Evaluating Pilot-Scale Floating Wetland for Municipal Wastewater Treatment Using Canna indica and Phragmites australis as Plant Species
Abstract
:1. Introduction
2. Materials and Methods
2.1. Experimental Setup: Pilot-Scale Floating Treatment Wetland
2.2. System Operation and Analytical Methods
3. Results and Discussion
3.1. Characteristics of Influent Wastewater
3.2. Effluent Quality and Contaminant Removal Efficiency
3.2.1. Variations in pH and Dissolved Oxygen
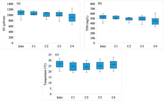
3.2.2. Variations in EC, TDS, and Temperature
3.2.3. Organic Matter Attenuation: BOD5 and COD Variation
3.2.4. Variation in Nutrients: Nitrate and Phosphate Removal
4. Conclusions
Author Contributions
Funding
Institutional Review Board Statement
Informed Consent Statement
Data Availability Statement
Acknowledgments
Conflicts of Interest
References
- Wang, C.-Y.; Sample, D.J. Assessing floating treatment wetlands nutrient removal performance through a first order kinetics model and statistical inference. Ecol. Eng. 2013, 61, 292–302. [Google Scholar] [CrossRef]
- Hathaway, J.M.; Cook, M.J.; Evans, R.O. Nutrient Removal Capability of a Constructed Wetland Receiving Groundwater Contaminated by Swine Lagoon Seepage. Trans. ASABE 2010, 53, 741–749. [Google Scholar] [CrossRef]
- Healy, M.; Rodgers, M.; Mulqueen, J. Treatment of dairy wastewater using constructed wetlands and intermittent sand filters. Bioresour. Technol. 2007, 98, 2268–2281. [Google Scholar] [CrossRef]
- Rangel-Peraza, J.G.; Mendivil-García, K.; Cedillo-Herrera, C.I.G.; Rochín-Medina, J.J.; Rodríguez-Mata, A.E.; Bustos-Terrones, Y.A. Optimization of organic matter degradation kinetics and nutrient removal on artificial wetlands using Eichhornia crassipes and Typha domingensis. Environ. Technol. 2019, 40, 633–641. [Google Scholar] [CrossRef]
- Gikas, G.D.; Pérez-Villanueva, M.; Tsioras, M.; Alexoudis, C.; Pérez-Rojas, G.; Masís-Mora, M.; Lizano-Fallas, V.; Rodríguez-Rodríguez, C.E.; Vryzas, Z.; Tsihrintzis, V.A. Low-cost approaches for the removal of terbuthylazine from agricultural wastewater: Constructed wetlands and biopurification system. Chem. Eng. J. 2018, 335, 647–656. [Google Scholar] [CrossRef]
- Vymazal, J. Removal of nutrients in various types of constructed wetlands. Sci. Total Environ. 2007, 380, 48–65. [Google Scholar] [CrossRef]
- Colares, G.S.; Dell’Osbel, N.; Wiesel, P.G.; Oliveira, G.A.; Lemos, P.H.Z.; da Silva, F.P.; Lutterbeck, C.A.; Kist, L.T.; Machado, L. Floating treatment wetlands: A review and bibliometric analysis. Sci. Total Environ. 2020, 714, 136776. [Google Scholar] [CrossRef]
- Abed, S.N.; Almuktar, S.A.; Scholz, M. Remediation of synthetic greywater in mesocosm—Scale floating treatment wetlands. Ecol. Eng. 2017, 102, 303–319. [Google Scholar] [CrossRef]
- Miguel, G.S.; Martín-Girela, I.; Ruiz, D.; Rocha, G.; Curt, M.D.; Aguado, P.L.; Fernández, J. Environmental and economic assessment of a floating constructed wetland to rehabilitate eutrophicated waterways. Sci. Total Environ. 2023, 884, 163817. [Google Scholar] [CrossRef]
- Borne, K.E.; Fassman, E.A.; Tanner, C.C. Floating treatment wetland retrofit to improve stormwater pond performance for suspended solids, copper and zinc. Ecol. Eng. 2013, 54, 173–182. [Google Scholar] [CrossRef]
- Colares, G.S.; Dell’osbel, N.; Barbosa, C.V.; Lutterbeck, C.; Oliveira, G.A.; Rodrigues, L.R.; Bergmann, C.P.; Lopez, D.R.; Rodriguez, A.L.; Vymazal, J.; et al. Floating treatment wetlands integrated with microbial fuel cell for the treatment of urban wastewaters and bioenergy generation. Sci. Total Environ. 2021, 766, 142474. [Google Scholar] [CrossRef] [PubMed]
- Saravanan, A.; Kumar, P.S.; Jeevanantham, S.; Karishma, S.; Tajsabreen, B.; Yaashikaa, P.; Reshma, B. Effective water/wastewater treatment methodologies for toxic pollutants removal: Processes and applications towards sustainable development. Chemosphere 2021, 280, 130595. [Google Scholar] [CrossRef] [PubMed]
- Sharma, R.; Vymazal, J.; Malaviya, P. Application of floating treatment wetlands for stormwater runoff: A critical review of the recent developments with emphasis on heavy metals and nutrient removal. Sci. Total Environ. 2021, 777, 146044. [Google Scholar] [CrossRef]
- Oliveira, G.A.; Colares, G.S.; Lutterbeck, C.A.; Dell’Osbel, N.; Machado, L.; Rodrigues, L.R. Floating treatment wetlands in domestic wastewater treatment as a decentralized sanitation alternative. Sci. Total Environ. 2021, 773, 145609. [Google Scholar] [CrossRef]
- Pishgar, R.; Banmann, C.L.; Chu, A. Pilot-Scale Investigation of Floating Treatment Wetlands as Retrofits to Waste-Stabilization Ponds for Efficient Domestic Wastewater Treatment. J. Environ. Eng. 2021, 147, 04021014. [Google Scholar] [CrossRef]
- Park, J.B.; Sukias, J.P.; Tanner, C.C. Floating treatment wetlands supplemented with aeration and biofilm attachment surfaces for efficient domestic wastewater treatment. Ecol. Eng. 2019, 139, 105582. [Google Scholar] [CrossRef]
- Gaballah, M.S.; Ismail, K.; Aboagye, D.; Ismail, M.M.; Sobhi, M.; Stefanakis, A.I. Correction to: Effect of design and operational parameters on nutrients and heavy metal removal in pilot floating treatment wetlands with Eichhornia crassipes treating polluted lake water. Environ. Sci. Pollut. Res. 2021, 28, 25679. [Google Scholar] [CrossRef]
- Kumar, S.; Dutta, V. Efficiency of Constructed Wetland Microcosms (CWMs) for the Treatment of Domestic Wastewater Using Aquatic Macrophytes. In Environmental Biotechnology: For Sustainable Future; Springer: Singapore, 2019; pp. 287–307. [Google Scholar] [CrossRef]
- Faulwetter, J.L.; Burr, M.D.; Cunningham, A.B.; Stewart, F.M.; Camper, A.K.; Stein, O.R. Floating treatment wetlands for domestic wastewater treatment. Water Sci. Technol. 2011, 64, 2089–2095. [Google Scholar] [CrossRef]
- Muñoz, R.; Guieysse, B. Algal–bacterial processes for the treatment of hazardous contaminants: A review. Water Res. 2006, 40, 2799–2815. [Google Scholar] [CrossRef]
- Baird, G.; Rice, E.; Posavec, S. Preparation of Common Types of Desk Reagents Specified in Standard Methods; American Public Health Association: Washington, DC, USA, 2017. [Google Scholar]
- Jamwal, P.; Raj, A.V.; Raveendran, L.; Shirin, S.; Connelly, S.; Yeluripati, J.; Richards, S.; Rao, L.; Helliwell, R.; Tamburini, M. Evaluating the performance of horizontal sub-surface flow constructed wetlands: A case study from southern India. Ecol. Eng. 2021, 162, 106170. [Google Scholar] [CrossRef]
- Sooknah, R.D.; Wilkie, A.C. Nutrient removal by floating aquatic macrophytes cultured in anaerobically digested flushed dairy manure wastewater. Ecol. Eng. 2004, 22, 27–42. [Google Scholar] [CrossRef]
- Tripathi, M.; Singal, S.K. Use of Principal Component Analysis for parameter selection for development of a novel Water Quality Index: A case study of river Ganga India. Ecol. Indic. 2019, 96, 430–436. [Google Scholar] [CrossRef]
- CPCB Central Pollution Control Board of India. 2021. Available online: https://cpcb.nic.in (accessed on 14 January 2023).
- Saeed, T.; Afrin, R.; Al-Muyeed, A.; Miah, J.; Jahan, H. Bioreactor septic tank for on-site wastewater treatment: Floating constructed wetland integration. J. Environ. Chem. Eng. 2021, 9, 105606. [Google Scholar] [CrossRef]
- Liu, N.; Yang, Y.; Li, F.; Ge, F.; Kuang, Y. Importance of controlling pH-depended dissolved inorganic carbon to prevent algal bloom outbreaks. Bioresour. Technol. 2016, 220, 246–252. [Google Scholar] [CrossRef] [PubMed]
- Neumann, G.; Römheld, V. Root excretion of carboxylic acids and protons in phosphorus-deficient plants. Plant Soil 1999, 211, 121–130. [Google Scholar] [CrossRef]
- Samal, K.; Kar, S.; Trivedi, S.; Upadhyay, S. Assessing the impact of vegetation coverage ratio in a floating water treatment bed of Pistia stratiotes. SN Appl. Sci. 2021, 3, 120. [Google Scholar] [CrossRef]
- Chance, L.M.G.; White, S.A. Aeration and plant coverage influence floating treatment wetland remediation efficacy. Ecol. Eng. 2018, 122, 62–68. [Google Scholar] [CrossRef]
- Chen, S.; Xie, J.; Wen, Z. Chapter Four—Microalgae-based wastewater treatment and utilization of microalgae biomass. In Advances in Bioenergy; Li, Y., Zhou, W., Eds.; Elsevier: Amsterdam, The Netherlands, 2021; pp. 165–198. [Google Scholar]
- Jamwal, P.; Phillips, D.; Gowda, R. Assessing performance of local materials for the treatment of dry weather flows in open drains: Results of semi-controlled field experiment research in Bangalore, India. Ecol. Eng. 2022, 175, 106506. [Google Scholar] [CrossRef]
- Moulisová, L.; Čížková, H.; Dušek, J.; Kazda, M. Root and rhizome traits of the common reed (Phragmites australis) in a constructed wetland for wastewater treatment. Ecol. Eng. 2023, 186, 106832. [Google Scholar] [CrossRef]
- Ministry of Environment, Forest and Climate Change (MoEF&CC), India. 2017. Available online: http://moef.gov.in (accessed on 14 January 2023).
- Ramanan, R.; Kim, B.-H.; Cho, D.-H.; Oh, H.-M.; Kim, H.-S. Algae–bacteria interactions: Evolution, ecology and emerging applications. Biotechnol. Adv. 2016, 34, 14–29. [Google Scholar] [CrossRef]
- Kadlec, R.H.; Wallace, S. Treatment Wetlands, 2nd ed.; CRC Press: Boca Raton, FL, USA, 2009. [Google Scholar]
- Malyan, S.K.; Yadav, S.; Sonkar, V.; Goyal, V.C.; Singh, O.; Singh, R. Mechanistic understanding of the pollutant removal and transformation processes in the constructed wetland system. Water Environ. Res. 2021, 93, 1882–1909. [Google Scholar] [CrossRef]





| Operating Conditions—Attributes | Pilot-Scale FTW Treatment Cells |
|---|---|
| Type of wastewater | Municipal wastewater (Urban drain) |
| Number of treatment cells | 4 |
| Surface area of each cell (m2) | 2 m2 |
| Volume of each cell (m3) | 1.2 m3 |
| Mean inflow to the cells (m3/day) | 0.403 |
| Hydraulic retention time (HRT, day) | 3 |
| Hydraulic loading rate (HLR, mm/day) | 201.6 |
| Wetland plant species and coverage | Cell-1 (Canna indica, 100% coverage) Cell-2 (Phragmites australis, 100% coverage) Cell-3 (Phragmites australis, 50% coverage) Cell-4 (without FTW mat: control) |
| S. No. | Parameters | Units | Average Concentration | Range (Min–Max) |
|---|---|---|---|---|
| 1 | pH | - | 7.2 ± 1.2 | 5.0–8.1 |
| 2 | Electrical Conductivity (EC) | µS/cm | 1072 ± 116 | 823–1103 |
| 3 | Total Dissolved Solids (TDS) | mg/L | 526 ± 56.7 | 404–599 |
| 4 | Dissolved Oxygen (DO) | mg/L | 0.8 ± 0.7 | 0.1–2.3 |
| 5 | Biochemical Oxygen Demand (BOD5) | mg/L | 145 ± 32 | 93.6–199 |
| 6 | Chemical Oxygen Demand (COD) | mg/L | 186 ± 23.7 | 151–225 |
| 7 | Nitrate (NO3−) | mg/L | 2.5 ± 1.9 | 0.7–7.2 |
| 8 | Phosphate (PO43−) | mg/L | 13 ± 3.5 | 8.2–17.2 |
| Parameters | Influent (mg/L) | Cell-1 | Cell-2 | Cell-3 | Cell-4 | ||||
|---|---|---|---|---|---|---|---|---|---|
| Eff. (mg/L) | Removal (%) | Eff. (mg/L) | Removal (%) | Eff. (mg/L) | Removal (%) | Eff. (mg/L) | Removal (%) | ||
| pH | 7.2 ± 1.2 | 6.9 ± 0.8 | - | 6.8 ± 0.9 | - | 6.8 ± 0.8 | - | 7.3 ± 1.2 | - |
| EC (µs/cm) | 1072 ± 116 | 1033 ± 113 | - | 1086 ± 253 | - | 1047 ± 213 | - | 923 ± 178 | - |
| TDS (mg/L) | 526 ± 57 | 505 ± 57 | - | 482 ± 36 | - | 478 ± 52 | - | 454 ± 86 | - |
| DO (mg/L) | 0.8 ± 0.7 | 1.2 ± 0.7 | −44 | 1.6 ± 1.3 | −90 | 2.2 ± 1.9 | −175 | 2.3 ± 2.3 | −188 |
| BOD5 (mg/L) | 145 ± 32 | 73 ± 38 | 50 | 70 ± 40 | 52 | 68 ± 40 | 53 | 71 ± 50 | 51 |
| COD (mg/L) | 186 ± 24 | 99 ± 44 | 47 | 100 ± 53 | 46 | 93 ± 51 | 50 | 100 ± 61 | 46 |
| NO3− (mg/L) | 2.5 ± 1.9 | 1.0 ± 0.4 | 61 | 2.3 ± 2.5 | 9 | 1.7 ± 0.6 | 33 | 2.8 ± 3.0 | −12 |
| PO43− (mg/L) | 13 ± 3.5 | 11.9 ± 3.7 | 7 | 11.3 ± 4 | 12 | 11 ± 2.7 | 14 | 9.3 ± 2.9 | 27 |
| Decay Rate Constant at 20 °C (Day−1) | C1 | C2 | C3 | C4 |
|---|---|---|---|---|
| KBOD5 | 0.160 ± 0.083 | 0.185 ± 0.128 | 0.196 ± 0.112 | 0.182 ± 0.160 |
| KCOD | 0.142 ± 0.078 | 0.159 ± 0.138 | 0.171 ± 0.125 | 0.160 ± 0.134 |
| KNO3 | 0.162 ± 0.110 | 0.039 ± 0.216 | 0.049 ± 0.184 | >0.001 ± 0.098 |
| KPO4 | 0.018 ± 0.054 | 0.031 ± 0.060 | 0.032 ± 0.035 | 0.372 ± 0.068 |
Disclaimer/Publisher’s Note: The statements, opinions and data contained in all publications are solely those of the individual author(s) and contributor(s) and not of MDPI and/or the editor(s). MDPI and/or the editor(s) disclaim responsibility for any injury to people or property resulting from any ideas, methods, instructions or products referred to in the content. |
© 2023 by the authors. Licensee MDPI, Basel, Switzerland. This article is an open access article distributed under the terms and conditions of the Creative Commons Attribution (CC BY) license (https://creativecommons.org/licenses/by/4.0/).
Share and Cite
Yadav, S.; Kumar, J.; Malyan, S.K.; Singh, R.; Singh, O.; Goyal, V.C.; Singh, J.; Negi, R. Evaluating Pilot-Scale Floating Wetland for Municipal Wastewater Treatment Using Canna indica and Phragmites australis as Plant Species. Sustainability 2023, 15, 13601. https://doi.org/10.3390/su151813601
Yadav S, Kumar J, Malyan SK, Singh R, Singh O, Goyal VC, Singh J, Negi R. Evaluating Pilot-Scale Floating Wetland for Municipal Wastewater Treatment Using Canna indica and Phragmites australis as Plant Species. Sustainability. 2023; 15(18):13601. https://doi.org/10.3390/su151813601
Chicago/Turabian StyleYadav, Shweta, Jhalesh Kumar, Sandeep Kumar Malyan, Rajesh Singh, Omkar Singh, Vikas Chandra Goyal, Jyoti Singh, and Ritika Negi. 2023. "Evaluating Pilot-Scale Floating Wetland for Municipal Wastewater Treatment Using Canna indica and Phragmites australis as Plant Species" Sustainability 15, no. 18: 13601. https://doi.org/10.3390/su151813601
APA StyleYadav, S., Kumar, J., Malyan, S. K., Singh, R., Singh, O., Goyal, V. C., Singh, J., & Negi, R. (2023). Evaluating Pilot-Scale Floating Wetland for Municipal Wastewater Treatment Using Canna indica and Phragmites australis as Plant Species. Sustainability, 15(18), 13601. https://doi.org/10.3390/su151813601

