Selection of the Energy Performance Indicator for Hotels Based on ISO 50001: A Case Study
Abstract
1. Introduction
2. Materials and Methods
- Plan: understand the context of the organization, establish an energy policy and an energy management team, consider actions to address risks and opportunities, conduct an energy review, identify significant energy uses (SEUs) and establish energy performance indicators (EnPIs), energy baseline(s) (EnBs), objectives and energy targets, and action plans necessary to deliver results that will improve energy performance in accordance with the organization’s energy policy;
- Do: implement the action plans, operational and maintenance controls, and communication, ensure competence and consider energy performance in design and procurement;
- Check: monitor, measure, analyse, evaluate, audit and conduct management review(s) of energy performance and the EnMS;
- Act: take actions to address nonconformities and continually improve energy performance and the EnMS.
2.1. Energy Baseline
2.2. Calculation of the Variable Degrees Days
- is Degrees days of the day;
- is Degrees days of the month;
- is Average temperature of each day of the month (°C);
- is Reference temperature (18 °C).
2.3. Calculation of the Energy Performance Indicator
2.4. Climatic Characteristics of This Area
3. Results
- From 18 January to 18 March, there was an increase in production and consumption (high season).
- From 18 March to 18 September, there was a significant increase in consumption and a decrease in RDO; this generally corresponds to the increase in temperatures and services that do not involve lodging, as national tourism predominates.
- From 18 September to 19 January, a decrease in consumption and production is observed due to being part of the low season.
- From 19 January to 19 September, there is a correspondence between the behavior of both variables.
- From 19 September to the end of the year, there is first an increase in RDO and a decrease in consumption; this could be due to energy savings and the type of tourism. In the second stage, there is a decrease in both variables.
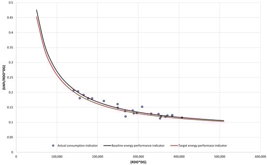
3.1. Baseline Energy (BLEn) and Energy Performance Indicator (EntPI)
- The energy baseline has an equation and correlation = 0.93;
- The goal line has an equation and correlation = 0.97;
- With the goal line obtained, an improvement in the data correlation and a 5.3% decrease in energy not associated with the process is observed, with 1088 kWh of energy saved.
3.2. Verification of the Energy Performance Indicator through a Multivariable Analysis
3.3. Savings Opportunities
3.3.1. Air Conditioning
- Clean the evaporators periodically. Check the correct operation of the defrost system;
- Clean the filters of the air conditioning equipment weekly;
- Reduce outside air intakes by properly sealing the doors, using hydraulic arms, and reducing the opening time of the doors through organizational measures;
- Adjust the thermostats in air-conditioned rooms to 24 °C;
- Turn off air conditioning equipment in empty rooms;
- Use of curtains on windows and doors to reduce heat gain;
- The selection of the rooms, without affecting the quality of the client, should be prioritized in those rooms that have a lower thermal load depending on the season, including programming of the hotel conditions that prioritize those that have less consumption, optimally avoiding the waste of electrical energy since this is the most consuming area of the hotel;
- Substitute the common Splits for those with inverter technology, as these are much more efficient;
- Replace the air conditioners in the management area with Split inverters according to the required capacity.
3.3.2. Lightning
- Sectionalize lighting circuits to compartmentalize their use;
- Illuminate specific points instead of illuminating backgrounds;
- Paint walls, ceilings, and columns in light colors;
- Lower the height of the lamps;
- Change output signs from incandescent to light-emitting diodes (LEDs).
3.3.3. Electric Motors
- Appropriate selection of electric motors in hotel water supply pumps, mainly in the swimming pool;
- Achieve the longest periods of operation of the motor and its load at maximum efficiency (75–95% of its nominal power);
- Verify repairs on rewound motors;
- Evaluate the replacement of old or intensively used motors with high-efficiency standardized ones;
- Keep the motor-load transmission means in good condition, as well as the motor bearings.
3.4. Proposal for the Substitution of Equipment
- 50,000 h/365 days (12 working hours per day) = 50,000 h/(365 × 12) = 11 years. Income: Income is given by the savings brought by the new light bulbs installed, which have a value of 18.5 . Expenses: You need to buy a total of 80 Gedema brand light bulbs which would cost 32 USD;
- The interest rate used is 8%, established by the General Directorate of Treasury of the Central Bank of Cuba in Circulars 5/2011 and 2/2012;
- The income tax is 35%, according to article 97 of Law 113 published in the Official Gazette No. 053 Ordinary of 21 November 2012;
- The result of the processing is shown in Figure 13, where it can be seen from year 0 to the second year and the final results to be achieved in the eleventh year of operation of the light bulbs.
3.5. Potential for Photovoltaic Generation on the Roofs of the Hotel Buildings
4. Discussion
5. Conclusions
- This is a method of easy application based on basic mathematical concepts and energy management;
- The reduction of variables that allows easy adjustments. At the beginning of the experiment, there were a large number of variables that affect the energy consumption in the installation and we ended up proposing only three with a high correlation;
- The reduction of experiments that brings a significant reduction in computational and execution time, allowing faster decision-making with fewer resources (materials, use of equipment, indirect materials or energy);
- An energy performance indicator is proposed that allows us to predict the behavior of the installation’s consumption over time and, in turn, reduce it;
- This is a method of proposing savings opportunities is provided with its economic valuation;
- The use of renewable energy sources is proposed to take advantage of the roofs of the facility and reduce the consumption of electricity by fossil fuels. This will prevent the emission of polluting agents into the atmosphere.
Author Contributions
Funding
Institutional Review Board Statement
Informed Consent Statement
Acknowledgments
Conflicts of Interest
References
- Iturralde Carrera, L.Á.; Monteagudo Yanes, J.P.; Castro Perdomo, N.A. La eficiencia energética y la competitividad empresarial en América del norte. Rev. Univ. Soc. 2021, 13, 479–489. [Google Scholar]
- Santos, J.A.; Fraga, H.; Malheiro, A.C.; Moutinho-Pereira, J.; Dinis, L.T.; Correia, C.; Moriondo, M.; Leolini, L.; Dibari, C.; Costafreda-Aumedes, S.; et al. A review of the potential climate change impacts and adaptation options for European viticulture. Appl. Sci. 2020, 10, 3092. [Google Scholar] [CrossRef]
- Uddin, M.N.; Bokelmann, W.; Entsminger, J.S. Factors affecting farmers’ adaptation strategies to environmental degradation and climate change effects: A farm level study in Bangladesh. Climate 2014, 2, 223–241. [Google Scholar] [CrossRef]
- Han, P.; Tong, Z.; Sun, Y.; Chen, X. Impact of Climate Change Beliefs on Youths’ Engagement in Energy-Conservation Behavior: The Mediating Mechanism of Environmental Concerns. Int. J. Environ. Res. Public Health 2022, 19, 7222. [Google Scholar] [CrossRef] [PubMed]
- Raza, A.; Razzaq, A.; Mehmood, S.S.; Zou, X.; Zhang, X.; Lv, Y.; Xu, J. Impact of climate change on crops adaptation and strategies to tackle its outcome: A review. Plants 2019, 8, 34. [Google Scholar] [CrossRef] [PubMed]
- Hasan, A.M.; Trianni, A. A review of energy management assessment models for industrial energy efficiency. Energies 2020, 13, 5713. [Google Scholar] [CrossRef]
- Ochoa, G.V. Application of equivalent occupation method as a tool for energy management in hotel sector. Int. J. Energy Econ. Policy 2018, 8, 187–192. [Google Scholar]
- Bruni, G.; De Santis, A.; Herce, C.; Leto, L.; Martini, C.; Martini, F.; Salvio, M.; Tocchetti, F.A.; Toro, C. From Energy Audit to Energy Performance Indicators (EnPI): A Methodology to Characterize Productive Sectors. The Italian Cement Industry Case Study. Energies 2021, 14, 8436. [Google Scholar] [CrossRef]
- Marriaga, M.A.P.; Contreras, M.P.D.; Salas, A.P.; Chamorro, M.V.; Zarante, P.H.B. Calculation of Energy Performance Indicators of a Company in the Hotel Sector. Contemp. Eng. Sci. 2018, 11, 3609–3619. [Google Scholar] [CrossRef]
- Lira, J.M.S.; Salgado, E.G.; Beijo, L.A. Which factors does the diffusion of ISO 50001 in different regions of the world is influenced? J. Clean. Prod. 2019, 226, 759–767. [Google Scholar] [CrossRef]
- Marimon, F.; Casadesús, M. Reasons to adopt ISO 50001 energy management system. Sustainability 2017, 9, 1740. [Google Scholar] [CrossRef]
- Kanneganti, H.; Gopalakrishnan, B.; Crowe, E.; Al-Shebeeb, O.; Yelamanchi, T.; Nimbarte, A.; Currie, K.; Abolhassani, A. Specification of energy assessment methodologies to satisfy ISO 50001 energy management standard. Sustain. Energy Technol. Assess. 2017, 23, 121–135. [Google Scholar] [CrossRef]
- da Silva Gonçalves, V.A.; dos Santos, F.J.M.H. Energy management system ISO 50001: 2011 and energy management for sustainable development. Energy Policy 2019, 133, 110868. [Google Scholar] [CrossRef]
- Durakbasa, N.M. Micro-and nano-scale manufacturing development through precision metrology. TQM J. 2016, 28, 685–703. [Google Scholar] [CrossRef]
- de Sousa Jabbour, A.B.L.; Verdério Júnior, S.A.; Jabbour, C.J.C.; Leal Filho, W.; Campos, L.S.; De Castro, R. Toward greener supply chains: Is there a role for the new ISO 50001 approach to energy and carbon management? Energy Effic. 2017, 10, 777–785. [Google Scholar] [CrossRef]
- Rampasso, I.S.; Melo Filho, G.P.; Anholon, R.; de Araujo, R.A.; Alves Lima, G.B.; Perez Zotes, L.; Leal Filho, W. Challenges presented in the implementation of sustainable energy management via ISO 50001: 2011. Sustainability 2019, 11, 6321. [Google Scholar] [CrossRef]
- Laskurain, I.; Ibarloza, A.; Larrea, A.; Allur, E. Contribution to energy management of the main standards for environmental management systems: The case of ISO 14001 and EMAS. Energies 2017, 10, 1758. [Google Scholar] [CrossRef]
- Jamil, I.; Zhao, J.; Zhang, L.; Rafique, S.F.; Jamil, R. Uncertainty analysis of energy production for a 3 × 50 MW AC photovoltaic project based on solar resources. Int. J. Photoenergy 2019, 2019, 1056735. [Google Scholar] [CrossRef]
- Lalith Pankaj Raj, G.; Kirubakaran, V. Energy efficiency enhancement and climate change mitigations of SMEs through grid-interactive solar photovoltaic system. Int. J. Photoenergy 2021, 2021, 6651717. [Google Scholar] [CrossRef]
- Pérez-Denicia, E.; Fernández-Luqueño, F.; Vilariño-Ayala, D. Suitability assessment for electricity generation through renewable sources: Towards sustainable energy production. CT&F-Cienc. Tecnol. Futuro 2021, 11, 109–122. [Google Scholar]
- Thangavelu, S.; Umapathy, P. Design of new high step-up DC-DC converter Topology for solar PV applications. Int. J. Photoenergy 2021, 2021, 7833628. [Google Scholar] [CrossRef]
- Carrera, L.A.I.; Borges, R.J.; Santana, E.M.; González, A.L.Á. Potencialidades de generación fotovoltaica sobre la cubierta del edificio crai de la universidad de cienfuegos. Univ. Soc. 2022, 14, 318–330. [Google Scholar]
- Zhou, X.; Mei, Y.; Liang, L.; Fan, Z.; Yan, J.; Pan, D. A dynamic energy benchmarking methodology on room level for energy performance evaluation. J. Build. Eng. 2021, 42, 102837. [Google Scholar] [CrossRef]
- Dibene-Arriola, L.M.; Carrillo-González, F.M.; Quijas, S.; Rodríguez-Uribe, M.C. Energy efficiency indicators for hotel buildings. Sustainability 2021, 13, 1754. [Google Scholar] [CrossRef]
- Teng, Z.R.; Wu, C.Y.; Xu, Z.Z. New energy benchmarking model for budget hotels. Int. J. Hosp. Manag. 2017, 67, 62–71. [Google Scholar] [CrossRef]
- Jin, Y.; Long, Y.; Jin, S.; Yang, Q.; Chen, B.; Li, Y.; Xu, L. An energy management maturity model for China: Linking ISO 50001:2018 and domestic practices. J. Clean. Prod. 2021, 290, 125168. [Google Scholar] [CrossRef]
- Poveda-Orjuela, P.P.; García-Díaz, J.C.; Pulido-Rojano, A.; Cañón-Zabala, G. ISO 50001:2018 and its application in a comprehensive management system with an energy-performance focus. Energies 2019, 12, 4700. [Google Scholar] [CrossRef]
- Poveda-Orjuela, P.P.; García-Díaz, J.C.; Pulido-Rojano, A.; Cañón-Zabala, G. Parameterization, analysis, and risk management in a comprehensive management system with emphasis on energy and performance (ISO 50001:2018). Energies 2020, 13, 5579. [Google Scholar] [CrossRef]
- Torres, Y.D.; Plasencia, M.Á.G.; López, A.V.; Cabrera, L.P.; Barrios, O.C.; Haeseldonck, D. Implementation of the energy management standard NC 50001 (up to energetic-planning phase) in a telecommunication company. Ing. Energ. 2020, 41, 6. [Google Scholar]
- Guayanlema, V.; Fernández, L.; Arias, K. Análisis de indicadores de desempeño energético del Ecuador. Enerlac 2017, 1, 121–139. [Google Scholar]
- González, A.M.; Nordelo, A.B.; Yanes, J.P.M.; Bedregal, H.R.V.; Toca, C.E.S. Nuevos índices de consumo energético para hoteles tropicales; New energy indicators for tropical hotels. Ing. Energ. 2017, 38, 198–207. [Google Scholar]
- Rodríguez, L.R.; Insuasti, J.A.P.; Peña, W.Y.; Sierra, C.O.; Arroyave, C.P.S.; Soto, C.A.P.; Vispo, N.F.S.; Pinchao, J.M.H.; Torres, R.D.G.; Lara, G.R. Método de cálculo del índice de eficiencia energética de los hoteles. Rev. Tecnol.-ESPOL 2017, 30. [Google Scholar]
- Salem, R.; Bahadori-Jahromi, A.; Mylona, A.; Godfrey, P.; Cook, D. Energy performance and cost analysis for the nZEB retrofit of a typical UK hotel. J. Build. Eng. 2020, 31, 101403. [Google Scholar] [CrossRef]
- Palani, H.; Karatas, A. Identifying Energy-Use Behavior and Energy-Use Profiles of Hotel Guests. Appl. Sci. 2021, 11, 6093. [Google Scholar] [CrossRef]
- Álvarez Guerra Plasencia, M.A.; Cabello Eras, J.J.; Sousa Santos, V.; Sagastume Gutiérrez, A.; Haeseldonckx, D.; Vandecasteele, C. Experiencias en la Utilización de Información Meteorológica para el Pronóstico y Control del Consumo de Electricidad en Hoteles. 2018. Available online: http://hdl.handle.net/20.500.11765/9949 (accessed on 1 October 2022).
- Barrera, J.J. Propuesta de un Plan de Eficiencia Energética en el Hotel Chrisban Hotel Boutique. 2021. Available online: http://repositorio.uan.edu.co/handle/123456789/4612 (accessed on 5 October 2022).
- Alvarado-Torres, S.M. Estrategias Pasivas Para Mejorar el Confort y Disminuir el Consumo Energético en Hoteles de Clima Templado-HúMEDO. Caso de Estudio: Proyecto Hotelero en Pereira, Colombia. 2021. Available online: https://hdl.handle.net/10983/26709 (accessed on 15 October 2022).
- Duric, Z.; Potočnik Topler, J. The role of performance and environmental sustainability indicators in hotel competitiveness. Sustainability 2021, 13, 6574. [Google Scholar] [CrossRef]
- Torres Navarro, C.; Malta Callegari, N.; Jara Olave, H. Modelos de regresión y diseño de línea base para indicadores energéticos en una empresa siderúrgica. Ing. Energ. 2021, 42. Available online: http://scielo.sld.cu/scielo.php?script=sci_arttext&pid=S1815-59012021000100004 (accessed on 5 October 2022).
- Laayati, O.; Bouzi, M.; Chebak, A. Smart energy management: Energy consumption metering, monitoring and prediction for mining industry. In Proceedings of the 2020 IEEE 2nd International Conference on Electronics, Control, Optimization and Computer Science (ICECOCS), Kenitra, Morocco, 2–3 December 2020; pp. 1–5. [Google Scholar]
- Mendoza, R.P.C.; Yanes, J.P.M.; Nordelo, A.B.; Oqueña, E.C.Q. Línea de Base Energética en la implementación de la norma ISO 50001. Estudios de casos. El Hombre y la Máquina 2015, 46, 137–143. [Google Scholar]
- Quesada-Céspedes, J.A. Modelo de Gestión de Energía según las Normas ISO 50000 Para el HOTEL del Sur y Desarrollo de un Prototipo Para Monitorear Datos Energéticos. 2022. Available online: https://repositoriotec.tec.ac.cr/handle/2238/13941 (accessed on 25 October 2022).
- Tournaki, S.; Tsoutsos, R.; Morell, I.; Guerrero, Z.; Urosevic, A.; Derjanecz, C.; Nunez, C.; Rata, M.; Biscan, S.; Pouffary, S.; et al. Towards Nearly Zero Energy Hotels Technical Analysis and Recommendations. In Proceedings of the 5th International Conference on Renewable Energy Sources and Energy Efficiency, Istanbul, Turkey, 21–23 October 2021; pp. 21–23. [Google Scholar]
- Moghadasi, M.; Izadyar, N.; Moghadasi, A.; Ghadamian, H. Applying machine learning techniques to implement the technical requirements of energy management systems in accordance with ISO 50001:2018, an industrial case study. Energy Sources Part Recover. Util. Environ. Eff. 2021, 1–18. [Google Scholar] [CrossRef]
- Campisi, D.; Gitto, S.; Morea, D. Economic feasibility of energy efficiency improvements in street lighting systems in Rome. J. Clean. Prod. 2018, 175, 190–198. [Google Scholar] [CrossRef]
- Yoomak, S.; Ngaopitakkul, A. Optimisation of lighting quality and energy efficiency of LED luminaires in roadway lighting systems on different road surfaces. Sustain. Cities Soc. 2018, 38, 333–347. [Google Scholar] [CrossRef]
- Jhunjhunwala, A.; Vasudevan, K.; Kaur, P.; Ramamurthi, B.; Bitra, S.; Uppal, K. Energy efficiency in lighting: AC vs. DC LED lights. In Proceedings of the 2016 First International Conference on Sustainable Green Buildings and Communities (SGBC), Chennai, India, 18–20 December 2016; pp. 1–4. [Google Scholar]
- González, A.L.Á.; Carrera, L.A.I.; Borges, R.J.; Yanes, J.P.M.; Muñoz, M.G. Potencialidades de generación fotovoltaica sobre cubiertas de edificaciones en una instalación hotelera. Univ. Soc. 2022, 14, 565–573. [Google Scholar]
- Rokonuzzaman, M.; Mishu, M.K.; Amin, N.; Nadarajah, M.; Roy, R.B.; Rahman, K.S.; Buhari, A.M.; Binzaid, S.; Shakeri, M.; Pasupuleti, J. Self-Sustained autonomous wireless sensor network with integrated solar photovoltaic system for internet of smart home-building (IoSHB) applications. Micromachines 2021, 12, 653. [Google Scholar] [CrossRef]
- Agyekum, E.B.; Mehmood, U.; Kamel, S.; Shouran, M.; Elgamli, E.; Adebayo, T.S. Technical performance prediction and employment potential of solar PV systems in cold countries. Sustainability 2022, 14, 3546. [Google Scholar] [CrossRef]
- Belmahdi, B.; El Bouardi, A. Solar potential assessment using PVsyst software in the northern zone of Morocco. Procedia Manuf. 2020, 46, 738–745. [Google Scholar] [CrossRef]
- Sharma, S.; Kurian, C.P.; Paragond, L.S. Solar PV system design using PVsyst: A case study of an academic Institute. In Proceedings of the 2018 International Conference on Control, Power, Communication and Computing Technologies (ICCPCCT), Kannur, India, 23–24 March 2018; pp. 123–128. [Google Scholar]
- Villegas-Mier, C.G.; Rodriguez-Resendiz, J.; Álvarez-Alvarado, J.M.; Jiménez-Hernández, H.; Odry, Á. Optimized Random Forest for Solar Radiation Prediction Using Sunshine Hours. Micromachines 2022, 13, 1406. [Google Scholar] [CrossRef]
- Węglarski, M.; Jankowski-Mihułowicz, P.; Chamera, M.; Dziedzic, J.; Kwaśnicki, P. Designing Antennas for RFID Sensors in Monitoring Parameters of Photovoltaic Panels. Micromachines 2020, 11, 420. [Google Scholar] [CrossRef]
- Martínez-Sánchez, R.A.; Rodriguez-Resendiz, J.; Álvarez-Alvarado, J.M.; Macías-Socarrás, I. Solar Energy-Based Future Perspective for Organic Rankine Cycle Applications. Micromachines 2022, 13, 944. [Google Scholar] [CrossRef]
- Huovila, A.; Tuominen, P.; Airaksinen, M. Effects of building occupancy on indicators of energy efficiency. Energies 2017, 10, 628. [Google Scholar] [CrossRef]
- Eras, J.C.; Santos, V.S.; Gutierrez, A.S.; Vandecasteele, C. Data supporting the improvement of forecasting and control of electricity consumption in hotels. Data Brief 2019, 25, 104147. [Google Scholar] [CrossRef] [PubMed]
- Marriaga, M.A.P.; Contreras, M.P.D.; Salas, A.P.; Chamorro, M.V.; Zarante, P.H.B. Analysis of the Potential for Energy Savings in a Company in the Hotel Sector. Contemp. Eng. Sci. 2018, 11, 2865–2873. [Google Scholar] [CrossRef]
- eddine Mechri, H.; Amara, S. Investigation and analysis of energy and water use of hotel buildings in Tunisia. Energy Build. 2021, 241, 110930. [Google Scholar] [CrossRef]
- Molina González, A.; Velarde Bedregal, H.R.; Borroto Nordelo, A.E.; Santiesteban Toca, C.E.; Monteagudo Yanes, J.P. Nuevos índices de consumo energético para hoteles tropicales. Ing. Energ. 2017, 38, 198–207. [Google Scholar]
- Eras, J.J.C.; Santos, V.S.; Gutiérrez, A.S.; Plasencia, M.Á.G.; Haeseldonckx, D.; Vandecasteele, C. Tools to improve forecasting and control of the electricity consumption in hotels. J. Clean. Prod. 2016, 137, 803–812. [Google Scholar] [CrossRef]















| Variables | Coefficients | Typical | Typical Error | Probability Statistic | Lower 95% | Superior 95% |
|---|---|---|---|---|---|---|
| Y | 7429.18 | 3268.78 | 2.27 | 0.03 | 631.39 | 14,226.98 |
| 8.89 | 2.20 | 4.04 | 0.0006 | 4.32 | 13.46 | |
| 90.51 | 6.68 | 13.56 | 7.45 × 10 | 76.63 | 104.40 |
| Regression Analysis Parameters | Values |
|---|---|
| Multiple correlation coefficient | 0.95 |
| determination coefficient | 0.90 |
| tight | 0.89 |
| Typical error | 2016.58 |
| Observations | 24 |
| Energy Performance Indicator Used | Correlation Obtained () | Author | Linear Regression | EMS |
|---|---|---|---|---|
| - | [56] | simple | ISO 50001:2011 | |
| 0.51 | [32] | simple | ISO 50001:2011 | |
| 0.65 | [57] | simple | ISO 50001:2018 | |
| 0.67 | [9,58] | simple | ISO 50001:2011 | |
| 0.72 | [59] | simple | ISO 50001:2018 | |
| 0.73 | [60] | simple | ISO 50001:2011 | |
| 0.77 | [41] | simple | ISO 50001:2011 | |
| 0.80 | [7] | simple | ISO 50001:2011 | |
| 0.90 | [32] | simple | ISO 50001:2011 | |
| 0.91 | [61] | simple | ISO 50001:2011 | |
| 0.92 | [35] | simple | ISO 50001:2011 | |
| 0.77 | [39] | multiple | ISO 50001:2018 | |
| 0.90 | Our work | multiple | ISO 50001:2018 | |
| 0.97 | Our work | simple | ISO 50001:2018 |
Disclaimer/Publisher’s Note: The statements, opinions and data contained in all publications are solely those of the individual author(s) and contributor(s) and not of MDPI and/or the editor(s). MDPI and/or the editor(s) disclaim responsibility for any injury to people or property resulting from any ideas, methods, instructions or products referred to in the content. |
© 2023 by the authors. Licensee MDPI, Basel, Switzerland. This article is an open access article distributed under the terms and conditions of the Creative Commons Attribution (CC BY) license (https://creativecommons.org/licenses/by/4.0/).
Share and Cite
Iturralde Carrera, L.A.; Álvarez González, A.L.; Rodríguez-Reséndiz, J.; Álvarez-Alvarado, J.M. Selection of the Energy Performance Indicator for Hotels Based on ISO 50001: A Case Study. Sustainability 2023, 15, 1568. https://doi.org/10.3390/su15021568
Iturralde Carrera LA, Álvarez González AL, Rodríguez-Reséndiz J, Álvarez-Alvarado JM. Selection of the Energy Performance Indicator for Hotels Based on ISO 50001: A Case Study. Sustainability. 2023; 15(2):1568. https://doi.org/10.3390/su15021568
Chicago/Turabian StyleIturralde Carrera, Luis Angel, Andrés Lorenzo Álvarez González, Juvenal Rodríguez-Reséndiz, and José Manuel Álvarez-Alvarado. 2023. "Selection of the Energy Performance Indicator for Hotels Based on ISO 50001: A Case Study" Sustainability 15, no. 2: 1568. https://doi.org/10.3390/su15021568
APA StyleIturralde Carrera, L. A., Álvarez González, A. L., Rodríguez-Reséndiz, J., & Álvarez-Alvarado, J. M. (2023). Selection of the Energy Performance Indicator for Hotels Based on ISO 50001: A Case Study. Sustainability, 15(2), 1568. https://doi.org/10.3390/su15021568

