Metabolic Profiling Analysis Uncovers the Role of Carbon Nanoparticles in Enhancing the Biological Activities of Amaranth in Optimal Salinity Conditions
Abstract
1. Introduction
2. Materials and Methods
2.1. Carbon Nanoparticles (CNPs) Characterization
2.2. Sprout Production
2.3. Pigments
2.4. Carbohydrate Analysis
2.5. Amino Acids Analysis
2.6. Organic Acids Analysis
2.7. Determination of Fatty Acids Level
2.8. Determination of Tocopherol Content
2.9. Determination of Antioxidant Activity
2.10. Antibacterial Activity
2.11. Statistical Analyses
3. Results
3.1. Effect of CNP Priming and Threshold Salinity on Growth Parameters
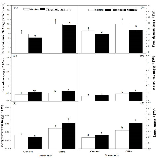
3.2. Effect of Seed CNP Priming and Threshold Salinity on Sprouts Pigment Content
3.3. Effect of CNP Priming and Threshold Salinity on Carbohydrate Production
3.4. Effect of CNP Priming and Threshold Salinity on Amino Acids Contents
3.5. Influence of CNPs Priming and Threshold Salinity on Organic Acid Contents
3.6. Influence of CNP Priming and Threshold Salinity on Fatty Acid Contents
3.7. Effect of CNP Priming and Salinity on Phenols and Flavonoids Contents
3.8. Effect of CNP Priming and Threshold Salinity on Tocopherol Contents
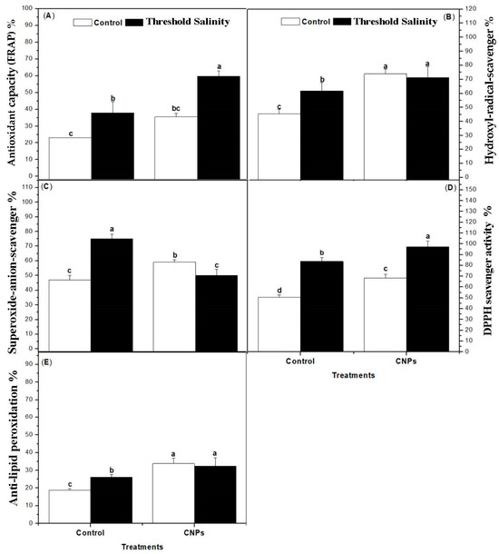
3.9. Influence of CNP Priming and Threshold Salinity on Antioxidant Activity
3.10. Influence of CNP Priming and Threshold Salinity on Antimicrobial Activity
3.11. Principal Component and Hierarchical Clustering Analyses (HCA)
4. Discussion
4.1. CNPs Improved Growth Parameters of Amaranth Sprouts under Threshold Salinity
4.2. CNPs Enhanced Primary Metabolites Accumulation in Amaranth Sprouts under Threshold Salinity Condition
4.3. CNPs Improved Secondary Metabolites Accumulation in Amaranth Sprouts under Threshold Salinity
4.4. CNPs Improved the Nutritional Value of Amaranth Sprouts under Threshold Salinity
5. Conclusions
Author Contributions
Funding
Institutional Review Board Statement
Informed Consent Statement
Data Availability Statement
Acknowledgments
Conflicts of Interest
References
- Sayed, E.G.; Mahmoud, A.W.M.; El-Mogy, M.M.; Ali, M.A.; Fahmy, M.A.; Tawfic, G.A. The effective role of nano-silicon application in improving the productivity and quality of grafted tomato grown under salinity stress. Horticulturae 2022, 8, 293. [Google Scholar] [CrossRef]
- Raja, K.; Sowmya, R.; Sudhagar, R.; Moorthy, P.S.; Govindaraju, K.; Subramanian, K.S. Biogenic ZnO and Cu nanoparticles to improve seed germination quality in blackgram (Vigna mungo). Mater. Lett. 2019, 235, 164–167. [Google Scholar] [CrossRef]
- Gilbertson, L.M.; Pourzahedi, L.; Laughton, S.; Gao, X.; Zimmerman, J.B.; Theis, T.L.; Westerhoff, P.; Lowry, G.V. Guiding the design space for nanotechnology to advance sustainable crop production. Nat. Nanotechnol. 2020, 15, 801–810. [Google Scholar] [CrossRef]
- Khan, S.; Yu, H.; Li, Q.; Gao, Y.; Sallam, B.N.; Wang, H.; Liu, P.; Jiang, W. Exogenous application of amino acids improves the growth and yield of lettuce by enhancing photosynthetic assimilation and nutrient availability. Agronomy 2019, 9, 266. [Google Scholar] [CrossRef]
- Zulfiqar, F.; Ashraf, M. Nanoparticles potentially mediate salt stress tolerance in plants. Plant Physiol. Biochem. 2021, 160, 257–268. [Google Scholar] [CrossRef] [PubMed]
- Fallah, R.; Gerami, M.; Ramezani, M. Beneficial Role of Multi-Walled Carbon Nanotubes on Physiological and Phytochemical Responses of Mentha piperita L under Salinity Stress. J. Essent. Oil Bear. Plants 2023, 26, 323–342. [Google Scholar] [CrossRef]
- Tang, Y.; Li, X.; Zhang, B.; Chen, P.X.; Liu, R.; Tsao, R. Characterisation of phenolics, betanins and antioxidant activities in seeds of three Chenopodium quinoa Willd. genotypes. Food Chem. 2015, 166, 380–388. [Google Scholar] [CrossRef] [PubMed]
- El-Sawah, A.M.; Abdel-Fattah, G.G.; Halford, P.; Korany, S.M.; Alsherif, E.A.; AbdElgawad, H.; ULhassan, Z.; Jośko, I.; Ali, B.; Sheteiwy, M.S. Funneliformis constrictum modulates polyamine metabolism to enhance tolerance of Zea mays L. to salinity. Microbiol. Res. 2023, 266, 127254. [Google Scholar] [CrossRef]
- Pujari, D.S.; Chanda, S.V. Effect of salinity stress on growth, peroxidase and IAA oxidase activities in vigna seedlings. Acta Physiol. Plant 2002, 24, 435–439. [Google Scholar] [CrossRef]
- Ahmad, P.; Azooz, M.M.; Prasad, M.N.V. Ecophysiol Responses Plants under Salt Stress; Springer: New York, NY, USA, 2013; Volume 47, pp. 1–510. [Google Scholar]
- Ashraf, M.; Munns, R. Evolution of approaches to increase the salt tolerance of crops. Crit. Rev. Plant Sci. 2022, 412, 128–160. [Google Scholar] [CrossRef]
- Zrig, A.; Ben Mohamed, H.; Tounekti, T.; Ahmed, S.O.; Khemira, H. Differential responses of antioxidant enzymes in salt-stressed almond tree grown under sun and shade conditions. J. Plant Sci. Res. 2015, 2, 117–127. [Google Scholar]
- Zhu, C.; Sanahuja, G.; Yuan, D.; Farré, G.; Arjó, G.; Berman, J.; Zorrilla-López, U.; Banakar, R.; Bai, C.; Pérez-Massot, E.; et al. Biofortification of plants with altered antioxidant content and composition: Genetic engineering strategies. Plant Biotechnol. J. 2013, 11, 129–141. [Google Scholar] [CrossRef] [PubMed]
- Galli, V.; da Silva Messias, R.; Perin, E.C.; Borowski, J.M.; Bamberg, A.L.; Rombaldi, C.V. Mild salt stress improves strawberry fruit quality. LWT 2016, 73, 693–699. [Google Scholar] [CrossRef]
- Tiryaki, I. Priming and storage of amaranth seeds: Effects of plant growth regulators on germination performance at low temperature. Seed Sci. Technol. 2006, 34, 169–179. [Google Scholar] [CrossRef]
- Uebersax, M.A.; Siddiq, M.; Borbi, M. Hard-to-Cook and Other Storage-Induced Quality Defects in Dry Beans. In Dry Beans and Pulses: Production, Processing, and Nutrition; Wiley: Hoboken, NJ, USA, 2022; pp. 105–127. [Google Scholar]
- Aphalo, P.; Martínez, E.N.; Añón, M.C. Amaranth Sprouts: A Potential Health Promoting and Nutritive Natural Food. Int. J. Food Prop. 2015, 18, 2688–2698. [Google Scholar] [CrossRef][Green Version]
- Pérez-Ramírez, I.F.; Sotelo-González, A.M.; López-Echevarría, G.; Martínez-Maldonado, M.A. Amaranth Seeds and Sprouts as Functional Ingredients for the Development of Dietary Fiber, Betalains, and Polyphenol-Enriched Minced Tilapia Meat Gels. Molecules 2023, 28, 117. [Google Scholar] [CrossRef]
- Ruiz, C.; Bressani, R. Effect of Germination on the Chemical Composition and Nutritive Value of Amaranth Grain. Cereal Chem. 1990, 67, 519–522. [Google Scholar]
- Paśko, P.; Bartoń, H.; Zagrodzki, P.; Gorinstein, S.; Fołta, M.; Zachwieja, Z. Anthocyanins, total polyphenols and antioxidant activity in amaranth and quinoa seeds and sprouts during their growth. Food Chem. 2009, 115, 994–998. [Google Scholar] [CrossRef]
- House, N.C.; Puthenparampil, D.; Malayil, D.; Narayanankutty, A. Variation in the polyphenol composition, antioxidant, and anticancer activity among different Amaranthus species. S. Afr. J. Bot. 2020, 135, 408–412. [Google Scholar] [CrossRef]
- Caselato-Sousa, V.M.; Amaya-Farfán, J. State of Knowledge on Amaranth Grain: A Comprehensive Review. J. Food Sci. 2012, 77, R93–R104. [Google Scholar] [CrossRef]
- Ramírez-Torres, G.; Ontiveros, N.; Lopez-Teros, V.; Ibarra-Diarte, J.A.; Reyes-Moreno, C.; Cuevas-Rodríguez, E.O.; Cabrera-Chávez, F. Amaranth Protein Hydrolysates Efficiently Reduce Systolic Blood Pressure in Spontaneously Hypertensive Rats. Molecules 2017, 22, 1905. [Google Scholar] [CrossRef] [PubMed]
- Qin, L.; Guo, S.; Ai, W.; Tang, Y.; Cheng, Q.; Chen, G. Effect of salt stress on growth and physiology in amaranth and lettuce: Implications for bioregenerative life support system. Adv. Space Res. 2013, 51, 476–482. [Google Scholar] [CrossRef]
- Thayer, S.S.; Bjrkman, O. Leaf Xanthophyll content and composition in sun and shade determined by HPLC. Photosynth. Res. 1990, 23, 331–343. [Google Scholar] [CrossRef] [PubMed]
- De Sousa, A.; AbdElgawad, H.; Asard, H.; Pinto, A.; Soares, C.; Branco-Neves, S.; Braga, T.; Azenha, M.; Selim, S.; Al Jaouni, S.; et al. Metalaxyl effects on antioxidant defenses in leaves and roots of Solanum nigrum L. Front. Plant Sci. 2017, 8, 1967. [Google Scholar] [CrossRef] [PubMed]
- Zinta, G.; AbdElgawad, H.; Peshev, D.; Weedon, J.T.; Van Den Ende, W.; Nijs, I.; Janssens, I.A.; Beemster, G.T.S.; Asard, H. Dynamics of metabolic responses to periods of combined heat and drought in Arabidopsis thaliana under ambient and elevated atmospheric CO2. J. Exp. Bot. 2018, 69, 2159–2170. [Google Scholar] [CrossRef]
- Torras-Claveria, L.; Berkov, S.; Codina, C.; Viladomat, F.; Bastida, J. Metabolomic analysis of bioactive Amaryllidaceae alkaloids of ornamental varieties of Narcissus by GC–MS combined with k-means cluster analysis. Ind. Crops Prod. 2014, 56, 211–222. [Google Scholar] [CrossRef]
- Hassanpour, H.; Khavari-Nejad, R.A.; Niknam, V.; Razavi, K.; Najafi, F. Effect of penconazole and drought stress on the essential oil composition and gene expression of Mentha pulegium L. (Lamiaceae) at flowering stage. Acta Physiol. Plant. 2014, 36, 1167–1175. [Google Scholar] [CrossRef]
- Tangolar, S.G.; Özogul, F.; Tangolar, S.; Yağmur, C. Tocopherol content in fifteen grape varieties obtained using a rapid HPLC method. J. Food Comp. Anal. 2011, 24, 481–486. [Google Scholar] [CrossRef]
- Benzie, I.F.; Strain, J.J. The ferric reducing ability of plasma (FRAP) as a measure of “antioxidant power”: The FRAP assay. Anal. Biochem. 1996, 239, 70–76. [Google Scholar] [CrossRef]
- Halliwell, B.; Gutteridge, J.M.C.; Aruoma, O.I. The deoxyribose method: A simple “test-tube” assay for determination of rate constants for reactions of hydroxyl radicals. Anal Biochem. 1987, 165, 215–219. [Google Scholar] [CrossRef]
- Bellache, M.; Allal Benfekih, L.; Torres-Pagan, N.; Mir, R.; Verdeguer, M.; Vicente, O.; Boscaiu, M. Effects of Four-Week Exposure to Salt Treatments on Germination and Growth of Two Amaranthus Species. Soil Syst. 2022, 6, 57. [Google Scholar] [CrossRef]
- De Sousa Basílio, A.G.; de Sousa, L.V.; da Silva, T.I.; de Moura, J.G.; de Melo Gonçalves, A.C.; de Melo Filho, J.S.; Leal, Y.H.; Dias, T.J. Radish (Raphanus sativus L.) morphophysiology under salinity stress and ascorbic acid treatments. Agron. Colomb. 2018, 36, 257–265. [Google Scholar] [CrossRef]
- Li, Z.; Zhu, L.; Zhao, F.; Li, J.; Zhang, X.; Kong, X.; Wu, H.; Zhang, Z. Plant Salinity Stress Response and Nano-Enabled Plant Salt Tolerance. Front Plant. Sci. 2022, 13, 843994. [Google Scholar] [CrossRef]
- Hossain, M.N.; Sarker, U.; Raihan, M.S.; Al-Huqail, A.A.; Siddiqui, M.H.; Oba, S. Influence of Salinity Stress on Color Parameters, Leaf Pigmentation, Polyphenol and Flavonoid Contents, and Antioxidant Activity of Amaranthus lividus Leafy Vegetables. Molecules 2022, 27, 1821. [Google Scholar] [CrossRef] [PubMed]
- Sarker, U.; Islam, M.T.; Oba, S. Salinity stress accelerates nutrients, dietary fiber, minerals, phytochemicals and antioxidant activity in Amaranthus tricolor leaves. PLoS ONE 2019, 13, e0206388. [Google Scholar] [CrossRef] [PubMed]
- Alam, A.; Ullah, H.; Attia, A.; Datta, A. Effects of salinity stress on growth, mineral nutrient accumulation and biochemical parameters of seedlings of three citrus rootstocks. Int. J. Fruit Sci. 2020, 20, 786–804. [Google Scholar] [CrossRef]
- Bárzana, G.; Garcia-gomez, P.; Carvajal, M. Nanomaterials in plant systems: Smart advances related to water uptake and transport involving aquaporins. Plant Nano Biol. 2022, 1, 100005. [Google Scholar] [CrossRef]
- González-García, Y.; López-Vargas, E.R.; Pérez-Álvarez, M.; Cadenas-Pliego, G.; Benavides-Mendoza, A.; Valdés-Reyna, J.; Pérez-Labrada, F.; Juárez-Maldonado, A. Seed Priming with Carbon Nanomaterials Improves the Bioactive Compounds of Tomato Plants under Saline Stress. Plants 2022, 11, 1984. [Google Scholar] [CrossRef]
- Zhao, S.; Zhu, X.; Mou, M.; Wang, Z.; Duo, L. Assessment of graphene oxide toxicity on the growth and nutrient levels of white clover (Trifolium repens L.). Ecotoxicol. Environ. Saf. 2022, 234, 113399. [Google Scholar] [CrossRef]
- Han, F.; Sun, M.; He, W.; Guo, S.; Feng, J.; Wang, H.; Yang, Q.; Pan, H.; Lou, Y.; Zhuge, Y. Transcriptome analysis reveals molecular mechanisms under salt stress in leaves of foxtail millet (Setaria italica L.). Plants 2022, 12, 1864. [Google Scholar] [CrossRef]
- Zhao, H.-J.; Zhao, X.-J.; Ma, P.-F.; Wang, Y.-X.; Hu, W.-W.; Li, L.-H.; Zhao, Y.-D. Effects of salicylic acid on protein kinase activity and chloroplast D1 protein degradation in wheat leaves subjected to heat and high light stress. Acta Ecol. Sin. 2011, 31, 259–263. [Google Scholar] [CrossRef]
- Hatami, M.; Hadian, J.; Ghorbanpour, M.; Hazard Mater, J. Mechanisms underlying toxicity and stimulatory role of single-walled carbon nanotubes in Hyoscyamus niger during drought stress simulated by polyethylene glycol. J. Hazard. Mater. 2017, 324, 306–320. [Google Scholar] [CrossRef] [PubMed]
- Rao, M.J.; Hussain, S.; Anjum, M.A.; Saqib, M.; Ahmad, R.; Khalid, M.F.; Sohail, M.; Nafees, M.; Ali, M.A.; Ahmad, N.; et al. Effect of Seed Priming on Seed Dormancy and Vigor. In Priming and Pretreatment of Seeds and Seedlings; Hasanuzzaman, M., Fotopoulos, V., Eds.; Springer: Singapore, 2019. [Google Scholar]
- Nawaz, F.; Naeem, M.; Akram, A.; Ashraf, M.Y.; Ahmad, K.S.; Zulfiqar, B.; Sardar, H.; Shabbir, R.N.; Majeed, S.; Shehzad, M.A.; et al. Seed priming with KNO3 mediates biochemical processes to inhibit lead toxicity in maize (Zea mays L.). J. Sci. Food Agric. 2017, 97, 4780–4789. [Google Scholar] [CrossRef]
- Hu, Y.; Zhang, P.; Zhang, X.; Liu, Y.; Feng, S.; Guo, D.; Nadezhda, T.; Song, Z.; Dang, X. Multi-wall carbon nanotubes promote the growth of maize (Zea mays) by regulating carbon and nitrogen metabolism in leaves. J. Agric Food Chem. 2021, 69, 4981–4991. [Google Scholar] [CrossRef] [PubMed]
- Sarkar, D.; Kar, S.K.; Chattopadhyay, A.; Shikha, A.R.; Tripathi, V.K.; Dubey, P.K.; Abhilash, P.C. Low input sustainable agriculture: A viable climate-smart option for boosting food production in a warming world. Ecol. Indic. 2020, 115, 106412. [Google Scholar] [CrossRef]
- Aly, T.A.A.; El Rahim, E.A.; Fayed, S.A.; Ahmed, A.M.; Abdallah, M.M.F. Influence of sprouting on chemical composition and protein quality of radish (raphanussativus) and clover (Trifolum alexandrinum) seeds. J. Biol. Chem. Environ. Sci. 2018, 13, 339–355. [Google Scholar]
- He, M.; Ding, N.-Z. Plant Unsaturated Fatty Acids: Multiple Roles in Stress Response. Front. Plant Sci. 2020, 11, 562785. [Google Scholar] [CrossRef]
- Martínez-Ballesta, M.C.; Zapata, L.; Chalbi, N.; Carvajal, M. Multiwalled carbon nanotubes enter broccoli cells enhancing growth and water uptake of plants exposed to salinity. J. Nanobiotechnol. 2016, 14, 42. [Google Scholar] [CrossRef]
- Darandeh, N.; Hadavi, E. Effect of pre-harvest foliar application of citric acid and malic acid on chlorophyll content and post-harvest vase life of Lilium cv. Brunello Front. Plant Sci. 2012, 2, 2011–2013. [Google Scholar] [CrossRef]
- Iqbal, H.; Rahman, A.; Khanum, S.; Arshad, M.; Badar, I.H.; Asif, A.R.; Hayat, Z.; Iqbal, M.A. Effect of essential oil and organic acid on performance, gut health, bacterial count and serological parameters in broiler. Rev. Bras. Cienc. Avic. 2021, 23, 1443. [Google Scholar] [CrossRef]
- So, V.; Poul, P.; Oeung, S.; Srey, P.; Mao, K.; Ung, H.; Eng, P.; Heim, M.; Srun, M.; Chheng, C. Bioactive Compounds, Antioxidant Activities, and HPLC Analysis of Nine Edible Sprouts in Cambodia. Molecules 2023, 28, 2874. [Google Scholar] [CrossRef]
- Yang, S.; Zu, Y.; Li, B.; Bi, Y.; Jia, L.; He, Y.; Li, Y. Response and intraspecific differences in nitrogen metabolism of alfalfa (Medicago sativa L.) under cadmium stress. Chemosphere 2019, 220, 69–76. [Google Scholar] [CrossRef] [PubMed]
- Guo, J.; Dong, X.; Han, G.; Wang, B. Salt-enhanced reproductive development of Suaeda salsa L. coincided with ion transporter gene upregulation in flowers and increased pollen K+ content, Front. Plant Sci. 2019, 10, 333. [Google Scholar] [CrossRef] [PubMed]
- Kim, H.J.; Fonseca, J.M.; Choi, J.H.; Kubota, C.; Dae, Y.K. Salt in irrigation water affects the nutritional and visual properties of romaine lettuce (Lactuca sativa L.). J. Agric. Food Chem. 2008, 56, 3772–3776. [Google Scholar] [CrossRef] [PubMed]
- Almuhayawi, S.M.; Almuhayawi, M.S.; Al Jaouni, S.K.; Selim, S.; Hassan, A.H.A. Effect of laser light on growth, physiology, accumulation of phytochemicals, and biological activities of sprouts of three brassica cultivars. J. Agric. Food Chem. 2021, 69, 6240–6250. [Google Scholar] [CrossRef] [PubMed]
- Jumaa, R.S.; Abdulmajeed, D.I.; Karim, A.J. Evaluation of secondary metabolites of herbal plant extracts as an antiviral effect on infectious bursal disease virus isolates in embryonated chicken eggs. Vet. World 2021, 14, 2971–2978. [Google Scholar] [CrossRef] [PubMed]
- Francis, H.; Debs, E.; Koubaa, M.; Alrayess, Z.; Maroun, R.G.; Louka, N. Sprouts use as functional foods. optimization of germination of wheat (Triticum aestivum L.), alfalfa (Medicago sativa L.), and radish (Raphanus sativus L.) seeds based on their nutritional content evolution. Foods 2022, 11, 1460. [Google Scholar] [CrossRef]
- Gamba, M.; Asllanaj, E.; Raguindin, P.F.; Glisic, M.; Franco, O.H.; Minder, B.; Bussler, W.; Metzger, B.; Kern, H.; Muka, T. Nutritional and phytochemical characterization of radish (Raphanus sativus): A systematic review. Trends Food Sci. Technol. 2021, 113, 205–218. [Google Scholar] [CrossRef]
- Zulfiqar, F.; Casadesús, A.; Brockman, H.; Munné-Bosch, S. An overview of plant-based natural biostimulants for sustainable horticulture with a particular focus on moringa leaf extracts. Plant Sci. 2020, 295, 110194. [Google Scholar] [CrossRef]
- Pérez-Labrada, F.; López-Vargas, E.R.; Ortega-Ortiz, H.; Cadenas-Pliego, G.; Benavides-Mendoza, A.; Juárez-Maldonado, A. Responses of tomato plants under saline stress to foliar application of copper nanoparticles. Plants 2019, 8, 151. [Google Scholar] [CrossRef]






| Amino Acids | Control | Threshold Salinity | CNPs | CNPs + Threshold Salinity |
|---|---|---|---|---|
| Glycine | 91.30 ± 4.7 b | 112.39 ± 4.04 a | 96.00 ± 4.33 b | 118.8 ± 5.2 a |
| Lysine | 3.85 ± 0.38 c | 5.63 ± 0.61 b | 6.49 ± 1.02 a | 5.83 ± 0.71 b |
| Histidine | 1.73 ± 0.46 c | 2.67 ± 0.63 b | 3.57 ± 0.58 a | 3.89 ± 0.5 a |
| Alanine | 16.04 ± 0.65 c | 18.87 ± 0.7 b | 18.40 ± 0.69 b | 22.1 ± 1.8 a |
| Arginine | 1.43 ± 0.24 b | 1.82 ± 0.7 ab | 2.07 ± 0.20 a | 2.11 ± 0.3 a |
| Ornithine | 0.69 ± 0.13 c | 0.89 ± 0.1 bc | 1.30 ± 0.3 b | 1.93 ± 0.1 a |
| Glutamine | 2.8 ± 0.65 a | 2.54 ± 0.1 b | 2.48 ± 0.01 b | 3.5 ± 0.3 a |
| Asparagine | 1.93 ± 0.20 c | 1.95 ± 0.08 c | 2.87 ± 0.38 b | 4.9 ± 0.3 a |
| Isoleucine | 0.66 ± 0.03 b | 0.60 ± 0.04 b | 1.16 ± 0.04 a | 1.28 ± 0.08 a |
| Leucine | 0.14 ± 0.03 c | 0.21 ± 0.05 b | 0.21 ± 0.05 b | 0.28 ± 0.07 a |
| Methionine | 0.16 ± 0.07 c | 0.22 ± 0.04 c | 0.29 ± 0.15 b | 0.44 ± 0.2 a |
| Threonine | 0.63 ± 0.45 c | 0.50 ± 0.39 c | 1.05 ± 0.67 b | 1.26 ± 0.79 a |
| Valine | 1.26 ± 0.21 b | 1.29 ± 0.08 c | 1.06 ± 0.18 a | 2.1 ± 0.06 a |
| Serine | 1.02 ± 0.40 a | 1.07 ± 0.19 b | 0.97 ± 0.37 b | 1.78 ± 0.5 |
| Phenylalanine | 1.40 ± 0.40 ab | 0.96 ± 0.48 b | 1.50 ± 0.57 a | 2.13 ± 0.2 a |
| Glutamic acid | 1.07 ± 0.05 c | 1.17 ± 0.04 c | 1.44 ± 0.05 b | 1.78 ± 0.2 a |
| Aspartate | 0.22 ± 0.01 c | 0.38 ± 0.0 b | 0.35 ± 0.11 b | 0.48 ± 0.01 a |
| Cystine | 0.27 ± 0.21 d | 0.51 ± 0.40 c | 0.73 ± 0.4 ab | 0.93 ± 0.3 a |
| Tyrosine | 0.46 ± 0.03 d | 0.68 ± 0.06 c | 0.98 ± 0.01 b | 1.6 ± 0.03 a |
| Metabolites/Treatments | Control | Threshold Salinity | CNPs | CNPs + Threshold Salinity |
|---|---|---|---|---|
| Oxalic | 3.1 ± 0.17 b | 3.08 ± 0.3 a | 3.1 ± 0.2 ab | 3.67 ± 0.20 a |
| Malic | 14.4 ± 1.02 b | 17.6 ± 1.0 b | 15.2 ± 1.1 b | 29.1 ± 0.4 a |
| Succinic | 6.42 ± 0.27 c | 8.7 ± 0.06 b | 6.4 ± 0.26 c | 11.6 ± 0.6 a |
| Citric | 6.26 ± 0.39 b | 5.49 ± 0.0 b | 2.7 ± 0.15 c | 8.9 ± 0.60 a |
| Isobutyric | 4.02 ± 0.24 b | 5.91 ± 0.3 a | 4.0 ± 0.25 b | 4.9 ± 0.5 ab |
| Fumaric | 0.32 ± 0.02 c | 0.52 ± 0.03 b | 0.3 ± 0.03 c | 0.86 ± 0.4 a |
| Metabolites/Treatments | Control | Threshold Salinity | CNPs | CNPs + Threshold Salinity |
|---|---|---|---|---|
| Myristic (C14:0) | 0.61 ± 0.01 b | 1.21 ± 0.03 ab | 0.51 ± 0.01 b | 1.43 ± 0.5 a |
| Palmitic (C16:0) | 24.3 ± 2.3 c | 38.1 ± 2.75 b | 14.1 ± 1.43 d | 52.5 ± 5 a |
| Heptadecanoic (C17:0) | 0.06 ± 0.01 b | 0.08 ± 0.0 b | 0.05 ± 0.01 b | 0.15 ± 0.01 a |
| Stearic (C18:0) | 2.3 ± 0.35 b | 2.55 ± 0.1 b | 1.98 ± 0.32 c | 3.94 ± 0.2 a |
| Arachidic (C20:0) | 1.72 ± 0.10 a | 1.12 ± 0.0 b | 0.80 ± 0.04 c | 1.71 ± 0.2 a |
| Docosanoic (C22:0) | 0.78 ± 0.17 a | 0.71 ± 0.03 a | 0.50 ± 0.07 b | 0.92 ± 0.13 a |
| Tricosanoic (C23:0) | 0.04 ± 0.01 b | 0.05 ± 0.0 b | 0.04 ± 0.01 b | 0.13 ± 0.0 a |
| Pentacosanoic (C25:0) | 0.00 ± 0.00 b | 0.012 ± 0.00 a | 0.00 ± 0.0 b | 0.02 ± 0.00 a |
| Palmitoleic (C16:1) | 0.12 ± 0.03 c | 0.16 ± 0.01 b | 0.13 ± 0.04 c | 0.32 ± 0.05 a |
| Heptadecenoic (C17:1) | 0.22 ± 0.06 c | 0.31 ± 0.07 b | 0.09 ± 0.02 d | 0.46 ± 0.06 a |
| Oleic (C18:1) | 52.9 ± 4.6 b | 54.0 ± 2.0 ab | 34.5 ± 13.5 b | 71.1 ± 3.4 a |
| Linoleic (C18:2) | 0.03 ± 0.00 c | 0.05 ± 0.00 b | 0.01 ± 0.00 d | 0.07 ± 0.a |
| Linolenic(C18:3 ω − 3) | 0.02 ± 0.00 b | 0.05 ± 0.00 a | 0.01 ± 0.00 c | 0.06 ± 0.00 a |
| Eicosenoic (C20:1) | 1.37 ± 0.19 c | 1.9 ± 0.12 b | 0.66 ± 0.13 d | 2.5 ± 0.34 a |
| Tetracosenoic (C24:1) | 0.02 ± 0.00 a | 0.03 ± 0.0 a | 0.01 ± 0.00 b | 0.015 ± 0.0 b |
| Metabolites/Treatments | Control | Threshold Salinity | CNPs | CNPs + Threshold Salinity |
|---|---|---|---|---|
| Gallic acid | 2.32 ± 0.11 b | 3.5 ± 0.18 a | 3.37 ± 0.08 a | 3.17 ± 0.29 a |
| Caffeic acid | 5.0 ± 0.12 b | 7.97 ± 0.34 a | 6.78 ± 0.17 a | 6.51 ± 0.4 ab |
| p-Coumaric acid | 2.31 ± 0.03 b | 3.42 ± 0.17 a | 2.860 ± 0.08 ab | 2.8 ± 0.19 ab |
| Chicoric acid | 2.47 ± 0.02 b | 3.61 ± 0.15 a | 3.080 ± 0.03 a | 3.280 ± 0.04 a |
| Rosmarinic acid | 7.72 ± 0.17 b | 10.4 ± 0.04 a | 8.77 ± 0.19 b | 10.46 ± 0.06 a |
| Protocatechuic acid | 3.25 ± 0.09 b | 4.45 ± 0.08 a | 3.87 ± 0.12 b | 4.36 ± 0.09 a |
| Quercetin | 1.880 ± 0.07 a | 2.6 ± 0.09 a | 2.15 ± 0.09 a | 2.62 ± 0.04 a |
| Naringenin | 0.85 ± 0.02 a | 1.28 ± 0.08 a | 1.09 ± 0.06 a | 1.22 ± 0.04 a |
| Kaempferol | 12.5 ± 0.05 c | 21.6 ± 0.53 a | 15.7 ± 0.93 b | 20.9 ± 0.57 a |
| Luteolin | 2.28 ± 0.09 b | 3.8 ± 0.10 a | 3.10 ± 0.02 a | 3.94 ± 0.12 a |
| Apigenin | 0.07 ± 0.00 b | 0.11 ± 0.00 a | 0.09 ± 0.00 a | 0.11 ± 0.00 a |
| Naringenin | 0.10 ± 0.0 b | 0.16 ± 0.01 a | 0.140 ± 0.01 | 0.150 ± 0.0 a |
| Rutin | 0.03 ± 0.00 a | 0.04 ± 0.00 a | 0.03 ± 0.00 a | 0.03 ± 0.00 a |
| Chlorogenic acid | 0.58 ± 0.02 c | 0.92 ± 0.04 a | 0.75 ± 0.01 b | 0.77 ± 0.06 b |
| Metablites/Treatments | Control | Threshold Salinity | CNPs | CNPs + Threshold Salinity |
|---|---|---|---|---|
| Alpha-tocopherol | 1.90 ± 0.22 c | 2.7 ± 0.20 b | 2.28 ± 0.10 b | 5.5 ± 0.9 a |
| Beta-tocopherol | 0.32 ± 0.04 c | 0.76 ± 0.05 b | 0.39 ± 0.02 c | 0.91 ± 0.09 a |
| Sigma-tocopherol | 0.08 ± 0.01 c | 0.12 ± 0.0 b | 0.10 ± 0.00 c | 0.18 ± 0.01 a |
| Gama-tocopherol | 0.00 ± 0.00 a | 0.00 ± 0.00 a | 0.00 ± 0.00 a | 0.00 ± 0.00 a |
| Total tocopherols | 2.30 ± 0.27 c | 3.58 ± 0.6 b | 2.76 ± 0.12 c | 6.59 ± 0.9 a |
| Microorganism/Treatments | Control | Threshold Salinity | CNPs | CNPs + Threshold Salinity |
|---|---|---|---|---|
| Staphylococcus saprophyticus | 13.55 ± 0.75 c | 21.28 ± 1.72 a | 19.64 ± 0.10 b | 21.74 ± 0.84 a |
| Staphylococcus epidermidis | 16.96 ± 0.80 c | 24.92 ± 1.60 b | 25.50 ± 0.30 a | 26.85 ± 1.28 a |
| Enterococcus faecalis | 21.85 ± 0.88 b | 33.74 ± 0.77 a | 30.77 ± 1.32 a | 22.78 ± 5.53 b |
| Streptococcus salivarius | 18.90 ± 0.92 c | 33.34 ± 3.28 a | 21.99 ± 0.97 b | 25.51 ± 1.17 b |
| Escherichia coli | 22.90 ± 0.48 c | 27.02 ± 1.59 b | 25.89 ± 0.97 b | 30.70 ± 1.54 a |
| Salmonella typhimurium | 26.16 ± 0.86 b | 39.19 ± 0.58 a | 27.30 ± 1.05 b | 34.04 ± 1.20 a |
| Pseudomonas aeruginosa | 24.66 ± 1.06 c | 33.54 ± 1.02 b | 28.31 ± 1.22 c | 35.17 ± 1.02 a |
| Proteus vulgaris | 22.46 ± 0.85 c | 27.67 ± 3.13 b | 29.45 ± 0.48 a | 29.05 ± 1.42 a |
| Enterobacter aerogenes | 14.04 ± 0.63 c | 25.16 ± 0.78 a | 21.50 ± 0.49 b | 21.12 ± 0.88 b |
| Salmonella typhimurium | 8.00 ± 0.36 c | 14.22 ± 0.69 a | 11.60 ± 0.26 b | 13.70 ± 0.49 a |
| Candida albicans | 9.84 ± 0.41 c | 15.69 ± 0.06 ab | 14.00 ± 0.52 b | 18.49 ± 1.21 a |
| Aspergillus flavus | 10.75 ± 0.36 c | 18.56 ± 0.75 a | 14.57 ± 0.75 b | 17.27 ± 0.48 a |
Disclaimer/Publisher’s Note: The statements, opinions and data contained in all publications are solely those of the individual author(s) and contributor(s) and not of MDPI and/or the editor(s). MDPI and/or the editor(s) disclaim responsibility for any injury to people or property resulting from any ideas, methods, instructions or products referred to in the content. |
© 2023 by the authors. Licensee MDPI, Basel, Switzerland. This article is an open access article distributed under the terms and conditions of the Creative Commons Attribution (CC BY) license (https://creativecommons.org/licenses/by/4.0/).
Share and Cite
Zrig, A.; Hassan, A.H.A.; Korany, S.M.; Alsherif, E.A.; Selim, S.; El-Keblawy, A.; El-Sawah, A.M.; Sheteiwy, M.S.; Abideen, Z.; AbdElgawad, H. Metabolic Profiling Analysis Uncovers the Role of Carbon Nanoparticles in Enhancing the Biological Activities of Amaranth in Optimal Salinity Conditions. Sustainability 2023, 15, 14650. https://doi.org/10.3390/su151914650
Zrig A, Hassan AHA, Korany SM, Alsherif EA, Selim S, El-Keblawy A, El-Sawah AM, Sheteiwy MS, Abideen Z, AbdElgawad H. Metabolic Profiling Analysis Uncovers the Role of Carbon Nanoparticles in Enhancing the Biological Activities of Amaranth in Optimal Salinity Conditions. Sustainability. 2023; 15(19):14650. https://doi.org/10.3390/su151914650
Chicago/Turabian StyleZrig, Ahlem, Abdelrahim H. A. Hassan, Shereen Magdy Korany, Emad A. Alsherif, Samy Selim, Ali El-Keblawy, Ahmed M. El-Sawah, Mohamed S. Sheteiwy, Zainul Abideen, and Hamada AbdElgawad. 2023. "Metabolic Profiling Analysis Uncovers the Role of Carbon Nanoparticles in Enhancing the Biological Activities of Amaranth in Optimal Salinity Conditions" Sustainability 15, no. 19: 14650. https://doi.org/10.3390/su151914650
APA StyleZrig, A., Hassan, A. H. A., Korany, S. M., Alsherif, E. A., Selim, S., El-Keblawy, A., El-Sawah, A. M., Sheteiwy, M. S., Abideen, Z., & AbdElgawad, H. (2023). Metabolic Profiling Analysis Uncovers the Role of Carbon Nanoparticles in Enhancing the Biological Activities of Amaranth in Optimal Salinity Conditions. Sustainability, 15(19), 14650. https://doi.org/10.3390/su151914650

