Experimental Study on Pressure Characteristics of Gravity Dam Surface under Impact of Landslide-Generated Impulse Waves
Abstract
1. Introduction
2. Equipment and Methods
3. Results and Discussion
3.1. Evolution of Landslide-Generated Impulse Waves
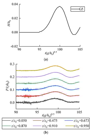
3.2. Pressure Characteristics of Dam Surface
3.3. Total Pressure Per Unit Width of Waves on Dam Surface
4. Conclusions
- (1)
- When the wave propagates, the ray waves are nonlinear oscillation waves and nonlinear transition waves. The amplitude decreases along the way. However, when the surge propagates to the dam front, the wave amplitude blocked by the dam increases instantaneously.
- (2)
- The maximum amplitude of the initial surge in the test was far less than that calculated by Huang et al. [6]. The average error reached 78%, indicating that the initial wave peak formula obtained by Huang et al. [6] based on a granular test may not be suitable for estimating the maximum amplitude of the initial landslide surge with different-sized block combinations. The comparison shows that the attenuation degree of the surge in the three-dimensional physical model test is larger than that in the two-dimensional single-width flume physical model test.
- (3)
- The landslide volume and angle are the key control factors of the first wave amplitude in front of the dam, and the dam surface pressure is positively correlated with the maximum first wave amplitude.
- (4)
- The wave pressure distribution in the water depth direction is small in the middle and large on both sides; the maximum value is obtained near the water surface, and the minimum value is obtained at two-thirds of the water depth. The maximum pressure has a power function relationship with the maximum amplitude of the wave in front of the dam.
- (5)
- The total pressure of the single-width dam surface increases with the increase in the maximum amplitude of the wave in front of the dam, and it has a quadratic function relationship with the maximum amplitude of the wave in front of the dam.
Author Contributions
Funding
Institutional Review Board Statement
Informed Consent Statement
Data Availability Statement
Acknowledgments
Conflicts of Interest
References
- Zhong, L.X. Enlighten ments from the accident of Vaiont landslide in Italy. Chin. J. Geol. Hazard 1994, 5, 77–84. [Google Scholar] [CrossRef]
- Yi, Z.J. Research on Formation Mechanism and Stability of Tanggudong Giant Landslide of Lenggu Hydropower Station. Ph.D. Thesis, Chengdu University of Technology, Chengdu, China, 2010; p. 3. [Google Scholar]
- Wang, B.L.; Yao, L.K.; Zhao, H.X.; Zhang, C. Composite Impulse Waves Triggered by a Combined Earthquake and Landslide. J. Earthq. Tsunami 2020, 14, 2050002. [Google Scholar] [CrossRef]
- Xue, H.C.; Ma, Q.; Diao, M.J.; Jiang, L. Propagation characteristics of subaerial landslide-generated impulse waves. Environ. Fluid Mech. 2019, 19, 203–230. [Google Scholar] [CrossRef]
- Evers, F.M.; Boes, R.M. Impulse Wave Runup on Steep to Vertical Slopes. J. Mar. Sci. Eng. 2019, 7, 8. [Google Scholar] [CrossRef]
- Huang, B.L.; Yin, Y.P.; Chen, X.T.; Liu, G.N.; Wang, S.C.; Jiang, Z.B. Experimental modeling of tsunamis generated by subaerial landslides: Two case studies of the Three Gorges Reservoir, China. Environ. Earth Sci. 2014, 71, 3813–3825. [Google Scholar] [CrossRef]
- Lee, C.H.; Huang, Z. Effects of grain size on subaerial granular landslides and resulting impulse waves: Experiment and multi-phase flow simulation. Landslides 2022, 19, 137–153. [Google Scholar] [CrossRef]
- Tang, G.Q.; Lu, L.; Teng, Y.F.; Zhang, Z.H.; Xie, Z.H. Impulse waves generated by subaerial landslides of combined block mass and granular material. Coast. Eng. 2018, 141, 68–85. [Google Scholar] [CrossRef]
- Meng, Z.Z. Experimental study on impulse waves generated by a viscoplastic material at laboratory scale. Landslides 2018, 15, 1173–1182. [Google Scholar] [CrossRef]
- Margieleweski, W.; Urban, J. Crevice-type caves as initial forms of rock landslide development in the Flysch Carpathians. Geomorphology 2003, 54, 325–338. [Google Scholar] [CrossRef]
- Ramsden, J.D. Forceson a vertical wall due to long waves, bores, and dry-bed surges. J. Waterw. Port Coast. Ocean. Eng. 1996, 122, 134–141. [Google Scholar] [CrossRef]
- Attili, T.; Heller, V.; Triantafyllou, S. A numerical investigation of tsunamis impacting dams. Coast. Eng. 2021, 169, 103942. [Google Scholar] [CrossRef]
- Chen, Y.Y.; Li, Y.J.; Hsu, H.C.; Hwung, H.H. The pressure distribution beneath a solitary wave reflecting on a vertical wall. Eur. J. Mech.-B/Fluids 2019, 76, 66–72. [Google Scholar] [CrossRef]
- Tan, J.M.; Huang, B.L.; Zhao, Y.B. Pressure characteristics of landslide-generated impulse waves. J. Mt. Sci. 2019, 16, 1774–1787. [Google Scholar] [CrossRef]
- Cao, T.; Wang, P.Y.; Qiu, Z.F.; Ren, J.X. Influence of impulse waves generated by rocky landslides on the pressure exerted on bank slopes. J. Mt. Sci. 2021, 18, 1159–1176. [Google Scholar] [CrossRef]
- Li, J.; Chen, J.Y.; Xu, Q. Study on the influence factors of landslide surge wave on the impact pressure on dam’s surface. J. Hydraul. Eng. 2018, 49, 232–240. [Google Scholar] [CrossRef]
- Castellino, M.; Romano, A.; Lara, J.L.; Losada, I.J.; De Girolamo, P. Confined-crest impact: Forces dimensional analysis and extension of the Goda’s formulae to recurved parapets. Coast. Eng. 2020, 163, 103814. [Google Scholar] [CrossRef]
- Zheng, F.D.; Li, X.Y. Undular surges interaction with a vertical wall. Mar. Georesour. Geotechnol. 2021, 10, 1224–1231. [Google Scholar] [CrossRef]
- Han, L.F. Study on the Wave Field Characteristics of Impulse Waves Generated by Three-Dimensional Landslides in Curved Gorge-Type Reservoirs. Ph.D. Thesis, Chongqing Jiaotong University, Chongqing, China, 2019; p. 67. [Google Scholar] [CrossRef]








| Height of Dam/m | Dam Bottom Length/m | Crest Length/m | Crest Width/m | Upstream Slope | Downstream Slope |
|---|---|---|---|---|---|
| 1.00 | 2.94 | 7.23 | 0.1 | 1:0 | 1:0.75 |
| Block Number | Length/m | Width/m | Thickness/m |
|---|---|---|---|
| A1 | 0.21 | 0.14 | 0.06 |
| A2 | 0.18 | 0.12 | 0.05 |
| A3 | 0.15 | 0.1 | 0.04 |
| A4 | 0.12 | 0.08 | 0.03 |
| A5 | 0.09 | 0.06 | 0.02 |
| Wave Pressure Measuring Point Number | z/z0 |
|---|---|
| P1 | 0.950 |
| P2 | 0.910 |
| P3 | 0.870 |
| P4 | 0.673 |
| P5 | 0.475 |
| P6 | 0.050 |
| Working Condition | Length l/m | Width b/m | Thickness d/m | Volume V/m3 | Angle α/(°) |
|---|---|---|---|---|---|
| M1 | 1 | 1.5 | 0.6 | 0.9 | 60 |
| M2 | 1 | 1.5 | 0.6 | 0.9 | 50 |
| M3 | 1 | 1.5 | 0.6 | 0.9 | 40 |
| M4 | 1 | 1.5 | 0.6 | 0.9 | 30 |
| M5 | 1 | 1.5 | 0.4 | 0.6 | 60 |
| M6 | 1 | 1.5 | 0.4 | 0.6 | 50 |
| M7 | 1 | 1.5 | 0.4 | 0.6 | 40 |
| M8 | 1 | 1.5 | 0.4 | 0.6 | 30 |
| M9 | 1 | 1.0 | 0.6 | 0.6 | 60 |
| M10 | 1 | 1.0 | 0.6 | 0.6 | 50 |
| M11 | 1 | 1.0 | 0.6 | 0.6 | 40 |
| M12 | 1 | 1.0 | 0.6 | 0.6 | 30 |
| M13 | 1 | 1.0 | 0.4 | 0.4 | 60 |
| M14 | 1 | 1.0 | 0.4 | 0.4 | 50 |
| M15 | 1 | 1.0 | 0.4 | 0.4 | 40 |
| M16 | 1 | 1.0 | 0.4 | 0.4 | 30 |
| Working Condition | Experimental Value (G2 Measuring Point) | Calculated Value (Equation (2)) | Fitting Result (Equation (3)) |
|---|---|---|---|
| M1 | 0.0684 | 0.251 | 0.0658 |
| M2 | 0.0601 | 0.231 | 0.0613 |
| M3 | 0.0492 | 0.199 | 0.0541 |
| M4 | 0.0410 | 0.127 | 0.0369 |
| M5 | 0.0530 | 0.220 | 0.0459 |
| M6 | 0.0435 | 0.202 | 0.0427 |
| M7 | 0.0356 | 0.175 | 0.0377 |
| M8 | 0.0280 | 0.111 | 0.0257 |
| M9 | 0.0473 | 0.220 | 0.0459 |
| M10 | 0.0380 | 0.202 | 0.0427 |
| M11 | 0.0336 | 0.175 | 0.0377 |
| M12 | 0.0257 | 0.111 | 0.0257 |
| M13 | 0.0324 | 0.193 | 0.0320 |
| M14 | 0.0308 | 0.178 | 0.0298 |
| M15 | 0.0230 | 0.153 | 0.0263 |
| M16 | 0.0189 | 0.098 | 0.0179 |
Disclaimer/Publisher’s Note: The statements, opinions and data contained in all publications are solely those of the individual author(s) and contributor(s) and not of MDPI and/or the editor(s). MDPI and/or the editor(s) disclaim responsibility for any injury to people or property resulting from any ideas, methods, instructions or products referred to in the content. |
© 2023 by the authors. Licensee MDPI, Basel, Switzerland. This article is an open access article distributed under the terms and conditions of the Creative Commons Attribution (CC BY) license (https://creativecommons.org/licenses/by/4.0/).
Share and Cite
Wang, P.; Hua, L.; Song, D.; Wang, M.; Tian, Y. Experimental Study on Pressure Characteristics of Gravity Dam Surface under Impact of Landslide-Generated Impulse Waves. Sustainability 2023, 15, 1257. https://doi.org/10.3390/su15021257
Wang P, Hua L, Song D, Wang M, Tian Y. Experimental Study on Pressure Characteristics of Gravity Dam Surface under Impact of Landslide-Generated Impulse Waves. Sustainability. 2023; 15(2):1257. https://doi.org/10.3390/su15021257
Chicago/Turabian StyleWang, Pingyi, Lu Hua, Di Song, Meili Wang, and Ye Tian. 2023. "Experimental Study on Pressure Characteristics of Gravity Dam Surface under Impact of Landslide-Generated Impulse Waves" Sustainability 15, no. 2: 1257. https://doi.org/10.3390/su15021257
APA StyleWang, P., Hua, L., Song, D., Wang, M., & Tian, Y. (2023). Experimental Study on Pressure Characteristics of Gravity Dam Surface under Impact of Landslide-Generated Impulse Waves. Sustainability, 15(2), 1257. https://doi.org/10.3390/su15021257

