Enhancing Zero-Carbon Building Operation and Maintenance: A Correlation-Based Data Mining Approach for Database Analysis
Abstract
:1. Introduction
2. Enhancing Zero-Carbon Building Operation and Maintenance: Database Development, Data Mining Process, and Targeted Services
3. Method
3.1. Data Refining
3.2. Error Discrimination Based on Correlation Test
3.3. Error Correction and Test
4. Case Study
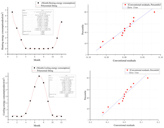
4.1. Error Discrimination and Data Mining of Linear Correlation Factors
4.2. Error Discrimination and Data Mining of Trend Correlation Factors
5. Results and Discussion
6. Conclusions
Author Contributions
Funding
Institutional Review Board Statement
Informed Consent Statement
Data Availability Statement
Conflicts of Interest
References
- Chen, L.; Msigwa, G.; Yang, M.; Osman, A.I.; Fawzy, S.; Rooney, D.W.; Yap, P. Strategies to achieve a carbon neutral society: A review. Environ. Chem. Lett. 2022, 20, 2277–2310. [Google Scholar] [CrossRef] [PubMed]
- Chen, L.; Huang, L.; Hua, J.; Chen, Z.; Wei, L.; Osman, A.I.; Fawzy, S.; Rooney, D.W.; Dong, L.; Yap, P. Green construction for low-carbon cities: A review. Environ. Chem. Lett. 2023, 21, 1627–1657. [Google Scholar] [CrossRef]
- Fu, Y.; Li, Z.; Feng, F.; Xu, P. Data-quality detection and recovery for building energy management and control systems: Case study on submetering. Sci. Technol. Built Environ. 2016, 22, 798–809. [Google Scholar] [CrossRef]
- Ma, L.; Huang, Y.; Zhao, T. A synchronous prediction method for hourly energy consumption of abnormal monitoring branch based on the data-driven. Energy Build. 2022, 260, 111940. [Google Scholar] [CrossRef]
- Lundstrom, L. Adaptive weather correction of energy consumption data. In Proceedings of the 8th International Conference on Applied Energy (ICAE2016), Beijing, China, 8–11 October 2016; Beijing Inst Technol: Beijing, China, 2017; pp. 3397–3402. [Google Scholar]
- Alghamdi, T.A.; Javaid, N. A Survey of Preprocessing Methods Used for Analysis of Big Data Originated from Smart Grids. IEEE Access 2022, 10, 29149–29171. [Google Scholar] [CrossRef]
- Chen, L.; Lao, K.; Ma, Y.; Zhang, Z. Error Modeling and Anomaly Detection of Smart Electricity Meter Using TSVD+L Method. IEEE Trans. Instrum. Meas. 2022, 71, 3201940. [Google Scholar] [CrossRef]
- Choi, J.; Lee, I.; Cha, S. Cluster Analysis to Preprocess the Building Power Usage Data Without Domain Knowledge. J. Electr. Eng. Technol. 2020, 15, 685–692. [Google Scholar] [CrossRef]
- Zach, R.; Hofstaetter, H.; Mahdavi, A. A distributed and scalable approach to building monitoring. In Ework and Ebusiness in Architecture, Engineering and Construction 2014; Department of Building Physics and Building Ecology of the Vienna Universi: Vienna, Austria, 2015; pp. 11–18. [Google Scholar]
- Tauber, C.; Tahmasebi, F.; Zach, R.; Mahdavi, A. Automated simulation model calibration based on runtime building monitoring. In Ework and Ebusiness in Architecture, Engineering and Construction 2014; Department of Building Physics and Building Ecology of the Vienna Universi: Vienna, Austria, 2015; pp. 265–270. [Google Scholar]
- Bhagat, V.; Robins, B.; Pallavi, M.O. Sparx—Data preprocessing module. In Proceedings of the 2019 IEEE 5th International Conference for Convergence in Technology (I2CT), Pune, India, 29–31 March 2019. [Google Scholar]
- Shen, K.; Ding, L.; Wang, C.C. Development of a Framework to Support Whole-Life-Cycle Net-Zero-Carbon Buildings through Integration of Building Information Modelling and Digital Twins. Buildings 2022, 12, 1747. [Google Scholar] [CrossRef]
- Olariu, E.M.; Tolas, R.; Portase, R.; Dinsoreanu, M.; Potolea, R. Modern approaches to preprocessing industrial data. In Proceedings of the 2020 IEEE 16th International Conference on Intelligent Computer Communication and Processing (ICCP 2020), Electr Network, Cluj-Napoca, Romania, 3–5 September 2020; pp. 221–226. [Google Scholar]
- Miller, W.; Buys, L. Anatomy of a sub-tropical Positive Energy Home (PEH). Sol. Energy 2012, 86, 231–241. [Google Scholar] [CrossRef]
- Mata, E.; Korpal, A.K.; Cheng, S.H.; Jimenez Navarro, J.P.; Filippidou, F.; Reyna, J.; Wang, R. A map of roadmaps for zero and low energy and carbon buildings worldwide. Environ. Res. Lett. 2020, 15, 113003. [Google Scholar] [CrossRef]
- Anderson, N.; Wedawatta, G.; Rathnayake, I.; Domingo, N.; Azizi, Z. Embodied Energy Consumption in the Residential Sector: A Case Study of Affordable Housing. Sustainability 2022, 14, 5051. [Google Scholar] [CrossRef]
- Qiao, J.; Zhang, X.; Hao, C.; Liu, S.; Zhang, Y.; Xing, K.; Yang, P. Post-occupancy evaluation of the actual performance of a low-carbon building. Energy Rep. 2023, 10, 228–243. [Google Scholar] [CrossRef]
- Trofimova, P.; Cheshmehzangi, A.; Deng, W.; Hancock, C. Post-Occupancy Evaluation of Indoor Air Quality and Thermal Performance in a Zero Carbon Building. Sustainability 2021, 13, 667. [Google Scholar] [CrossRef]
- Bhutta, F.M. Application of smart energy technologies in building sector—Future prospects. In Proceedings of the 2017 International Conference on Energy Conservation and Efficiency (ICECE), Lahore, Pakistan, 22–23 November 2017; pp. 7–10. [Google Scholar]
- Kong, M.; Li, D.; Zhang, D. Research on the application of improved least square method in linear fitting. In Proceedings of the 2018 4th International Conference on Environmental Science and Material Application, Xian, China, 15–16 December 2019. [Google Scholar]
- Torabi Moghadam, S.; Toniolo, J.; Mutani, G.; Lombardi, P. A GIS-statistical approach for assessing built environment energy use at urban scale. Sustain. Cities Soc. 2018, 37, 70–84. [Google Scholar] [CrossRef]
- Murray, K.; Mueller, S.; Turlach, B.A. Revisiting fitting monotone polynomials to data. Comput. Stat. 2013, 28, 1989–2005. [Google Scholar] [CrossRef]
- Rouhani, M.; Domingo Sappa, A. Implicit Polynomial Representation Through a Fast Fitting Error Estimation. IEEE Trans. Image Process 2012, 21, 2089–2098. [Google Scholar] [CrossRef] [PubMed]
- Fan, C.; Chen, M.; Wang, X.; Wang, J.; Huang, B. A Review on Data Preprocessing Techniques Toward Efficient and Reliable Knowledge Discovery from Building Operational Data. Front. Energy Res. 2021, 9, 652801. [Google Scholar] [CrossRef]









| Month | Lighting Energy Consumption (kwh/m2) | Lighting Duration (h) | Solar Power Generation (kwh) | Sunshine Duration (h) |
|---|---|---|---|---|
| 1 | 0.176 | 166 | 606.615 | 140 |
| 2 | 0.160 | 152 | 715.56 | 128 |
| 3 | 0.151 | 147 | 1099.76 | 221 |
| 4 | 0.145 | 139 | 1336.359 | 260 |
| 5 | 0.151 | 144 | 1569.64 | 316 |
| 6 | 0.120 | 111 | 1526.885 | 305 |
| 7 | 0.124 | 114 | 1377.915 | 280 |
| 8 | 0.124 | 116 | 1269.254 | 255 |
| 9 | 0.146 | 140 | 1194.476 | 238 |
| 10 | 0.150 | 143 | 883.989 | 200 |
| 11 | 0.146 | 142 | 587.012 | 130 |
| 12 | 0.176 | 166 | 530.197 | 110 |
| Month | Lighting Energy Consumption and Lighting Time | Degree of Error | Solar Power Generation and Sunshine Duration | Degree of Error | ||
|---|---|---|---|---|---|---|
| 1–7 | 0.99393 | 0.002156792 | 0.99074 | 4.0372 × 10−5 | ||
| 2–8 | 0.99602 | 5.8563 × 10−5 | 0.99731 | 0.006590769 | ||
| 3–9 | 0.99773 | 0.001658169 | 0.99446 | 0.003714245 | ||
| 4–10 | 0.99842 | 0.002350886 | 0.98532 | 0.005510809 | ||
| 5–11 | 0.99634 | 0.000262697 | 0.99555 | 0.004814389 | ||
| 6–12 | 0.99403 | 0.002056398 | 0.99486 | 0.004101079 | ||
| Month | Heating Energy Consumption (kwh/m2) | Working Hours below 18 °C (h) | Average Temperature within the Time Range of Less than 18 during Working Hours (°C) | Cooling Energy Consumption (kwh/m2) | The Duration of Working Time Higher than 26 °C (h) | Average Temperature in the Time Range above 26 °C during the Working Time (°C) |
|---|---|---|---|---|---|---|
| 1 | 6.641 | 480 | −2.74 | 0 | 0 | 26 |
| 2 | 3.738 | 420 | 1.42 | 3.307 × 10−7 | 0 | 26 |
| 3 | 1.604 | 353 | 6.43 | 0.0003 | 0 | 26 |
| 4 | 0.065 | 241 | 13.027 | 0.446 | 18 | 28.789 |
| 5 | 0.032 | 81 | 14.993 | 2.328 | 124 | 28.426 |
| 6 | 0 | 5 | 17.8 | 4.414 | 237 | 29.230 |
| 7 | 0 | 0 | 18 | 6.012 | 300 | 29.087 |
| 8 | 0 | 5 | 17.6 | 5.026 | 211 | 28.59 |
| 9 | 0.013 | 61 | 15.554 | 2.258 | 60 | 26.857 |
| 10 | 0.181 | 384 | 12.572 | 0.188 | 4 | 26.5 |
| 11 | 1.913 | 447 | 6.374 | 1.0235 × 10−6 | 0 | 26 |
| 12 | 4.842 | 465 | 0.454 | 0 | 0 | 26 |
| Month | Heating Energy Consumption and Equipment Heating Time | Degree of Error | Refrigeration Energy Consumption and Equipment Cooling Time | Degree of Error | ||
|---|---|---|---|---|---|---|
| 1–7 | 0.9910312 | 0.010623759 | 0.9636241 | 0.005002149 | ||
| 2–8 | 0.9723449 | 0.008431967 | 0.9549937 | 0.006590769 | ||
| 3–9 | 0.9723449 | 0.008431967 | 0.9642857 | 0.003998841 | ||
| 4–10 | 0.9723449 | 0.008431967 | 0.9642857 | 0.003998841 | ||
| 5–11 | 0.9723449 | 0.008431967 | 0.9642857 | 0.003998841 | ||
| 6–12 | 0.9723449 | 0.008431967 | 0.9549937 | 0.006590769 | ||
| Month | Heating Energy Consumption and Average Temperature within the Heating Time Range | Cooling Energy Consumption and Average Temperature within the Cooling Time Range |
|---|---|---|
| 1–7 | −0.9636241 | 0.8894992 |
| 2–8 | −0.9063270 | 0.7387687 |
| 3–9 | −0.8017837 | 0.6428571 |
| 4–10 | −0.8017837 | 0.6428571 |
| 5–11 | −0.8017837 | 0.8928571 |
| 6–12 | −0.9063270 | 0.8829187 |
Disclaimer/Publisher’s Note: The statements, opinions and data contained in all publications are solely those of the individual author(s) and contributor(s) and not of MDPI and/or the editor(s). MDPI and/or the editor(s) disclaim responsibility for any injury to people or property resulting from any ideas, methods, instructions or products referred to in the content. |
© 2023 by the authors. Licensee MDPI, Basel, Switzerland. This article is an open access article distributed under the terms and conditions of the Creative Commons Attribution (CC BY) license (https://creativecommons.org/licenses/by/4.0/).
Share and Cite
Zhao, Y.; Liu, R.; Liu, Z.; Lu, Y.; Liu, L.; Wang, J.; Liu, W. Enhancing Zero-Carbon Building Operation and Maintenance: A Correlation-Based Data Mining Approach for Database Analysis. Sustainability 2023, 15, 13671. https://doi.org/10.3390/su151813671
Zhao Y, Liu R, Liu Z, Lu Y, Liu L, Wang J, Liu W. Enhancing Zero-Carbon Building Operation and Maintenance: A Correlation-Based Data Mining Approach for Database Analysis. Sustainability. 2023; 15(18):13671. https://doi.org/10.3390/su151813671
Chicago/Turabian StyleZhao, Yuhong, Ruirui Liu, Zhansheng Liu, Yun Lu, Liang Liu, Jingjing Wang, and Wenxiang Liu. 2023. "Enhancing Zero-Carbon Building Operation and Maintenance: A Correlation-Based Data Mining Approach for Database Analysis" Sustainability 15, no. 18: 13671. https://doi.org/10.3390/su151813671
APA StyleZhao, Y., Liu, R., Liu, Z., Lu, Y., Liu, L., Wang, J., & Liu, W. (2023). Enhancing Zero-Carbon Building Operation and Maintenance: A Correlation-Based Data Mining Approach for Database Analysis. Sustainability, 15(18), 13671. https://doi.org/10.3390/su151813671

