Next Article in Journal
How Does the Living Street Environment in the Old Urban Districts Affect Walking Behavior? A General Multi-Factor Framework
Previous Article in Journal
A Model for an Order-Picking Problem with a One-Directional Conveyor and Buffer
 
 
Font Type:
Arial Georgia Verdana
Font Size:
Aa Aa Aa
Line Spacing:
Column Width:
Background:
Article

Supply Chain Green Manufacturing and Green Marketing Strategies under Network Externality

1
School of Management, Jiangsu University, Zhenjiang 212013, China
2
Research Office, Yancheng Administrative College, Yancheng 224002, China
3
School of Economics and Management, Yancheng Institute of Technology, Yancheng 224002, China
*
Author to whom correspondence should be addressed.
Sustainability 2023, 15(18), 13732; https://doi.org/10.3390/su151813732
Submission received: 15 June 2023 / Revised: 7 September 2023 / Accepted: 13 September 2023 / Published: 14 September 2023

Abstract

:
This paper discusses the impact of network externalities on the green strategies of enterprises at each node of the supply chain. The existing related research mainly addresses the influence of factors such as government regulation, consumer behavior characteristics, and node enterprise behavior on green supply chain decision making. While these studies provide excellent ideas, the impact of network externalities on both green manufacturing and green marketing strategies is often disregarded. This paper uses evolutionary game theory to construct a utility function based on network externalities and consumer green preferences. The Stackelberg game is used to analyze the revenue function of supply chain members under different strategies, showing that under different strategies, network externalities and consumer green preferences have different effects on revenue in the supply chain. To understand the influence of network externalities on green supply chain strategy choices, the evolutionary game model is used. This model allows analyzing the evolutionary stable strategies of manufacturers’ green manufacturing and retailers’ green marketing. The mechanism underlying the influence of network externalities and consumer green preferences on green supply chain decision making is demonstrated. This helps to explain the green strategy decisions of upstream and downstream enterprises in the supply chain.

1. Introduction

In recent years, environmental pollution, ecological imbalance, and unsustainable development caused by human socio-economic expansion have become increasingly prominent. Therefore, the concept of sustainable development has received increasing attention. At the 2015 United Nations Sustainable Development Summit, 17 Sustainable Development Goals were proposed, thus encouraging enterprises to integrate sustainable development concepts into business practices, especially supply chain management practices, with the aim to lower sustainable development risks [1]. At the same time, the growing demand for green products by the public has also become an important driving force for promoting the sustainable development of enterprises. According to a survey conducted by Accenture, 80% of respondents considered the greenness of products when making purchase decisions. Consumer green preference has led businesses to increasingly value sustainable development strategies [2]. The sustainable development goal has prompted the transformation of enterprises from traditional supply chain management to green supply chain management. Green supply chain management can effectively improve resource use efficiency, reduce damage to the ecological environment, and achieve coordinated development between enterprises and the environment [3].
To better promote the practice of green supply chain management in enterprises, it is necessary to distinguish various green supply chain management strategies. Resource-based theory can be applied to explain and analyze green supply chain strategies, segmenting them into two aspects: green manufacturing and green marketing. Resource-based theory is an important theoretical framework in the field of organizational management as it emphasizes the importance of internal resources and capabilities within enterprises. Enterprises use green supply chain management to convey social responsibility information to stakeholders, thereby promoting collaboration between upstream and downstream supply chains and achieving sustainable competitive advantages [4,5]. Under the framework of resource-based theory, green manufacturing can be understood as a key resource and capability of an enterprise [6]. Included are technology, processes, and management practices aimed at reducing environmental impacts, improving resource use efficiency, and promoting sustainable production. The investment and innovation of enterprises in green manufacturing efforts, such as environmentally friendly production technologies, energy conservation measures, and waste disposal methods, can be understood as unique resources that are difficult to imitate. These resources can help companies gain competitive advantages in environmental responsibility, compliance, and sustainable development and thereby stand out in the market [7]. Green marketing strategies can be understood as another important resource of enterprises. These strategies include brand image, market positioning, communication, and promotion activities. Green marketing not only conveys environmental information to consumers but also details how the green values of enterprises can be transformed into products and services to meet consumers’ needs for environmental protection and sustainability [8]. Through green marketing, enterprises can establish a positive environmental image in the minds of their consumers, thereby increasing product awareness, attracting target consumer groups, and establishing long-term customer loyalty [9].
Supply chain green manufacturing and green marketing strategies have received widespread attention from the academic community. Umar et al. found that the adoption of green manufacturing strategies by enterprises has had a positive impact on sustainable performance improvements [10]. Moreover, green manufacturing strategies can showcase corporate social responsibility to the public, enhance corporate competitiveness, and improve long-term financial performance. Further research has discussed the challenges of green manufacturing and has explored how the optimization path of green manufacturing can be improved [11,12]. Green marketing also positively affects corporate performance improvements. Green marketing strategies can help managers to optimize business operations, cultivate core competitiveness, and thus promote corporate performance [13,14]. Further research has proposed an improvement path for green marketing, where the supply chain coordinates green marketing costs through profit allocation, thus achieving value co-creation [15]. The existing research on green manufacturing and green marketing provides a good perspective, elucidates the importance of green supply chain management for the sustainable development of enterprises, and proposes constructive paths for optimizing and coordinating green supply chain strategies. However, so far, there have been relatively few studies analyzing green manufacturing and green marketing from the perspective of the internet. Network organizations are a new trend in the development of supply chains. Manufacturers, retailers, and customers in the network establish connections through transactions and information exchange, thus enhancing the overall competitiveness of the supply chain [16]. In recent years, many well-known enterprises have unlocked certain economic and social benefits through green supply chain management, green manufacturing, and green marketing. However, in the process of sustainable development, there is a huge gap in the performance of these companies. Taking the mobile phone industry as an example, Apple promised to achieve carbon neutrality throughout the product life cycle by 2030. In 2015, Apple launched the Supplier Cleanliness Program, encouraging suppliers to engage in green manufacturing. At the same time, Apple also conducts green marketing through environmental advertising and public investment to showcase corporate environmental responsibility for its consumers. The large user base of Apple is the key to the successful implementation of green supply chain management. Through its green manufacturing and green marketing strategies, Apple has generated new demands for users with green preferences. Thus, Apple has achieved value proliferation through the network effect brought by additional users, which has become an external factor for the successful green transformation of Apple’s supply chain. However, another mobile phone manufacturer, Nokia, has gradually withdrawn from the mobile phone market. As early as 2001, Nokia initiated the establishment of a Star Network Industrial Park in China to build an environmental protection industry chain. However, as manufacturers such as Motorola and Samsung withdrew from the Symbian operating system, in 2010, only Nokia was left with its operating system. The significant reduction in users made it difficult for Nokia to internalize network externalities when implementing green supply chain management, which has increased green costs and reduced Nokia’s corporate value.
The above-mentioned cases show that network externalities significantly impact the performance goals of green supply chain management in enterprises. Network externality refers to the utility users obtain from a product based on the total number of users of the product. In today’s highly developed internet society, network externality has become an important factor affecting enterprise decision making and it is deemed important by both the business community and academia. Shen et al. found that network externalities have a positive impact on supply chain advertising strategies [17]. Xie et al. found that network externalities can increase consumer demand for remanufactured products [18]. However, currently, research on network externalities and green supply chain strategies is limited; in particular, the lack of analysis of how network externalities promote green manufacturing and green marketing undermines progress in this field. In today’s world, where green transformation of supply chains has become a development trend, it is necessary to explore the impact of network externalities on green strategies in the supply chain and clarify the black box of the internal mechanism between network externalities and supply chain performance.
In summary, for enterprises to achieve green transformation and sustainable development, it is necessary to determine how both network externalities and consumer green preferences affect the green decision making of enterprises. Therefore, this paper applies evolutionary game tools to analyze green manufacturing and green marketing strategies in green supply chains. The following research questions are addressed: (1) How are network externalities and green preferences affecting consumer utility? (2) Is there a positive correlation between network externalities and green supply chain performance? (3) Does the expansion of network externalities help to encourage enterprises to adopt green manufacturing and green marketing strategies, and promote sustainable development of green supply chains?
The contribution of this paper lies in, first, the construction of a decision-making process for manufacturers’ green manufacturing and retailers’ green marketing strategies. This process needs to consider network externalities and consumer green preferences in the utility function to describe market demand more accurately. Second, compared to the existing evolutionary game literature, this paper nests Stackelberg models in the payment matrix of green supply chain strategy selection. This step makes the green supply chain decision-making model more realistic and further enhances the capacity of research conclusions to guide reality.
The remaining sections of this paper are briefly summarized as follows: Section 2 reviews the relevant literature, Section 3 proposes research hypotheses, and Section 4 analyzes the Stackelberg game equilibrium under four different scenarios. Section 5 analyzes the selection of green supply chain strategies using an evolutionary game model and presents numerical simulations, and Section 6 summarizes this paper.

2. Review of the Literature and Motivations

2.1. Network Externality

As early as the 1980s, network externality entered the academic research field. Katz et al. first proposed the concept of network externality in 1985 [19]. Since then, many studies have shown that network externality factors have an important impact on enterprise performance and strategies [20,21,22]. Network externality refers to the increase in consumer utility as the number of consumers who purchase the same or compatible products (services) increases [23]. For example, online games have an intrinsic value to players; however, the number of players will also affect the players’ utility [24]. Therefore, consumers’ purchase decisions will be affected, not only by the value of the goods themselves, but also by the size of the market for products or services, i.e., the strength of the network externality [25]. Research has also addressed the role of network externality in supply chain decision making [26]. Xu et al. studied the retailers’ sales price, refund policy, and inventory strategy under three conditions: no network externality, fixed network externality, and variable network externality based on the return amount [27]. Yi et al. studied the relationship between retailers’ marketing objectives and manufacturers’ wholesale pricing in a market with network externality [28]. Fanti et al. analyzed the role of network externality in the context of a two-stage supply chain game [29]. Ivan studied the exhibition industry and found that network externalities positively impact service quality, customer satisfaction, and exhibitor satisfaction [30]. Zhang et al. constructed several tourism supply chain pricing decision-making models under different game structures and found that network externalities can create value for the supply chain [31]. Hu et al. studied the operating mechanism of closed-loop supply chains in the presence of network externalities, showing that network externalities can promote sales efforts [32]. These studies have examined the impact of network externalities on supply chain decision making. However, the literature analyzing the impact of network externalities on green supply chain decision making is limited. To fill this gap, this paper constructs a consumer utility function based on network externalities and green preferences to explore the operational mechanism of green supply chains in the presence of network externalities.

2.2. Green Supply Chain Management

In recent years, green supply chain management decision making has become a hot topic in the field of supply chain management. Li et al. studied the dual-channel green supply chain and analyzed supply chain pricing and green strategies in decentralized and centralized decision making [33]. Zhu et al. found that green supply chain strategies are closely related to the supply chain structure, types of green products, and retailer competition [34]. Zhang et al. explored green strategies under a non-cooperative game equilibrium by establishing a three-level green supply chain game model [35]. Green et al. posited that under green consumer preferences, supply chain members should integrate their green strategies with business processes [36]. Islam et al. further refined the green supply chain strategies into manufacturers’ green manufacturing and retailers’ green marketing [37]. Shang et al. suggested that green manufacturing refers to the ability of enterprises to modify their traditional manufacturing processes to cope with social green anxiety [38]. Green manufacturing is responsible for identifying, quantifying, evaluating, and managing environmental waste to improve the environment [39]. As the concept of sustainable development of enterprises receives increasing attention, green marketing is becoming the key sustainable strategy for enterprises to enhance their competitive advantage [40,41]. Tjahjadi et al. suggested that green marketing is a process in which organizations use the market to create higher value for sustainable development. Green market orientation can help enterprises to improve their competitiveness in the business environment [42]. The above-mentioned research provides instructive management insights. However, considering that green supply chain management also encompasses the integration and coordination of upstream and downstream enterprises, manufacturers’ green manufacturing and retailers’ green marketing need to be integrated into a single framework to improve the practical relevance of the research.

2.3. Review of Past Literature

At present, research analyzing green supply chain strategies based on network externality theory is lacking. Wu et al. found that under the environment of network externality, centralized decision making in the low-carbon supply chain outperforms decentralized decision making [43]. Lin et al. analyzed manufacturers’ strategies in detail and constructed a consumer utility function according to the green preference of consumers and the network externality characteristic of products. On this basis, they analyzed the manufacturers’ strategies in the supply chain [44].
In summary, there is a significant lack of research on the use of network externality theory to analyze the green supply chain. The current research is limited to the analysis of the overall strategy of the supply chain or the manufacturers’ strategy. There is no relevant research on the impact network externality has on retailers’ green marketing strategy. This paper introduces network externality and consumer green preference parameters and considers the two different strategies of green manufacturing and green marketing at the same time. Through a Stackelberg game and an evolutionary game, the impact of consumer green preference and network externality factors on green supply chain strategies is analyzed.

3. Problem Description and Research Assumptions

3.1. Assumptions

  • This paper discusses a green supply chain system. Manufacturers can use two strategies: green manufacturing and traditional manufacturing. Retailers can choose either a green marketing strategy or a traditional marketing strategy. Under either strategy, assuming that the manufacturer is the leader, the manufacturer first determines the wholesale price. Next, the retailer determines the retail price.
  • Green manufacturing can reduce production costs for enterprises by optimizing design. In 2022, Siemens used green manufacturing to optimize product design in the gripper solution of a handling robot used for automobile production, thus reducing 82% of carbon emissions and 73% of production costs. Rusinko also showed that environmentally sustainable production practices reduced the manufacturing costs of the carpet industry in the United States [45]. Green marketing practices can also reduce operating costs. Walmart used energy-saving lights in retail stores, designed environmental slogans, stopped providing plastic bags, and called on customers to carry environmentally friendly shopping bags. These measures not only improved Walmart’s social image but also reduced its operating costs. Therefore, this paper is based on the assumption that green manufacturing and green marketing can reduce the unit cost of the supply chain.
  • According to research by Ranjan et al. [46], this paper sets the cost of green manufacturing and green marketing efforts as quadratic.
  • The utility function of consumers is analyzed next. Because of the heterogeneity of consumers, it can be assumed that their willingness to pay is evenly distributed within the 0 , 1 interval. Here, this paper draws on the utility function established by Ryan et al. [47] and considers the green preference of consumers and the network externality characteristics of goods. The underlying assumption is that network externalities and green preferences are positively correlated with consumer utility.

3.2. Notation

The main parameters in the game are presented in Table 1.

3.3. Mathematical Formulation

Let the unit production cost of traditional manufactured goods be c 2 . Production costs will decrease when adopting green technology: c 2 k 2 g 2 , where g 2 is the green manufacturer effort coefficient and k 2 represents the coefficient of the impact of green efforts on cost reduction. At this point, the manufacturer’s green technology investment cost is 0.5 η 2 g 2 2 . Similarly, suppose the retailer’s green marketing effort coefficient is g 1 and the unit marketing cost of the product is c 1 , where k 1 represents the coefficient of the impact of green efforts on cost reduction. The marketing cost will be reduced when adopting green marketing: c 1 k 1 g 1 . The retailer’s investment cost of green marketing is 0.5 η 1 g 1 2 . Without loss of generality, it is assumed that the fixed unit production cost and marketing cost of goods are 0.
Suppose the utility function of consumers is U = v p + a d , where a and d represent the network externality coefficient and the market demand of products, respectively, and v represents the consumers’ willingness to pay. Assuming that either manufacturers adopt green manufacturing and retailers adopt traditional marketing or manufacturers adopt traditional manufacturing and retailers adopt green marketing, the utility function of consumers is U = e v p + a d , where e represents consumers’ green preferences ( e 0 ,   1 ). Meng et al. found that the higher the consumers’ green preference, the greater the demand for green products. Therefore, utility is directly proportional to consumers’ green preferences [48]. Based on this, we assume that the size of e is positively correlated with consumers’ green preferences. Without loss of generality, when manufacturers adopt traditional manufacturing and retailers adopt traditional marketing strategies, the utility function of consumers is U = e 2 v p + a d . To ensure the existence of equilibrium solutions, it is assumed that 0 < a < e < 1 .

4. Analysis of Stackelberg Game Equilibrium under Different Strategies

4.1. Manufactures Adopt Green Manufacturing and Retailers Adopt Green Marketing Strategies: Model Gg

Under this strategy, the utility function of consumers is U = v p + a d . Suppose v * is the consumers’ critical willingness to pay when the utilities of goods purchased and goods not purchased are equal. It can be found using d = v * 1 d v = 1 v * and U = v * p + a d = 0 with a simultaneous solution of:
v * = p a 1 a , d = 1 p 1 a
At this point, the revenue function of the retailer is:
π r g g = [ p w + k 1 g 1 ] 1 p 1 a η 1 g 1 2 2
The optimal green marketing effort is:
g 1 = k 1 ( w 1 ) k 2 2 η 1 + 2 a η 1
The optimal retailer price is:
p = w + 1 2 + k 1 ( k 1 k 1 w ) 2 ( k 1 2 2 η 1 + 2 a η 1 )
The profit function of the manufacturer is:
π m g g = ( w + k 2 g 2 ) 1 p 1 a η 2 g 2 2 2
The wholesale price of manufacturers can be obtained through substitution as:
w = η 1 k 2 2 2 ( 2 η 2 k 1 2 + η 1 k 2 2 4 η 1 η 2 + 4 a η 1 η 2 ) + 1 2
The optimal retailer price is:
p = 2 η 2 k 1 2 + η 1 k 2 2 3 η 1 η 2 + 3 a η 1 η 2 2 η 2 k 1 2 + η 1 k 2 2 4 η 1 η 2 + 4 a η 1 η 2
The optimal green manufacturing effort is:
g 2 = η 1 k 2 4 ( 1 a ) η 1 η 2 2 η 2 k 1 2 η 1 k 2 2
The optimal green marketing effort is:
g 1 = η 2 k 1 4 ( 1 a ) η 1 η 2 2 η 2 k 1 2 η 1 k 2 2
The optimal retailers’ profits are:
π r g g = η 1 η 2 2 ( 2 η 1 k 1 2 2 a η 1 ) 2 ( 2 η 2 k 1 2 + η 1 k 2 2 4 η 1 η 2 + 4 a η 1 η 2 ) 2
The optimal manufacturer’s profit is:
π m g g = η 1 η 2 2 ( 4 η 1 η 2 2 η 2 k 1 2 η 1 k 2 2 4 a η 1 η 2 )
Proposition 1.
The network externality coefficient is positively related to the green manufacturing effort coefficient of manufacturers, the green marketing effort coefficient of retailers, and the profits of both manufacturers and retailers.
Prove:
g 1 a > 0 , g 2 a > 0 , π r g g a > 0 , π m g g a > 0  
Proposition 1 shows that the higher the network externality coefficient, the higher the manufacturer’s green manufacturing effort coefficient and the retailer’s green marketing effort coefficient. This is due to the increase in the demand for green products triggered by the improvement of the network externality. The higher the network externality coefficient, the higher the manufacturer’s profit and the retailer’s profit. This is because the increase in product demand caused by the improvement of network externality increases the revenue of the supply chain.

4.2. Manufactures Adopt Green Manufacturing and Retailers Adopt Traditional Marketing Strategies: Model Gt

Under this strategy, the utility function of consumers is:
U = e v p + a d
It can be solved as:
v * = p a e a ,   d = 1 p a e a
At this point, the revenue function of the retailer is:
π r g t = ( p w ) 1 p a e a
The profit function of the manufacturer is:
π m g t = w k 2 g 2 1 p a e a η 2 g 2 2 2
According to the simultaneous equation, the optimal green manufacturing effort is:
g 2 = e k 2 4 e η 2 4 a η 2 k 2 2
The optimal wholesale price is:
w = e 2 + e k 2 2 2 ( k 2 2 + 4 a η 2 4 e η 2 )
The optimal retailer price is:
p = 3 e 4 + e k 2 2 4 ( k 2 2 + 4 a η 2 4 e η 2 )
The optimal retailers’ profits are:
π r g t = ( e a ) e 2 η 2 2 ( k 2 2 + 4 a η 2 4 e η 2 ) 2
The optimal manufacturer’s profit is:
π m g t = e 2 η 2 2 ( 4 e η 2 4 a η 2 k 2 2 )
Proposition 2.
The network externality coefficient is positively related to the manufacturer’s green manufacturing effort coefficient, negatively related to the retailer’s profit, positively related to the manufacturer’s profit, and negatively related to the retailer’s pricing; consumer green preferences are positively related to manufacturers’ green manufacturing efforts, retailers’ profits, and manufacturers’ profits.
Prove:
g 2 a > 0 , π r g t a < 0 , π m g t a > 0 , p a < 0 , g 2 e > 0 , π r g t e > 0 , π m g t e > 0  
Proposition 2 shows that improving the network externality coefficient and consumers’ green preference will promote manufacturers’ green manufacturing efforts, thereby improving manufacturers’ profits. However, the network externality coefficient and consumers’ green preference have different effects on retailers’ profits because the increase in network externality will reduce retailers’ pricing, while the increase in consumers’ green preference will increase retailers’ pricing.

4.3. Manufactures Adopt Traditional Manufacturing and Retailers Adopt Green Marketing Strategies: Model Tg

Under this strategy, the utility function of consumers is:
U = e v p + a d
It can be solved as:
v * = p a e a , d = 1 p a e a
At this point, the revenue function of the retailer is:
π r t g = ( p w + k 1 g 1 ) 1 p a e a η 1 g 1 2 2
The profit function of the manufacturer is:
π m t g = w 1 p a e a
The simultaneous equation shows that the optimal green marketing effort is:
g 1 = e k 1 2 ( 2 e η 1 2 a η 1 k 1 2 )
The optimal retailer price is:
p = 3 e 4 + e k 1 2 4 k 1 2 + 2 a η 1 2 e η 1
The optimal retailers’ profits are:
π r t g = e 2 η 1 8 ( 2 e η 1 2 a η 1 k 1 2 )
The optimal manufacturer’s profit is:
π m t g = e 2 η 1 4 ( 2 e η 1 2 a η 1 k 1 2 )
Proposition 3.
The network externality coefficient is positively related to the retailer’s green marketing efforts, the retailer’s profits, and the manufacturer’s profits; consumers’ green preference is negatively related to retailers’ green marketing effort coefficient and negatively related to retailers’ and manufacturers’ profits.
Prove:
g 1 a > 0 , π r t g a > 0 , π m t g a > 0 , g 1 e < 0 , π r t g e < 0 , π m t g e < 0  
Proposition 3 shows that an increase in the network externality coefficient will increase the revenue of retailers and manufacturers at the same time. The reason is that when the network externality effect is prominent, the substitution effect brought by the popularity of other green products will increase the demand level of green marketing products, thus improving the revenue of the supply chain. The increase in consumer green preference will actually reduce the profits of retailers and manufacturers because traditional manufacturing products have low greenness, thus causing consumers who pursue environmental protection to not buy these products.

4.4. Manufactures Adopt Traditional Manufacturing and Retailers Adopt Traditional Marketing Strategies: Model Tt

Under this strategy, the utility function of consumers is:
U = e 2 v p + a d
It can be solved as:
v * = p a e 2 a , d = 1 p a e 2 a
At this point, the revenue function of the retailer is:
π r t t = ( p w ) 1 p a e 2 a
The profit function of the manufacturer is:
π m t t = w 1 p a e 2 a
The simultaneous equation shows that the optimal retailer price is:
p = 3 e 2 4
The optimal wholesale price of the manufacturer is:
w = e 2 2
The optimal retailers’ profits are:
π r t t = e 4 16 a e 2
The optimal manufacturer’s profit is:
π m t t = e 4 8 a e 2
Proposition 4.
The network externality coefficient is negatively related to the retailer’s profit and also negatively related to the manufacturer’s profit; at the same time, consumer green preferences are positively correlated with the profits of retailers and manufacturers.
Prove:
π r t t a < 0 , π m t t a < 0 , π r t t e > 0 , π m t t e > 0  
Proposition 4 shows that an increase in the network externality coefficient will improve the profits of manufacturers and retailers. At the same time, an increase in consumer green preferences will lead to a significant reduction in the consumption level of traditional products, thereby reducing the profits of retailers and manufacturers.

5. Green Supply Chain Strategy Selection

5.1. Evolutionary Game Analysis

According to the analysis presented in the previous section, Table 2 shows the revenue function of green supply chain strategy selection.
When manufacturers choose green manufacturing, their expected benefits are:
U 1 G = y π m g g + ( 1 y ) π m g t
Similarly, when manufacturers choose traditional manufacturing, their expected benefits are:
U 1 T = y π m t g + ( 1 y ) π m t t
The average profit of the manufacturer is U ¯ 1 = x U 1 G + ( 1 x ) U 1 T . In reference to the Malthusian equation proposed by Friedman [49], the replication dynamic equation for manufacturers choosing green manufacturing can be obtained:
d x d t = x ( U 1 G U ¯ ) = x ( 1 x ) y ( π m g g π m t g ) + ( 1 y ) ( π m g t π m t t )
Similarly, the replication dynamic equation of retailers choosing green marketing is:
d y d t = y ( U 2 S U ¯ ) = y ( 1 y ) x ( π r g g π r t g ) + ( 1 x ) ( π r g t π r t t ) ,
yielding:
d x d t = x ( 1 x ) y ( π m g g π m t g ) + ( 1 y ) ( π m g t π m t t ) d y d t = y ( 1 y ) x ( π r g g π r t g ) + ( 1 x ) ( π r g t π r t t )
J = x x x y y x y y = ( 1 2 x ) ( π m g t π m t t + y Δ P ) x ( 1 x ) Δ P y ( 1 y ) Δ Q ( 1 2 y ) ( π r g t π r t t + x Δ Q )
In the equation:
Δ P = π m g g π m t g π m g t + π m t t , Δ Q = π r g g π r t g π r g t + π r t t
The determinant and trace of J can be represented as D e t ( J ) = a 11 a 22 a 12 a 21 ,   T r ( J ) = a 11 + a 22 . For the convenience of handling, it is assumed that k 1 = 1 , k 2 = 2 , η 1 = 1 , η 2 = 2 , e = 1 2 . Three scenarios can be formulated:
Scenario 1: According to Table 3, when a is less than 3 3 6 , the network externality coefficient is at a relatively low level. At this point, the evolutionary stability strategy of the green supply chain is (0, 0), and both manufacturers and retailers have chosen traditional strategies.
Scenario 2: When a is less than 5 + 7 18 and greater than 3 3 6 , it can be seen from the observation shown in Table 4 that the evolutionary stability strategy of the green supply chain is (1, 0). Thus, the manufacturer chooses the green manufacturing strategy, while the retailer chooses the traditional marketing strategy.
Scenario 3: According to Table 5, when a is greater than 5 + 7 18 , the network externality coefficient is at a relatively high level and the evolutionary stability strategy of the green supply chain is (1, 1). In this case, both manufacturers and retailers choose the green strategy.
Next, the impact of consumer green preferences on supply chain evolution strategies is analyzed. It is assumed that k 1 = 1 , k 2 = 2 , η 1 = 1 , η 2 = 2 , a = 1 2 . Three scenarios can be addressed:
Scenario 4: According to Table 6, when e is less than 12 4 7 9 , the consumer green preferences are at a relatively low level. At this point, the evolutionary stability strategy of the green supply chain is (0, 0) and both manufacturers and retailers have chosen traditional strategies.
Scenario 5: According to Table 7, when e is less than 2 2 + 3 8 and greater than 12 4 7 9 , it can be seen from the observation shown in Table 4 that the evolutionary stability strategy of the green supply chain is (1, 0). Thus, the manufacturer chooses the traditional manufacturing strategy, while the retailer chooses the green marketing strategy.
Scenario 6: According to Table 8, when e is greater than 2 2 + 3 8 , the consumer green preference is at a relatively high level and the evolutionary stability strategy of the green supply chain is (1, 1). In this case, both manufacturers and retailers choose the green strategy.

5.2. Numerical Simulation

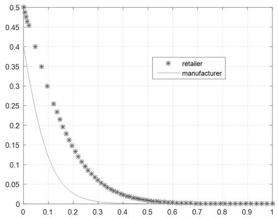
To further analyze the impact of the network externality coefficient on the choice of the green supply chain strategy, through simulation analysis, this paper draws the evolution track of the green supply chain when a = 0.1 , 0.3 , 0.6 .
As shown in Figure 1, Figure 2 and Figure 3, when the network externality coefficient is high, manufacturers and retailers will choose green strategies. When the network externality coefficient is low, both manufacturers and retailers will choose traditional strategies. The reason for this outcome is that the compatibility of green products is generally greater than that of traditional products. For example, hybrid electric-petroleum cars can choose to either refuel at gas stations or charge at charging stations. As the sales volume of these hybrid cars increases, the number of charging stations also increases, attracting more consumers and further encouraging more traditional car companies to adopt hybrid green manufacturing strategies. Chen et al. also suggested that with increasing network externalities, the market size and profits of green products are following an increasing trend [50]. When the network externality coefficient changes, manufacturers will choose green strategies more quickly. This is because retailers plan to “hitchhike”. When the green technology of products is mature, little investment is needed to promote them. Retailers will observe whether green marketing strategies need to be adopted according to the manufacturer’s manufacturing strategies. Especially when the market demand is limited, retailers will not deliberately spend a large amount to promote green products, even though the manufacturer provides them.
Finally, an intuitive result of the impact of consumer green preferences on supply chain strategies is obtained through simulation analysis. Through simulation analysis, this paper draws the evolution track of the green supply chain for e = 0.1 , 0.3 , 0.6 .
As shown in Figure 4, Figure 5 and Figure 6, There are differences in the impacts of consumers’ green preference and network externality on supply chain strategies. When consumers’ green preference is moderate, retailers will adopt green marketing strategies more quickly. The reason is that retailers are closer to the market, find it easier to understand the changes in consumers’ preferences, and thus can quickly adjust their strategies in response to changes in demand.

6. Conclusions and Outlook

6.1. Research Conclusion

This paper uses an evolutionary game and a Stackelberg game to analyze the strategic choices of green supply chain members. The findings are summarized as follows: (1) An improvement of network externality will promote the adoption of green strategies by supply chain members. Compared to retailers, manufacturers tend to choose green manufacturing strategies more quickly. (2) The improvement of consumer green preferences will promote the adoption of green strategies by supply chain members. Compared to manufacturers, retailers tend to choose green manufacturing strategies quicker. (3) When enterprises choose a green strategy, network externality is positively related to enterprise profits. When enterprises choose a traditional strategy, network externality is negatively related to enterprise profits. (4) Network externality is positively correlated with the manufacturer’s green manufacturing effort coefficient and the retailer’s green marketing effort coefficient. (5) Consumer green preferences significantly impact corporate profits. In the traditional manufacturing model, consumer green preferences are negatively correlated with corporate profits, while in the green manufacturing model of manufacturers, consumer green preferences are positively correlated with corporate profits.

6.2. Management Implications

The research conclusions of this paper disclose the mechanism of how network externality impacts green supply chain decision making. Management enlightenment is provided for upstream and downstream enterprises in the supply chain to optimize their decision making. First, management should provide appropriate subsidies for green consumption and strategically enhance the network externality of green products. Second, supply chain node enterprises should pay attention to the positive role of network externality and advance the layout, increase supply, improve local green product retention, and enhance the level of network externality. Third, to avoid the free-riding behavior of retailers, decision makers can explore the vertical cooperation green marketing model of manufacturers and retailers and jointly face the market to achieve a win-win situation in the supply chain.

6.3. Limitations and Prospects

There is still room for further research in this field. The parameters in this paper do not consider the dynamic change characteristics of network externality and consumers’ green preferences; therefore, the parameters can be substituted into the state function for further analysis.

Author Contributions

Writing—original draft, B.H.; Writing—review & editing, Y.J. and S.Z.; Funding acquisition, H.C. All authors have read and agreed to the published version of the manuscript.

Funding

This work was supported by the National Social Science Foundation of China (grant number 21CJY029). Funding acquisition, H.C.

Institutional Review Board Statement

Not applicable.

Informed Consent Statement

Not applicable.

Data Availability Statement

Not applicable.

Conflicts of Interest

The authors declare they have no conflict of interest.

References

  1. Tseng, M.-L.; Islam, M.S.; Karia, N.; Fauzi, F.A.; Afrin, S. A literature review on green supply chain management: Trends and future challenges. Resour. Conserv. Recycl. 2019, 141, 145–162. [Google Scholar] [CrossRef]
  2. Hong, Z.; Guo, X. Green Product Supply Chain Contracts Considering Environmental Responsibilities. Omega 2019, 83, 155–166. [Google Scholar] [CrossRef]
  3. Khan, M.; Ajmal, M.M.; Jabeen, F.; Talwar, S.; Dhir, A. Green supply chain management in manufacturing firms: A resource-based viewpoint. Bus. Strat. Environ. 2023, 32, 1603–1618. [Google Scholar] [CrossRef]
  4. Barney, J.B.; Ketchen, J.D.J.; Wright, M. Resource-Based Theory and the Value Creation Framework. J. Manag. 2021, 47, 1936–1955. [Google Scholar] [CrossRef]
  5. Le, T.T. The association of corporate social responsibility and sustainable consumption and production patterns: The mediating role of green supply chain management. J. Clean. Prod. 2023, 414, 137435. [Google Scholar] [CrossRef]
  6. Liu, Y.; Zhu, Q.; Seuring, S. Linking Capabilities to Green Operations Strategies: The Moderating Role of Corporate environmental Proactivity. Int. J. Prod. Econ. 2017, 187, 182–195. [Google Scholar] [CrossRef]
  7. Shaharudin, M.R.; Zailani, S.; Tan, K.-C.; Cross, J.; Hotrawaisaya, C. Fostering Closed-Loop Supply Chain Orientation by Leveraging Strategic Green Capabilities for Circular Economy Performance: Empirical Evidence from Malaysian Electrical and Electronics Manufacturing Firms. Environ. Dev. Sustain. 2023, 1, 1–38. [Google Scholar] [CrossRef]
  8. Lin, W.L.; Ho, J.A.; Sambasivan, M.; Yip, N.; Bin Mohamed, A. Influence of Green Innovation Strategy on Brand Value: The Role of Marketing Capability and R&D Intensity. Technol. Forecast. Soc. Chang. 2021, 171, 120946–120966. [Google Scholar] [CrossRef]
  9. Fraj, E.; Martínez, E.; Matute, J. Green Marketing in B2B Organisations: An Empirical Analysis from the Natural-Resource-Based View of the Firm. J. Bus. Ind. Mark. 2013, 28, 396–410. [Google Scholar] [CrossRef]
  10. Umar, M.; Khan, S.A.R.; Zia-Ul-Haq, H.M.; Yusliza, M.Y.; Farooq, K. The role of emerging technologies in implementing green practices to achieve sustainable operations. TQM J. 2022, 34, 232–249. [Google Scholar] [CrossRef]
  11. Padilla-Lozano, C.P.; Collazzo, P. Corporate social responsibility, green innovation and competitiveness—Causality in manufacturing. Compet. Rev. Int. Bus. J. 2022, 32, 21–39. [Google Scholar] [CrossRef]
  12. Liu, Y.; Wang, Q.; Huang, B.; Zhang, X.; Wang, X.; Long, Y. Status and challenges of green manufacturing: Comparative analysis of China and other countries. Resour. Conserv. Recycl. 2023, 197, 238–259. [Google Scholar] [CrossRef]
  13. Yu, S.; Zhou, H.; Wu, K. Verification of Green Reform and Government Policy Decisions of Manufacturing Firms Based on Evolutionary Game. J. Adv. Manag. Sci. 2023, 11, 39–43. [Google Scholar] [CrossRef]
  14. Mehraj, D.; Kaur, S. Green process innovations and firm marketing performance in the emerging markets. Bus. Strat. Dev. 2022, 5, 424–436. [Google Scholar] [CrossRef]
  15. Zhu, M.; Zhao, L.; Li, X.; Wang, X. Research on green technology marketing model based on dynamic evolutionary game under low-carbon background. Environ. Sci. Pollut. Res. 2022, 29, 82324–82335. [Google Scholar] [CrossRef]
  16. Thomas, D.J.; Griffin, P.M. Coordinated supply chain management. Eur. J. Oper. Res. 1996, 94, 1–15. [Google Scholar] [CrossRef]
  17. Shen, L.; Lin, F.; Wang, Y.; Su, X.; Li, H.; Zhou, R. Advertising Decisions of Platform Supply Chains Considering Network Externalities and Fairness Concerns. Mathematics 2022, 10, 2359. [Google Scholar] [CrossRef]
  18. Xie, B.; Li, W.; Zhao, D.; Jiang, P. Effects of Network Externalities and Recycling Channels on Closed-loop Supply Chain Operation Incorporating Consumers’ Dual Preferences. Math. Probl. Eng. 2022, 2022, 3347303. [Google Scholar] [CrossRef]
  19. Katz, M.L.; Shapiro, C. Network Externalities, Competition, and Compatibility. Am. Econ. Rev. 1985, 75, 424–440. [Google Scholar]
  20. Podoynitsyna, K.; Song, M.; van der Bij, H.; Weggeman, M. Improving new technology venture performance under direct and indirect network externality conditions. J. Bus. Ventur. 2013, 28, 195–210. [Google Scholar] [CrossRef]
  21. Candogan, O.; Bimpikis, K.; Ozdaglar, A. Optimal Pricing in Networks with Externalities. Oper. Res. 2012, 60, 883–905. [Google Scholar] [CrossRef]
  22. Tanriverdí, H.; Lee, C.-H. Within-Industry Diversification and Firm Performance in the Presence of Network Externalities: Evidence from the Software Industry. Acad. Manag. J. 2008, 51, 381–397. [Google Scholar] [CrossRef]
  23. Prasad, A.; Venkatesh, R.; Mahajan, V. Optimal Bundling of Technological Products with Network Externality. Manag. Sci. 2010, 56, 2224–2236. [Google Scholar] [CrossRef]
  24. Banasik, A.; Bloemhof-Ruwaard, J.M.; Kanellopoulos, A.; Claassen, G.D.H.; van der Vorst, J.G.A.J. Multi-criteria decision making approaches for green supply chains: A review. Flex. Serv. Manuf. J. 2018, 30, 366–396. [Google Scholar] [CrossRef]
  25. Liu, Z.; Li, M.; Kou, J. Selling information products: Sale channel selection and versioning strategy with network externality. Int. J. Prod. Econ. 2015, 166, 1–10. [Google Scholar] [CrossRef]
  26. Top, S.; Dilek, S.; Çolakoğlu, N. Perceptions of Network Effects: Positive or Negative Externalities? Procedia—Soc. Behav. Sci. 2011, 24, 1574–1584. [Google Scholar] [CrossRef]
  27. Xu, L.; Li, Y.; Govindan, K.; Yue, X. Return policy and supply chain coordination with network-externality effect. Int. J. Prod. Res. 2018, 56, 3714–3732. [Google Scholar] [CrossRef]
  28. Yi, Y.; Yang, H. Wholesale pricing and evolutionary stable strategies of retailers under network externality. Eur. J. Oper. Res. 2017, 259, 37–47. [Google Scholar] [CrossRef]
  29. Fanti, L.; Gori, L. Codetermination, Price Competition and the Network Industry. Ger. Econ. Rev. 2019, 20, e795–e830. [Google Scholar] [CrossRef]
  30. Lai, I.K.W. The cross-impact of network externalities on relationship quality in exhibition sector. Int. J. Hosp. Manag. 2015, 48, 52–67. [Google Scholar] [CrossRef]
  31. Zhang, K.; Li, Y. Analysis of Pricing Equilibrium of Tourism Supply Chain Based on Network Externality. In Proceedings of the 2019 International Conference on Industrial Engineering and Systems Management (IESM), Shanghai, China, 25–27 September 2019. [Google Scholar]
  32. Hu, Y.; Meng, L.; Huang, Z. Pricing and Sales Effort Decisions in a Closed-Loop Supply Chain Considering the Network Externality of Remanufactured Product. Sustainability 2023, 15, 5771. [Google Scholar] [CrossRef]
  33. Li, B.; Zhu, M.; Jiang, Y.; Li, Z. Pricing policies of a competitive dual-channel green supply chain. J. Clean. Prod. 2016, 112, 2029–2042. [Google Scholar] [CrossRef]
  34. Zhu, W.; He, Y. Green product design in supply chains under competition. Eur. J. Oper. Res. 2017, 258, 165–180. [Google Scholar] [CrossRef]
  35. Zhang, C.-T.; Liu, L.-P. Research on coordination mechanism in three-level green supply chain under non-cooperative game. Appl. Math. Model. 2013, 37, 3369–3379. [Google Scholar] [CrossRef]
  36. Green, K.W., Jr.; Zelbst, P.J.; Meacham, J.; Bhadauria, V.S. Green supply chain management practices: Impact on performance. Supply Chain Manag. Int. J. 2012, 17, 290–305. [Google Scholar] [CrossRef]
  37. Islam, S.; Karia, N.; Fauzi, F.B.A.; Soliman, M. A review on green supply chain aspects and practices. Manag. Mark. 2017, 12, 12–36. [Google Scholar] [CrossRef]
  38. Shang, K.-C.; Lu, C.-S.; Li, S. A taxonomy of green supply chain management capability among electronics-related manufacturing firms in Taiwan. J. Environ. Manag. 2010, 91, 1218–1226. [Google Scholar] [CrossRef]
  39. Liu, H.; Ke, W.; Wei, K.K.; Hua, Z. Effects of supply chain integration and market orientation on firm performance: Evidence from China. Int. J. Oper. Prod. Manag. 2013, 33, 322–346. [Google Scholar] [CrossRef]
  40. Papadas, K.-K.; Avlonitis, G.J.; Carrigan, M. Green marketing orientation: Conceptualization, scale development and validation. J. Bus. Res. 2017, 80, 236–246. [Google Scholar] [CrossRef]
  41. Khan, E.A.; Royhan, P.; Rahman, M.A.; Rahman, M.; Mostafa, A. The Impact of Enviropreneurial Orientation on Small Firms’ Business Performance: The Mediation of Green Marketing Mix and Eco-Labeling Strategies. Sustainability 2019, 12, 221. [Google Scholar] [CrossRef]
  42. Tjahjadi, B.; Soewarno, N.; Hariyati, H.; Nafidah, L.N.; Kustiningsih, N.; Nadyaningrum, V. The Role of Green Innovation between Green Market Orientation and Business Performance: Its Implication for Open Innovation. J. Open Innov. Technol. Mark. Complex. 2020, 6, 173. [Google Scholar] [CrossRef]
  43. Wu, X.; Ai, X.; Li, S. The Impact of Product’s Network Externality on Emission Reduction and Pricing Decision of Low Carbon Supply Chain. Cent. Univ. Financ. Econ. 2021, 6, 118–128. [Google Scholar] [CrossRef]
  44. Lin, Z. Research on Green Manufacturing Strategy Based on Network Externalities. Chin. J. Manag. Sci. 2020, 28, 137–145. [Google Scholar] [CrossRef]
  45. Rusinko, C. Green Manufacturing: An Evaluation of Environmentally Sustainable Manufacturing Practices and Their Impact on Competitive Outcomes. IEEE Trans. Eng. Manag. 2007, 54, 445–454. [Google Scholar] [CrossRef]
  46. Ranjan, A.; Jha, J. Pricing and coordination strategies of a dual-channel supply chain considering green quality and sales effort. J. Clean. Prod. 2019, 218, 409–424. [Google Scholar] [CrossRef]
  47. Ryan, J.K.; Sun, D.; Zhao, X. Competition and Coordination in Online Marketplaces. Prod. Oper. Manag. 2012, 21, 997–1014. [Google Scholar] [CrossRef]
  48. Meng, Q.; Liu, Y.; Li, Z.; Wu, C. Dynamic reward and penalty strategies of green building construction incentive: An evolutionary game theory-based analysis. Environ. Sci. Pollut. Res. 2021, 28, 44902–44915. [Google Scholar] [CrossRef]
  49. Friedman, D. Evolutionary Games in Economics. Econometrica 1991, 59, 637–666. [Google Scholar] [CrossRef]
  50. Chen, M.; Xue, W.; Chen, J. Platform subsidy policy design for green product diffusion. J. Clean. Prod. 2022, 359, 132039. [Google Scholar] [CrossRef]
Figure 1. Evolution track of the green supply chain for a network externality coefficient of 0.1.
Figure 1. Evolution track of the green supply chain for a network externality coefficient of 0.1.
Sustainability 15 13732 g001
Figure 2. Evolution track of the green supply chain for a network externality coefficient of 0.3.
Figure 2. Evolution track of the green supply chain for a network externality coefficient of 0.3.
Sustainability 15 13732 g002
Figure 3. Evolution track of the green supply chain for a network externality coefficient of 0.6.
Figure 3. Evolution track of the green supply chain for a network externality coefficient of 0.6.
Sustainability 15 13732 g003
Figure 4. Evolution track of the green supply chain for a consumer green preference of 0.1.
Figure 4. Evolution track of the green supply chain for a consumer green preference of 0.1.
Sustainability 15 13732 g004
Figure 5. Evolution track of the green supply chain for a consumer green preference of 0.3.
Figure 5. Evolution track of the green supply chain for a consumer green preference of 0.3.
Sustainability 15 13732 g005
Figure 6. Evolution track of the green supply chain for a consumer green preference of 0.6.
Figure 6. Evolution track of the green supply chain for a consumer green preference of 0.6.
Sustainability 15 13732 g006
Table 1. Main parameters in the game.
Table 1. Main parameters in the game.
ParameterDescription
p Retail price
w Wholesale price
c 1 Unit marketing cost of a product
c 2 Unit production cost of traditional manufacturing
g 1 Green marketing effort coefficient
g 2 Green manufacturer effort coefficient
k 1 Coefficient of impact of green efforts on cost reduction
k 2 Coefficient of impact of green efforts on cost reduction
η 1 Green retail investment cost coefficient
η 2 Green manufacturing investment cost coefficient
U Utility function of consumers
a Network externality coefficient
d Market demand of products
v Consumers’ willingness to pay
e Consumers’ green preferences
Table 2. Revenue function of green supply chain strategy selection.
Table 2. Revenue function of green supply chain strategy selection.
RetailerGreen MarketingTraditional Marketing
Manufacturer
Green manufacturing π m g g , π r g g π m g t , π r g t
Traditional manufacturing π m t g , π r t g π m t t , π r t t
Table 3. Green supply chain ESS analysis table when a is less than 3 3 6 .
Table 3. Green supply chain ESS analysis table when a is less than 3 3 6 .
Equilibrium Point  x , y D e t ( J ) Symbol T r ( J ) SymbolLocal Stability
(0, 0)+ESS
(1, 0)Saddle point
(0, 1)+Saddle point
(1, 1)++Instability
Table 4. Green supply chain ESS analysis table when a is less than 5 + 7 18 and greater than 3 3 6 .
Table 4. Green supply chain ESS analysis table when a is less than 5 + 7 18 and greater than 3 3 6 .
Equilibrium Point  x , y D e t ( J ) Symbol T r ( J ) SymbolLocal Stability
(0, 0)+Saddle point
(1, 0)+ESS
(0, 1)++Instability
(1, 1)Saddle point
Table 5. Green supply chain ESS analysis table when a is greater than 5 + 7 18 .
Table 5. Green supply chain ESS analysis table when a is greater than 5 + 7 18 .
Equilibrium Point  x , y D e t ( J ) Symbol T r ( J ) SymbolLocal Stability
(0, 0)++Instability
(1, 0)Saddle point
(0, 1)+Saddle point
(1, 1)+ESS
Table 6. Green supply chain ESS analysis table when e is less than 12 4 7 9 .
Table 6. Green supply chain ESS analysis table when e is less than 12 4 7 9 .
Equilibrium Point  x , y D e t ( J ) Symbol T r ( J ) SymbolLocal Stability
(0, 0)+ESS
(1, 0)+Saddle point
(0, 1)Saddle point
(1, 1)++Instability
Table 7. Green supply chain ESS analysis table when e is less than 2 2 + 3 8 and greater than 12 4 7 9 .
Table 7. Green supply chain ESS analysis table when e is less than 2 2 + 3 8 and greater than 12 4 7 9 .
Equilibrium Point  x , y D e t ( J ) Symbol T r ( J ) SymbolLocal Stability
(0, 0)+Saddle point
(1, 0)+ESS
(0, 1)++Instability
(1, 1)+Saddle point
Table 8. Green supply chain ESS analysis table when e is greater than 2 2 + 3 8 .
Table 8. Green supply chain ESS analysis table when e is greater than 2 2 + 3 8 .
Equilibrium Point  x , y D e t ( J ) Symbol T r ( J ) SymbolLocal Stability
(0, 0)++Instability
(1, 0)Saddle point
(0, 1)+Saddle point
(1, 1)+ESS
Disclaimer/Publisher’s Note: The statements, opinions and data contained in all publications are solely those of the individual author(s) and contributor(s) and not of MDPI and/or the editor(s). MDPI and/or the editor(s) disclaim responsibility for any injury to people or property resulting from any ideas, methods, instructions or products referred to in the content.

Share and Cite

MDPI and ACS Style

He, B.; Cai, H.; Ji, Y.; Zhu, S. Supply Chain Green Manufacturing and Green Marketing Strategies under Network Externality. Sustainability 2023, 15, 13732. https://doi.org/10.3390/su151813732

AMA Style

He B, Cai H, Ji Y, Zhu S. Supply Chain Green Manufacturing and Green Marketing Strategies under Network Externality. Sustainability. 2023; 15(18):13732. https://doi.org/10.3390/su151813732

Chicago/Turabian Style

He, Binbin, Haiya Cai, Yingchen Ji, and Siyu Zhu. 2023. "Supply Chain Green Manufacturing and Green Marketing Strategies under Network Externality" Sustainability 15, no. 18: 13732. https://doi.org/10.3390/su151813732

APA Style

He, B., Cai, H., Ji, Y., & Zhu, S. (2023). Supply Chain Green Manufacturing and Green Marketing Strategies under Network Externality. Sustainability, 15(18), 13732. https://doi.org/10.3390/su151813732

Note that from the first issue of 2016, this journal uses article numbers instead of page numbers. See further details here.

Article Metrics

Back to TopTop