010310 | 104.85 | 104.82 | SF | 212310103130 | 103.25 | 103.25 | SF |
| Count | VDS_ID | Distance (km) | VDS Zone Length (m) | Conzone ID | Instantaneous Speed (km/h) |
|---|---|---|---|---|---|
| 1 | 0500VDE00100 | 1.3 | 1240 | 0500CZE010 | |
| 2 | 0500VDE00200 | 2.3 | 1050 | 0500CZE010 | |
| 3 | 0500VDE00300 | 3.4 | 1300 | 0500CZE010 | |
| 4 | 0500VDE00400 | 4.9 | 850 | 0500CZE010 | |
| 5 | 0500VDE00500 | 6.05 | 2960 | 0500CZE020 | |
| 6 | 0500VDE00700 | 8.7 | 1340 | 0500CZE025 | |
| 7 | 0500VDE00800 | 9.9 | 740 | 0500CZE025 | |
| 8 | 0500VDE00900 | 11.3 | 2500 | 0500CZE030 | 66 |
| 9 | 0500VDE01000 | 12.6 | 660 | 0500CZE040 | 106 |
| 10 | 0500VDE01100 | 13.8 | 1300 | 0500CZE040 | 126 |
| ⋮ | ⋮ | ⋮ | ⋮ | ⋮ | |
| 95 | 0500VDE09400 | 109.9 | 1350 | 0500CZE200 | 89 |
| 96 | 0500VDE09500 | 111.2 | 1950 | 0500CZE200 | |
| Minimum | 330 | 49 | |||
| Maximum | 2960 | 126 |
| Count | Length (m) | CHGRID | Average Speed (km/h) | Flow |
|---|---|---|---|---|
| 1 | 599.52 | 212311111300 | 83.12 | UF |
| 2 | 599.52 | 212311111301 | 86.60 | UF |
| 3 | 599.60 | 21320000 | 107.62 | SF |
| 4 | 472.33 | 212301 | 85.19 | SF |
| ⋮ | ⋮ | ⋮ | ⋮ | ⋮ |
| 8 | 4900.36 | 212310103133 | 100.81 | SF |
| 9 | 468.00 | 212301 | 85.19 | SF |
| 10 | 4900.36 | 212310103130 | 103.25 | SF |
| ⋮ | ⋮ | ⋮ | ⋮ | ⋮ |
| 27 | 39.16 | 21231011 | 99.78 | SF |
| ⋮ | ⋮ | ⋮ | ⋮ | ⋮ |
| 320 | 599.52 | 2123111112 | 82.50 | SF |
| 321 | 599.52 | 21320000 | 107.62 | SF |
| Minimum | 39.16 | 4.00 | ||
| Maximum | 5450.80 | 112.61 |
Disclaimer/Publisher’s Note: The statements, opinions and data contained in all publications are solely those of the individual author(s) and contributor(s) and not of MDPI and/or the editor(s). MDPI and/or the editor(s) disclaim responsibility for any injury to people or property resulting from any ideas, methods, instructions or products referred to in the content. |
© 2023 by the author. Licensee MDPI, Basel, Switzerland. This article is an open access article distributed under the terms and conditions of the Creative Commons Attribution (CC BY) license (https://creativecommons.org/licenses/by/4.0/).
Share and Cite
Chong, K.S. Classification of Speed Change and Unstable Flow Segments Using Geohash-Encoded Vehicle Big Data. Sustainability 2023, 15, 14684. https://doi.org/10.3390/su152014684
Chong KS. Classification of Speed Change and Unstable Flow Segments Using Geohash-Encoded Vehicle Big Data. Sustainability. 2023; 15(20):14684. https://doi.org/10.3390/su152014684
Chicago/Turabian StyleChong, Kyu Soo. 2023. "Classification of Speed Change and Unstable Flow Segments Using Geohash-Encoded Vehicle Big Data" Sustainability 15, no. 20: 14684. https://doi.org/10.3390/su152014684
APA StyleChong, K. S. (2023). Classification of Speed Change and Unstable Flow Segments Using Geohash-Encoded Vehicle Big Data. Sustainability, 15(20), 14684. https://doi.org/10.3390/su152014684

