Assessment and Characterization of Duck Feathers as Potential Source of Biopolymers from an Upcycling Perspective
Abstract
:1. Introduction
2. Materials and Methods
2.1. Pre-Treatment of Feathers
2.2. Proximate Analysis
2.3. Theoretical Heating Value
2.4. Crude Fat Content
2.5. Protein Content
2.6. Sodium Dodecyl Sulfate PolyAcrylamide Gel Electrophoresis (SDS-PAGE) Analysis
2.7. Feather–Solvent Interface
2.8. Chemical Durability Test
2.9. Hydrophobicity Test
2.10. Functional Group Analysis by Fourier Transform Infrared (FT-IR) Spectroscopy
2.11. Pyrolysis–Gas Chromatography/Mass Spectrometry
2.12. Thermogravimetric Analysis (TGA)
2.13. Differential Scanning Calorimetry (DSC)
2.14. X-ray Diffraction (XRD)
2.15. Scanning Electron Microscopy (SEM)
2.16. Solid-State 13C CP MAS Nuclear Magnetic Resonance Spectroscopy (NMR)
3. Results
3.1. Proximate Analysis
3.1.1. Moisture Content
3.1.2. Volatile Content
3.1.3. Ash Content
3.1.4. Fixed Carbon Content
3.2. Theoretical Heating Value
3.3. Crude Fat Content
3.4. Protein Content
3.5. Sodium Dodecyl Sulfate PolyAcrylamide Gel Electrophoresis (SDS-PAGE) Analysis
3.6. Feather–Solvent Interface
3.7. Chemical Durability Test
3.8. Hydrophobicity Test
3.9. Functional Group Analysis by Fourier Transform Infrared (FT-IR) Spectroscopy
3.10. Pyrolysis–Gas Chromatography/Mass Spectrometry
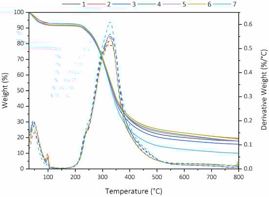
3.11. Thermogravimetric Analysis (TGA)
3.12. Differential Scanning Calorimetry (DSC)
3.13. X-ray Diffraction (XRD)
3.14. Scanning Electron Microscopy (SEM)
3.15. Solid-State 13C CP MAS NMR
4. PhysicoChemical Properties of Duck Feathers and Their Potential Value
4.1. High Keratin Content
4.2. Heating Value
4.3. Hydrophobicity
4.4. Honeycomb Structure
4.5. Fiber Structure
4.6. Biodegradability
5. Conclusions
Author Contributions
Funding
Institutional Review Board Statement
Informed Consent Statement
Data Availability Statement
Acknowledgments
Conflicts of Interest
References
- Irshad, A.; Sharma, B.D. Abattoir by-Product Utilization for Sustainable Meat Industry: A Review. J. Anim. Prod. Adv. 2015, 5, 681. [Google Scholar] [CrossRef]
- Lasekan, A.; Abu Bakar, F.; Hashim, D. Potential of chicken by-products as sources of useful biological resources. Waste Manag. 2013, 33, 552–565. [Google Scholar] [CrossRef] [PubMed]
- Tesfaye, T.; Sithole, B.; Ramjugernath, D. Valorisation of chicken feathers: A review on recycling and recovery route—Current status and future prospects. Clean Technol. Environ. Policy 2017, 19, 2363–2378. [Google Scholar] [CrossRef]
- Beylot, A.; Hochar, A.; Michel, P.; Descat, M.; Ménard, Y.; Villeneuve, J. Municipal Solid Waste Incineration in France: An Overview of Air Pollution Control Techniques, Emissions, and Energy Efficiency. J. Ind. Ecol. 2018, 22, 1016–1026. [Google Scholar] [CrossRef]
- Agreste. Filière Palmipèdes Gras; Agreste: Limoges, France, 2017. [Google Scholar]
- Rochlitz, I.; Broom, D.M. The welfare of ducks during foie gras production. Anim. Welf. 2017, 26, 135–149. [Google Scholar] [CrossRef]
- Franke-Whittle, I.H.; Insam, H. Treatment alternatives of slaughterhouse wastes, and their effect on the inactivation of different pathogens: A review. Crit. Rev. Microbiol. 2013, 39, 139–151. [Google Scholar] [CrossRef]
- Brandelli, A.; Sala, L.; Kalil, S.J. Microbial enzymes for bioconversion of poultry waste into added-value products. Food Res. Int. 2015, 73, 3–12. [Google Scholar] [CrossRef]
- Kondamudi, N.; Strull, J.; Misra, M.; Mohapatra, S.K. A green process for producing biodiesel from feather meal. J. Agric. Food Chem. 2009, 57, 6163–6166. [Google Scholar] [CrossRef]
- Campos, I.; Pinheiro Valente, L.M.; Matos, E.; Marques, P.; Freire, F. Life-cycle assessment of animal feed ingredients: Poultry fat, poultry by-product meal and hydrolyzed feather meal. J. Clean. Prod. 2020, 252, 119845. [Google Scholar] [CrossRef]
- Saravanan, K.; Dhurai, B. Exploration on amino acid content and morphological structure in chicken feather fiber. J. Text. Apparel, Technol. Manag. 2012, 7, 1–6. [Google Scholar]
- Bulaj, G. Formation of disulfide bonds in proteins and peptides. Biotechnol. Adv. 2005, 23, 87–92. [Google Scholar] [CrossRef]
- Alibardi, L. Immunolocalization of alpha-keratins and feather beta-proteins in feather cells and comparison with the general process of cornification in the skin of mammals. Ann. Anat. 2013, 195, 189–198. [Google Scholar] [CrossRef]
- Wang, B.; Yang, W.; McKittrick, J.; Meyers, M.A. Keratin: Structure, mechanical properties, occurrence in biological organisms, and efforts at bioinspiration. Prog. Mater. Sci. 2016, 76, 229–318. [Google Scholar] [CrossRef]
- Chaitanya Reddy, C.; Khilji, I.A.; Gupta, A.; Bhuyar, P.; Mahmood, S.; Saeed AL-Japairai, K.A.; Chua, G.K. Valorization of keratin waste biomass and its potential applications. J. Water Process Eng. 2021, 40, 101707. [Google Scholar] [CrossRef]
- Tesfaye, T.; Sithole, B.; Ramjugernath, D.; Chunilall, V. Valorisation of chicken feathers: Characterisation of chemical properties. Waste Manag. 2017, 68, 626–635. [Google Scholar] [CrossRef]
- Zhan, M.; Wool, R.P. Mechanical properties of chicken feather fibers. Polym. Compos. 2011, 32, 937–944. [Google Scholar] [CrossRef]
- Parikh, J.; Channiwala, S.A.; Ghosal, G.K. A correlation for calculating HHV from proximate analysis of solid fuels. Fuel 2005, 84, 487–494. [Google Scholar] [CrossRef]
- Jiang, B.; Tsao, R.; Li, Y.; Miao, M. Food Safety: Food Analysis Technologies/Techniques. Encycl. Agric. Food Syst. 2014, 3, 273–288. [Google Scholar] [CrossRef]
- Laemmli, U.K. Cleavage of structural proteins during the assembly of the head of bacteriophage T4. Nature 1970, 227, 680–685. [Google Scholar] [CrossRef]
- Kluska, J.; Kardaś, D.; Heda, Ł.; Szumowski, M.; Szuszkiewicz, J. Thermal and chemical effects of turkey feathers pyrolysis. Waste Manag. 2016, 49, 411–419. [Google Scholar] [CrossRef] [PubMed]
- Ingham, P.E. Pyrolysis of wool and the action of flame retardants. J. Appl. Polym. Sci. 1971, 15, 3025–3041. [Google Scholar] [CrossRef]
- Ronsse, F.; van Hecke, S.; Dickinson, D.; Prins, W. Production and characterization of slow pyrolysis biochar: Influence of feedstock type and pyrolysis conditions. GCB Bioenergy 2013, 5, 104–115. [Google Scholar] [CrossRef]
- Kwiatkowski, K.; Krzysztoforski, J.; Bajer, K.; Dudyński, M. Gasification of Feathers for Energy Production—A Case Study. In Proceedings of the 20th European Biomass Conference and Exhibition, Milan, Italy, 18–22 June 2012; pp. 1858–1862. [Google Scholar] [CrossRef]
- Rohman, A.; Che Man, Y.B. FTIR spectroscopy combined with chemometrics for analysis of lard in the mixtures with body fats of lamb, cow, and chicken. Int. Food Res. J. 2010, 17, 519–526. [Google Scholar]
- Poole, A.J.; Church, J.S.; Huson, M.G. Environmentally sustainable fibers from regenerated protein. Biomacromolecules 2009, 10, 1–8. [Google Scholar] [CrossRef] [PubMed]
- Slangen, K.J. Patent Application Publication. U.S. Patent 2007/0260043 A1, 7 June 2007. [Google Scholar]
- Lee, B.; Richards, F.M. The interpretation of protein structures: Estimation of static accessibility. J. Mol. Biol. 1971, 55, 379–400. [Google Scholar] [CrossRef]
- Finney, J.L. Volume occupation, environment, and accessibility in proteins. Environment and molecular area of RNase-S. J. Mol. Biol. 1978, 119, 415–441. [Google Scholar] [CrossRef]
- Shrake, A.; Rupley, J.A. Environment and exposure to solvent of protein atoms. Lysozyme and insulin. J. Mol. Biol. 1973, 79, 361–371. [Google Scholar] [CrossRef] [PubMed]
- Magnusson, K.E. The hydrophobic effect and how it can be measured with relevance for cell–cell interactions. Scand. J. Infect. Dis. Suppl. 1980, (Suppl. 24), 131–134. [Google Scholar]
- Miwa, M.; Nakajima, A.; Fujishima, A.; Hashimoto, K.; Watanabe, T. Colloids Surf. Org. Coat. Appl. Polym. Sci. Proc 1999, 15. [Google Scholar]
- Liu, Y.; Chen, X.; Xin, J.H. Hydrophobic duck feathers and their simulation on textile substrates for water repellent treatment. Bioinspiration Biomim. 2008, 3, 046007. [Google Scholar] [CrossRef]
- Roach, P.; Shirtcliffe, N.J.; Newton, M.I. Progess in superhydrophobic surface development. Soft Matter 2008, 4, 224–240. [Google Scholar] [CrossRef]
- Quéré, D.; Reyssat, M. Non-adhesive lotus and other hydrophobic materials. Philos. Trans. R. Soc. A Math. Phys. Eng. Sci. 2008, 366, 1539–1556. [Google Scholar] [CrossRef]
- Nosonovsky, M.; Bhushan, B. Biologically inspired surfaces: Broadening the scope of roughness. Adv. Funct. Mater. 2008, 18, 843–855. [Google Scholar] [CrossRef]
- Richards, F.M. Areas, volumes, packing, and protein structure. Annu. Rev. Biophys. Bioeng. 1977, 6, 151–176. [Google Scholar] [CrossRef] [PubMed]
- Finney, J.L. The organization and function of water in protein crystals. Philos. Trans. R. Soc. Lond. B. Biol. Sci. 1977, 278, 3–32. [Google Scholar] [CrossRef]
- Cozzone, A.J. Proteins: Fundamental Chemical Properties. eLS 2002, 1–10. [Google Scholar] [CrossRef]
- Sharma, S.; Gupta, A.; Saufi, S.M.; Kee, C.Y.G.; Podder, P.K.; Subramaniam, M.; Thuraisingam, J. Study of different treatment methods on chicken feather biomass. IIUM Eng. J. 2017, 18, 47–55. [Google Scholar] [CrossRef]
- Pourjavaheri-Jad, F.; Shanks, R.; Czajka, M.; Gupta, A. Purification and Characterisation of Feathers prior to Keratin Extraction. In Proceedings of the 8th International Chemical Engineering Congress & Exhibition (IChEC 2014), Kish, Iran, 24–27 February 2014. [Google Scholar]
- Kong, J.; Yu, S. Fourier transform infrared spectroscopic analysis of protein secondary structures. Acta Biochim. Biophys. Sin. 2007, 39, 549–559. [Google Scholar] [CrossRef] [PubMed]
- Barth, A. Infrared spectroscopy of proteins. Biochim. Biophys. Acta Bioenerg. 2007, 1767, 1073–1101. [Google Scholar] [CrossRef] [PubMed]
- Haris, P.I.; Severcan, F. FTIR spectroscopic characterization of protein structure in aqueous and non-aqueous media. J. Mol. Catal. B Enzym. 1999, 7, 207–221. [Google Scholar] [CrossRef]
- Jackson, M.; Mantsch, H.H. The use and misuse of FTIR spectroscopy in the determination of protein structure. Crit. Rev. Biochem. Mol. Biol. 1995, 30, 95–120. [Google Scholar] [CrossRef]
- Menefee, E.; Yee, G. Thermally-Induced Structural Changes in Wool. Text. Res. J. 1956, 35, 801–812. [Google Scholar] [CrossRef]
- Spei, M.; Holzem, R. Thermoanalytical investigations of extended and annealed keratins. Colloid Polym. Sci. 1987, 265, 965–970. [Google Scholar] [CrossRef]
- Alahyaribeik, S.; Ullah, A. Methods of keratin extraction from poultry feathers and their effects on antioxidant activity of extracted keratin. Int. J. Biol. Macromol. 2020, 148, 449–456. [Google Scholar] [CrossRef]
- Khosa, M.A.; Wu, J.; Ullah, A. Chemical modification, characterization, and application of chicken feathers as novel biosorbents. RSC Adv. 2013, 3, 20800–20810. [Google Scholar] [CrossRef]
- Sullivan, T.N.; Pissarenko, A.; Herrera, S.A.; Kisailus, D.; Lubarda, V.A.; Meyers, M.A. A lightweight, biological structure with tailored stiffness: The feather vane. Acta Biomater. 2016, 41, 27–39. [Google Scholar] [CrossRef] [PubMed]
- Donato, R.K.; Mija, A. Keratin associations with synthetic, biosynthetic and natural polymers: An extensive review. Polymers 2020, 12, 32. [Google Scholar] [CrossRef] [PubMed]
- Feroz, S.; Muhammad, N.; Ranayake, J.; Dias, G. Keratin—Based materials for biomedical applications. Bioact. Mater. 2020, 5, 496–509. [Google Scholar] [CrossRef]
- Kovalev, A.; Filippov, A.E.; Gorb, S.N. Unzipping bird feathers. J. R. Soc. Interface 2014, 11, 20130988. [Google Scholar] [CrossRef]
- Sullivan, T.N.; Wang, B.; Espinosa, H.D.; Meyers, M.A. Extreme lightweight structures: Avian feathers and bones. Mater. Today 2017, 20, 377–391. [Google Scholar] [CrossRef]
- Idris, A.; Vijayaraghavan, R.; Patti, A.F.; Macfarlane, D.R. Distillable protic ionic liquids for keratin dissolution and recovery. ACS Sustain. Chem. Eng. 2014, 2, 1888–1894. [Google Scholar] [CrossRef]
- Yoshimizu, H.; Mimura, H.; Ando, I. 13C CP /MAS NMR Study of the Conformation of Stretched or Heated Low-Sulfur Keratin Protein Films. Macromolecules 1991, 24, 862–866. [Google Scholar] [CrossRef]
- Utiu, L.; Demco, D.E.; Fechete, R.; Möller, M.; Popescu, C. Morphology and molecular dynamics of hard α-keratin based micro-tubes by 1H and 13C solid-state NMR. Chem. Phys. Lett. 2011, 517, 86–91. [Google Scholar] [CrossRef]
- Duer, M.J.; McDougal, N.; Murray, R.C. A solid-state NMR study of the structure and molecular mobility of α-keratin. Phys. Chem. Chem. Phys. 2003, 5, 2894–2899. [Google Scholar] [CrossRef]
- Idris, A.; Vijayaraghavan, R.; Rana, U.A.; Fredericks, D.; Patti, A.F.; MacFarlane, D.R. Dissolution of feather keratin in ionic liquids. Green Chem. 2013, 15, 525–534. [Google Scholar] [CrossRef]



















| Category | wt% | Whole-Feather Height (mm) | Whole-Feather Weight (g) | Calamus (wt%) | Rachis (wt%) | Barbs (wt%) |
|---|---|---|---|---|---|---|
| 2 | 58.26 | 229.5 | 0.74 | 30 | 40 | 30 |
| 3 | 27.59 | 186.7 | 0.35 | 26 | 40 | 34 |
| 4 | 7.90 | 118.8 | 0.16 | 26 | 28 | 46 |
| 5 | 3.40 | - | - | - | - | - |
| 6 | 0.18 | - | - | - | - | - |
| 7 | 0.19 | - | - | - | - | - |
| Waste | 2.48 | - | - | - | - | - |
| Barbs | Calamus | Rachis | |||||||
|---|---|---|---|---|---|---|---|---|---|
| 2 h | 24 h | 7 d | 2 h | 24 h | 7 d | 2 h | 24 h | 7 d | |
| Cold water pH: 5.93 | No change | Slightly grey | Softer and grey | No change | Less transparent and softer | Brittle and more matte in color | No change | A little change in color | Degradation with milky dispersion |
| 1% H2SO4 pH: 0.96 | Slightly yellow | Degradation | Fibers are smaller and yellower | Whiter in color and a little degradation | Softer, mass loss, and more matte in color | Degradation and more white | No change in color, softer | No change in color, softer | Degradation, but no change of color |
| 1% CH3COOH pH: 3.05 | Slightly yellow | Yellower | Yellower | Whiter and a little degradation | Softer, more matte, and intermediate degradation | Whiter, softer, and high degradation | No change | Still very hard, more yellow | Hard and more yellow |
| 4% NaClO2 pH: 11.32 | Whiter | Less brilliant and with rose tones | Presence of rose tones | Whiter with a dispersion of particles | More matte and rose | Softer and more rose | Slightly whiter | More rose and softer | Degradation |
| 1% NaOH pH: 12.54 | Viscous, immediate swelling, and change to yellow | Yellower | Highly yellow | More matte and yellow | More viscous and yellower | Less yellow and high degradation | Softer and yellower | Softer and more yellow | Degradation with powder dispersion |
| 0,5% Na2CO3H2O pH: 10.75 | A little change of color | Grey | More grey | Still transparent | Still hard and more matte | More matte and softer | No change | Softer | Degradation |
| Apex RT | Start RT | End RT | Area | %Area | Height | %Height | Potential Name | CAS | RSI | % Probability | Amino-Acid |
|---|---|---|---|---|---|---|---|---|---|---|---|
| 2.41 | 2.19 | 2.41 | 10,217,944.3 | 1.34 | 1,216,886.09 | 1.72 | Carbonyl sulfide | 463-58-1 | 959 | 43.16 | Cysteine |
| 3.01 | 2.99 | 3.24 | 6,502,024.97 | 0.86 | 934,414.229 | 1.32 | 3-Pyrroline | 109-96-6 | 822 | 17.79 | Proline |
| 3.82 | 3.73 | 4.51 | 89,308,181.4 | 11.75 | 7,800,103.03 | 11 | Tropilidene = 1,3,5-cycloheptatriene | 544-25-2 | 884 | 22.15 | Unknown |
| 5.09 | 5.01 | 5.18 | 7,035,543.03 | 0.93 | 1,202,476.91 | 1.7 | Isoamyl cyanide | 542-54-1 | 856 | 81.56 | Cysteine |
| 5.2 | 5.19 | 5.39 | 4,261,249.52 | 0.56 | 812,735.278 | 1.15 | 2-Methylpyrrole | 636-41-9 | 788 | 48.66 | Threonine |
| 6.24 | 6.17 | 6.71 | 48,787,578.5 | 6.42 | 3,204,032.84 | 4.52 | Annulene | 629-20-9 | 903 | 41.83 | Unknown |
| 8.02 | 7.95 | 8.1 | 1,347,111.09 | 0.18 | 273,960.67 | 0.39 | 2-(benzylamino)-Ethanol | 104-63-2 | 802 | 19.72 | Phenylalanine |
| 8.45 | 8.4 | 8.51 | 432,117.49 | 0.06 | 148,100.749 | 0.21 | 1-Pyrrolidinacetonitril | 29134-29-0 | 712 | 23.23 | Proline |
| 8.81 | 8.75 | 8.91 | 1,045,985.54 | 0.14 | 254,387.344 | 0.36 | 4-Ethyl-2-Methyl-1H-pyrrole | 5690-96-0 | 757 | 11.11 | Leucine |
| 9.37 | 9.3 | 9.46 | 1,360,422.97 | 0.18 | 243,607.197 | 0.34 | 1-Ethyl-2-Pentylcyclopropane | 62238-08-8 | 838 | 10.72 | Valine |
| 9.66 | 9.6 | 9.87 | 13,611,271.7 | 1.79 | 1,264,273.21 | 1.78 | Phenol | 108-95-2 | 822 | 21.63 | Tyrosine |
| 11.74 | 11.69 | 11.8 | 1,669,514.18 | 0.22 | 402,848.019 | 0.57 | Limonene oxide | 4959-35-7 | 623 | 11.87 | Unknown |
| 11.83 | 11.81 | 11.94 | 2,685,717.76 | 0.35 | 629,397.282 | 0.89 | Pyrrole-3-butyronitrile | 874-91-9 | 727 | 15.53 | Cysteine |
| 13.37 | 13.31 | 13.88 | 50,337,462.2 | 6.62 | 2,993,103.56 | 4.22 | m-Cresol | 108-39-4 | 865 | 30.77 | Tyrosine |
| 15.29 | 15.25 | 15.36 | 1,788,578.54 | 0.24 | 450,982.12 | 0.64 | 3-Methyl-1H-Pyrazol-4-amine | NA | 755 | 37.76 | Histidine |
| 15.6 | 15.55 | 15.71 | 9,237,260.71 | 1.22 | 1,768,648.09 | 2.49 | o-Tolylisocyanide | 10468-64-1 | 842 | 20.19 | Phenylalanine |
| 17.75 | 17.69 | 17.87 | 5,245,694.99 | 0.69 | 938,328.249 | 1.32 | 1,1,2,3-Tertramethylcyclohexane | 6783-92-2 | 767 | 7.25 | Leucine |
| 18.12 | 18.08 | 18.26 | 2,885,956.51 | 0.38 | 583,139.227 | 0.82 | 2,6-Dimethyldecane | 13150-81-7 | 793 | 10.57 | Leucine |
| 18.91 | 18.84 | 18.97 | 926,986.122 | 0.12 | 247,447.628 | 0.35 | N-Vinyl-2-pyrrolidone | 88-12-0 | 764 | 74.06 | Proline |
| 19.12 | 19.08 | 19.2 | 1,299,226.6 | 0.17 | 383,174.285 | 0.54 | 6,7-Dihydro-4H-tetrazolo [1,5-a]pyrimidin-5-one | NA | 633 | 29.65 | Histidine |
| 19.97 | 19.93 | 20.01 | 2,568,021.18 | 0.34 | 687,111.613 | 0.97 | 3-Phenylproprionitrile | 645-59-0 | 853 | 45.25 | Phenylalanine |
| 22.17 | 22.11 | 22.23 | 2,357,982.19 | 0.31 | 673,214.156 | 0.95 | Cyclotridecane | 295-02-3 | 818 | 5.28 | Unknown |
| 22.64 | 22.58 | 22.8 | 5,908,475.42 | 0.78 | 662,919.761 | 0.94 | 5H-1-Pyrindine | 270-91-7 | 868 | 42.7 | Histidine |
| 22.96 | 22.92 | 23.04 | 2,712,484.68 | 0.36 | 697,079.157 | 0.98 | N-Allyl-1-1aziridnecarboxamide | 30530-01-9 | 762 | 50.27 | Serine |
| 23.39 | 23.33 | 23.45 | 1,334,877.14 | 0.18 | 397,531.214 | 0.56 | Cyclobutanone, oxim | 2972-05-6 | 865 | 60.45 | Proline |
| 24.45 | 24.41 | 24.5 | 1,987,654.55 | 0.26 | 683,373.916 | 0.96 | 3,56-Diazohomoadamantan-9-one | 126126-45-2 | 608 | 19.03 | Unknown |
| 30.58 | 30.49 | 30.62 | 2,320,396.36 | 0.31 | 715,367.162 | 1.01 | 1-Hydrocyclodecanecarbonitrile | 882-83-7 | 709 | 3.52 | Cysteine |
| 30.89 | 30.8 | 31.51 | 17,335,673.5 | 2.28 | 1,333,680.93 | 1.88 | 2,6,10,15-Tetramethylheptadecane | 54833-48-6 | 723 | 8.67 | Unknown |
| 32.04 | 31.84 | 32.2 | 13,240,315.7 | 1.74 | 1,404,982.68 | 1.98 | 3,3′-Tertramethylenebis(2-oxo-1,3-oazolidine) | 91005-98-0 | 554 | 10.53 | Unknown |
| 34.51 | 34.45 | 34.55 | 2,455,711.36 | 0.32 | 832,483.357 | 1.17 | 10-Heneicosene | 95008-11-0 | 838 | 3.5 | Unknown |
| 35.63 | 35.42 | 36.19 | 21,283,538.5 | 2.8 | 983,209.885 | 1.39 | Hexahzdropyrrolizin-3-one | 126424-83-7 | 695 | 23.3 | Proline |
| 38.88 | 38.79 | 38.93 | 3,262,824.64 | 0.43 | 659,253.54 | 0.93 | 2,4,4-Trimethyl-3-(3-oxobutyl)cyclohex-2-enone | 72008-46-9 | 585 | 14.29 | Unknown |
| 39.4 | 39.2 | 39.62 | 4,589,236.9 | 0.6 | 441,207.251 | 0.62 | 3-[(2E)-2-Butenyl]thiophene | 53966-44-2 | 641 | 5.97 | Methionine |
| 42.2 | 41.91 | 42.81 | 21,148,967.5 | 2.78 | 733,781.531 | 1.04 | Hexahydropyrrolo [1,2-a]pyrazine-1,4-dione | 19179-12-5 | 767 | 21.22 | Proline |
| 45.42 | 44.89 | 45.77 | 26,838,322.1 | 3.53 | 2,905,599 | 4.1 | Hexadecanenitrile | 629-79-8 | 748 | 15.48 | Hexadecanoic acid |
| 47 | 46.53 | 47.22 | 48,940,750 | 6.44 | 2,118,489.89 | 2.99 | 3-Isobutylhrxahydropyrrolo [1,2-a]pyrayine-1,4-dione | 5654-86-4 | 748 | 86.31 | Leucine |
| 51.9 | 51.82 | 51.96 | 10,502,814.2 | 1.38 | 2,634,405.55 | 3.72 | Eicosanonitrile | 4616-73-3 | 721 | 25.5 | Icosanoic acid |
| 54.36 | 54.24 | 54.56 | 8,359,922.5 | 1.1 | 994,112.793 | 1.4 | Palmitamide | 629-54-9 | 711 | 46.5 | Hexadecanoic acid |
| 58.76 | 58.59 | 59.07 | 23,080,982.3 | 3.04 | 1,585,611.64 | 2.24 | Pyrrolo [1,2-a]pyrazine-1,4-dione, hexahydro-3-(phenylmethyl)- | 14705-60-3 | 813 | 68.51 | Tryptophan |
| 59.9 | 59.67 | 60.48 | 44,684,442.7 | 5.88 | 2,441,789.35 | 3.44 | Pyrrolo [1,2-a]pyrazine-1,4-dione, hexahydro-3-(phenylmethyl)- | 14705-60-3 | 813 | 68.51 | Tryptophan |
| 61.08 | 60.99 | 61.15 | 11,398,521 | 1.5 | 2,433,167.39 | 3.43 | trans-2,3-Diphenylcyclopropylmethyl Phenyl Sulfide Sulfoxide | 131758-71-9 | 679 | 31.87 | Methionine |
| Category | Crystallinity Rate (%) | α-Helix Structure (%) | Random Coil + β-Sheet Structure (%) |
|---|---|---|---|
| 1 | 57.26 | 31.56 | 68.44 |
| 2 | 53.64 | 31.69 | 68.31 |
| 3 | 54.03 | 31.98 | 68.02 |
| 4 | 56.14 | 33.01 | 66.99 |
| 5 | 60.90 | 31.22 | 68.78 |
| 6 | 57.42 | 36.65 | 63.35 |
| 7 | 52.15 | 32.71 | 67.29 |
| Barbs | 55.21 | 36.55 | 63.45 |
| Rachis | 53.05 | 30.85 | 69.15 |
| Calamus | 54.63 | 31.27 | 68.73 |
Disclaimer/Publisher’s Note: The statements, opinions and data contained in all publications are solely those of the individual author(s) and contributor(s) and not of MDPI and/or the editor(s). MDPI and/or the editor(s) disclaim responsibility for any injury to people or property resulting from any ideas, methods, instructions or products referred to in the content. |
© 2023 by the authors. Licensee MDPI, Basel, Switzerland. This article is an open access article distributed under the terms and conditions of the Creative Commons Attribution (CC BY) license (https://creativecommons.org/licenses/by/4.0/).
Share and Cite
Alvarez, S.; Raydan, N.D.V.; Svahn, I.; Gontier, E.; Rischka, K.; Charrier, B.; Robles, E. Assessment and Characterization of Duck Feathers as Potential Source of Biopolymers from an Upcycling Perspective. Sustainability 2023, 15, 14201. https://doi.org/10.3390/su151914201
Alvarez S, Raydan NDV, Svahn I, Gontier E, Rischka K, Charrier B, Robles E. Assessment and Characterization of Duck Feathers as Potential Source of Biopolymers from an Upcycling Perspective. Sustainability. 2023; 15(19):14201. https://doi.org/10.3390/su151914201
Chicago/Turabian StyleAlvarez, Sandra, Nidal Del Valle Raydan, Isabelle Svahn, Etienne Gontier, Klaus Rischka, Bertrand Charrier, and Eduardo Robles. 2023. "Assessment and Characterization of Duck Feathers as Potential Source of Biopolymers from an Upcycling Perspective" Sustainability 15, no. 19: 14201. https://doi.org/10.3390/su151914201
APA StyleAlvarez, S., Raydan, N. D. V., Svahn, I., Gontier, E., Rischka, K., Charrier, B., & Robles, E. (2023). Assessment and Characterization of Duck Feathers as Potential Source of Biopolymers from an Upcycling Perspective. Sustainability, 15(19), 14201. https://doi.org/10.3390/su151914201

