Next Article in Journal
China’s Future Countryside Model Construction and Development Level Evaluation
Previous Article in Journal
In Search of Equitable Resilience: Unravelling the Links between Urban Resilience Planning and Social Equity
 
 
Font Type:
Arial Georgia Verdana
Font Size:
Aa Aa Aa
Line Spacing:
Column Width:
Background:
Article

Investigation on Air Ventilation within Idealised Urban Wind Corridors and the Influence of Structural Factors with Numerical Simulations

School of Human Settlements and Civil Engineering, Xi’an Jiaotong University, Xi’an 710049, China
*
Authors to whom correspondence should be addressed.
Sustainability 2023, 15(18), 13817; https://doi.org/10.3390/su151813817
Submission received: 24 July 2023 / Revised: 18 August 2023 / Accepted: 14 September 2023 / Published: 16 September 2023

Abstract

:
Wind corridors are expected to be effective in alleviating the canopy urban heat island effect and air pollution. However, investigations on airflow characteristics within wind corridors, especially the influences of structural factors, are still limited. This current work performed numerical simulations on a group of idealised wind corridor models with different aspect ratios (ARs) and varying heights and/or widths along the corridors. Simulations revealed that the AR value had a vital influence on the wind speed, and an AR value of 0.1 facilitated the best ventilation conditions within the wind corridor. Structural variations along the corridor have a critical influence on ventilation, where the width contraction (contraction structure) and high-rise buildings (protrusion structure) would considerably weaken the wind speed within the corridors. The results suggested that wider and step-up structural design along the corridor should be encouraged in urban wind corridor planning, which would be helpful in promoting ventilation efficiency; but contraction structures should be prevented for primary wind corridor design.

1. Introduction

Urban areas are facing severe environmental problems owing to rapid urbanisation, such as air pollution, the urban heat island (UHI) effect, and poor air ventilation within the urban canopy layer [1,2,3,4]. The UHI refers to a phenomenon where the urban surface is changed due to human reasons, causing the temperature in the urban area to be generally higher than the temperature of the surrounding suburbs at the same time. How the ventilation within an urban canopy could be effectively promoted so as to alleviate the UHI effect and air pollution has become an urgent problem that has received attention from governments and researchers [5,6,7,8].
At present, there is much research on street canyons, which is generally divided into cases where the direction of the background flow is parallel or perpendicular to it.
Nakamura and Oke [9] found that when the direction of the incoming flow was perpendicular to the street canyon, there would be a stable vortex; when parallel, channelling wind would be formed; when there was a certain angle, there would be a spiral vortex; and when the wind speed in the street canyon was small, it was most unfavourable to the diffusion of pollutants when the incoming flow was perpendicular. Schatzmann and Leitl [10] and Kastner-Klein and Plate [11] observed that when the wind direction changed from vertical wind to parallel wind, the concentration of gaseous pollutants at pedestrian height decreased by nearly 67%.
Compared with research on the vertical direction of the incoming flow, there are few parallel studies. And the parallel studies are similar to the studies on the ventilation corridor.
Wind corridors are ‘channels’ that are expected to promote air ventilation within the urban canopy layer. Macroscopically, urban wind corridors (UWCs) are expected to introduce clean cold air from the suburbs into urban areas and enhance the transportation of pollutants from the urban canopy to the outer external atmosphere to alleviate the UHI effect and air pollution [12,13,14].
The role of UWCs in mitigating UHIs has become a concern since the 1960s. In the last half-century, theoretical research and applications in urban planning have been conducted in numerous urban areas including Stuttgart and Tokyo [15,16]. The orientation of the UWCs was designed to be perpendicular to the coastline to introduce sea breezes into urban areas of Tokyo [16]. Air ventilation design in Hong Kong was aimed at alleviating air pollution, where building arrangement, layout, and building height variations were expected to promote air circulation [17,18,19,20,21]. Lai et al. [22] proposed and verified a sky-view factor-based method for potential UWC detection in a built-up urban area that could accurately identify wind corridors at a spatial resolution of 10 m. Unger also showed a connection between the UHIs and the sky-view factor based on a 3D urban database [23]. Chen et al. [24] proposed a self-compiled least-cost path analysis method based on the frontal area index, which was used in mapping potential UWCs traversing through the urban areas of Guiyang, China.
Although UWC design has been practiced in a number of urban areas, the airflow characteristics within corridors and especially the influences of structural conditions of the buildings along the corridor have not been investigated explicitly [25,26,27,28].
Numerical simulations are the most frequently used method for studying urban wind environments [29,30]. Ashie et al. [31] simulated the wind field over an area of 5 km2 in Tokyo using a computational fluid dynamics (CFDs) method. Their simulations highlighted the huge workload in a large area and at a high grid resolution (<10 m). Based on simulations with a weather research and forecasting (WRF) framework, Zhou et al. [32] recommended UWCs in Guiyang, China, in which the major and secondary wind corridors were divided. The grid resolution in simulations with WRF was approximately 0.5–1 km, which was even larger than the width of the UWC, making it impossible to accurately reflect the wind field information within the corridors [33]. It is clear that mesoscale simulations cannot be used to investigate the airflow characteristics and the influence of structural factors within UWCs [34,35,36]. Thus, idealised wind corridor models (WCMs) should be constructed, to simulate the wind field within wind corridors with the CFDs method under a reasonable workload [37,38].
In the current work, full-scale WCMs were constructed. The wind field within the WCM was simulated with large eddy simulations (LESs) [39]. With these simulations, the influence of structural factors, including the aspect ratio (AR), building height, and/or width variation along the corridors, were investigated.

2. Methodology

2.1. Idealised WCM

We proposed an idealised WCM with full-scale buildings on both sides, as shown in Figure 1. The buildings were modelled using symmetrical solid cuboids. An H0 = 30 m was used as a reference parameter in the simulations. To investigate the influence of the AR value on airflow characteristics within the corridor, two groups of simulation cases were simulated, as demonstrated in Table 1. In the first group, the building height (H) was constant, H = H0 = 30 m; however, the width (W) values were set to 2H0, 3H0, 5H0, 10H0, 20H0, and 50H0 to obtain different AR values, which were 0.5, 0.33, 0.2, 0.1, 0.05, and 0.02, respectively. For the second group, the width of the corridor was constant, W = 2H0 = 60 m; however, the H values were set to be H0, 2H0, 3H0, 4H0, 5H0, 6H0, 8H0, and 10H0 to obtain AR values of 0.5, 1, 1.5, 2, 2.5, 3, 4, and 5, respectively. The first group represented uniform, wide corridors, whereas the second group represented uniform, narrow corridors.
The structure of actual UWC would be different from these idealised models. For example, the height of buildings on both sides and the width of the canyon along the corridor may vary [40]. The airflow conditions within the UWCs are influenced by these structural factors. Therefore, we considered the local structural variation in the WCM with another eight groups of simulation cases, as shown in Table 1 as well.
In groups 3–6, the height variation of buildings was considered with a constant corridor width of 2H0. The outline of buildings along the corridor was presented in shapes of step-up, step-down, step-up-down, and step-down-up, respectively. In groups 7–10, the width variation of the corridor was considered with a constant building height of H0. The width along the corridor was narrow-wide, wide-narrow, narrow-wide-narrow, and wide-narrow-wide. The simulation cases were marked by the AR values along the corridor, for example, [(H1/W1)–(H2/W2)] or [(H1/W1)–(H2/W2)–(H3/W3)].
For groups 3, 4, 7, and 8, the corridors were divided into two sections (denoted as section I and section II, respectively) along the stream-wise direction, each of which had a length of 200H0. For groups 5, 6, 9, and 10, the corridors were divided into three sections (denoted as section I, section II, and section III, respectively) along the stream-wise direction, where the length of the first (section I) and third (section III) sections were 150H0, and the length of the middle section (section II) was 100H0. In addition, a flat plate flow case without buildings was simulated as the reference case to better reflect the advantages and disadvantages of the ventilation conditions in the corridors.

2.2. Numerical Model and Boundary Conditions

In this study, the open-source CFD software package, OpenFOAM (version 2.2.3), was used for numerical simulations [41,42]. The incompressible flow assumption and LES were used for turbulent flow simulations. In the current simulations, the Smagorinsky sub-grid scale (SGS) model was used [43,44]. The Navier–Stokes equations can be expressed as follows.
Continuous equation:
u i ¯ / x i = 0
Momentum equation:
u i ¯ t + x j u i ¯ u j ¯ = 1 ρ p ¯ x j + x j υ + υ S G S u i ¯ x j + u j ¯ x i + S i
where u i ¯ (i = 1, 2, 3) is the filtered wind speed, m∙s−1; x is space coordinate, m; i and j are the vector components; p is the air pressure, Pa; t is the time, s; ρ is the air density, kg∙m−3; Si is the source terms of the momentum equation; υ is the air viscosity, 1.4 × 10−5 m2∙s−1; and υSGS is the subgrid viscosity, m2∙s−1.
The subgrid viscosity is calculated by:
υ S G S = C S Δ ¯ 2 S ¯
where Cs is the Smagorinsky constant (0.08 in this study); ¯ is the grid scale, which is obtained by solving ( 1 ¯ · 2 ¯ · 3 ¯ )1/3, where 1 ¯ , 2 ¯ , 3 ¯ represent the grid size in the x, y, and z directions, respectively, m; and S ¯ is the modulus of the resolved strain rate tensor, s−1. It can be calculated by:
S ¯ = 2 S ij ¯ S ij ¯ 1 / 2
where S i j ¯ is the strain rate tensor.
S i j ¯ = 1 2 u i ¯ x j + u j ¯ x i
The incoming wind speed was assumed to vary exponentially with height, as shown in Equation (6).
U 0 ( z ) = U r e f z 2 0.3
where Uref is the reference wind speed (5.0 m/s in the current simulations). The pressure boundary conditions were used at the outlet, and symmetrical boundary conditions were applied to the span-wise boundaries of the computational domain. Moreover, slip boundary conditions were used at the top of the computational domain, and non-slip wall boundary conditions were used on the building surface and bottom of the computational domain.
In this study, blockMesh, provided by OpenFOAM, was used to divide the computational domain. The grid around the building was optimised using local encryption owing to the large research area, as shown in Figure 1. The grid scale was 0.03H0 for the first H0 in the vertical direction and increased gradually with height above H0. The total number of grids was 1.06 million.

2.3. Model Validation

Hang et al. [37] studied the ventilation characteristics in an ideal long-street canyon using wind tunnel experiments. The idealised long-street canyon model is similar to the idealised WCM established in this study. Simulations were performed according to the wind tunnel experiments of Hang et al. [37] to verify the accuracy of the proposed numerical model.
In the wind tunnel experiments, the building height (H) on both sides of the canyon was 69 mm, the street canyon length (L) was 43.5H, the width of the canyon (W) was 2H, and the width of the building was 3H. The distance between the entrance of the street canyon and the inlet boundary of the computing domain was 29H, the distance between the exit of the street canyon and the outlet boundary of the computing domain was 50.7H, and the distance between the tops of the building and the computing domain was 11.5H. Observation points A and B were 25.1H and 20H away from the street canyon entrance, respectively. The mesh near the building surface was refined, and the smallest mesh was 0.03H. The wind profile at the inlet of the computational domain was set as follows.
U 0 ( z ) = U r e f z H 0.147
where Uref is the reference wind speed, which was set to be 17.22 m/s in this simulation. The vertical variations in stream-wise wind velocities at the two observation points are presented and compared to the wind tunnel experiment results in Figure 2.
As shown in Figure 2, the vertical distribution of velocities in the simulations and wind tunnel experiments at positions A and B were consistent with the errors primarily concentrated in the area close to the ground. Table 2 presents the relative errors, which were less than 7% and exhibited agreement between the numerical simulation results and the wind tunnel experiments.

3. Results and Discussion

3.1. Wind Field within Uniform Wind Corridor

For the uniform case with an AR = 0.5, where the corridor width was 2H0 and the building height was H0, the characteristics of the wind field within the corridor were investigated. The distribution of stream-wise and vertical wind velocities on the symmetry plane along of corridor at the height of 0.5H0 and H0 are shown in Figure 3. The stream-wise velocities were normalised using the inflow wind velocity at the same height, denoted as U0(z). Hereafter, in figures, a horizontal arrow was used to indicate the incoming flow, and dashed lines were used to indicate different positions.
Figure 3 exhibits that the distribution of stream-wise velocities varied along the corridor. The flow pattern could be divided into three sections, denoted as the entrance, middle, and exit sections. In the entrance section, the stream-wise velocity within the wind corridor first accelerated and then subsequently declined sharply, which was influenced by the geometry [37]. In the middle section, the stream-wise wind velocity gradually increased and then became stable, indicating that the airflow within the corridor was fully developed. Wind velocities in the fully developed section could be used to analyse the overall ventilation characteristics of a long wind corridor.
The averaged stream-wise velocity in the fully developed section was compared with that simulated in the plate flow. At the two different heights of 0.5H0 (or at the middle height of the corridor) and H0 (or at the top layer of the corridor), the stream-wise velocity within the corridor (Uc) was about 0.52 times the stream-wise velocity in the plate flow case (Up). It means that air ventilation within the WCM with an AR = 0.5 was weakened by about 48% compared to that in the plate flow. Thus, in the current work, the normalised stream-wise velocities were used to characterise the ventilation efficiency (VE = Uc/Up) of the corridor.
The evolution of airflow along the wind corridor also induced variations in the vertical wind velocity. As exhibited in Figure 3b, there was an evident upward and downward airflow at the entrance and exit sections of the corridor, respectively. The statistical results showed that the normalised mean values of the vertical velocities in the fully developed section were 0.0002U0 at z = 0.5H0 and 0.0004U0 at z = H0, respectively. Thus, there was generally a very weak upward air flow within and above the uniform corridor, which would be conducive to the removal of pollutants.
In the following, wind velocities and VE within the fully developed sections will be analysed to reveal the influence of structural factors on airflow conditions.

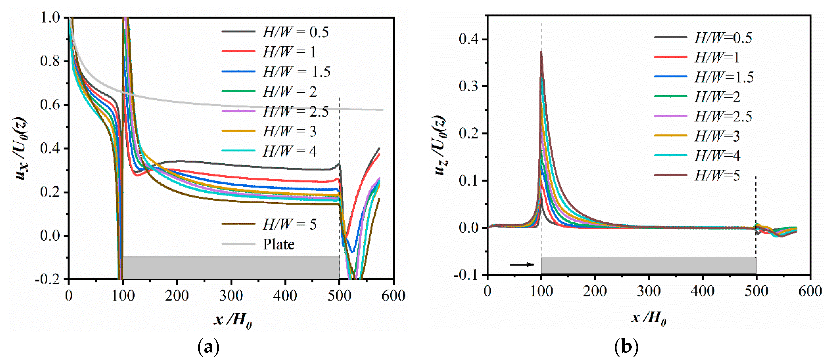
3.2. Effect of AR on Airflow within Uniform Wide Corridors

For the cases with AR values less than 0.5, denoted as uniform wide corridors, the simulated wind velocities along the centreline (at z = 0.5H0) on the symmetrical plane of the wind corridors are shown in Figure 4. Figure 4a exhibits that in the fully developed section, the stream-wise velocity along the centreline of the wind corridor increased as it became wider (or as the AR value decreased). When the AR value was larger than 0.2, the stream-wise velocity within the corridor was much lower than that of the plate flow, and the VE was sensitive to the changes in the corridor width (see also Appendix A Table A1). However, when the AR value was less than 0.1, the stream-wise velocities within the corridors were close to that of the plate flow, with VE around one. The difference between VE values of those three cases (with AR values of 0.1, 0.05, and 0.02, respectively) was not more than 5%, as exhibited in Appendix A Table A1. It means that the wind velocity within these WCMs was not sensitive to the changes in the corridor width anymore. Figure 5 also shows the vertical variation of the stream-wise velocity of two cases at x = 300H0 on the symmetrical plane, which confirmed that the distribution of velocities at AR values less than 0.1 was close to that under the plate flow as well.
It seems that there was a critical AR value of 0.1 for the wind corridor design. When the AR value was less than 0.1, the air ventilation within the corridor was efficient (with a VE value of about one). Wind corridors with an AR value of about 0.1 could be considered ideal wind corridors or major wind corridors. For most cities, the average canopy height is approximately 30–60 m [45,46]; therefore, a width in the range of 300–600 m is reasonable for major wind corridor planning.

3.3. Effect of AR on Airflow within Uniform Narrow Corridors

Cases with AR values greater than 0.5 were denoted as uniform narrow corridors. The simulated wind velocities along the centreline and roof-level centreline (at the roof level of the building on the symmetrical plane) of the wind corridors are shown in Figure 6.
In the fully developed section of the corridors, the stream-wise velocities decreased with an increase in the AR value. Combined with the VE data mentioned in Appendix A Table A2, it illustrated that the ventilation efficiency within the narrower corridor with an AR greater than one was almost less than 40%. The relationship between VE and AR values was also analysed, which was log-correlated with a high R2 value of 0.9242, as shown in Figure 7. The correlation was illustrated with Equation (8).
VE = 0.2 ln ( AR ) + 0.5119

3.4. Effect of Height Undulation on Airflow within Wind Corridors

Figure 8 and Figure 9 exhibit the variation of velocities simulated in the step-up and/or step-down cases on the symmetrical plane. In all of these cases, the width of the wind corridors was the same, whereas the height of the buildings varied along the corridors. These results were compared with those of the uniform case. For the step-up cases with AR values of [0.5–1] and [0.5–1.5], there was a large downward airflow at the interface where the buildings became taller, as shown in Figure 9a. This downward airflow introduced high-velocity air from the upper layer descending to the interior of the corridor, which enhanced the horizontal ventilation within the wind corridor (Figure 8a). Acceleration of the wind velocity between high-rise buildings has been reported in many investigations [47,48]. In general, the step-up design promoted air ventilation within the corridor compared to the uniform case.
However, the stream-wise velocity weakened when the height of the buildings lowered for the step-down cases with AR values of [1.5–1] and [1.5–0.5], as demonstrated in Figure 8b and Figure 9b. The weakening of wind speed within the corridor might hinder the transportation of cold, clean air from the suburbs to the urban areas. Thus, the step-down design was adverse for air ventilation compared to the uniform case.
Figure 10 and Figure 11 exhibit the simulated results for the step-up-down and step-down-up cases, respectively. In the step-up-down case, buildings on both sides of the corridor were taller in the middle section, with AR values of [0.5–1–0.5] and [0.5–1.5–0.5]. Figure 10a illustrates that the stream-wise velocity in the high-rise section of the corridor strengthened; however, that in the downstream low-rise section was greatly weakened. Moreover, the taller the buildings were in the middle section, the more severe the change in stream-wise velocities. The high-rise buildings, like a screen, weakened the downstream airflow. The step-up-down design promoted air ventilation in the high-rise section, whereas it worsened air ventilation in the downstream areas.
In the step-down-up cases, buildings on both sides of the corridor were lower in the middle section, with AR values of [1.5–1–1.5] and [1.5–0.5–1.5]. These cases exhibited stream-wise velocities in the middle section of the corridor that were weakened, whereas it was enhanced in the downstream section with taller buildings (Figure 10b). The step-down-up design weakened the airflow in the lower section; however, it promoted overall ventilation within the corridors.
The vertical velocity changed greatly near the interface between tall and low buildings, as shown in Figure 11. Therefore, the characteristics of these areas could be observed through the streamlines on the plane of symmetry, as shown in Figure 12, which is a cloud map of stream-wise velocity distribution.
In the step-up-down case, a downwash flow formed in front of the step-up interface, which remarkably enhanced air ventilation within the corridor; backflow vortices formed behind the step-down interface, which increased the flow resistance, as shown in Figure 12a,b. With the increase in the AR value in the middle section, the downdraft and backflow strengthened. Backflow vortices and low wind speeds are typical characteristics of the ‘screen effect’ (or wall effect), which primarily refers to that in coastal areas, where high-rise buildings hinder the sea breeze [49]. Thus, the ‘screen effect’ on urban ventilation would be considerable even though ventilation corridors were reserved in urban planning.
As shown in Figure 12c,d, the downwash flow and backflow vortices were clearly exhibited in the middle section, where the building was lower than the others. Thus, the variations in flow patterns along the corridor influenced air ventilation.
However, there are considerable changes in the height of buildings from the suburbs to the city centre. Generally, commerce is developed, the population is concentrated, and the buildings are taller in the downtown areas than those in suburban areas. Thus, the planned wind corridors are typically in a step-up situation, which is beneficial for air ventilation. However, there are many cities with an old town in the centre, surrounded by newly developed areas that are dominated by high-rise buildings. Anyway, the screen structure of peripheral high-rise buildings will significantly weaken the ventilation efficiency of wind corridors.

3.5. Effect of Width Variation on Airflow within Ventilation Corridors

Investigations on the effects of width variation were based on two kinds of ventilation corridors, which were the major and secondary corridors with AR values of 0.1–0.2 and 0.2–0.5, respectively. Firstly, two types of wide-narrow ([0.1–0.15] and [0.1–0.2]) and wide-narrow-wide ([0.1–0.15–0.1] and [0.1–0.2–0.1]) cases were constructed to investigate the effects of width variation along the major corridor. The simulation results for these cases are exhibited in Figure 13.
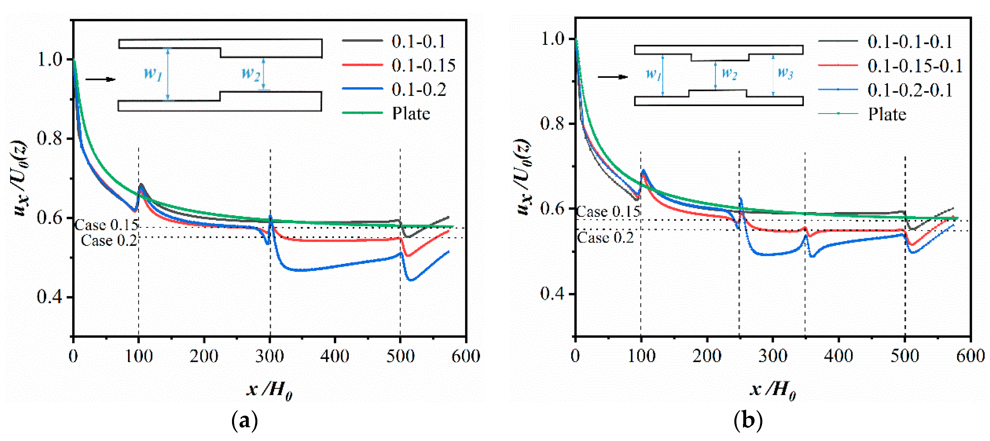
In general, the width contraction decreased air ventilation within the corridors, as shown in Figure 13. As mentioned above, Figure 4a and Appendix A Table A1 illustrated that in wide corridors with AR values less than 0.2, the velocity in the corridor was not sensitive to the change in corridor width. Thus, for cases [0.1–0.15], [0.1–0.2], [0.1–0.15–0.1], and [0.1–0.2–0.1], the variation in stream-wise velocities within the major corridors was small. According to Appendix A Table A3 and Table A4, the difference in stream-wise velocities between the cases [0.1–0.15] and the plate flow was less than 10%, while the difference between the cases [0.1–0.2] and the plate flow was slightly higher (approximately 16%). In particular, the stream-wise velocity did not recover to the simulated velocity of the uniform case ([0.1–0.1]), even though the width of the corridor broadened in the third part in cases of [0.1–0.15–0.1] and [0.1–0.2–0.1], as illustrated in Figure 13b. It means that the width contraction structure of the major corridor would be the determining factor affecting its internal ventilation.
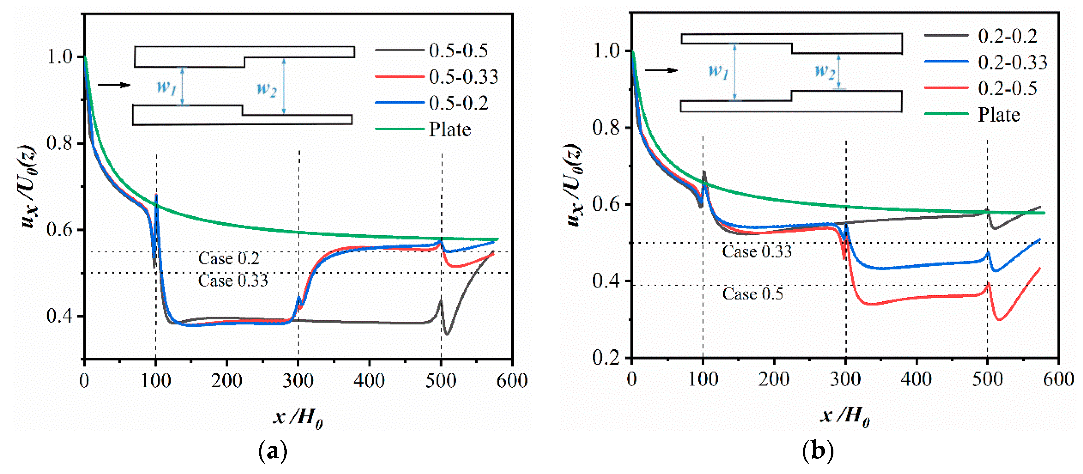
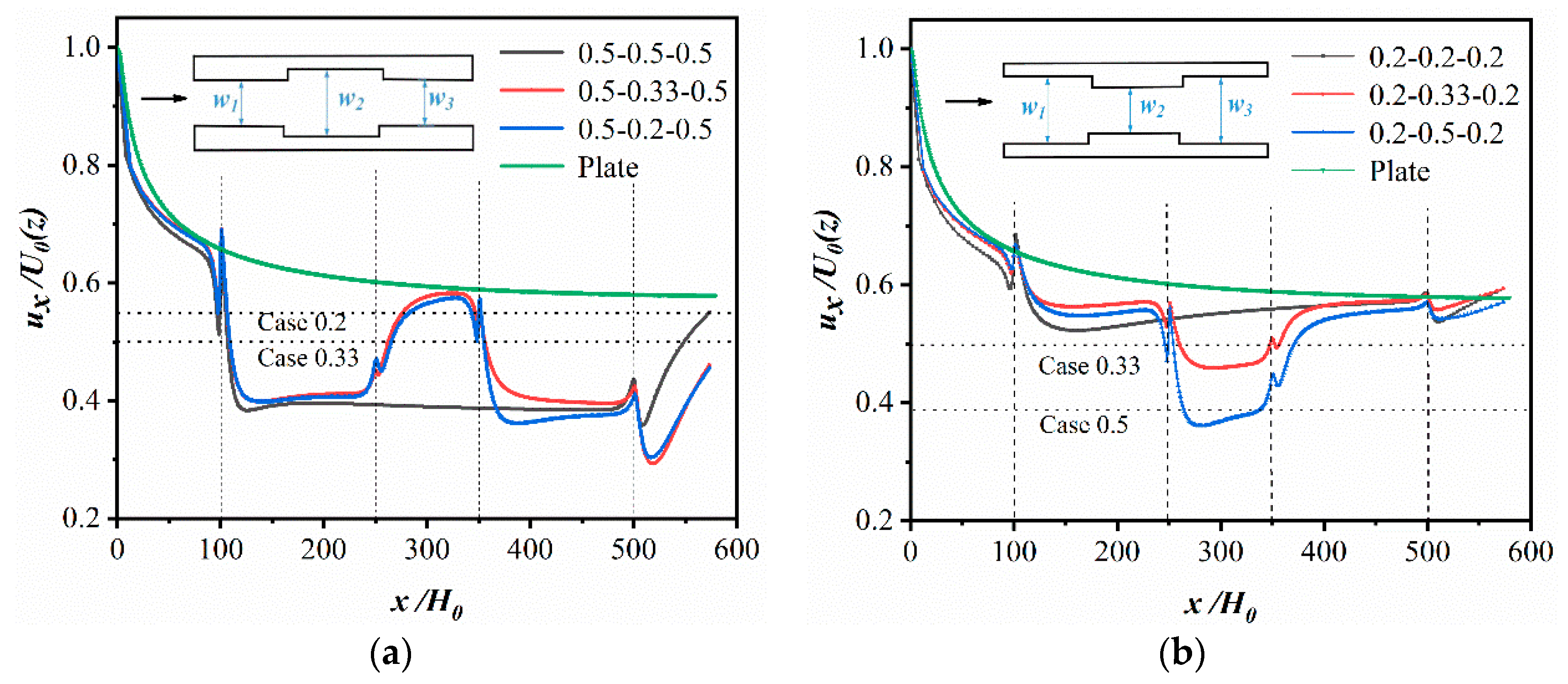
It is also noted above that, for uniform narrow corridors with AR values larger than 0.2, the stream-wise velocity within the corridor was sensitive to the changes in the corridor width and much lower than that of the plate flow. Thus, a group of cases ([0.5–0.33], [0.5–0.2], [0.2–0.33], [0.2–0.5], [0.5–0.33–0.5], [0.5–0.2–0.5], [0.2–0.33–0.2], and [0.2–0.5–0.2]) with AR values larger than 0.2 were simulated to investigate the influence of the width variation on the airflow within secondary wind corridors. The simulated results for these cases are exhibited in Figure 14 and Figure 15.
For the secondary corridors with AR values greater than 0.2, stream-wise velocities along the centreline (z = 0.5H0) of the corridor varied with the changing of corridor width, which increased when the corridor became wider and decreased when the corridor became narrower (Figure 14 and Figure 15). It also revealed that airflow within narrow wind corridors is sensitive to the width variation. Combined with the VE data mentioned in Table A5, Table A6, Table A7 and Table A8, the velocity within these non-uniform corridors varied drastically after the sudden change in width.

3.6. Influence of the Contraction Structure on Air Ventilation within Major Corridors

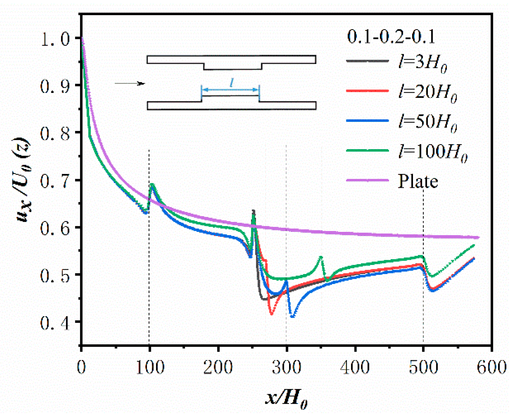
The contraction structure could decisively influence the ventilation within major corridors, as shown in Figure 13b. It should be investigated whether the length of the contraction section affects the airflow within major corridors. Thus, based on the case [0.1–0.2–0.1], a group of cases was simulated, with the length of the contracted section set to 3H0, 20H0, 50H0, and 100H0. Simulation results are presented in Figure 16. In all these cases, the corridors became narrower at x = 250H0, and the dash lines indicated the length of the contraction sections in different cases.
As shown in Figure 16, for major corridors, the contraction structure could decrease the downstream ventilation within the corridors, even though the length of the contracted section was as short as only 3H0 (90 m). Thus, the contraction structures should be refused when a major wind corridor is planned and constructed.

4. Conclusions

In this study, numerical simulations on idealised wind corridor models were conducted to investigate their basic airflow conditions and driving mechanisms, and the effects of structural characteristics on the wind corridor models were analysed as well.
The airflow in the fully developed section of a sufficiently long wind corridor was stable and was dominated by the shear stress on the top layer.
An increase in the corridor width was conducive to ventilation. When the AR value was less than 0.1, the stream-wise velocities within the corridors were close to that of the plate flow and not sensitive to changes in the corridor width anymore. Consequently, a critical AR value of 0.1 was proposed, which was denoted as the most beneficial design parameter value. This critical AR value could also be used as a criterion for major wind corridor design. A major wind corridor should be designed with an AR value of about 0.1 or even smaller.
Structural characteristics of a wind corridor had vital influences on the ventilation efficiency within the corridor. For major wind corridors with an AR value of around 0.1, the contraction structure influenced the wind conditions within the corridor. A very short contraction structure would have a considerable effect on the overall ventilation. The overall ventilation efficiency in a major wind corridor would be determined by the contraction structure.
The circumstances for secondary wind corridors with AR values larger than 0.2 were different from thoes of major corridors. Wind velocities within secondary corridors were sensitive to the change in corridor width. The sectional wind velocity was almost determined by the local AR value but scarcely affected by the width of the upstream corridor.
Moreover, high-rise buildings promoted ventilation within the local section; however, the ventilation within the downstream sections turned out to be poor. The ‘screen effect’ of peripheral high-rise buildings remarkably weakened the ventilation efficiency of the corridor.
In summary, for urban wind corridor planning and construction, the use of wider and step-up corridors should be encouraged, while contraction structures should be prevented for primary wind corridors.
However, the ventilation corridor models analysed in this study were ideal for flat roads, without considering the influence of green vegetation and temperature changes on wind conditions, which should be further examined in subsequent studies.

Author Contributions

W.X. and Y.Z. prepared the original draft, W.X. and L.Z. prepared the data, Z.G. reviewed the manuscript. All authors have read and agreed to the published version of the manuscript.

Funding

This research did not receive any specific grant from funding agencies in the public, commercial, or not-for-profit sectors.

Institutional Review Board Statement

Not applicable.

Informed Consent Statement

Not applicable.

Data Availability Statement

Not applicable.

Acknowledgments

This study was supported by the National Natural Science Foundation of China (Grant No. 41977182), Science and Technology Project of Shaanxi Province (2019JM-387).

Conflicts of Interest

The authors declare that they have no known competing financial interests or personal relationships that could have appeared to influence the work reported in this paper.

Appendix A

Table A1. Ratio of stream-wise velocity of each aspect ratio to stream-wise velocity of plate flow case at x = 450H0 in Figure 4a.
Table A1. Ratio of stream-wise velocity of each aspect ratio to stream-wise velocity of plate flow case at x = 450H0 in Figure 4a.
H/W0.50.330.20.10.050.02Plate
ux/up0.5220.8570.9751.0111.0241.0601
Table A2. Ratio of stream-wise velocity of each aspect ratio to stream-wise velocity of plate flow case at x = 450H0 in Figure 6a.
Table A2. Ratio of stream-wise velocity of each aspect ratio to stream-wise velocity of plate flow case at x = 450H0 in Figure 6a.
H/W0.511.522.5345Plate
ux/up0.5220.4270.3650.3240.3000.3240.2840.2491
Table A3. Ratio of stream-wise velocity of each aspect ratio to stream-wise velocity of plate flow case at x = 450H0 in Figure 13a.
Table A3. Ratio of stream-wise velocity of each aspect ratio to stream-wise velocity of plate flow case at x = 450H0 in Figure 13a.
H/W0.1–0.10.1–0.150.1–0.2Plate
ux/up1.0110.9330.8391
Table A4. Ratio of stream-wise velocity of each aspect ratio to stream-wise velocity of plate flow case at x = 300H0 in Figure 13b.
Table A4. Ratio of stream-wise velocity of each aspect ratio to stream-wise velocity of plate flow case at x = 300H0 in Figure 13b.
H/W0.1–0.1–0.10.1–0.15–0.10.1–0.2–0.1Plate
ux/up1.0110.9410.8441
Table A5. Ratio of stream-wise velocity of each aspect ratio to stream-wise velocity of plate flow case at x = 450H0 in Figure 14a.
Table A5. Ratio of stream-wise velocity of each aspect ratio to stream-wise velocity of plate flow case at x = 450H0 in Figure 14a.
H/W0.5–0.50.5–0.330.5–0.2Plate
ux/up0.6600.9530.9631
Table A6. Ratio of stream-wise velocity of each aspect ratio to stream-wise velocity of plate flow case at x = 450H0 in Figure 14b.
Table A6. Ratio of stream-wise velocity of each aspect ratio to stream-wise velocity of plate flow case at x = 450H0 in Figure 14b.
H/W0.2–0.20.2–0.330.2–0.5Plate
ux/up0.9750.6190.7651
Table A7. Ratio of stream-wise velocity of each aspect ratio to stream-wise velocity of plate flow case at x = 300H0 in Figure 15a.
Table A7. Ratio of stream-wise velocity of each aspect ratio to stream-wise velocity of plate flow case at x = 300H0 in Figure 15a.
H/W0.5–0.5–0.50.5–0.33–0.50.5–0.2–0.5Plate
ux/up0.6690.9900.9691
Table A8. Ratio of stream-wise velocity of each aspect ratio to stream-wise velocity of plate flow case at x = 300H0 in Figure 15b.
Table A8. Ratio of stream-wise velocity of each aspect ratio to stream-wise velocity of plate flow case at x = 300H0 in Figure 15b.
H/W0.2–0.2–0.20.2–0.33–0.20.2–0.5–0.2Plate
ux/up0.9470.7890.6321

References

  1. Cao, C.; Lee, X.; Liu, S.; Schultz, N.; Xiao, W.; Zhang, M.; Zhao, L. Urban heat islands in China enhanced by haze pollution. Nat. Commun. 2016, 7, 12509. [Google Scholar] [CrossRef]
  2. Palusci, O.; Monti, P.; Cecere, C.; Montazeri, H.; Blocken, B. Impact of morphological parameters on urban ventilation in compact cities: The case of the Tuscolano-Don Bosco district in Rome. Sci. Total Environ. 2022, 807, 150490. [Google Scholar] [CrossRef]
  3. Sun, Y.; Zhang, X.; Ren, G.; Zwiers, F.W.; Hu, T. Contribution of urbanization to warming in China. Nat. Clim. Chang. 2016, 6, 706–709. [Google Scholar] [CrossRef]
  4. Yang, J.; Wang, Y.; Xue, B.; Li, Y.; Xiao, X.; Xia, J.C.; He, B. Contribution of urban ventilation to the thermal environment and urban energy demand: Different climate background perspectives. Sci. Total Environ. 2021, 795, 148791. [Google Scholar] [CrossRef] [PubMed]
  5. He, B.; Ding, L.; Prasad, D. Enhancing urban ventilation performance through the development of precinct ventilation zones: A case study based on the Greater Sydney, Australia. Sustain. Cities Soc. 2019, 47, 101472. [Google Scholar] [CrossRef]
  6. Luo, X.; Yu, C.W.; Zhou, D.; Gu, Z. Challenges and adaptation to urban climate change in China: A viewpoint of urban climate and urban planning. Indoor Built Environ. 2019, 28, 1157–1161. [Google Scholar] [CrossRef]
  7. Mei, S.; Luo, Z.; Zhao, F.Y.; Wang, H.Q. Street canyon ventilation and airborne pollutant dispersion: 2-D versus 3-D CFD simulations. Sustain. Cities Soc. 2019, 50, 101700. [Google Scholar] [CrossRef]
  8. Zhan, Q.; Gao, S.; Xiao, Y.; Yang, C.; Wu, Y.; Fan, Z.; Wu, J.; Zhan, M. Impact mechanism and improvement strategy on urban ventilation, urban heat island and urban pollution island: A case study in Xiangyang, China. Int. Rev. Spat. Plan. Sustain. Dev. 2020, 8, 68–86. [Google Scholar] [CrossRef] [PubMed]
  9. Nakamura, Y.; Oke, T.R. Wind, temperature and stability conditions in an east-west oriented urban canyon. Atmos. Environ. 1988, 22, 2691–2700. [Google Scholar] [CrossRef]
  10. Schatzmann, M.; Leitl, B. Issues with validation of urban flow and dispersion CFD models. J. Wind Eng. Ind. Aerod. 2011, 99, 169–186. [Google Scholar] [CrossRef]
  11. Kastner-Klein, P.; Plate, E.J. Wind-tunnel study of concentration fields in street canyons. Atmos. Environ. 1999, 33, 3973–3979. [Google Scholar] [CrossRef]
  12. Ding, C.; Lam, K.P. Data-driven model for cross ventilation potential in high-density cities based on coupled CFD simulation and machine learning. Build. Environ. 2019, 165, 106394. [Google Scholar] [CrossRef]
  13. Gu, K.; Fang, Y.; Qian, Z.; Sun, Z.; Wang, A. Spatial planning for urban ventilation corridors by urban climatology. Ecosyst. Health Sustain. 2020, 6, 1747946. [Google Scholar] [CrossRef]
  14. Liu, W.; Zhang, G.; Jiang, Y.; Wang, J. Effective range and driving factors of the urban ventilation corridor effect on urban thermal comfort at unified scale with multisource data. Remote Sens. 2021, 13, 1783. [Google Scholar] [CrossRef]
  15. Liu, S.; Shen, J. Urban Ventilation Channel Planning Method Based on Local Circulation: A Case Study of Stuttgart, Germany. J. Zhejiang Univ. (Eng. Sci.) 2010, 44, 1985–1991. (In Chinese) [Google Scholar]
  16. Ashie, Y.; Hirano, K.; Kono, T. Effects of Sea Breeze on Thermal Environment as a Measure against Tokyo’s Urban Heat Island. In Proceedings of the Seventh International Conference on Urban Climate, Yokohama, Japan, 29 June–3 July 2009; Volume 4, pp. 273–288. [Google Scholar]
  17. Jones, P.J.; Alexander, D.; Burnett, J. Pedestrian wind environment around high-rise residential buildings in Hong Kong. Indoor Built Environ. 2004, 13, 259–269. [Google Scholar] [CrossRef]
  18. Lee, K.Y.; Mak, C.M. Effects of different wind directions on ventilation of surrounding areas of two generic building configurations in Hong Kong. Indoor Built Environ. 2022, 31, 414–434. [Google Scholar] [CrossRef]
  19. Ng, E.; Yuan, C.; Chen, L.; Ren, C.; Fung, J.C. Improving the wind environment in high density cities by understanding urban morphology and surface roughness: A study in Hong Kong. Landsc. Urban Plan. 2011, 101, 59–74. [Google Scholar] [CrossRef]
  20. Xia, Q.; Liu, X.; Niu, J.; Kwok, K.C.S. Effects of building lift-up design on the wind environment for pedestrians. Indoor Built Environ. 2017, 26, 1214–1231. [Google Scholar] [CrossRef]
  21. Wong, M.S.; Nichol, J.E.; To, P.H.; Wang, J. A simple method for designation of urban ventilation corridors and its application to urban heat island analysis. Build. Environ. 2010, 45, 1880–1889. [Google Scholar] [CrossRef]
  22. Lai, J.; Zhan, W.; Huang, F.; Voogt, J.; Bechtel, B.; Allen, M.; Peng, S.; Hong, F.; Liu, Y.; Du, P. Identification of typical diurnal patterns for clear-sky climatology of surface urban heat islands. Remote Sens. Environ. 2018, 217, 203–220. [Google Scholar] [CrossRef]
  23. Unger, J. Connection between urban heat island and sky view factor approximated by a software tool on a 3D urban database. Int. J. Environ. Pollut. 2009, 36, 59–80. [Google Scholar] [CrossRef]
  24. Chen, S.L.; Lu, J.; Yu, W.W. A quantitative method to detect the ventilation paths in a mountainous urban city for urban planning: A case study in Guizhou, China. Indoor Built Environ. 2017, 26, 422–437. [Google Scholar] [CrossRef]
  25. Zhang, Y.W.; Gu, Z.L.; Lee, S.C.; Fu, T.M.; Ho, K.F. Numerical simulation and in situ investigation of fine particle dispersion in an actual deep street canyon in Hong Kong. Indoor Built Environ. 2011, 20, 206–216. [Google Scholar] [CrossRef]
  26. Huang, J.; Wang, Y. Identification of ventilation corridors through a simulation scenario of forest canopy density in the metropolitan area. Sustain. Cities Soc. 2023, 95, 104595. [Google Scholar] [CrossRef]
  27. Dang, B.; Liu, Y.; Lyu, H.; Zhou, X.; Du, W.; Xuan, C.; Xing, P.; Yang, R.; Xiong, F. Assessment of urban climate environment and configuration of ventilation corridor: A Refined Study in Xi’an. J. Meteoro. Res. 2023, 36, 914–930. [Google Scholar] [CrossRef]
  28. Zheng, Z.; Ren, G.; Gao, H.; Yang, Y. Urban ventilation planning and its associated benefits based on numerical experiments: A case study in Beijing, China. Build. Environ. 2022, 222, 109383. [Google Scholar] [CrossRef]
  29. Kondo, H.; Asahi, K.; Tomizuka, T.; Suzuki, M. Numerical analysis of diffusion around a suspended expressway by a multi-scale CFD model. Atmos. Environ. 2006, 40, 2852–2859. [Google Scholar] [CrossRef]
  30. Letzel, M.O.; Krane, M.; Raasch, S. High resolution urban large-eddy simulation studies from street canyon to neighbourhood scale. Atmos. Environ. 2008, 42, 8770–8784. [Google Scholar] [CrossRef]
  31. Ashie, Y.; Tokairin, T.; Kono, T.; Takahashi, K. Numerical Simulation of Urban Heat Island in a Ten-Kilometer Square Area of Central Tokyo. Annual Report of the Earth Simulator Center. 2007. Available online: https://www.jamstec.go.jp/es/en/output/publication/annual/annual2006/pdf/3project/chapter1/045ashie.pdf (accessed on 23 July 2023).
  32. Zhou, X.; Chen, H.; Guan, Y. Study on urban ventilation planning method based on a case study of Guiyang, China. J. West. Hum. Settl. Environ. 2015, 30, 13–18. (In Chinese) [Google Scholar]
  33. Chen, H.; Zhou, X.; Dai, F.; Guan, Y.G. The study of urban ventilation corridor planning based on the accommodation of urban heat island and pollutions. Mod. Urban Res. 2014, 7, 24–30. (In Chinese) [Google Scholar]
  34. Peng, Y.; Wang, H.; Li, Y.; Liu, C.; Zhao, T.; Zhang, X.; Gao, Z.; Jiang, T.; Che, H.; Zhang, M. Evaluating the performance of two surface layer schemes for the momentum and heat exchange processes during severe haze pollution in Jing-jin-ji in eastern China. Atmos. Chem. Phys. 2018, 18, 17421–17435. [Google Scholar] [CrossRef]
  35. Wang, Y.; Yuan, Q.; Li, T.; Shen, H.; Zheng, L.; Zhang, L. Evaluation and comparison of MODIS Collection 6.1 aerosol optical depth against AERONET over regions in China with multifarious underlying surfaces. Atmos. Environ. 2019, 200, 280–301. [Google Scholar] [CrossRef]
  36. Zhao, Q.; Zou, C.; Gao, Q.; Zhang, S.; Li, X. Temporal and spatial exposure of gaseous pollutants and its influence factors in Shandong province. IOP Conf. Ser. Earth Environ. Sci. 2018, 186, 12–18. [Google Scholar] [CrossRef]
  37. Hang, J.; Sandberg, M.; Li, Y.; Claesson, L. Flow mechanisms and flow capacity in idealized long-street city models. Build. Environ. 2009, 45, 1042–1053. [Google Scholar] [CrossRef]
  38. Hang, J.; Li, Y.; Sandberg, M.; Claesson, L. Wind conditions and ventilation in high-rise long street models. Build. Environ. 2010, 45, 1353–1365. [Google Scholar] [CrossRef]
  39. Moon, K.; Hwang, J.M.; Kim, B.G.; Lee, C.; Choi, J.I. Large-eddy simulation of turbulent flow and dispersion over a complex urban street canyon. Environ. Fluid Mech. 2014, 14, 1381–1403. [Google Scholar] [CrossRef]
  40. Gu, Z.; Zhang, Y.; Cheng, Y.; Lee, S.C. Effect of uneven building layout on air flow and pollutant dispersion in non-uniform street canyons. Build. Environ. 2011, 46, 2657–2665. [Google Scholar] [CrossRef]
  41. Chatzimichailidis, A.E.; Argyropoulos, C.D.; Assael, M.J.; Konstantinos, E.K. Qualitative and quantitative investigation of multiple Large Eddy Simulation aspects for pollutant dispersion in street canyons using OpenFOAM. Atmosphere 2019, 10, 17. [Google Scholar] [CrossRef]
  42. Elfverson, D.; Legon, C. Use and scalability of OpenFOAM for wind fields and pollution dispersion with building- and ground-resolving topography. Atmosphere 2021, 12, 1124. [Google Scholar] [CrossRef]
  43. Smagorinsky, J. General circulation experiments with the primitive equations. I. The basic experiment. Mon. Weather Rev. 1963, 91, 90–99. [Google Scholar] [CrossRef]
  44. Memon, R.A.; Leung, D.Y.C.; Liu, C.H. Effects of building aspect ratio and wind speed on air temperatures in urban like street canyons. Build. Environ. 2010, 45, 176–188. [Google Scholar] [CrossRef]
  45. Yu, B.; He, X.; Wei, L.; Chen, L.; Zhou, W. Primary exploration for construction of urban multilevel ventilation corridors system in Hangzhou. Meteorolo. Sci. 2018, 38, 625–636. (In Chinese) [Google Scholar]
  46. Tariku, F.; Mombeni, G.A. Ann-based method for urban canopy temperature prediction and building Energy simulation with urban heat island effect in consideration. Energies 2023, 16, 5335. [Google Scholar] [CrossRef]
  47. Tominaga, Y.; Mochida, A.; Murakami, S.; Sawaki, S. Comparison of various revised k-ε models and LES applied to flow around a high-rise building model with 1:1:2 shape placed within the surface boundary layer. J. Wind. Eng. Ind. Aerodyn. 2008, 96, 389–411. [Google Scholar] [CrossRef]
  48. Zhang, Y.; Gu, Z.; Yu, C.W. Impact factors on airflow and pollutant dispersion in urban street canyons and comprehensive simulations: A review. Curr. Pollut. Rep. 2020, 6, 425–439. [Google Scholar] [CrossRef]
  49. Yim, S.H.L.; Fung, J.C.H.; Lau, A.K.H.; Kot, S.C. Air ventilation impacts of the “wall effect” resulting from the alignment of high-rise buildings. Atmos. Environ. 2009, 43, 4982–4994. [Google Scholar] [CrossRef]
Figure 1. Schematic diagram of the entire computational domain and the grid partition.
Figure 1. Schematic diagram of the entire computational domain and the grid partition.
Sustainability 15 13817 g001
Figure 2. Comparison of the simulated and wind tunnel measured vertical profile of the stream-wise wind velocities at two observation points.
Figure 2. Comparison of the simulated and wind tunnel measured vertical profile of the stream-wise wind velocities at two observation points.
Sustainability 15 13817 g002
Figure 3. Velocities on the symmetrical plane of the wind corridor at the height of 0.5H0 and H0 (for case AR = 0.5). (a) Stream-wise velocities; and (b) vertical velocities.
Figure 3. Velocities on the symmetrical plane of the wind corridor at the height of 0.5H0 and H0 (for case AR = 0.5). (a) Stream-wise velocities; and (b) vertical velocities.
Sustainability 15 13817 g003
Figure 4. Velocity distribution along the centrelines (z = 0.5H0) on the symmetrical plane of the wind corridors when the aspect ratio was 0.5, 0.33, 0.2, 0.1, 0.05, and 0.02, respectively. (a) Stream-wise velocities; and (b) vertical velocities.
Figure 4. Velocity distribution along the centrelines (z = 0.5H0) on the symmetrical plane of the wind corridors when the aspect ratio was 0.5, 0.33, 0.2, 0.1, 0.05, and 0.02, respectively. (a) Stream-wise velocities; and (b) vertical velocities.
Sustainability 15 13817 g004
Figure 5. Comparison of the vertical distribution of stream-wise velocity at x = 300H0 on the symmetrical plane that was simulated under AR = 0.1 and the plate flow.
Figure 5. Comparison of the vertical distribution of stream-wise velocity at x = 300H0 on the symmetrical plane that was simulated under AR = 0.1 and the plate flow.
Sustainability 15 13817 g005
Figure 6. Velocity distribution along the centrelines (z = 0.5H0) on the symmetrical plane of the wind corridors with AR values of 0.5, 1, 1.5, 2, 2.5, 3, 4 and 5, respectively. (a) z = 0.5H0; and (b) z = H.
Figure 6. Velocity distribution along the centrelines (z = 0.5H0) on the symmetrical plane of the wind corridors with AR values of 0.5, 1, 1.5, 2, 2.5, 3, 4 and 5, respectively. (a) z = 0.5H0; and (b) z = H.
Sustainability 15 13817 g006
Figure 7. Correlation between VE and AR values of the uniform wind corridors.
Figure 7. Correlation between VE and AR values of the uniform wind corridors.
Sustainability 15 13817 g007
Figure 8. Stream-wise velocity distribution at the height of 0.5H0 on the symmetrical plane of the corridors when the buildings were step-up and/or step-down designed. (a) Step-up; and (b) step-down.
Figure 8. Stream-wise velocity distribution at the height of 0.5H0 on the symmetrical plane of the corridors when the buildings were step-up and/or step-down designed. (a) Step-up; and (b) step-down.
Sustainability 15 13817 g008
Figure 9. Vertical velocity distribution at the height of 0.5H0 on the symmetrical plane of the corridors when the buildings were step-up and/or step-down designed. (a) Step-up; and (b) step-down.
Figure 9. Vertical velocity distribution at the height of 0.5H0 on the symmetrical plane of the corridors when the buildings were step-up and/or step-down designed. (a) Step-up; and (b) step-down.
Sustainability 15 13817 g009
Figure 10. Stream-wise velocity distribution at the height of 0.5H0 on the symmetrical plane of the corridors when the buildings were step-up-down and/or step-down-up designed. (a) Step-up-down; and (b) step-down-up.
Figure 10. Stream-wise velocity distribution at the height of 0.5H0 on the symmetrical plane of the corridors when the buildings were step-up-down and/or step-down-up designed. (a) Step-up-down; and (b) step-down-up.
Sustainability 15 13817 g010
Figure 11. Vertical velocity distribution at the height of 0.5H0 on the symmetrical plane of the corridors when the buildings were step-up and/or step-down designed. (a) Step-up-down; and (b) step-down-up.
Figure 11. Vertical velocity distribution at the height of 0.5H0 on the symmetrical plane of the corridors when the buildings were step-up and/or step-down designed. (a) Step-up-down; and (b) step-down-up.
Sustainability 15 13817 g011
Figure 12. Cloud map of stream-wise velocity (unit: m/s) distribution on the symmetrical plane of corridors when the buildings were step-up and/or step-down designed. (a) Example [0.5–1–0.5]; (b) example [0.5–1.5–0.5]; (c) example [1.5–0.5–1.5]; and (d) example [1.5–1–1.5]. Red squares indicated buildings with different height.
Figure 12. Cloud map of stream-wise velocity (unit: m/s) distribution on the symmetrical plane of corridors when the buildings were step-up and/or step-down designed. (a) Example [0.5–1–0.5]; (b) example [0.5–1.5–0.5]; (c) example [1.5–0.5–1.5]; and (d) example [1.5–1–1.5]. Red squares indicated buildings with different height.
Sustainability 15 13817 g012
Figure 13. Stream-wise velocity distribution along the centrelines (z = 0.5H0) on the symmetrical plane of the major wind corridors when the buildings were wide-narrow and wide-narrow-wide designed, respectively. (a) Wide-narrow; and (b) wide-narrow-wide.
Figure 13. Stream-wise velocity distribution along the centrelines (z = 0.5H0) on the symmetrical plane of the major wind corridors when the buildings were wide-narrow and wide-narrow-wide designed, respectively. (a) Wide-narrow; and (b) wide-narrow-wide.
Sustainability 15 13817 g013
Figure 14. Stream-wise velocity distribution along the centrelines (z = 0.5H0) on the symmetrical plane of the secondary wind corridors when the buildings were wide-narrow and narrow-wide designed, respectively. (a) Narrow-wide; and (b) wide-narrow.
Figure 14. Stream-wise velocity distribution along the centrelines (z = 0.5H0) on the symmetrical plane of the secondary wind corridors when the buildings were wide-narrow and narrow-wide designed, respectively. (a) Narrow-wide; and (b) wide-narrow.
Sustainability 15 13817 g014
Figure 15. Stream-wise velocity distribution along the centrelines (z = 0.5H0) on the symmetrical plane of the secondary wind corridors when the buildings were narrow-wide-narrow and wide-narrow-wide designed, respectively. (a) Narrow-wide; and (b) wide-narrow-wide.
Figure 15. Stream-wise velocity distribution along the centrelines (z = 0.5H0) on the symmetrical plane of the secondary wind corridors when the buildings were narrow-wide-narrow and wide-narrow-wide designed, respectively. (a) Narrow-wide; and (b) wide-narrow-wide.
Sustainability 15 13817 g015
Figure 16. Stream-wise velocity distribution along the centrelines (z = 0.5H0) on the symmetrical plane of major wind corridors with different contraction structure lengths.
Figure 16. Stream-wise velocity distribution along the centrelines (z = 0.5H0) on the symmetrical plane of major wind corridors with different contraction structure lengths.
Sustainability 15 13817 g016
Table 1. Example settings with structural characteristics of wind corridor.
Table 1. Example settings with structural characteristics of wind corridor.
Corridor TypeStructural CharacteristicsCases Denoted by AR ValuesModel Profiles
Uniform corridors (profiles are in the xy plane)Uniform wide corridors (group 1)0.5, 0.33, 0.2, 0.1, 0.05, 0.02Sustainability 15 13817 i001
Uniform narrow corridors (group 2)0.5, 1, 1.5, 2, 2.5, 3, 4 and 5Sustainability 15 13817 i002
Non-uniform corridors with height undulation (profiles are in the xz plane)Step-up (group 3)[0.5–1], [0.5–1.5]Sustainability 15 13817 i003
Step-down (group 4)[1.5–0.5], [1.5–1]Sustainability 15 13817 i004
Step-up-down (group 5)[0.5–1–0.5], [0.5–1.5–0.5]Sustainability 15 13817 i005
Step-down-up (group 6)[1.5–1–1.5], [1.5–0.5–1.5]Sustainability 15 13817 i006
Non-uniform corridors with width undulation (profiles are in the x-y plane)Narrow-wide (group 7)[0.5–0.33], [0.5–0.2]Sustainability 15 13817 i007
Wide-narrow (group 8)[0.1–0.15], [0.1–0.2], [0.2–0.33], [0.2–0.5]Sustainability 15 13817 i008
Narrow-wide-narrow (group 9)[0.5–0.33–0.5], [0.5–0.2–0.5]Sustainability 15 13817 i009
Wide-narrow-wide (group 10)[0.1–0.15–0.1], [0.1–0.2–0.1], [0.2–0.33–0.2], [0.2–0.5–0.2]Sustainability 15 13817 i010
Table 2. Relative error between numerical simulations and wind tunnel experiments.
Table 2. Relative error between numerical simulations and wind tunnel experiments.
PointsRelative Error (%)
Point A4.00
Point B6.56
Disclaimer/Publisher’s Note: The statements, opinions and data contained in all publications are solely those of the individual author(s) and contributor(s) and not of MDPI and/or the editor(s). MDPI and/or the editor(s) disclaim responsibility for any injury to people or property resulting from any ideas, methods, instructions or products referred to in the content.

Share and Cite

MDPI and ACS Style

Xu, W.; Zhao, L.; Zhang, Y.; Gu, Z. Investigation on Air Ventilation within Idealised Urban Wind Corridors and the Influence of Structural Factors with Numerical Simulations. Sustainability 2023, 15, 13817. https://doi.org/10.3390/su151813817

AMA Style

Xu W, Zhao L, Zhang Y, Gu Z. Investigation on Air Ventilation within Idealised Urban Wind Corridors and the Influence of Structural Factors with Numerical Simulations. Sustainability. 2023; 15(18):13817. https://doi.org/10.3390/su151813817

Chicago/Turabian Style

Xu, Wen, Lushuang Zhao, Yunwei Zhang, and Zhaolin Gu. 2023. "Investigation on Air Ventilation within Idealised Urban Wind Corridors and the Influence of Structural Factors with Numerical Simulations" Sustainability 15, no. 18: 13817. https://doi.org/10.3390/su151813817

APA Style

Xu, W., Zhao, L., Zhang, Y., & Gu, Z. (2023). Investigation on Air Ventilation within Idealised Urban Wind Corridors and the Influence of Structural Factors with Numerical Simulations. Sustainability, 15(18), 13817. https://doi.org/10.3390/su151813817

Note that from the first issue of 2016, this journal uses article numbers instead of page numbers. See further details here.

Article Metrics

Back to TopTop