Next Article in Journal
The Clustering Characteristics and Driving Mechanisms of Tourist Preference for 5A Scenic Spots from the Dynamic Spatio-Temporal Perspective: A Case of Jiangsu in Eastern Coastal Area of China
Previous Article in Journal
Ammonia Production from Clean Hydrogen and the Implications for Global Natural Gas Demand
 
 
Font Type:
Arial Georgia Verdana
Font Size:
Aa Aa Aa
Line Spacing:
Column Width:
Background:
Article

Retired Aircraft Recovery: Based on Stackelberg Game Method from the Perspective of Closed-Loop Supply Chain

1
School of Economics and Management, Civil Aviation University of China, Tianjin 300300, China
2
School of Transportation Science and Engineering, Civil Aviation University of China, Tianjin 300300, China
*
Author to whom correspondence should be addressed.
Sustainability 2023, 15(2), 1615; https://doi.org/10.3390/su15021615
Submission received: 2 December 2022 / Revised: 4 January 2023 / Accepted: 5 January 2023 / Published: 13 January 2023
(This article belongs to the Section Waste and Recycling)

Abstract

At present, the recovery and disposal of decommissioned aircraft have not yet formed a complete system in China. In this paper, a two-channel closed-loop supply chain model composed of an aeronautical materials manufacturer, an aircraft manufacturer, and a third-party recycler is established theoretically. The situation of supply chain recycling under the leadership of the Aeronautical Materials manufacturer, aircraft manufacturer, and third-party recycler is studied. In addition, the third-party recycler and centralized decision making are analyzed through game theory. The results show that the overall revenue of the supply chain is optimal under centralized decision making, but not Pareto optimal under decentralized decision making. Therefore, a revenue-sharing contract is used to coordinate and optimize the supply chain. Finally, the influence of different power structures and model parameters on the two-channel closed-loop supply chain model and the effect of contract coordination are discussed by numerical analysis.

1. Introduction

Affected by COVID-19, global airlines have been hit hard. In order to alleviate cash consumption, the airline industry mostly adopts the most cost-effective way to improve operating efficiency by eliminating old large aircraft. From the perspective of sustainable development, aircraft is one of the most important fixed assets of airlines, and its asset value management has an important impact on the operating efficiency of enterprises [1]. Therefore, it is particularly necessary to maximize the residual value of retired aircraft. The market for aircraft recycling is emerging with great future relevance due to the increasing number of aircraft retirements expected in the future [2]. For the “retirement tide” of aircraft ushered in by the global civil aviation industry, the recovery and disposal of retired aircraft will be an important decision test faced by all airlines, leasing companies, aircraft manufacturers, etc. How to deal with retired aircraft, while avoiding damage to the ecological environment, to develop their surplus value and turn waste into treasure, should be highly valued. To improve the efficiency of aircraft use and the sustainability of development, the most common measure to deal with retired aircraft internationally is to dismantle them at present. The aircraft disassembly industry is very mature abroad, and has formed a set of aircraft disassembly and air material market circulation industry chains [3]. In the international aviation market, take a B737 aircraft with a total price of USD 50 million as an example. After its service life (about 25 years), the recovery price is only one-tenth of that of the new aircraft, that is, about USD 5 million. However, after disassembly, it can be sold for about USD 15 million in the parts market. In addition, passenger aircraft modification is another major treatment measure for retired aircraft. As the last link of the aircraft life cycle, the aircraft disassembly business has received more and more attention in recent years, and the market prospect is quite clear. The formation and development of the aircraft disassembly industry come from the acceleration of the global aircraft retirement trend and the requirements for low carbon and environmental protection. At present, the enterprises involved in aircraft disassembly mainly include three categories, namely, professional aircraft disassembly companies, aircraft maintenance enterprises, and major aircraft manufacturers. The main manufacturers are becoming more and more actively involved, which is a significant feature of the development of the aircraft disassembly business in recent years [4]. Among them, Boeing, Airbus, and other major aircraft manufacturers have not set up a special organization to engage in aircraft disassembly and recovery business, but they actively carry out technical research on disassembly and recovery through projects. As an important participant in the aircraft disassembly market, the main aircraft manufacturer can not only broaden the source of income, but also have a congenital advantage to fully understand the parts, technology, and other aspects. By participating in the residual value processing of aircraft, the main aircraft manufacturer can maximize the utilization of resources and further improve the sales rate of aircraft.
The research boom on the recovery management of retired aircraft began around 2010. Early scholars focused their research on the theoretical method of providing business guidance for the recovery of retired aircraft. For example, Zahedi et al. [5] adopted three key disassembly parameters, including time, difficulty, and material compatibility, to evaluate the efficiency of disassembly strategies according to technical, economic, and environmental standards. In recent years, research has focused on the evaluation of the recovery value of retired aircraft and the construction of the recovery system. For example, Zhao et al. [6] put forward an economic index to evaluate the economic performance of aircraft recovery and different strategic trade-offs, and evaluated the aircraft recovery strategy. Samira et al. [7] proposed an aircraft scrapping treatment method that comprehensively considered lean management, sustainable development, and global business environment, and built a comprehensive optimization framework to support strategy and management decisions through the fuzzy interactive method and genetic algorithm. Yakovlieva et al. [8] considered the characteristics of the disposal of retired aviation products, analyzed the existing methods and technologies, and introduced the complex utilization system of aviation equipment to solve the utilization and recovery of retired aircraft and its components. In the existing research, there is a lack of discussion on the game cooperation relationship and income analysis between the recycling channels and the recycling participants of retired aircraft. In this paper, we will introduce the concept of the closed-loop supply chain to further study the recycling of retired aircraft.
The closed-loop supply chain realizes multiple material cycles through the connection of forward and reverse links. On the one hand, it effectively reduces resource consumption and waste discharge, which is conducive to environmentally sustainable development [9]. On the other hand, it can help enterprises reduce costs and improve economic benefits [10]. Because of the huge positive externalities of the closed-loop supply chain, the research and practice related to it have attracted the extensive attention of international scholars. Savaskan [11], the earliest scholar of the closed-loop supply chain, built a closed-loop supply chain game model in which manufacturers, retailers, and third parties all participate in recycling, and obtained an optimal recycling mode through comparative analysis of the game results. Subsequently, the research on the closed-loop supply chain has gradually expanded to various fields, and the research perspective is becoming more and more in-depth and diversified. Huang [12] studied the return problem of randomly used products in a closed-loop supply chain consisting of a manufacturer and a retailer from the perspective of fairness, and solved the equilibrium feedback control strategies with no fairness concern retailer, gap fairness concern retailer, and self-due fairness concern retailer. The research on the closed-loop supply chain can be divided into two modes: single-channel recycling and dual-channel recycling. Zhang et al. [13], Li et al. [14], and Jian et al. [15] studied the decision making and revenue among participants by establishing a single-channel closed-loop supply chain. The dual-channel closed-loop supply chain model adds recycling channels to enrich and complete the supply chain system, covering multiple links of production, sales, and recycling, and also complicates the operation of the model. Zhang et al. [16], Ma et al. [17], and Zheng et al. [18] used the dual-channel closed-loop supply chain model to discuss the decision making and benefits among participants under different recycling channels. In addition, in recent years, more and more scholars have studied the closed-loop supply chain from the perspective of green development and sustainability. Gan et al. [19] analyzed the green degree and pricing strategy of centralized and decentralized settings by building a Stackelberg game model for retailers.
This paper applies the closed-loop supply chain to the field of aircraft retirement recovery; establishes a dual-channel recovery supply chain with aeronautical materials manufacturers, aircraft manufacturers, and third-party recyclers as the main body; and discusses the benefits of the supply chain and the effects of aircraft recovery under the leadership of different power structures, in order to seek the optimal overall benefits of the supply chain.

2. Problem Description and Model Assumptions

2.1. Problem Description

The closed-loop supply chain consists of a single aeronautical materials manufacturer, a single aircraft manufacturer, and a single third-party recycler, as shown in Figure 1. In the forward supply chain, aeronautical materials manufacturers supply new aircraft parts and recycled aircraft parts to aircraft manufacturers for aircraft manufacturing, and aircraft manufacturers sell new aircraft and recycled aircraft to airlines. In the reverse supply chain, the aircraft manufacturer and the third-party recycler, respectively, recycle the retired aircraft of the airline company, and the disassembled aircraft materials are recycled by the aircraft material manufacturer for remanufacturing.
In the closed-loop supply chain system, when the members make decisions, they usually involve the order of priority, and the decision-making members understand each other’s information. The Stackelberg game belongs to the complete information dynamic game, and the model is more consistent with the actual situation of the closed-loop supply chain system, which can be effectively applied to the system.
  • In the Stackelberg game, there will be a leader and a follower.
  • In the closed-loop supply chain pricing and coordination model involved in this paper, the information sharing and joint decision making of supply chain participants in centralized decision making have been aimed at maximizing the overall profit of the supply chain, while in decentralized decision making, the leader is assumed by the supply chain participants in turn, and the followers are the remaining participants in the supply chain.
  • In this paper, the follower will make decisions based on the decision of the leader to maximize the personal profit level, and the leader will optimize their own decisions based on their predicted follower’s response strategy.

2.2. Model Assumptions

Hypothesis 1:
The relationship between the market demand selling price for new aircraft and circulating aircraft is as follows: S 1 = S φ J f 1 + ω J f 2 ;   S 2 = S φ J f 2 + ω J f 1 .
Hypothesis 2:
The relationship between the recovery volume of retired aircraft and the recovery price of aircraft manufacturers and third-party recyclers is as follows: L z = α a 1 β a 2 , L s = α a 2 β a 1 , α > β > 0, the increase in α indicates that airlines are more sensitive to the recovery price, the increase in β indicates the relationship between increasing the recovery volume of retired aircraft from aircraft manufacturers and third-party recyclers and the recovery price is that the competition intensity of dual-channel recovery increases.
Hypothesis 3:
There is a cost difference between recycled aircraft parts and new aircraft parts used by aircraft, namely, 0 < C h < C x .
Hypothesis 4:
In order to ensure the profits and recovery enthusiasm of all parties in the closed-loop supply chain, C h < J l 2 < J l 1 < J f 2 < J f 1 , 0 < a 3 < C h C x , a 1 < a 3 ,   a 2 < a 3 .
Hypothesis 5:
The manufacturer of aircraft parts, taking environmental protection as the starting point, recycles the aircraft parts on the retired aircraft and can reuse them after reprocessing.
Hypothesis 6:
The costs related to the supply chain in this article, such as dismantling costs and logistics costs, are included in the pricing and will not be calculated separately.

2.3. Parameter Definition

With reference to the existing literature, Table 1 describes the variables and parameters involved in the model. In order to distinguish the different models, the superscript c is used in this study to indicate centralized decision making, the superscript t indicates that the manufacturer of aviation materials dominates, the superscript z indicates that the aircraft manufacturer dominates, and the superscript s indicates that the third-party recycler dominates.

3. Model Construction and Analysis

3.1. Centralized Decision-Making Model

The centralized decision-making model, namely, aeronautical materials manufacturers, aircraft manufacturers, and third-party recycling companies, shall complete the information at the same time, negotiate together, and make joint decisions to achieve the goal of maximizing the profits of the supply chain system and determine the optimal selling price of new aircraft parts J l 1 , sales price of circulating aircraft parts J l 2 , price of new aircraft J f 1 , selling price J of circulating aircraft J f 2 and recovery price a 1 and a 2 . The expected profit function in the supply chain is as follows:
P t = ( J l 1 C x ) ( S φ J f 1 + ω J f 2 ) + ( J l 2 C h ) ( S φ J f 2 + ω J f 1 ) + σ ( C x C h ) [ ( α a 1 β a 2 ) + ( α a 2 β a 1 ) ] a 3 [ ( α a 1 β a 2 ) + ( α a 2 β a 1 ) ] ; P z = ( J f 1 J l 1 ) ( S φ J f 1 + ω J f 2 ) + ( J f 2 J l 2 ) ( S φ J f 2 + ω J f 1 ) + ( a 3 a 1 ) ( α a 1 β a 2 ) ; P s = ( a 3 a 2 ) ( α a 2 β a 1 ) ; m a x P c = P t + P z + P s   = ( J f 1 C x ) ( S φ J f 1 + ω J f 2 ) + ( J f 2 C h ) ( S φ J f 2 + ω J f 1 ) + σ ( C x C h ) [ ( α a 1 β a 2 ) + ( α a 2 β a 1 ) ] a 1 ( α a 1 β a 2 ) a 2 ( α a 2 β a 1 )
It can be found from Formula (1) that the air material price of the air material manufacturer J l 1 , J l 2 and recovery price a 3 will be canceled out, which means that J l 1 ,   J l 2 ,   a 3 will not affect the total profit of the closed-loop supply chain. Calculate the first-order partial derivative of the decision variable J f 1 , J f 2 , a 1 , a 2 in Equation (1):
{ P c J f 1 = S + ( C x 2 J f 1 ) φ + ( 2 J f 2 C h ) ω P c J f 2 = S + ( 2 J f 1 C x ) ω + ( C h 2 J f 2 ) φ P c a 1 = σ ( C x C h ) ( α β ) 2 α a 1 + 2 β a 2 P c a 2 = σ ( C x C h ) ( α β ) + 2 β a 1 2 α β a 2
The Hessian matrix is used to determine the extreme value problem of multivariate functions. Formula (3) shows the corresponding Hessian matrix is as follows:
H = ( 2 P c J f 1 2 2 P c J f 1 J f 2 2 P c J f 1 a 1 2 P c J f 1 a 2 2 P c J f 2 J f 1 2 P c J f 2 2 2 P c J f 2 a 1 2 P c J f 2 a 2 2 P c a 1 J f 1 2 P c a 1 J f 2 2 P c a 1 2 2 P c a 1 a 2 2 P c a 2 J f 1 2 P c a 2 J f 2 2 P c a 2 a 1 2 P c a 2 2 ) = ( 2 φ 2 ω 0   0   2 ω 2 φ 0   0 0 0 0 0 2 α 2 β 2 β 2 α )
When φ > ω, H 1 = 2 φ < 0 , H 2 = 4 φ 2 4 ω 2 > 0 , H 3 = 8 α ( ω 2 φ 2 ) < 0 ,   H   4 = 16 ( φ 2 ω 2 ) ( α 2 β 2 ) > 0 , matrix H is negative definite. According to the rule of the Hessian matrix to judge multivariate functions, the total profit of supply chain Pc is a strictly concave function about decision variables, and there is a unique maximum value in the matrix. When its first derivative is 0, the optimal solution of the decision variable can be obtained by solving Equation (3):
J f 1 c = S + C x ( φ ω ) 2 ( φ ω ) ; J f 2 c = S + C h ( φ ω ) 2 ( φ ω ) ; a 1 c = a 2 c = σ ( C x C h ) 2 ;
Therefore, we can substitute variables J f 1 ,   J f 2 , a 1 , a 2 in the game model of centralized decision making, and obtain the total recovery and total income as follows:
P c c = 2 σ 2 ( C x C h ) 2 ( φ ω ) ( α β ) + 2 S 2 2 S ( C x + C h ) ( φ ω ) + ( φ ω ) ( C x 2 φ 2 C x C h ω + C h 2 φ ) 4 ( φ ω ) ; K c c = σ ( C x C h ) ( α β ) .

3.2. Decentralized Decision-Making Model

3.2.1. Material Manufacturers Dominate the Stackelberg Game Model

When the air material manufacturer takes the lead, the air material manufacturer first determines the selling price and recycling price of the two types of aircraft parts in the closed-loop supply chain, and then, according to the decision of the aviation material manufacturer, the aircraft manufacturer determines the selling price and recycling price of the new aircraft and circulating aircraft, respectively. Similarly, the third-party recycler determines the recycling price based on the decision results of the air material manufacturer. The three supply chain participants put their own interests in the first place to make independent decisions, regardless of the impact of their decision-making results on the overall interests of the supply chain.
    m a x P t = ( J l 1 C x ) ( S φ J f 1 + ω J f 2 ) + ( J l 2 C h ) ( S φ J f 2 + ω J f 1 ) + σ ( C x C h ) [ ( α a 1 β a 2 ) + ( α a 2 β a 1 ) ] a 3 [ ( α a 1 β a 2 ) + ( α a 2 β a 1 ) ]
m a x P z = ( J f 1 J l 1 ) ( S φ J f 1 + ω J f 2 ) + ( J f 2 J l 2 ) ( S φ J f 2 + ω J f 1 ) + ( a 3 a 1 ) ( α a 1 β a 2 )
m a x P s = ( a 3 a 2 ) ( α a 2 β a 1 )
Solve by the reverse-order induction method. First, calculate the first partial derivative of J f 1 , J f 2 , a 1 in Equation (5) and a 2 in Equation (6), respectively, and we can obtain:
{ P z J f 1 = S ( 2 J f 1 J l 1 ) φ + ( 2 J f 2 J l 2 ) ω P z J f 2 = S 2 φ J f 2 + ( 2 J f 1 J l 1 ) ω ( 2 J f 2 J l 2 ) φ P z a 1 = β a 2 + α ( a 3 2 a 1 ) P s a 2 = β a 1 + α ( a 3 2 a 2 )
According to Formula (7), the Hessian matrix of P z about J f 1 , J f 2 , a 1 is as follows:
H = ( 2 φ 2 ω 0 2 ω 2 φ 0 0 0 2 α )
When φ > ω, H 1 = 2 φ < 0 , H 2 = 4 φ 2 4 ω 2 > 0, H 3 = 8 α ( ω 2 φ 2 ) < 0 , it can be obtained through calculation that the Hessian matrix is negative definite at this time, P z can obtain about the maximum value of J f 1 , J f 2 , and a 1 is the point where the partial derivative is equal to 0.
Finding the second-partial derivative of a 2 over P s , 2 P s a 2 2 = 2 α < 0 , it is easy to know there is a maximum value of P s , so that the first partial derivative is equal to 0:
{ J f 1 = S   +   J l 1 ( φ     ω ) 2 ( φ     ω ) J f 2 = S   +   J l 2 ( φ     ω ) 2 ( φ     ω ) a 1 = a 2 = a 3 α 2 α     β
Substitute the results in Equation (8) into Equation (4) to find J l 1 , J l 2 , a 3 , find the first-order partial derivative to make it 0, and the solution is as follows:
{ J l 1 t = S   +   C x ( φ     ω ) 2 ( φ     ω ) J l 2 t = S   +   C h ( φ     ω ) 2 ( φ     ω ) a 3 t = σ ( C x     C h ) 2
These optimal supply chain prices and the material manufacturer’s optimal price in this model are J l 1 t , J l 2 t , a 3 t , and substituting them into (8) can obtain the aircraft manufacturer’s and third-party recycler’s optimal price:
{ J f 1 t = 3 S   +   ( φ     ω ) C x 4 ( φ     ω ) J f 2 t = 3 S   +   ( φ     ω ) C h 4 ( φ     ω ) a 1 t = a 2 t = α σ ( C x     C h ) 2 ( 2 α     β )
Substitute J l t , J f t , a 1 t , a 2 t , a 3 z into Equation (1). The model that can be obtained under the optimal total scrap and optimal total revenue is:
P c t = α σ 2 ( C x C h ) 2 ( α     β ) ( 3 α     2 β ) 2 ( 2 α     β ) 2 + 3   [ φ 2 ( C x 2   +   C h 2 ) φ ( C x   +   C h ) ( ω C x   +   ω C h   +   S )   +   2 ( ω C x   +   S ) ( ω C h   +   S ) ] 16 ( φ     ω ) K c t = α σ ( C x     C h ) ( α     β ) ( 2 α     β ) .

3.2.2. Aircraft Manufacturers Dominate the Stackelberg Game Model

In order to facilitate calculation, the unit profits of the two aircraft introduced into the Stackelberg game model dominated by aircraft manufacturers are, respectively, x 1 , x 2 . The recycling profit of retired aircraft of aircraft manufacturers is e 1 . Recovered profits of retired aircraft from third parties is e 2 , then J f 1 = J l 1 + x 1 , J f 2 = J l 2 + x 2 , a 1 = a 3 e 1 , a 2 = a 3 e 2 . At this time, x and e l are determined first according to the aircraft manufacturer. The air material manufacturer and the third party determine J l , a 3 , a 2 , then the decentralized decision-making model led by the aircraft manufacturer is:
m a x P t = ( J l 1 C x ) ( S φ ( J l 1 + x 1 ) + ω ( J l 2 + x 2 ) ) + ( J l 2 C h ) ( S φ ( J l 2 + x 2 ) + ω ( J l 1 + x 1 ) ) + [ σ ( C x C h ) a 3 ]   [ ( a 3 e 1 ) ( α β ) + ( a 3 e 2 ) ( α β ) ]
m a x P z = x 1 ( S φ ( J l 1 + x 1 ) + ω ( J l 2 + x 2 ) ) + x 2 ( S φ ( J l 2 + x 2 ) + ω ( J l 1 + x 1 ) ) + e 1 [ α ( a 3 e 1 ) β ( a 3 e 2 ) ]
m a x P s = e 2   [ α ( a 3 e 2 ) β ( a 3 e 1 ) ]
The reverse-order induction method is adopted to solve the problem. Based on the principle of self-interest priority, J l 1 , J l 2 , a 3 in Equation (10) is obtained, and making the first-order partial derivative of e 2 in Equation (12) of the above equal to 0, we can obtain:
{ J l 1 = S + ( φ ω ) ( C x x 1 ) 2 ( φ ω ) J l 2 = S + ( φ ω ) ( C h x 2 ) 2 ( φ ω ) a 3 = 4 α σ ( C x C h ) + e 1 ( 2 α + β ) 7 α + β e 2 = σ ( C x C h ) ( α β ) + e 1 ( 3 β + α ) 7 α + β
Substitute J l 1 , J l 2 , a 3 , e 2 into Equation (11) above, take the derivative of x 1 z , x 2 z , e 1 z and make it equal to 0, and solve to obtain the optimal unit profit and optimal recovery profit of the aircraft manufacturer in this model, as shown in Equation (14).
{ x 1 z = S C x ( φ ω ) 2 ( φ ω ) x 2 z = S φ C h ( φ ω ) 2 ( φ ω ) e 1 z = σ ( C x C h ) ( α β ) ( 2 α + β ) 5 α 2 + α β 2 β 2
Then, substitute x 1 z , x 2 z , e 1 z into Equation (13), so the optimal solutions under this model are:
J l 1 z = S + 3 C x ( φ ω ) 4 ( φ ω ) ; J l 2 z = S + 3 C h ( φ ω ) 4 ( φ ω ) ; J f 1 z = 3 S + C x ( φ ω ) 4 ( φ ω ) ; J f 2 z = 3 S + C h ( φ ω ) 4 ( φ ω ) ; a 1 z = α σ ( C x C h ) ( 10 α 3 + 9 α 2 β 3 α β 2 ) ( 7 α + β ) ( 5 α 2 + α β 2 β 2 ) ; a 2 z = σ ( C x C h ) ( 12 α 3 + 7 α 2 β α β 2 2 β 3 ) ( 7 α + β ) ( 5 α 2 + α β 2 β 2 ) ; a 3 z = σ ( C x C h ) ( 24 α 3 + 4 α 2 β 11 α β 2 β 3 ) ( 7 α + β ) ( 5 α 2 + α β 2 β 2 ) ;
Substituting J l z , J f z , a 1 z , a 2 z , a 3 z into (1), we can obtain the optimal total recovery and optimal total income of this model as follows:
P c z = 2 σ 2 ( C x C h ) 2 ( α β ) ( 263 α 6 + 236 α 5 β 138 α 4 β 2 131 α 3 β 3 + 11 α 2 β 4 + 13 α β 5 + 2 β 6 ) ( 7 α + β ) 2 ( 5 α 2 + α β 2 β 2 ) 2 + 3   [ φ 2 ( C x 2 + C h 2 ) φ ( C x + C h ) ( ω C x + ω C h + 2 S ) + 2 ( ω C x + S ) ( ω C h + S ) ] 16 ( φ ω ) K c z = σ ( C x C h ) ( α β ) ( 22 α 3 + 16 α 2 β 4 α β 2 2 β 3 ) ( 7 α + β ) ( 5 α 2 + α β 2 β 2 )

3.2.3. Stackelberg Game Model Dominated by the Third-Party Recycler

In the Stackelberg game model dominated by third-party recyclers, the decision-making order is that the third-party recyclers use their strong channel advantages to first determine their own recycling prices, and then the aeronautical materials manufacturers and aircraft manufacturers determine the sales prices of aircraft parts and aircraft and their respective recycling prices. The model solution method is similar to the above model and will not be described in detail. The optimal solution of the model dominated by third-party recyclers is as follows:
J l 1 s = S + 2 C x ( φ ω ) 3 ( φ ω ) ; J l 2 s = S + 2 C h ( φ ω ) 3 ( φ ω ) ; J f 1 s = 2 S + C x ( φ ω ) 3 ( φ ω ) ; J f 2 s = 2 S + C h ( φ ω ) 3 ( φ ω ) ; a 1 s = σ ( C x C h ) ( 12 α 3 + 7 α 2 β α β 2 2 β 3 ) ( 7 α + β ) ( 5 α 2 + α β 2 β 2 ) ; a 2 s = σ ( C x C h ) ( 10 α 3 + 9 α 2 β 3 α β 2 ) ( 7 α + β ) ( 5 α 2 + α β 2 β 2 ) ; a 3 s = σ ( C x C h ) ( 24 α 3 + 4 α 2 β 11 α β 2 β 3 ) ( 7 α + β ) ( 5 α 2 + α β 2 β 2 ) ;
The model of the optimal total scrap and optimal total revenue is:
P c s = 2 σ 2 ( C x C h ) 2 ( α β ) ( 263 α 6 + 236 α 5 β 138 α 4 β 2 131 α 3 β 3 + 11 α 2 β 4 + 13 α β 5 + 2 β 6 ) ( 7 α + β ) 2 ( 5 α 2 + α β 2 β 2 ) 2 + 2   [ φ 2 ( C x 2 + C h 2 ) φ ( C x + C h ) ( ω C x + ω C h + 2 S ) + 2 ( ω C x + S ) ( ω C h + S ) ] 9 ( φ ω ) ; K c s = σ ( C x C h ) ( α β ) ( 22 α 3 + 16 α 2 β 4 α β 2 2 β 3 ) ( 7 α + β ) ( 5 α 2 + α β 2 β 2 ) .

3.3. Analysis of Model Results under Power Structure Differences

This part mainly discusses the changes in the pricing, recovery price and quantity, respective profits, and the total revenue of the supply chain of aeronautical materials manufacturers, aircraft manufacturers, and third-party recyclers under different power structures. In order to distinguish different models, the superscript c is used to indicate centralized decision making, the superscript t indicates that the manufacturer of air materials dominates, the superscript z indicates that the manufacturer of aircraft dominates, and the superscript s indicates that the third-party recycler dominates.
Proposition 1:
Under different right structures, the comparison results between the selling price of new aircraft parts and that of recycled aircraft parts are as follows: J l 1 z < J l 1 s < J l 1 t , J l 2 z < J l 2 s < J l 2 t .
Proof: 
 
The new material price:
J l 1 t J l 1 s = S + C x ( φ ω ) 2 ( φ ω ) S + 2 C x ( φ ω ) 3 ( φ ω ) = S C x ( φ ω ) 6 ( φ ω ) > 0 J l 1 s J l 2 z = S + 2 C x ( φ ω ) 3 ( φ ω ) S + 3 C x ( φ ω ) 4 ( φ ω ) = S C x ( φ ω ) 12 ( φ ω ) > 0
Circulation material price:
J l 2 t J l 2 s = S + C h ( φ ω ) 2 ( φ ω ) S + 2 C h ( φ ω ) 3 ( φ ω ) = S C h ( φ ω ) 6 ( φ ω ) > 0 J l 2 s J l 2 z = S + 2 C h ( φ ω ) 3 ( φ ω ) S + 3 C h ( φ ω ) 4 ( φ ω ) = S C h ( φ ω ) 12 ( φ ω ) > 0
Proposition 2:
Under different right structures, the comparison results between the selling price of new aircraft and that of circulating aircraft are as follows: J f 1 c < J f 1 s < J f 1 z = J f 1 t , J f 2 c < J f 2 s < J f 2 z = J f 2 t .
Proof: 
 
The new plane price:
J f 1 z = J f 1 t = 3 S + ( φ ω ) C x 4 ( φ ω ) J f 1 z J f 1 s = 3 S + C x ( φ ω ) 4 ( φ ω ) 2 S + C x ( φ ω ) 3 ( φ ω ) = S C x ( φ ω ) 12 ( φ ω ) > 0 J f 1 s J f 1 c = 2 S + C x ( φ ω ) 3 ( φ ω ) S + C x ( φ ω ) 2 ( φ ω ) = S C x ( φ ω ) 6 ( φ ω ) > 0
Circulation plane price:
J f 2 z = J f 2 t = 3 S + ( φ ω ) C h 4 ( φ ω ) J f 2 z J f 2 s = 3 S + C h ( φ ω ) 4 ( φ ω ) 2 S + C h ( φ ω ) 3 ( φ ω ) = S C h ( φ ω ) 12 ( φ ω ) > 0 J f 2 s J f 2 c = 2 S + C h ( φ ω ) 3 ( φ ω ) S + C h ( φ ω ) 2 ( φ ω ) = S C h ( φ ω ) 6 ( φ ω ) > 0
Proposition 3:
Under different right structures, the comparison results of the recovery prices of aircraft manufacturers, third-party recyclers and aircraft material manufacturers are as follows: a 1 t < a 1 z < a 1 s < a 1 c , a 2 t < a 2 s < a 2 z < a 2 c , a 3 t < a 3 z = a 3 s .
Proof: 
 
Aircraft manufacturers recycling price:
a 1 c a 1 s = σ ( C x C h ) ( 11 α 2 β ) ( α 2 β 2 ) 2 ( 7 α + β ) ( 5 α 2 + α β 2 β 2 ) > 0 a 1 s a 1 z = 2 σ ( C x C h ) ( α β ) ( α 2 β 2 ) ( 7 α + β ) ( 5 α 2 + α β 2 β 2 ) > 0 a 1 z a 1 t = α σ ( C x C h ) ( α β ) ( 5 α 2 + 9 α β 8 β 2 ) 2 ( 2 α β ) ( 7 α + β ) ( 5 α 2 + α β 2 β 2 ) > 0
Third-party recycler recycling price:
a 2 c a 2 z = σ ( C x C h ) ( 11 α 2 β ) ( α 2 β 2 ) 2 ( 7 α + β ) ( 5 α 2 + α β 2 β 2 ) > 0 a 2 z a 2 s = 2 σ ( C x C h ) ( α β ) ( α 2 β 2 ) ( 7 α + β ) ( 5 α 2 + α β 2 β 2 ) > 0 a 2 s a 2 t = α σ ( C x C h ) ( α β ) ( 5 α 2 + 9 α β 8 β 2 ) 2 ( 2 α β ) ( 7 α + β ) ( 5 α 2 + α β 2 β 2 ) > 0
Material manufacturers recycling price:
a 3 s = a 3 z = σ ( C x C h ) ( 24 α 3 + 4 α 2 β 11 α β 2 β 3 ) ( 7 α + β ) ( 5 α 2 + α β 2 β 2 ) a 3 z a 3 t = α σ ( C x C h ) ( α β ) ( 13 α + 9 β ) 2 ( 7 α + β ) ( 5 α 2 + α β 2 β 2 ) > 0
Proposition 4:
The comparison results of the total recovery of the supply chain under different right structures are as follows: K c t < K c z = K c s < K c c .
Proof: 
 
K c c K c s = σ ( C x C h ) ( α β ) ( 57 α 3 + 7 α 2 β 17 α β 2 β 3 ) ( 7 α + β ) ( 5 α 2 + α β 2 β 2 ) > 0 K c s = K c z = σ ( C x C h ) ( α β ) ( 22 α 3 + 16 α 2 β 4 α β 2 2 β 3 ) ( 7 α + β ) ( 5 α 2 + α β 2 β 2 ) K c s K c t = σ ( C x C h ) ( α β ) 2 ( α + β ) ( 9 α 2 2 β 2 2 α β ) ( 2 α β ) ( 7 α + β ) ( 5 α 2 + α β 2 β 2 ) > 0
Proposition 5:
The comparison results of the total recovery of the supply chain under different right structures are as follows: P c c > P c s , P c z , P c t .
Proof: 
 
P c c P c t = σ 2 ( C x C h ) 2 ( α β ) 3 2 ( 2 α β ) 2 + φ 2 ( C x 2 + C h 2 ) + 2 ( ω C x + S ) ( ω C h + S ) φ ( C x + C h ) ( ω C x + ω C h + 2 S ) 16 ( φ ω ) > 0 P c c P c s = σ 2 ( C x C h ) 2 ( α β ) 2 ( 173 α 5 + 69 α 4 β 145 α 3 β 2 73 α 2 β 3 + 4 α β 4 + 4 β 5 ) 2 ( 7 α + β ) 2 ( 5 α 2 + α β 2 β 2 ) 2 + φ 2 ( C x 2 + C h 2 ) + 2 ( ω C x + S ) ( ω C h + S ) φ ( C x + C h ) ( ω C x + ω C h + 2 S ) 36 ( φ ω ) > 0 P c s P c z = 5 [ φ 2 ( C x 2 + C h 2 ) φ ( C x + C h ) ( ω C x + ω C h + 2 S ) + 2 ( ω C x + S ) ( ω C h + S ) ] 144 ( φ ω ) > 0
Propositions 1, 2, and 3 indicate that the sales price of aircraft under centralized decision making is the lowest, and the recovery price of retired aircraft is the highest among the four decision-making modes. This is because the supply chain decision makers take their own interests as the priority when making decentralized decisions. When aeronautical materials manufacturers are dominant, they can gain profits by increasing the sales price of aircraft parts, which will squeeze the profits of aircraft manufacturers. For their own consideration, aircraft manufacturers will correspondingly increase the sales price of aircraft, thus causing airlines to reduce the demand for aircraft. On the other hand, aeronautical materials manufacturers will benefit from lowering the recovery price in the recovery process. Similarly, when the aircraft manufacturer dominates, in order to maximize the revenue, the aircraft manufacturer obtains the aircraft parts at a lower price at the air material manufacturer, and in the recovery link, it obtains more profit margins through a lower recovery price.
Propositions 4 and 5 show that the total number of retired aircraft recovered and the total revenue of the supply chain under centralized decision making are the most in the four decision-making modes. The same reason is that the supply chain decision makers have lowered the recovery price based on the principle of giving priority to their own interests during decentralized decision making, which leads to the frustration of the overall recovery enthusiasm of the system, the decline of the number of retired aircraft recovered, and further affects the overall revenue of the supply chain.
To sum up, centralized decision making has greater advantages than decentralized decision making. Under centralized decision making, airlines will increase the demand for aircraft in the face of lower aircraft prices, while higher recovery prices encourage airlines to actively participate in recovery, which has achieved dual advantages of economic and environmental benefits. At this time, the closed-loop supply chain is operating well. However, the supply chain system under decentralized decision making cannot achieve the optimization, so it is necessary to design contracts to coordinate and optimize the closed-loop supply chain.

4. Contract Coordination Optimization

In decentralized decision making, supply chain decision makers all take their own interests as the principle of priority. The model has a double marginal effect, which cannot reach the Pareto optimal solution, resulting in the decline of the total profit of the system and the low income of each entity. Therefore, this paper establishes a “revenue-sharing cost-sharing” contract to coordinate and optimize the closed-loop supply chain, stimulate the overall recovery enthusiasm of the system, and improve the income level.
The specific process of contract coordination is as follows: according to the idea of “revenue sharing”, aeronautical materials manufacturers and aircraft manufacturers share the revenue together, and the proportion of the revenue obtained by aeronautical materials manufacturers is γ, The proportion of aircraft manufacturer’s income is 1 − γ (where 0 < γ < 1) To reduce the double marginal effect, according to the idea of “cost-sharing”, the manufacturer of aircraft parts shares the recovery cost of y (0 < γ < 1) for the aircraft manufacturer and the third-party recycler, so as to stimulate the enthusiasm for recovery. Under this contract, the profit function of each participant is:
P t x = ( γ J l 1 C x ) ( S φ J f 1 + ω J f 2 ) + ( γ J l 2 C h ) ( S φ J f 2 + ω J f 1 ) + σ ( C x C h ) [ ( α a 1 β a 2 ) + ( α a 2 β a 1 ) ]       a 3 [ ( α a 1 β a 2 ) + ( α a 2 β a 1 ) ] a 1 ( 1 y ) ( α a 1 β a 2 ) a 2 ( 1 y ) ( α a 2 β a 1 ) + γ J f 1 ( S φ J f 1 + ω J f 2 ) + γ J f 2 ( S φ J f 2 + ω J f 1 ) P z x = [ ( 1 γ ) J f 1 J l 1 ] ( S φ J f 1 + ω J f 2 ) + [ ( 1 γ ) J f 2 J l 2 ] ( S φ J f 2 + ω J f 1 ) + ( a 3 y a 1 ) ( α a 1 β a 2 ) +   J l 1 ( 1 γ ) ( S φ J f 1 + ω J f 2 ) + J l 2 ( 1 γ ) ( S φ J f 2 + ω J f 1 ) P s x = ( a 3 y a 2 ) ( α a 2 β a 1 )
In order for all participants in the closed-loop supply chain to execute the contract, the profit after coordination is greater than the profit before coordination when decentralized decisions are made, that is P c x = P t x + P z x + P s x = P c c . The reverse-order method is used to obtain:
J f 1 = J l 1 γ ( φ ω ) + ( 1 γ ) S 2 ( 1 γ ) ( φ ω ) J f 2 = J l 2 γ ( φ ω ) + ( 1 γ ) S 2 ( 1 γ ) ( φ ω ) a 1 = a 2 = α a 3 y ( 2 α β )
The equilibrium solution needs to meet J f 1 x = J f 1 c , J f 2 x = J f 2 c ,   a 1 x = a 1 c , a 2 x = a 2 c to achieve the coordination goal of the total profit level of the supply chain under centralized decision making, so J l 1 x = ( 1 γ ) C x γ , J l 2 x = ( 1 γ ) C h γ , a 3 x = y σ ( C x C h ) ( 2 α β ) 2 α . Substitute the above solution into the profit function of each participant to obtain P t x , P z x , P s x .

5. Model Application and Analysis

This section describes the principles and standards of case selection, determines Enterprise A as the case enterprise according to the selection criteria, and gives a basic introduction to Enterprise A. At the same time, according to the actual situation, the closed-loop supply chain model above is applied to Enterprise A for analysis, providing guidance for Enterprise A and all members of the closed-loop supply chain in their production and operation decisions, and providing reference suggestions for the supply chain to recover retired aircraft.

5.1. Case Background

Enterprise A officially put the base into operation in 2018. The base covers an area of 299,149.6 m2 a total building area of 169,923.96 m2, and an apron area of 120,907 m2. The construction contents include an aircraft disassembly hangar, an aircraft parts warehouse, a special garage, a complex building, a power station, a special product storage warehouse, a gatehouse, an apron, etc. The construction scale of the project is the annual disassembly capacity of 100 aircraft, and the total investment in fixed assets is about RMB 1.309 billion.
In October 2019, Enterprise A was granted the first aircraft disassembly and maintenance license in China, aiming at the maintenance market in the Northeast, Far East Russia, Japan, and South Korea. Enterprise A aims to establish the whole chain of “retired aircraft acquisition–aircraft disassembly–second-hand aircraft parts sales”, responsible for the purchase, sale, lease, and other global aircraft movable property management and configuration of middle-aged and elderly aircraft. Enterprise A carries out disassembly business in the Harbin base. After disassembly, parts of the aircraft are sold in the domestic market, and parts of them are distributed globally through the global aircraft disassembly and air material distributors acquired in the United States.

5.2. Comparative Analysis

According to the actual situation of Enterprise A, it is set that there is only one air material manufacturer, one retail aircraft manufacturer, and one airline group in the closed-loop supply chain. Based on the survey data and existing literature, the parameters of the model are reasonably assigned. This part mainly focuses on two aspects: calculating and analyzing the optimal solution of the model under different power structures according to the set parameter values. Analyze the influence of various parameters in the model on the closed-loop supply chain, and set the parameters as S = 2000, C_x = 500, C_h = 10, φ = 3, ω = 2, σ = 0.8, α = 8, and β = 4.
According to the above parameter settings, the optimal solution of the model under different power structures is shown in Table 2 (the unit in the table is USD 10,000):
It can be seen from the data in the table that in the four models, under centralized decision making, the sales price of both new aircraft and circulating aircraft is the lowest, while the total profit of the supply chain is the highest, and the recovery effect is also the best, which shows that the dual advantages of the economic benefits and environmental benefits of centralized decision making not only ensure the effective use of aviation resources, but also protect the ecological environment, forming a green closed-loop supply chain.

5.3. Sensitivity Analysis

5.3.1. Sensitivity to Parameter φ

Keep the other parameters unchanged, change the market price sensitivity coefficient φ, and analyze the changes in aircraft price, air material price, and total profit of the supply chain.
Figure 2, Figure 3 and Figure 4 show the four decision-making models. With the increase in the price sensitivity coefficient, the prices of aircraft parts, aircraft, and the total profits of the supply chain decrease. The increase in the price sensitivity coefficient means that airlines are more sensitive to the sales price of aircraft. In order to improve the sales volume of aircraft, aeronautical materials manufacturers and aircraft manufacturers will take price reduction measures. However, airlines tend to enjoy more favorable prices out of luck, which will lead to a decline in aircraft purchases, and thus affect the total profit of the supply chain. In conclusion, the increase in the price sensitivity coefficient is unfavorable to the overall profit of the supply chain.

5.3.2. Sensitivity to Parameter ω

Keep other parameters unchanged, change the substitution coefficient ω, and analyze the changes in aircraft price, air material price, and total profit of the supply chain.
It can be seen in Figure 5, Figure 6 and Figure 7 that the market price sensitivity coefficient φ is greater than substitution coefficient ω under the condition of, whether centralized or decentralized decision making, the prices of aircraft parts, aircraft, and the total profits of the supply chain are increasing functions of substitution coefficients. This is because when the substitutability of circular aircraft and new aircraft becomes stronger and stronger, airlines have a higher acceptance of circular aircraft, and the participants in the supply chain also receive more profits from it. Therefore, the increase in the substitution coefficient is beneficial to the supply chain as a whole.

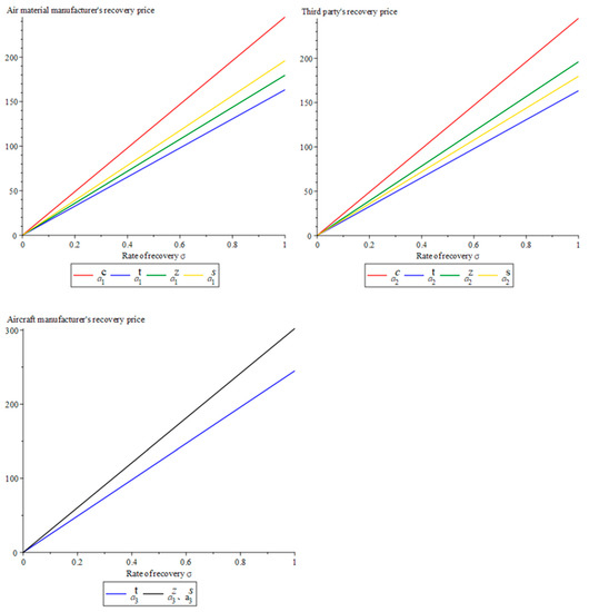
5.3.3. Sensitivity to Parameter σ

Keep the other parameters unchanged, change the rate of recovery σ, and analyze the changes in aircraft price, air material price and total profit of the supply chain.
It can be seen from Figure 8 and Figure 9 that the recovery rate of aircraft is in direct proportion to the recovery price and the total profit of the supply chain. When the proportion of retired aircraft that can be reused is higher, aircraft manufacturers and third-party recyclers will appropriately increase the recovery price for recovery. Correspondingly, there are also airlines involved in the recovery of retired aircraft, and aircraft material manufacturers will reduce their own costs by processing more recycled aircraft materials to achieve profit growth, Therefore, the overall revenue of the supply chain will also increase. In the actual production and processing, the recycling enthusiasm of each participant in the supply chain can be encouraged by improving the recovery rate of aircraft. Under different rights structures, it can ensure that the overall economy and ecological environment of the supply chain can achieve favorable positive effects while the interests of each participant increase.

5.4. Analysis of Revenue-Sharing Contract Coordination

According to the constraints on the coordination of revenue-sharing contracts and the parameter values set in the previous article, the value ranges of coordination factors are calculated as: under the leadership of aeronautical materials manufacturers: 0.53 γ t 0.76 ,   0.67 y t < 1 ; under the leadership of aircraft manufacturer: 0.27 γ z 0.51 , 0.67 y z < 1 ; under the leadership of third-party recyclers: 0.46 γ s 0.56 , 0.67 y s < 1 .
Within the above range of values, it can be satisfied that the benefits of each participant in the supply chain after coordination are greater than those before coordination. Therefore, coordination factors that can respectively reach the optimal solution of the supply chain are selected. The pricing and benefits of the supply chain for decentralized decisions under the coordination contract are shown in Table 3 (the unit in the table is USD 10,000).
It can be seen from the data in the table that after the coordination of the revenue-sharing contract, the overall revenue level of the supply chain during decentralized decision making can reach the same level as that during centralized decision making. The profits of all participants are higher than that before coordination. The recovery of retired aircraft is the same as that during centralized decision making. The dual-channel closed-loop supply chain system has obtained dual benefits of economy and environment; it also shows that the “revenue-sharing cost-sharing” contract plays an effective coordinating role in this model.

5.5. Analysis of the Profit Change under Contract Coordination

The figure below shows the trend of profits when aviation material manufacturers dominate.
Figure 10 shows the change in profit following the cost-sharing factor and revenue-sharing factor in the supply chain under the guidance of air material manufacturers under contract coordination. It can be seen from the figure that the profit of the leading aeronautical materials manufacturers is far higher than that of other entities. When the aeronautical materials manufacturers share the minimum recycling cost, that is, γ, the maximum and minimum profit will be obtained. The profit and profit-sharing factors of aircraft manufacturers γ are negatively correlated, but positively correlated with cost-sharing factor y. The profit of third-party recyclers is affected by cost-sharing factor y, and they are positively correlated. The leading air material manufacturer can give play to its own advantages to improve the overall revenue level of the supply chain system. When maintaining its own profits at a high level, an appropriate increase in the proportion of recycling costs can stimulate the recycling enthusiasm of the two channels, thereby reducing its own production costs and achieving win–win results.
According to Figure 11, when the aircraft manufacturer dominates, the trend of the profit of each entity in the supply chain changes with the contract coordination factor. It can be seen that the dominant aircraft manufacturer and revenue-sharing factor γ has a negative correlation with γ. When the value decreases, the profit of aircraft manufacturers increases and exceeds that of aircraft material manufacturers γ. The highest profit will be obtained when the minimum and maximum are reached. The dominant aircraft manufacturer, in consideration of its own profits, adopts a higher and lower revenue-sharing ratio and cost-sharing ratio, that is, to reduce γ. By increasing y, the profits of third-party recyclers will increase, while the profits of aircraft material manufacturers will be damaged.
As shown in Figure 12, when the third-party recycler is dominant, the profit of each entity in the supply chain changes with the contract coordination factor. It can be seen that the third-party recycler obtains the maximum profit when cost-sharing factor y is the maximum. When the dominant third-party recyclers increase their own profits by increasing cost-sharing factor y, the profits of aircraft manufacturers will increase, while the profits of aircraft material manufacturers will decrease. Through these profit change trend charts, it can be found that when the supply chain contract is coordinated, the profits of aeronautical materials manufacturers and aircraft manufacturers are related to the income level and recovery costs, while the profits of third-party recyclers are only related to recovery costs.

6. Conclusions and Limitations

6.1. Conclusions

The closed-loop supply chain not only strengthens the cooperation between all participants in the supply chain in terms of strategy and operation, but also contributes to the sustainable development of the supply chain system and realizes the comprehensive benefits of the economy and the environment. This paper studies and obtains the optimal air material pricing, optimal aircraft pricing, optimal recovery price, optimal profit of each participant, optimal overall recovery volume, and total profit of the supply chain under different right structures, which will assist the managers of the closed-loop supply chain to make strategic decisions.
It can be seen from the numerical analysis that in the supply chain system, when the market price sensitivity coefficient increases, the price of aviation materials and aircraft should not be adjusted easily under all decision modes. This is because the product price and the total profit of the supply chain will decrease with the increase in the price sensitivity coefficient of the airline, and when the competitiveness of the two aircraft in the market increases, that is, the substitution coefficient increases, the aircraft pricing can be flexibly adjusted to improve the total revenue of the system. From the perspective of the overall recovery of the system, the dual-channel competitive recovery will inevitably lead to a price war. However, from the numerical analysis, it can be seen that the price war will only lead to a decline in the overall recovery, which will lead to a large discount in environmental benefits. Therefore, in order to maximize the system recovery, all participants in the supply chain should first consider the overall benefits of the supply chain system. From the perspective of supply chain contract coordination, the adoption of “revenue-sharing cost-sharing” contract coordination can significantly reduce the loss caused by the double marginal effect, and the profits of all participants in the supply chain have been improved, which proves the remarkable optimization effect of contract coordination.

6.2. Limitations

The research in this paper also has shortcomings. The construction of the model is relatively one-sided and single in reality, and it does not consider the situation of retired aircraft recovery from the perspective of airlines. Future research can be extended to the perspective of airlines to enrich the content of the model, which will also be the next research focus.

Author Contributions

Conceptualization, G.Z. and X.Z.; Data curation, G.Z.; Formal analysis, G.Z.; Funding acquisition, G.Z.; Investigation, Y.J.; Methodology, G.Z. and Y.J.; Project administration, G.Z.; Resources, G.Z.; Software, X.Z. and Y.J.; Supervision, G.Z.; Validation, X.Z. and Y.J.; Visualization, X.Z. and Y.J.; Writing—original draft, X.Z. and Y.J.; Writing—review and editing, G.Z.; Submission and revision, G.Z., X.Z. and Y.J. All authors have read and agreed to the published version of the manuscript.

Funding

This research was funded by the Civil Aviation AI Key Laboratory Science and Technology Project (grant number KJAI20003).

Institutional Review Board Statement

Not applicable.

Informed Consent Statement

Not applicable.

Data Availability Statement

Not applicable.

Conflicts of Interest

The authors declare no conflict of interest.

References

  1. Sabaghi, M.; Cai, Y.; Mascle, C.; Baptiste, P. Sustainability assessment of dismantling strategies for end-of-life aircraft recycling. Resour. Conserv. Recycl. 2015, 102, 163–169. [Google Scholar] [CrossRef]
  2. Scheelhaase, J.; Müller, L.; Ennen, D.; Grimme, W. Economic and Environmental Aspects of Aircraft Recycling. Transp. Res. Procedia 2022, 65, 3–12. [Google Scholar] [CrossRef]
  3. Khan, W.S.; Asmatulu, E.; Uddin, M.N.; Asmatulu, R. Recycling and Reusing of Engineering Materials; Elsevier: Amsterdam, The Netherlands, 2022; pp. 233–254. [Google Scholar]
  4. Zhao, D.; Guo, Z.; Xue, J. Research on Scrap Recycling of Retired Civil Aircraft. In IOP Conference Series: Earth and Environmental Science; IOP Publishing Ltd.: Bristol, UK, 2021; p. 12062. [Google Scholar]
  5. Zahedi, H.; Mascle, C.; Baptiste, P. A multi—Variable analysis of aircraft structure disassembly—A technico-economic approach to happens the process performance. Sustain. Mater. Technol. 2021, 29, e00316. [Google Scholar]
  6. Zhao, X.; Verhagen, W.J.; Curran, R. Disposal and recycle economic assessment for aircraft and engine end of life solution evaluation. Appl. Sci. 2020, 10, 522. [Google Scholar] [CrossRef]
  7. Keivanpour, S.; Kadi, D.A.; Mascle, C. End-of-life aircraft treatment in the context of sustainable development, lean management, and global business. Int. J. Sustain. Transp. 2017, 11, 357–380. [Google Scholar] [CrossRef]
  8. Yakovlieva, A.; Boichenko, S.; Kale, U.; Nagy, A. Holistic approaches and advanced technologies in aviation product recycling. Aircr. Eng. Aerosp. Technol. 2021, 93, 1302–1312. [Google Scholar] [CrossRef]
  9. Wang, W.; Zhang, M.; Zhao, L.; Zhou, Z. Decision-making model of closed-loop supplychain based on third-party collector’s fairness concern. J. Syst. Eng. 2019, 34, 409–421. [Google Scholar]
  10. Chunlai, S.; Jiajia, N. The effect of premium and penalty mechanism on manufacturer’s cooperative strategies in the closed-loop supply chain with production diseconomies. Chin. J. Manag. Sci. 2019, 27, 85–95. [Google Scholar]
  11. Savaskan, R.C.; Bhattacharya, S.; Wassenhove, L. Closed—Loop Supply Chain Models with Product Remanufacturing. J. Manag. Sci. 2004, 50, 239–252. [Google Scholar] [CrossRef]
  12. Huang, Z. Stochastic Differential Game in the Closed-Loop Supply Chain with Fairness Concern Retailer. Sustainability 2020, 12, 3289. [Google Scholar] [CrossRef]
  13. Zhang, N.; Li, B. Pricing and the Coordination of Green Closed—Loop Supply Chain with Fairness Concerns. IEEE Access 2020, 8, 224178–224189. [Google Scholar] [CrossRef]
  14. Li, Q.; Sun, H.; Zhang, H.; Li, W.; Ouyang, M. The Design investment and advertising decisions in direct sales—Closed—Loop supply chains. J. Clean. Prod. 2020, 250, 119552. [Google Scholar] [CrossRef]
  15. Jian, J.; Li, B.; Zhang, N.; Su, J. The Decision—Making and the coordination of green closed—Loop supply chain with fairness concern. J. Clean. Prod. 2021, 298, 126779. [Google Scholar] [CrossRef]
  16. Zhang, Z.; Liu, S.; Niu, B. the Coordination mechanism of dual—Channel closed—Loop supply chains considering the product quality and return. J. Clean. Prod. 2020, 248, 119273. [Google Scholar] [CrossRef]
  17. Ma, J.; Zhang, F.; Jiang, H. Dynamic pricing game under company’s channel power structures in a closed—Loop supply chain. Int. J. Bifurc. Chaos 2020, 30, 2050052. [Google Scholar] [CrossRef]
  18. Zheng, B.; Chu, J.; Jin, L. Process channel selection and coordination in dual sales channel closed—Loop supply chains. Appl. Math. Model. 2021, 95, 484–502. [Google Scholar] [CrossRef]
  19. Wan, G.; Kou, G.; Li, T.; Xiao, F.; Chen, Y. Pricing Policies in a Retailer Stackelberg O2O Green Supply Chain. Sustainability 2020, 12, 3236. [Google Scholar] [CrossRef]
Figure 1. Aircraft structure diagram of the closed-loop supply chain.
Figure 1. Aircraft structure diagram of the closed-loop supply chain.
Sustainability 15 01615 g001
Figure 2. Price sensitive coefficient’s influence on the price.
Figure 2. Price sensitive coefficient’s influence on the price.
Sustainability 15 01615 g002
Figure 3. Price sensitive coefficient’s influence on the material price.
Figure 3. Price sensitive coefficient’s influence on the material price.
Sustainability 15 01615 g003
Figure 4. Price-sensitive coefficient’s influence on the gross profit of supply chain.
Figure 4. Price-sensitive coefficient’s influence on the gross profit of supply chain.
Sustainability 15 01615 g004
Figure 5. Substitution coefficient’s influence on the price.
Figure 5. Substitution coefficient’s influence on the price.
Sustainability 15 01615 g005
Figure 6. Substitution coefficient’s influence on the material price.
Figure 6. Substitution coefficient’s influence on the material price.
Sustainability 15 01615 g006
Figure 7. Substitution coefficient’s influence on gross profit of supply chain.
Figure 7. Substitution coefficient’s influence on gross profit of supply chain.
Sustainability 15 01615 g007
Figure 8. Rate of recovery’s influence on the material price recycling prices.
Figure 8. Rate of recovery’s influence on the material price recycling prices.
Sustainability 15 01615 g008
Figure 9. Rate of recovery’s influence on the gross profit of supply chain.
Figure 9. Rate of recovery’s influence on the gross profit of supply chain.
Sustainability 15 01615 g009
Figure 10. Materials manufacturers dominate the change tendency of the profit.
Figure 10. Materials manufacturers dominate the change tendency of the profit.
Sustainability 15 01615 g010
Figure 11. Change tendency aircraft manufacturers dominate the profit.
Figure 11. Change tendency aircraft manufacturers dominate the profit.
Sustainability 15 01615 g011
Figure 12. Third-party recyclers dominant when the tendency of the profit.
Figure 12. Third-party recyclers dominant when the tendency of the profit.
Sustainability 15 01615 g012
Table 1. Parameters and variables in the optimization model.
Table 1. Parameters and variables in the optimization model.
SymbolDefinition
C x Production cost of new material
C h Loop supply chain of the cost of production
SMarket potential demand for aircraft
S 1 Demand for new aircraft
S 2 Market demand of circular plane
φMarket price-sensitive coefficient
ω New substitute coefficient between the aircraft and cycle of aircraft
J l 1 New material selling price
J l 2 Recycling material selling price
J f 1 New selling price of the plane
J f 2 Circulating selling price of the plane
P c i Total profit of supply chain under different decision making structures/thousands of dollars
αAirlines for recycling price-sensitive coefficient of plane
ΒCompetition recovery elasticity coefficient
L s Third-party dismantling of scrap
L z Manufacturers of scrap
a 1 Recycling price aircraft manufacturers pay to the shipping department
a 2 Third-party recycling price paid by the company to the shipping department
a 3 Recycling price material manufacturers
σRecycling/% of the available accounted in the plane
K c i Amount of recycled aircraft under different decision structure
Note: i = t, z, s.
Table 2. Optimal solution under different power structure models.
Table 2. Optimal solution under different power structure models.
Centralized Decision MakingMaterial ManufacturerAircraft ManufacturersThird-Party Apart
J l 1 -12508751000
J l 2 -1005507.50673.33
J f 1 1250162516251500
J f 2 10051502.501502.501336.67
a 1 196130.67143.73156.80
a 2 196130.67156.80143.73
a 3 -196241.73241.73
K c 15681045.331202.131202.13
P c 1.98 × 10 6 1.53 × 10 6 1.54 × 10 6 1.78 × 10 6
P t -1.0412 × 10 6 598,784.32924,007.24
P z -452,291887,508.83801,076.04
P s -34,14757,709.3751,221.33
Table 3. Coordination decision under different power structure before and after the optimal solution.
Table 3. Coordination decision under different power structure before and after the optimal solution.
ParameterMaterial ManufacturerAircraft ManufacturersThird-Party ApartCentralized Decision Making
γ t = 0.6
y t = 0.7
Coordinate before γ z = 0.4
y z = 0.9
Coordinate before γ s = 0.5
y s = 0.8
Coordinate before
J l 1 333.3312507508755001000-
J l 2 6.67100515507.510673.33-
J f 1 1250162512501625125015001250
J f 2 10051502.510051502.510051336.671005
a 1 196130.67196143.73196156.80196
a 2 196130.67196156.80196143.73196
a 3 205.80196264.60241.73235.20241.73-
P c 1.98 × 10 6 1.53 × 10 6 1.98 × 10 6 1.54 × 10 6 1.98 × 10 6 1.78 × 10 6 1.98 × 10 6
P t 1.20 × 10 6 1.04 × 10 6 838,060.40598,784.321.02 × 10 6 924,007.24-
P z 722,812.40452,2911.07 × 10 6 887,508.83897,753.10801,076.04-
P s 53,782.4034,14769,148.8057,709.3761,465.6051,221.33-
K c 15681045.3315681202.1315681202.131568
Disclaimer/Publisher’s Note: The statements, opinions and data contained in all publications are solely those of the individual author(s) and contributor(s) and not of MDPI and/or the editor(s). MDPI and/or the editor(s) disclaim responsibility for any injury to people or property resulting from any ideas, methods, instructions or products referred to in the content.

Share and Cite

MDPI and ACS Style

Zhao, G.; Zhai, X.; Jing, Y. Retired Aircraft Recovery: Based on Stackelberg Game Method from the Perspective of Closed-Loop Supply Chain. Sustainability 2023, 15, 1615. https://doi.org/10.3390/su15021615

AMA Style

Zhao G, Zhai X, Jing Y. Retired Aircraft Recovery: Based on Stackelberg Game Method from the Perspective of Closed-Loop Supply Chain. Sustainability. 2023; 15(2):1615. https://doi.org/10.3390/su15021615

Chicago/Turabian Style

Zhao, Guihong, Xintong Zhai, and Yuzi Jing. 2023. "Retired Aircraft Recovery: Based on Stackelberg Game Method from the Perspective of Closed-Loop Supply Chain" Sustainability 15, no. 2: 1615. https://doi.org/10.3390/su15021615

APA Style

Zhao, G., Zhai, X., & Jing, Y. (2023). Retired Aircraft Recovery: Based on Stackelberg Game Method from the Perspective of Closed-Loop Supply Chain. Sustainability, 15(2), 1615. https://doi.org/10.3390/su15021615

Note that from the first issue of 2016, this journal uses article numbers instead of page numbers. See further details here.

Article Metrics

Back to TopTop