Next Article in Journal
Exploring Food Waste Conversations on Social Media: A Sentiment, Emotion, and Topic Analysis of Twitter Data
Next Article in Special Issue
New Coal Char-Based Building Products: Manufacturing, Engineering Performance, and Techno-Economic Analysis for the USA Market
Previous Article in Journal
In Situ Structural Health Monitoring of Full-Scale Wind Turbine Blades in Operation Based on Stereo Digital Image Correlation
Previous Article in Special Issue
A Comparative Study of Factors Influencing Hydration Stoppage of Hardened Cement Paste
 
 
Font Type:
Arial Georgia Verdana
Font Size:
Aa Aa Aa
Line Spacing:
Column Width:
Background:
Article

Six-Year-Old Ecological Concrete in a Marine Environment: A Case Study

1
Department of Civil Engineering, Shamoon College of Engineering, Ashdod 77245, Israel
2
Department of Civil Engineering, Ariel University, Ariel 40700, Israel
*
Author to whom correspondence should be addressed.
Sustainability 2023, 15(18), 13780; https://doi.org/10.3390/su151813780
Submission received: 12 December 2022 / Revised: 12 September 2023 / Accepted: 13 September 2023 / Published: 15 September 2023
(This article belongs to the Special Issue Sustainable Building Materials and Construction Engineering)

Abstract

:
The durability of ecological concrete in a marine environment is of concern for the coastal and offshore construction industry. The properties of such concrete taken from a marine structure were studied. Specimens of six-year-old submerged ecological concrete were taken from a breakwater located in the East Mediterranean Sea. The specimens were analyzed for their biological carbonate deposition cover, chloride effective diffusion, carbonation, compressive strength, and mineralogy. About 57% of the surface was found to be covered by biogenic-deposited carbonates. The effective chloride diffusion coefficient and the carbonation rate were found to be reduced proportionally to the biogenic-carbonate cover, relative to the prediction by a standard model. No significant change in compressive strength was detected. Most of the aluminates were found in non-crystalline minerals. No evidence of a sulfate attack was found. In conclusion, the effect of the biological growth on the concrete surface is mainly a reduction of effective diffusion, and no negative effects were detected.

1. Introduction

The durability of reinforced concrete structures (RCS) in marine and coastal environments is a major concern. Three main processes degrade RCS: (1) chloride diffusion, which leads to steel reinforcement corrosion; (2) carbonation, which causes pH reduction and therefore leads to steel reinforcement corrosion; and (3) sulfate attack, which causes a deterioration of the cement paste of the concrete itself. In real-life conditions, most of the structures in marine and coastal environments are initially damaged by steel corrosion caused by chloride diffusion, which in most cases occurs at a rate higher than those of the carbonation and sulfate attacks.
To mitigate chloride-induced corrosion in RCS, different solutions have been proposed. The main approach in most of these solutions is to reduce the permeability of concrete to mitigate chloride ingress. The common engineering measure of chloride permeability is the effective diffusion coefficient (Deff). By reducing the Deff, you can increase the time it takes for chloride concentration at the rebar depth to reach a critical concentration in which steel corrosion initiates. The Deff can be used to estimate this time, thereby enabling the prediction of the service life of the RCS.
According to Ehlen [1] and other research groups [2,3,4], Deff is influenced mainly by the following three parameters: (1) the water-to-cement ratio (W/C); (2) the use of supplementary cementitious materials (SCMs); and (3) the degree of hydration of the cement paste. A lower W/C ratio reduces the Deff [1]. The use of SCMs reduces the Deff for concretes that have the same strength at the age of 28 days [5]. As the degree of hydration increases, the Deff decreases. Deff is also temperature dependent and increases with increasing temperature [1].
A software package called Life365 v2.2.3 [1] is a calculative tool for the prediction of RCS service life where chloride-induced corrosion is the limiting factor for service life. The software can estimate Deff based on models incorporating binder composition, W/C ratio, and time for its calculations [1]; or it can use measured data, such as data from a standard method of Deff assessment, the ASTM C 1556 [6,7]. The ASTM C 1556 method uses curve-fitting of the chloride profile measurements from a laboratory specimen to the unidirectional diffusion equation, for its Deff determination [6].
However, this method ignores the carbonation and the sulfate attack processes and does not predict their rates. Carbonation leads to the depassivation of the protecting layer on the reinforcing steel and consequently, it increases the corrosion rate. For structures that are not exposed to chloride ingress, carbonation is the main cause of reinforced concrete structure deterioration [8]. On the other hand, the carbonation depth prediction model described in [9,10,11] shows that the carbonation rate decreases drastically in very high humidity conditions. Hence, it can be estimated that the carbonation rate of concrete submerged in seawater or the spray zone is predicted to be low, even though the models in these studies do not include the submarine environment and do not consider the cement composition of the concrete.
The third process that damages reinforced concrete is sulfate attack. The sulfate attack deteriorates the hydrated cement paste that maintains the homogeneity and strength of the concrete monolith. During the first stage, C3A (tree calcium aluminate) hydrate, one of the components of the cement paste, reacts with a sulfate to create monosulfate (C2A S ¯ ·14H). In the second stage, the monosulfate reacts with additional sulfate to form ettringite (C6A S ¯ 3H6·26H). The growth of the ettringite crystals disintegrates the concrete microstructure. This results in strength reduction and complete concrete disintegration. A more severe attack results from the reaction of sulfate, carbon dioxide, and CSH (calcium silicate hydrate) to form thaumasite (C3S C ¯ S ¯ H3·12H). This reaction occurs only in carbonated concrete at low temperatures (5–15 °C) and in the presence of ettringite [12,13]. The existing sulfate attack models [14,15] are commonly calibrated for ordinary Portland cement (OPC) and, hence, are not adequate for damage prediction of slag-based marine concrete.
Ecological marine concrete is concrete that, due to its textured surface and the inclusion of appropriate additives, encourages sessile marine organisms to settle on the concrete surface. This is in contrast with common concrete, which remains poorly inhabited for decades [16,17]. Other properties of fresh and hardened ecological concrete, like slump, flow, and compressive strength, can be controlled by the same mix design procedure as used for common concrete. However, due to the standards for marine environment structures, its W/C ratio must be 0.45 or lower. The introduction of a new mineral additive, developed by EConcrete™ (Tel-Aviv, Israel) for ecological marine concrete, raised concerns regarding the influence of the marine biota’s adherence to the concrete on the durability of the RCS. Some early works investigated the influence of marine sessile organisms on various parameters of concrete durability [16,17,18,19,20,21]. It was shown that sessile carbonate-depositing organisms create a dense carbonate coverage on the concrete surface in the spots where they attach to the surface. This deposition seals the concrete surface like a membrane and reduces the effective diffusion of chloride through the concrete [18]. These works investigated the settlement on common concrete, which may have lower coverage of sessile carbonate-depositing organisms relative to those that may be found on ecological concrete. The question is whether this bio-protection changes concrete properties, such as rates of chloride ingress, carbonation, sulfate attack, and compressive strength.
Answering the questions above is significant for the coastal engineering community. Engineers are reluctant to adopt new materials and methods, for very high-budget projects that are often designed for a service life of 70 years and more in an aggressive environment. Thus, this research aims to reduce the gap in knowledge regarding the long-run performance of the ecological concrete as is in a standing marine structure. The research focused on the abovementioned durability indicators.
The determination of the Deff, as well as the assessment of the carbonation and sulfate attack rates, in real structures made of ecological concrete is important for the prediction of the durability of any novel RCS. In this work, specimens from ecological concrete antifer (Figure 1), a component of a breakwater, were analyzed and the biological carbonate coverage was estimated. A chloride concentration profile was measured and compared to data simulated by a model. The samples were subjected to X-ray diffraction (XRD). The carbonation rate was measured and the relationships of the parameters relevant to durability with the biogenic coverage were investigated.

2. Materials and Methods

The ecological concrete composition used to cast the antifers is shown in Table 1. There were three mixes having identical compositions that were used to produce the antifers. The specific mix cannot be related to a specific antifer. Concrete properties at the age of 28 as reported in [22] are given in Table 2. Five cores, 95.1 mm in diameter, were drilled out of a 6-year-old breakwater antifer located on the coast of Haifa, Israel at a depth of 9 m (Figure 2). The EcoP ecological additive is a mixture of minerals, mostly based on calcium and silica with only 10% pozzolanic material. One core was pulverized on a lathe. Samples at every 1 mm interval were collected for analysis. The second core was used for carbonation depth measurement and the remaining for compressive strength measurement.

2.1. Estimation of Biogenic Carbonate Coverage

The face surface of one core was cleaned using a plastic brush with hard bristles, together with a commercial diluted sodium hypochlorite solution (bleach). After cleaning, the face was photographed with Nikon Coolpix AW100 (Nikon, Tokyo, Japan) on a colored cardboard background (Figure 3a). Several distinct surfaces can be detected: concrete (with a reddish tan due to algae) and biogenic carbonate deposits, which consist of shell valves and shells of sessile gastropods of the Vermetidae family [23] in various sizes. The image was clustered by the k-means algorithm into 4 clusters (Figure 3c). Each cluster was classified into background, concrete, and biogenic carbonate deposition (Figure 3d). The biogenic carbonate coverage was estimated by dividing the number of biogenic carbonate pixels, bc, by the pixels that are not background, conc, (i.e., pixels of the concrete surface).
c o v e r a g e = b c c o n c

2.2. Chloride Profile Measurement

After being pulverized and with appropriate dilutions, the concrete powder was analyzed according to ASTM C 1152 [24]. The chloride concentration in the solution was measured using the Pasco™ chloride ion-selective electrode (ISE) (Pasco, Roseville, CA, USA). The ISE enables the measurement of low-volume samples with a wide range of sensitivities (10−1 M–10−5 M).

2.3. Diffusion Coefficient Estimation

The diffusion coefficient was estimated by fitting the data to the unidirectional diffusion equation according to ASTM C 1556,
C ( x , t ) = C s ( C s C i ) e r f ( x 4 D e f f t )
where C ( x , t ) is the chloride concentration measured at depth, x, and time, t , C s is the projected chloride concentration at the interface between the exposure liquid and the concrete, C i is the initial chloride concentration in the concrete before submersion, x is the depth from the exposure surface, t is the time from exposure, D e f f is the effective diffusion coefficient (also known as apparent diffusion coefficient), and e r f is the error function.
The curve fitting was performed using a MATLAB R2019b curve fitting tool (CF tool).

2.4. XRD Analysis

The XRD analysis of samples from several intervals (1, 6, 7, 10, 14, 19, and 26 mm) was conducted using a Rigaku SmartLab SE diffractometer (Rigaku Corporation, Tokyo, Japan) with CuKα radiation at 40 kV, 30 mA, and a scanning speed of 0.02° min−1. In all cases, measurements were conducted from 2θ = 5° to 2θ = 120°. However, data in the range of 2θ = 70°–120° did not yield much information and therefore were omitted from the presentation for the sake of clarity. The program used for received scans was SmartLab Studio II v4.2.44.0, the program for diffraction pattern analysis was X’Pert HighScore Plus v2.2e, and the database was taken from ICDD PDF-2 (2009 release). Semi-Rietveld analysis was performed.

2.5. Carbonation Rate

Measurements to determine carbonation depth were made 953 days after the core was drilled. The core was halved and carbonation was measured using the phenolphthalein method, described as follows and shown in Figure 4. Because the concrete face is irregular (as shown in Figure 3), red putty was used to mark the uneven concrete face. A total of 21 spots were measured from the face and 49 from the cylinder edge. A caliper was used for the measurement. The measurement points were evenly distributed along the face, excluding 1 cm from each corner.

2.6. Compressive Strength

Compressive strength was measured according to EN 12390-3 [25] at a rate of 0.6 MPa/s. The specimens were cylinders of 95.1 mm diameter and 95 ± 1 mm high, which had been cut from larger cylinders. The concrete surface was polished and aligned using a sulfur cast according to ASTM C 617 [26], to ensure that the deviation from the parallel is less than 0.5°.

3. Results and Discussion

3.1. Estimation of Biogenic Carbonate Cover

The original image and its classification are shown above in Figure 3. The measurements done according to Equation (1) showed that the relative area covered by biogenic calcium carbonate deposits is 56.6%.

3.2. Chloride Profile

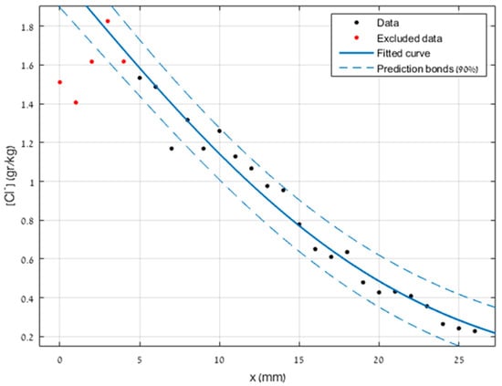
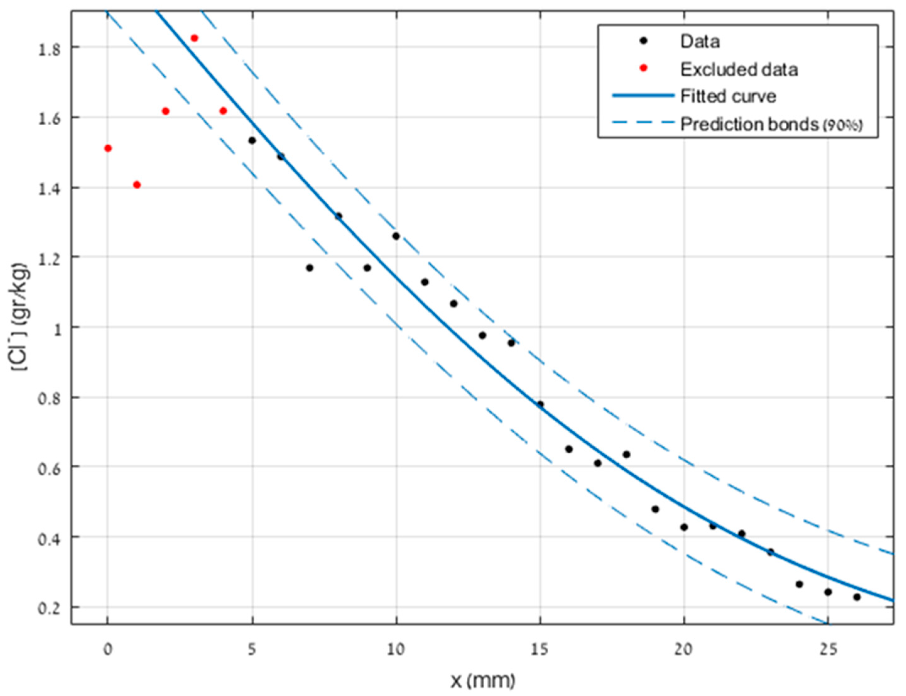
The chloride concentration (gr Cl to kg concrete) decreased as a function of depth from the concrete surface within the antifer (Figure 5). The fitting curve to this relation was taken from Equation (2) in ASTM C 1152. Experimental data below 5 mm depth were scattered and were not used for the curve fitting. The fitting parameters (i.e., surface concentration ( C s ), initial concentration ( C i ), effective diffusion coefficient ( D e f f ), and accuracy of fitting to unidirectional diffusion) are listed in Table 3. Very good fitting indicators are obtained, as the R2 value is close to 1 (0.97), and the SSE (sum of square error) and RMSE (residual mean square error) values are quite low (0.112 and 0.075, respectively), indicating that diffusion is the main chloride ingress mechanism in the seawater-immersed ecological concrete. Part of the residual error can be attributed to local changes in the paste/aggregate ratio. As this error is relatively small. Except for 4 points, all the points are within the 90% prediction bond. Omitting points do not change the fitting parameter in excess of the tolerance of the calculated fitting values in Table 3. It can be inferred that it does not have a significant effect on the parameters driven by the analysis.
The initial chloride concentration of the concrete Ci is practically zero. Such a result may be an artifact of the diffusion coefficient’s change with time, as has been demonstrated in simulations by Pack et al. [27]. The surface chloride concentration, Cs, is about 2 gr/kg which is lower than the values found in the literature for tidal zones (8 in [1] and 2.9–5.9 gr/kg in [28]). Lower surface chloride concentration may be a result of a lower porous surface area due to biogenic carbonate coverage. The diffusion coefficient obtained from the experimental results and according to ASTM C1152 is 7.5 × 10−13 m2/s.
The cause for the scattered results for the first 4 mm is attributed to lower cement paste concentration at the first 5 mm (Figure 6a). In this region, the surface is uneven (Figure 1 and Figure 6b) and the distribution of aggregates is not homogenous. Because the chloride ions penetrate only into the paste, lower chloride concentrations are expected in areas with lower paste content.
Our next question was: is this diffusion coefficient value the same as that in concrete with no biogenic cover, or does the coverage decrease the chloride diffusion? Unfortunately, the absence of a control specimen is one of the major drawbacks of a case study, in comparison to designed research. Hence, the utilization of an accredited model is suggested. LIFE-365 [1] model was selected for the estimation of the Deff value. The Deff was calculated according to the assumptions in LIFE-365 [1] using the following equations:
D ( 28 d a y ) = 10 12.06 + 2.4 ω m 2 sec ,
D ( t ) = D r e f ( t r e f t ) m ,
m = 0.2 + 0.4 ( % F A 50 + % S G 70 ) ,
where D is the effective diffusion coefficient, ω is the water-to-cement ratio, t the time, F A fly-ash, and S G slags. Eco-P additive was considered as an inert filler with only 10% pozzolanic material, FA. It was added as FA to Equation (5). This simulation allows the estimation of the diffusion coefficient after different periods. The resulting Deff after 28 days and 6 years under an assumption of a fixed temperature of 20 °C is shown in Table 4. The expected Deff for this ecological concrete formed mainly from slags is 1.12 × 10−12 m2/s after 6 years. The experimental value obtained (7.5 × 10−13 m2/s) was 67% of this value, indicating that the diffusion coefficient had decreased due to biogenic carbonate coverage that was estimated to be close to 60% by optic means. It is interesting to note that a similar trend appeared in the research of Kawabata et al., where a diffusion coefficient of 1.68 × 10−12 m2/s was found in concrete with no organisms on it, while specimens with about 50% coverage of organisms had 30–60% of this value, i.e., 5.04 × 10−13 to 1.01 × 10−12 m2/s [18]. Accepting the limitations of an uncontrolled case study and controlled research, which cannot emulate field conditions, a practical conclusion to support engineers’ decision making must be made. All evidence supports the postulation that a biological settlement on marine concrete improves its resistance to chloride ingress.

3.3. Carbonation

Unfortunately, the carbonation test was performed just 953 days after drilling, but it can be assumed that during the time the specimen was submerged in seawater, no carbonation occurred. After opening the drilled specimen, regular carbonation for a 953-day exposure to air was observed. The carbonation depth measured was 7.5 ± 1.7 mm for the face of the antifer which was external (i.e., covered by sessile organisms), and 14.6 ± 3 mm for the other sides (Figure 4). This yields a carbonation rate of 4.6 mm∙yr−½ for the face and a higher rate of 9.2 mm∙yr−½ for the sides where no sessile organisms were developed. The ratio between the carbonation rates is 2, which corresponds with the biogenic carbonate coverage of the face as found in the image-based estimation.
For the engineering concern for carbonation-induced reinforcement corrosion, there is no indication of elevated risk of carbonation due to sessile organism growth on the concrete surface. Whether it is due to the negligible penetration of carbonate to saturated concrete [9,10,11] because sessile organisms emit the carbonate to the water column or any effect of their carbonate acid secretion is negligible in relation to the concrete sealing by calcium carbonate deposition.

3.4. XRD

Results of the XRD of samples from different depths are shown in Figure 7. The corresponding peak analysis is shown in Table 5. XRD spectra were normalized with respect to the calcite diffraction line at 2θ = 29.405° as, according to semi-Rietveld analysis, its quantity is similar in all powders (7 ± 1%). Close to the surface (1 mm), a higher amount of sand (quartz) is indeed detected, while at greater depths the quantities of dolomite from the coarse aggregates and quartz from the sand are similar in all the tested samples. This is another indication that the first 5 mm must be omitted from the results similar to that done for the unidirectional diffusion curve.
Ettringite and thaumisite, two common sulfate-containing minerals in concrete, were not detected by XRD, indicating that sulfates did not incorporate into the crystalline structures. This is even though the Mediterranean Sea contains 1920–3840 ppm SO42− [29], while at the depth of 0.5 m, a concentration of 2880 ppm was measured [30]. The absence of these phases probably results from the absence of C3A hydrates in the hydrated cement of the ecological concrete. Thaumasite appears only with ettringite and forms only at low temperatures (5–15 °C) [12]. So, it is expected to form in the specific environment of this study. Hence, we may assume that it will not form in the ecological concrete, due to the absence of C3A, but to support this assumption, specimens from colder climates are needed. Another sulfate-containing crystal, gypsum, was detected in low concentrations. It is not clear whether the sulfates were part of the original concrete mix or penetrated later and reacted with calcium hydroxide from the cement paste to form the gypsum. If the sulfate came from the seawater, a concentration drop with depth is expected, as the results indeed show. This drop can have two explanations: (1) lower sulfate diffusion into the concrete dipper from its surface; and (2) reduction of the sulfate on the concrete surface by sulfate-reducing bacteria which develop as a biofilm on the concrete surface. Such a bacteria may hinder the ingress of additional sulfates as can be seen in sediments, where the sulfate concentration decreases with depth [29]. These explanations are speculative and should be investigated experimentally.
Small amounts of crystalized aluminate phase in the form of paragonite were detected in some samples. No C3A hydrate was detected (Table 5 and Figure 7). It can be inferred that the aluminate phases in the ecological concrete are mostly amorphous. Hence, the ecological concrete has no known component which is susceptible to sulfate attack.

3.5. Compressive Strength

The average compressive strength of the cylinders prepared from the cores is 44.1 MPa. This is above the compressive strength of two baches, and below the compressive strength of one batch as presented in Table 2. However, examination of the data for separated cylinders in Table 6 reveals that probably cylinders 5–7 came from batch 2 and cylinders 1–4 came from batches 1 and 3. Accepting this hypothesis, the compressive strength of batches 1 and 3 increased slightly from 39.3 and 39.5 to 39.9, and that of batch 2 from 48.5 to 49.6. The compressive strength of concrete is expected to rise with time due to the hydration progress. The observed change is less than expected for slag cement concrete [31]. It can be postulated that most hydration occurred during the first 28 days due to a curing temperature of about 40 °C, which is reported in [22].

4. Conclusions

Coastal engineers’ concern about the introduction of new construction material, eco-logical concrete, can be diminished. All examinations of the concrete specimens found that there was no deterioration of the ecological concrete performance for its first six years of exposure. There is no evidence for concern for longer-term exposure. The specific findings are summarized below.
  • In the presented case study, coverage of sessile marine organisms of about 50% of the concrete surface was achieved during 6 years of exposure;
  • Evidence for improved durability of the ecological concrete versus ordinary concrete was found, including reduction of chloride ingress, reduction of carbonation rate, and absence of sulfate attack products;
  • The effective ingress of chlorides and carbonates was reduced in proportion to the extent of the concrete biogenic-deposited carbonate coverage;
  • In recent years, as coastal construction development continues, ecological concrete should be considered for construction needs, as it has both ecological and biogenic benefits, with resulting long-term performance that is higher than ordinary concrete.

Author Contributions

Conceptualization, A.K.; methodology, A.K. and E.O.R.; software, A.K.; investigation, A.K. and E.O.R.; resources, A.K. and E.O.R.; data curation, A.K.; writing—original draft preparation, A.K. and E.O.R.; writing—review and editing, A.K. and E.O.R. All authors have read and agreed to the published version of the manuscript.

Funding

This research received no external funding.

Data Availability Statement

The original data can be accessed in DOI: 10.13140/RG.2.2.30182.91200.

Acknowledgments

The authors thank EConcrete™ for supplying the specimens and concrete mix data for this study.

Conflicts of Interest

A. Kenny serves as an external consultant to EConcrete™.

Abbreviations

Cconcentration/calcite in XRD
Cssurface concentration
Ciinitial concentration in the concrete
Ddiffusion coefficient/dolomite in XRD
Deffeffective diffusion coefficient
dday
FAfly-ash
Ggypsum
mmeter- or time-dependent correction factor for effective diffusion
mmmillimeter
Pparagonite
Qquartz
SGgrounded granulated slag
ssecond
ttime
trefreference time
xlocation measured from the concrete surface
yryear
ωwater to cement ratio

References

  1. Ehlen, M.A. Life-365™ Service Life Prediction Model™ and Computer Program for Predicting the Service Life and Life-Cycle Cost of Reinforced Concrete Exposed to Chlorides, Life-365™ Consortium III. 2020. Available online: http://www.life-365.org/download/Life-365_v2.2.3_Users_Manual.pdf (accessed on 11 December 2022).
  2. Shi, M.; Chen, Z.; Sun, J. Determination of chloride diffusivity in concrete by AC impedance spectroscopy. Cem. Concr. Res. 1999, 29, 1111–1115. [Google Scholar] [CrossRef]
  3. Lollini, F.; Redaelli, E.; Bertolini, L. Investigation on the effect of supplementary cementitious materials on the critical chloride threshold of steel in concrete. Mater. Struct./Mater. Et Constr. 2016, 49, 4147–4165. [Google Scholar] [CrossRef]
  4. Chidiac, S.E.; Shafikhani, M. Phenomenological model for quantifying concrete chloride diffusion coefficient. Constr. Build. Mater. 2019, 224, 773–784. [Google Scholar] [CrossRef]
  5. Massazza, F. Pozzolana and Pozzolanic Cement. In LEA’s Chemistry of Cement and Concrete, 4th ed.; Hewlett, P.C., Ed.; Elsivier: Arnold, CA, USA, 1998; pp. 471–632. [Google Scholar] [CrossRef]
  6. Friedmann, H.; Amiri, O.; Aït-Mokhtar, A.; Dumargue, P. A direct method for determining chloride diffusion coefficient by using migration test. Cem. Concr. Res. 2004, 34, 1967–1973. [Google Scholar] [CrossRef]
  7. ASTM C1556-11a; Standard Test Method for Determining the Apparent Chloride Diffusion Coefficient of Cementitious Mixtures by Bulk Diffusion. ASTM: West Conshohocken, PA, USA, 2016. [CrossRef]
  8. Stewart, M.G.; Wang, X.; Nguyen, M.N. Climate change impact and risks of concrete infrastructure deterioration. Eng. Struct. 2011, 33, 1326–1337. [Google Scholar] [CrossRef]
  9. PLiu, P.; Yu, Z.; Chen, Y. Carbonation depth model and carbonated acceleration rate of concrete under different environment. Cem. Concr. Compos. 2020, 114, 103736. [Google Scholar] [CrossRef]
  10. Hills, T.P.; Gordon, F.; Florin, N.H.; Fennell, P.S. Statistical analysis of the carbonation rate of concrete. Cem. Concr. Res. 2015, 72, 98–107. [Google Scholar] [CrossRef]
  11. Ta, V.L.; Bonnet, S.; Kiesse, T.S.; Ventura, A. A new meta-model to calculate carbonation front depth within concrete structures. Constr. Build. Mater. 2016, 129, 172–181. [Google Scholar] [CrossRef]
  12. Rahman, M.M.; Bassuoni, M.T. Thaumasite sulfate attack on concrete: Mechanisms, influential factors and mitigation. Constr. Build. Mater. 2014, 73, 652–662. [Google Scholar] [CrossRef]
  13. Irassar, E.F. Sulfate attack on cementitious materials containing limestone filler—A review. Cem. Concr. Res. 2009, 39, 241–254. [Google Scholar] [CrossRef]
  14. Qin, S.; Zou, D.; Liu, T.; Jivkov, A. A chemo-transport-damage model for concrete under external sulfate attack. Cem. Concr. Res. 2020, 132, 106048. [Google Scholar] [CrossRef]
  15. Chen, J.K.; Qian, C.; Song, H. A new chemo-mechanical model of damage in concrete under sulfate attack. Constr. Build. Mater. 2016, 115, 536–543. [Google Scholar] [CrossRef]
  16. Chlayon, T.; Iwanami, M.; Chijiwa, N. Impacts from concrete microstructure and surface on the settlement of sessile organisms affecting chloride attack. Constr. Build. Mater. 2019, 239, 117863. [Google Scholar] [CrossRef]
  17. Hughes, P.; Fairhurst, D.; Sherrington, I.; Renevier, N.; Morton, L.H.G.G.; Robery, P.C.; Cunningham, L. Microscopic study into biodeterioration of marine concrete. Int. Biodeterior. Biodegrad. 2013, 79, 14–19. [Google Scholar] [CrossRef]
  18. Kawabata, Y.; Kato, E.; Iwanami, M. Enhanced long-term resistance of concrete with marine sessile organisms to chloride ion penetration. J. Adv. Concr. Technol. 2012, 10, 151–159. [Google Scholar] [CrossRef]
  19. Coombes, M.A.; Viles, H.A.; Naylor, L.A.; La Marca, E.C. Cool barnacles: Do common biogenic structures enhance or retard rates of deterioration of intertidal rocks and concrete? Sci. Total Environ. 2017, 580, 1034–1045. [Google Scholar] [CrossRef]
  20. Coombes, M.A.; Naylor, L.A.; Viles, H.A.; Thompson, R.C. Bioprotection and disturbance: Seaweed, microclimatic stability and conditions for mechanical weathering in the intertidal zone. Geomorphology 2013, 202, 4–14. [Google Scholar] [CrossRef]
  21. Chlayon, T.; Iwanami, M.; Chijiwa, N. Combined protective action of barnacles and biofilm on concrete surface in intertidal areas. Constr. Build. Mater. 2018, 179, 477–487. [Google Scholar] [CrossRef]
  22. Sella, I.; Perkol-Finkel, S. Increasing the Biological and Ecological Value of Coastal Infrastructures—Reducing the Ecological Footprint of Marine Infrastructures by a Bio-Settelment Supporting Concrete Construction—Annual Report July 2013; ECOncrete: Tel-Aviv, Israel, 2013. [Google Scholar]
  23. Di Monterosato, M. Nomenclatura Generica e Specifica di Alcune Conchiglie Mediterranee. Stabilamento Tipogrfico Virzì: Palermo, Italy, 1884. [Google Scholar] [CrossRef]
  24. ASTM C1152/C1152M-20; Standard Test Method for Acid-Soluble Chloride in Mortar and Concrete. ASTM: West Conshohocken, PA, USA, 2020. [CrossRef]
  25. EN 12390-3:2019; Testing Hardened Concrete Compressive Strength of Test Specimens. CEN: Brussels, Belgium, 2019.
  26. ASTM C617-10; Standard Practice for Capping Cylindrical Concrete Specimens. ASTM: West Conshohocken, PA, USA, 2010. [CrossRef]
  27. Pack, S.W.; Jung, M.S.; Song, H.W.; Kim, S.H.; Ann, K.Y. Prediction of time dependent chloride transport in concrete structures exposed to a marine environment. Cem. Concr. Res. 2010, 40, 302–312. [Google Scholar] [CrossRef]
  28. Costa, A.; Appleton, J. Chloride penetration into concrete in marine environment—Part I: Main parameters affecting chloride penetration. Mater. Struct. 1999, 32, 252–259. [Google Scholar] [CrossRef]
  29. Sela-Adler, M.; Herut, B.; Bar-Or, I.; Antler, G.; Eliani-Russak, E.; Levy, E.; Makovsky, Y.; Sivan, O. Geochemical evidence for biogenic methane production and consumption in the shallow sediments of the SE Mediterranean shelf (Israel). Cont. Shelf Res. 2015, 101, 117–124. [Google Scholar] [CrossRef]
  30. Herut, B.; Starinsky, A.; Katz, A.; Bein, A. The role of seawater freezing in the formation of subsurface brines. Geochim. Cowmchimica Acta 1990, 54, 13–21. [Google Scholar] [CrossRef]
  31. Wang, X.Y.; Luan, Y. Modeling of Hydration, Strength Development, and Optimum Combinations of Cement-Slag-Limestone Ternary Concrete. Int. J. Concr. Struct. Mater. 2018, 12, 12. [Google Scholar] [CrossRef]
Figure 1. The antifers before placement in the breakwater.
Figure 1. The antifers before placement in the breakwater.
Sustainability 15 13780 g001
Figure 2. Exposure location: Haifa, Israel.
Figure 2. Exposure location: Haifa, Israel.
Sustainability 15 13780 g002
Figure 3. A 95 mm core for carbonate coverage analysis: (a) original with a cardboard background. (b) background removed; (c) clustered image; (d) classified image, magenta-biogenic carbonate deposition.
Figure 3. A 95 mm core for carbonate coverage analysis: (a) original with a cardboard background. (b) background removed; (c) clustered image; (d) classified image, magenta-biogenic carbonate deposition.
Sustainability 15 13780 g003
Figure 4. Halved core sprayed with phenolphthalein after exposure to air for 953 days.
Figure 4. Halved core sprayed with phenolphthalein after exposure to air for 953 days.
Sustainability 15 13780 g004
Figure 5. Chloride profile (experimental) and unidirectional diffusion model fitting (Equation (2)). Fitting parameters are summarized in Table 3.
Figure 5. Chloride profile (experimental) and unidirectional diffusion model fitting (Equation (2)). Fitting parameters are summarized in Table 3.
Sustainability 15 13780 g005
Figure 6. Sources for variation of chloride concentration at low depth. (a) Paste concentration from image processing of the sides of the core was used for carbonation depth measurement. The orange line is the paste concentration in the concrete calculated from the concrete mix composition. (b) Image of the surface of the core used for carbonation depth measurement.
Figure 6. Sources for variation of chloride concentration at low depth. (a) Paste concentration from image processing of the sides of the core was used for carbonation depth measurement. The orange line is the paste concentration in the concrete calculated from the concrete mix composition. (b) Image of the surface of the core used for carbonation depth measurement.
Sustainability 15 13780 g006
Figure 7. X-ray diffraction of powders from different depths of the breakwater. The definition of the capital letters appears in Table 4.
Figure 7. X-ray diffraction of powders from different depths of the breakwater. The definition of the capital letters appears in Table 4.
Sustainability 15 13780 g007
Table 1. Concrete mix.
Table 1. Concrete mix.
IngredientKg/m3
14–19 mm aggregate830
9–14 mm aggregate409
0–9 mm aggregate374
Sand374
Water140
Cement CEM III B 42.5 N 1260
EcoP ecological additive 260
1 According to EN-197, contains 20–34% clinker and 66–80% slag; 2 a commercial additive by EConcrete™.
Table 2. Properties of different concrete batches adapted with permission from [22], 2013, ECOncrete.
Table 2. Properties of different concrete batches adapted with permission from [22], 2013, ECOncrete.
BatchCompressive Strength (Mpa)Depth Penetration of Water under Pressure (mm)Rapid Chloride Permeability Test (Coulombs)
139.5<20<1500
248.5<20<1000
339.3<20<1000
Table 3. Parameters and indicators for the goodness of fit for a chloride profile unidirectional diffusion model (Figure 5, chloride profile (experimental) and unidirectional diffusion model fitting (Equation (2)). Fitting parameters are summarized in Table 3, Figure 5, Equation (2)). Data below 5 mm excluded; Cs—surface concentration; Ci—original concentration in concrete; Deff—effective diffusion coefficient; limits are for 95% confidence. SSE—sum squared error performance function, RMSE—root-mean-square error.
Table 3. Parameters and indicators for the goodness of fit for a chloride profile unidirectional diffusion model (Figure 5, chloride profile (experimental) and unidirectional diffusion model fitting (Equation (2)). Fitting parameters are summarized in Table 3, Figure 5, Equation (2)). Data below 5 mm excluded; Cs—surface concentration; Ci—original concentration in concrete; Deff—effective diffusion coefficient; limits are for 95% confidence. SSE—sum squared error performance function, RMSE—root-mean-square error.
ParameterValue
C s (gr/kg)2.07 ± 0.13
C i (gr/kg)0 * ± 2.22 × 10−14
D e f f (m2s−1)7.5× 10−13 ± 1.0 × 10−13
SSE0.1118
R20.9701
RMSE0.07477
* Ci is defined as a positive value.
Table 4. Calculation of Deff based on Equations (3)–(5) in [1].
Table 4. Calculation of Deff based on Equations (3)–(5) in [1].
ParameterValue
W/C0.53
SG (%)68.40
FA 1 (%)2.25
Deff at 28 d (m2/s)1.60 × 10−11
m0.61
Deff at 6 yr (m2/s)1.12 × 10−12
1 Eco-P is calculated as FA.
Table 5. Semi-quantitative analysis of powders from different depths.
Table 5. Semi-quantitative analysis of powders from different depths.
Mineral NamePDF Card26 mm19 mm14 mm10 mm7 mm6 mm1 mm
Dolomite (D) 01-074-168790%90%88%85%88%88%79%(CaMg)(CO3)2
Calcite (C) 01-086-23346%6%6%8%8%6%8%CaCO3
Quartz (Q)01-085-07953%4%3%2%3%2%10%SiO2
Gypsum (G)98-011-422NDND2%3%1%3%2%CaSO4·2H2O
Paragonite 2M1 (P)01-075-12021%ND1%2%ND1%1%NaAl2(AlSi3O10)(OH)2
Table 6. Compressive strength results (sorted by strength).
Table 6. Compressive strength results (sorted by strength).
NumberCompressive Strength (MPa)
138.6
238.9
339.1
443.0
547.2
649.0
752.5
Disclaimer/Publisher’s Note: The statements, opinions and data contained in all publications are solely those of the individual author(s) and contributor(s) and not of MDPI and/or the editor(s). MDPI and/or the editor(s) disclaim responsibility for any injury to people or property resulting from any ideas, methods, instructions or products referred to in the content.

Share and Cite

MDPI and ACS Style

Kenny, A.; Ofer Rozovsky, E. Six-Year-Old Ecological Concrete in a Marine Environment: A Case Study. Sustainability 2023, 15, 13780. https://doi.org/10.3390/su151813780

AMA Style

Kenny A, Ofer Rozovsky E. Six-Year-Old Ecological Concrete in a Marine Environment: A Case Study. Sustainability. 2023; 15(18):13780. https://doi.org/10.3390/su151813780

Chicago/Turabian Style

Kenny, Amit, and Ela Ofer Rozovsky. 2023. "Six-Year-Old Ecological Concrete in a Marine Environment: A Case Study" Sustainability 15, no. 18: 13780. https://doi.org/10.3390/su151813780

APA Style

Kenny, A., & Ofer Rozovsky, E. (2023). Six-Year-Old Ecological Concrete in a Marine Environment: A Case Study. Sustainability, 15(18), 13780. https://doi.org/10.3390/su151813780

Note that from the first issue of 2016, this journal uses article numbers instead of page numbers. See further details here.

Article Metrics

Back to TopTop