Next Article in Journal
Cooperative Reference Velocity Regulation Control for Virtual Coupling Systems of Heavy-Haul Trains
Previous Article in Journal
Effects of Higher Education on Green Eco-Efficiency and Its Optimization Path: Case Study of China
 
 
Font Type:
Arial Georgia Verdana
Font Size:
Aa Aa Aa
Line Spacing:
Column Width:
Background:
Article

Research on the Influences of Task Interdependence on Team Performance in the Context of the Leader–Member Exchange Differentiation in the Public–Private Partnership Projects

1
School of Civil Engineering, Henan Polytechnic University, Jiaozuo 454000, China
2
School of Management Science and Real Estate, Chongqing University, Chongqing 400045, China
*
Author to whom correspondence should be addressed.
Sustainability 2023, 15(18), 13429; https://doi.org/10.3390/su151813429
Submission received: 23 July 2023 / Revised: 30 August 2023 / Accepted: 5 September 2023 / Published: 7 September 2023

Abstract

Task interdependence is essential in sustainable cooperation, conflict prevention, and performance improvement of public–private partnership (PPP) project teams and promotes the sustainable development of PPP projects. Based on the theoretical logic of Input–Process–Output (IPO), integrating Team Process Theory and Leader–Member Exchange (LMX) Theory, we constructed a mediated model of task interdependence, team reflection, team performance, and leader–member exchange differentiation in PPP projects. Based on this, we conducted questionnaire research and research analysis on 168 PPP project teams. The results of the study indicate that task interdependence in PPP projects has a significant positive effect on team performance, and there is a significant mediating role of team reflection in the relationship between task interdependence and team performance. The leader–member exchange differentiation in teams not only moderates the relationship between task interdependence and team reflection and team reflection and team performance but also further moderates the indirect effect of task interdependence in PPP projects on team performance through team reflection. The findings extend the impact effects of task interdependence in engineering projects, as well as the moderating mechanisms of leader–member exchange differentiation in Chinese organizational scenarios, providing lessons for PPP project team performance management and sustainable development of PPP projects.

1. Introduction

Over the decades, numerous studies have been conducted on the advantages of public–private partnerships (PPPs), but the sustainability of public–private partnership is the most critical aspect [1]. A public–private partnership is a sustainable partnership established by the government and private enterprises, providing public goods and services through long-term benefit sharing and risk sharing [2,3,4]. However, due to the different attributes of the PPP project team members, the government and social capitalists belong to various departments, which leads to diverse interests pursued by the cooperation team. When there are differences in mission objectives, both parties may make decisions that are unfavorable to the other party for the sake of their interests, which ultimately affects the team’s performance [1]. Consequently, this sustainable partnership is currently receiving attention and challenges. In the current complex environment, the volatile, uncertain, complex, and ambiguous (VUCA) factors in the project execution process pose challenges to organizational management, and individual organizations are increasingly unable to meet the needs of the professional division of labor and value creation. In this scenario, teams are considered more risk-proof than other types of organizational structures and are becoming the basic unit of work for project operations and management [5,6,7]. The PPP project is a multi-task environment with high complexity and uncertainty, so it is more typical and representative to use the PPP project as a carrier in the VUCA context. In PPP projects, nearly 55% of PPP projects fail to land or obtain refinancing [8] because of the weak cooperation awareness between the government and social capital, task interdependence is low, and the final result is the suspension or even failure of the PPP project [9]. For example, in the case of the Channel Tunnel project, Eurotunnel and the two governments needed to coordinate their tasks more effectively. The governments tended to transfer as much risk as possible to the private sector during the contract negotiation period. Eurotunnel, due to the profit gap, was unable to deliver on its commitments and reneged on the terms and conditions in the loan agreement during the implementation process, which ultimately led to the failure of the Channel Tunnel project. Then, there is the Xinling Highway Project. The Huixian Municipal Government did not fulfill the contractual coordination obligation, resulting in the Xinling Highway Project and Shanxi Province needing to complete comprehensive docking. Xinling displayed negligence in fulfilling their contractual obligations, unauthorized abandonment of the project construction occurred, and team members did not get along well. They did not complete the work task according to expectations, ultimately leading to the Xinling Highway becoming a “cut-off road”. The failure of PPP projects not only increases the financial pressure on the Chinese government but also poses challenges to China’s sustainable development economic model. Therefore, studying the task interdependence between PPP project teams is of great significance for the sustainable development of the project.
In a PPP project team, members cross-attribute differences, goal heterogeneity, division of responsibilities, and organizational boundaries, but are interdependent and synergistic with each other to achieve a common purpose [10]. Under project uncertainty and external environmental shocks, PPP project organizations complete complex work tasks through teams, optimizing organizational tasks, balancing organizational and individual interests while increasing organizational resilience, proactively responding to changes in the organization’s internal and external environments, and improving overall performance [11,12]. On the surface, the meaning of collaboration is an easy question to answer. However, cooperation takes many forms, such as teams of different sizes, compositions, missions, and backgrounds. PPP project teams are complex group structures that contain not only the public interest side represented by the government but also the social capital side that represents its interests. The increased heterogeneity of the team generates a broader range of approaches and resources but is likewise accompanied by an increase in differences. This requires the interdependence of tasks between team members, making each participant responsible for a part of the common goal the best they can be [12,13]. Collaboration is a synchronous activity that requires a high degree of joint attention, communication, and interaction among team members [9,12]. In addition, PPP projects are a multi-task environment where the project team is in an interdisciplinary, knowledge-intensive, and highly interdependent task scenario [14,15,16]. For example, social capital entities depend on the government for concession authority, policy resources, etc. The government expects social capital entities to invest resources, share risks, and provide public goods [17]. This feature of task interdependence increases team members’ confidence in achieving task goals and dependence on work capacity and resources, and it has a significant impact on team performance and viability [18,19,20]. In addition, high team performance confirms the success of the PPP program and promotes its sustainability. As of the first half of 2022, sustainability projects accounted for 57.4% of the total projects in PPPs and are increasing yearly as PPP projects successfully land. Therefore, task interdependence is essential in team performance and the sustainability of PPP projects [21,22].
Task interdependence helps teams to respond reasonably to current adverse events or changes in the task environment, and this response is not determined and expressed by an individual in the team. However, it is generated by team members through continuous communication, negotiation, and feedback based on the project contract, prior research, and credible commitment [23,24,25]. Members with different attributes become a team when they perform their duties and cooperate according to their respective roles to achieve a common goal. The advantages and purposes of teamwork are achieving objectives and tasks that cannot be solved individually and creating greater cooperation than the sum of individual capabilities. However, cooperation cannot be expected from the mere formation of a team. Mutual understanding and balancing of team roles are critical among team members, thus creating a state of task interdependence among team members. In addition, teams are becoming increasingly diverse, making the interactions between team members complex [25,26]. To maintain task consistency among team members, team members should always reflect on whether they are fulfilling their respective roles. Moreover, at high levels of task interdependence, the support, rewards, and other beneficial behaviors that team members receive from positive mutual aid from other members induce them to reciprocate in ways that benefit the organization [27]. More extensive possible reciprocal exchanges are more likely, and releasing partners’ trustworthy behavior only becomes more meaningful [18,22]. This credibility will fuel an escalation of commitment and cooperation in the following action phase, and thus improve performance. When tasks are interdependent, team members should interact closely with each other to accomplish the job, which provides them with more opportunities to demonstrate positive behaviors [28]. Thus, when tasks are inherently interdependent, team members are more motivated to reciprocate the benefits they receive from other members and put more effort into task performance. When the studies are intrinsically independent, team members receive more minor concessions from the extra help they receive from other members. As a result, team members will be less motivated to reciprocate this additional support and, therefore, put less effort into task performance. In constructing a PPP project, team learning activities aim to acquire new knowledge, skills, information, and ideas gained in social interactions with other team members. Team learning activities are sharing knowledge, seeking feedback, and challenging groupthink. This study focuses on team reflection, one of the most critical team learning activities for team members engaged in project building in their daily practice. Through continuous reflection, feedback, selection, and optimization of available information and current issues, PPP project teams can obtain helpful information, develop courses of action, and make effective decisions more quickly when new information or new challenges arise. This helps to identify and recognize problems in practice that have occurred or been experienced, enabling team members to better screen environmental factors and business management model innovations (e.g., business model design), and in turn, team performance is enhanced and project goals are achieved. The PPP project has a long cycle, usually 10–30 years; at the same time, the PPP project also has a complex task, representing the public good of the government and the interests of social capitalists. In the construction process of PPP projects, the future of PPP projects is still being determined because the projects are under construction for an extended period, affecting the sustainable development of PPP projects. Therefore, to avoid uncertainty risk, the PPP project team needs to accomplish the complex tasks and all-encompassing missions and goals as soon as possible, and they must work together as a team and maintain a good partnership [29]. Based on this, the mediating role of team reflection between task interdependence and team performance is explored to better achieve organizational tasks and project goals, enhance team performance, and promote sustainable development of PPP projects.
Leader–member exchange (LMX) theory, which emphasizes the importance of high-quality relationships in organizations, is necessary to study leader–member relationships in the context of Chinese culture. In organizational teams, team members need to interact with each other, and their subjective perception of the external environment shapes them to reflect and react to the division of tasks, organizational coordination, and members’ interdependent behaviors [27]. In Chinese society, organizations and teamwork, “affinity, circle culture, and differential treatment” have contributed to a certain degree to the prevalence of team leader–member relationships, which affects team members’ behavior, interactions, and performance [30,31]. For China’s public–private partnership projects, “public-public cooperation” is dominant, and implementing PPP projects led by state-owned enterprises is more efficient and continuously strengthens project standardization and innovative management to ensure the smooth landing of PPP projects [32]. There is a specific hierarchy of power in state-owned enterprises and government. In addition, the project contract establishes a specific resource allocation structure, work task dependencies, and project role boundaries between partners [17,33,34], and the partners bound by the contract actively approach the resource controller to accomplish the set goals. The resource controller designs the corresponding resource allocation structure, establishes the leader–member relationship based on individual preferences and relationship affinity, and allocates resources based on the principle of equality. This is more conducive to achieving the consistency of organizational members’ synergies, increasing the cohesion of the group, and directly affecting the team’s performance. However, the stronger the LMX differentiation in the team, the more team members perceive the different treatment of the resource controller, and such leadership differentiation will introduce relationship boundaries, undermine teamwork, lead to tension and interdependence among team members, and increase group conflict, which is detrimental to the implementation of work tasks and the realization of performance and ultimately affects the sustainability of the team and the PPP project [35]. Therefore, studying team performance in the Chinese cultural context and simply copying and transplanting Western PPP research results cannot explain China’s local PPP practice problems and phenomena, and examining characteristic structural variables such as “LMX differentiation“ should not be neglected.
Over the decades, the PPP model has been rapidly developing and growing domestically and internationally, but the sustainability of the PPP relationship is the most critical aspect [1]. Due to the inconsistency of tasks between PPP project teams and the low interaction between team members, conflicts and contradictions are prone to arise between team members. For example, inaction on the part of the government and a feeling of profit-seeking on the part of the social capital will be reflected in the team’s performance, which ultimately affects the sustainability of the team and the PPP project. However, existing studies have focused on human resource management [20,21] and the organizational management level [2,22], exploring the effects of task interdependence on employee proactive behavior and organizational performance; there is a lack of research examining task interdependence on team performance in engineering teams from a project management perspective, and there is an even more significant lack of research using PPP projects as a vehicle. Although Somech et al. [23] and Li et al. [24] explored the impact of task interdependence on team performance at the project management level by considering team-specific psychosocial and structural characteristics, most of the research was based on projects in general rather than examining them in the context of distinctive PPP projects. In order to realize the potential advantages of PPPs in the group, stakeholders must focus on performance improvement and sustainability of PPP project transactions [2]. This study attempts to fill these gaps in the literature by exploring the mechanisms by which task interdependence affects teams based on a project management perspective (see Table 1). In addition, the leader–member relationship is critical to team success, and Chinese culture is more concerned with relationalism. Based on this, the theoretical contribution of this study is constructing a mediated model of team task interdependence, team reflection, team performance, and LMX differentiation based on the team IPO model in the Chinese context to provide new ideas for improving the sustainable development of PPP projects and the performance of PPP project teams.
The rest of the paper is organized as follows: Section 2 comprises the literature review and hypotheses; Section 3 presents the research design; Section 4 provides the conclusions and analyses; Section 5 obtains our research findings.

2. Literature Review and Hypothesis

The Input–Process–Output (IPO) model is an essential foundation for the study of team effectiveness in organizational behavior, and it explains that team-specific inputs affect team members’ attitudes and behaviors, which in turn affect team outcomes [36,37]. This theoretical model provides a sound theoretical framework for this study to explain why task interdependence as a valuable team input can contribute to positive team outcomes by improving team processes. The mechanism of the influence of team input on team output is the typical action relationship of multidimensional mediated team process elements and their action results, and the theory also provides crucial theoretical support for the selection of measurement variables and the design of research framework for team input, team process, and team performance [20,38]. In this study, task interdependence, a key feature of teamwork tasks, is an input factor for PPP project teams and ultimately plays a vital role in team performance by influencing team reflection.

2.1. Task Interdependence

Task interdependence is a crucial factor influencing performance; when tasks are inherently interdependent, team members are more strongly motivated to put effort into task goals, which positively affects team performance [23,39]. Task interdependence is a task characteristic of teamwork, which mainly explains that the basis for teamwork tasks is that members must exchange information, resources, skills, etc., between themselves, reflecting the extent of team members’ need for information materials or support from other members to achieve the work goal, which has an essential impact on team performance [23,25]. In a high-level task interdependence scenario, teamwork is accomplished not only by relying on resources under the control of individual subjects but also by receiving resources from and relying on the skills of other members [22]. In high task interdependence, this situation for team members to communicate frequently, collaborate, and support each other regularly is conducive to the realization of the project’s objectives. From the perspective of task attributes, teams face a complex, uncertain, and specialized task environment, which makes it difficult for members to locate their roles and tasks and for each team member to have all the resources needed to complete the task, thus team performance relies on the complementarity of members’ resources and capabilities [40]. This means that when tasks are inherently interdependent, people value each other’s complementary strengths more, and team members interact closely to accomplish the job, providing them with more opportunities for synergistic cooperation and thus improving team performance [23,26]. For example, in PPP projects, the government and social capital parties cooperate to accomplish the project task objectives, and the government and social capital parties strongly depend on achieving the task objectives. The government hopes to build public infrastructure through social capitalists’ technical resources, capital resources, operational experience, and capacity resources. In contrast, social capitalists hope to maintain long-lasting revenue through the government’s policy resources, tax resources, resource giving, and information resources. The PPP project team is formed by the government, which represents the public interest, and the social capital, which represents the for-profit sector, and the team integrates two different interest objectives and values [2,3]. The higher level of interdependence can motivate the government and social capital to enhance their perception of the basis of goal achievement through proactive performance and fair concern. The team members work together and invest resources to achieve performance goals and smooth project implementation. Based on this, the research hypothesis was formulated:
Hypothesis 1
(H1). In PPP projects, task interdependence is significantly positively related to team performance.

2.2. Mediating Role of Team Reflection

Team reflection is a combination of openly reflective activities and judgmental adaptive processes to changes in internal and external environments, including a range of behaviors with elements of questioning, exploratory learning, and diversity exploration [25,41]. Team reflection can improve the level of interaction within the team, facilitate information sharing among members, and enable team members to discuss the problems that arise in team operation in depth and find practical solutions, thus improving team performance [42]. Pieterse et al. (2011) [43] found that team reflection circumvented the hindering effects of goal diversification and that team members positively affected team strategy and team performance by reflecting on the team’s current work planning and processes. In addition, according to the IPO theoretical model, it is known that team reflection is an essential element of the team process and has a significant role in the successful completion of tasks and achievement of performance goals by team members. Moreover, task interdependence as a team input, through reflection, promotes the project team to identify problems and solve them promptly, thus improving team performance [20,38]. It also suggests that the degree of team reflection determines how team members respond to the social context of task interdependence. Theoretical arguments and empirical support are provided for the thesis that team performance is determined by task interdependence and team reflection.
As there are differing views and conflicting opinions in the task area within the PPP project team, team members will argue over facts or opinions supported by data or evidence, which helps the convergence of opinions from multiple perspectives within the team. In the process of ideas and opinions colliding with each other, the PPP project team converges a variety of information about different perspectives on different aspects of task interdependence, which allows project team members to conduct in-depth oppositional reviews among themselves, question each party’s opinions, and at the same time carry out exploratory learning from multiple perspectives to further make more reasonable judgments and thus make choices that are beneficial to the overall interests of the team. In PPP projects, project complexity and the inter-term nature bring many uncertainties to the construction and operation of PPP projects. While the project contract cannot fully agree on the critical parameters of risk sharing, resource input, and output performance between the government and social capital entities in the future period, it clarifies the need for resource input, synergy, and interdependence between the government and social capital parties to achieve the contract objectives. In order to better cope with environmental changes and uncertainties during project operations and to assist teams in quickly managing and adapting to environmental changes and generating stressful behaviors, task-interdependent team members need to conduct continuous reflection activities on goals, strategies, processes, plans, and performance of milestone performance tasks [44]. Ongoing team reflection helps team members discover how they can benefit from task interdependence conditions and understand how the knowledge and skills of team members can act as a resource, which in turn facilitates their further learning, leading to improved team performance [25]. With the significant investment scale, long cooperation period, and complex tasks of PPP projects, every decision made by the project team will have a significant impact on the smooth execution of the project and team performance, which also helps the government and social capital entities in the project team to pay close attention to the internal and external environment of the project, continuously reflect on the current performance tasks and make effective responses, and then adjust the team working mechanism and business strategies to achieve team performance and contract goals. Based on this, the research hypothesis was formulated:
Hypothesis 2
(H2). In PPP project teams, task interdependence is indirectly related to team performance through the mediating role of team reflection.

2.3. Moderating Effect of Leader–Member Exchange Differentiation

The LMX differentiation is prevalent in organizations and teams. It is primarily a function of the degree of difference in the sparseness of relationships that team members form around resource controllers, reflecting the structure of team resource and power distribution and significantly impacting team interaction, reflection, and performance in team operations [30,35]. In the process of PPP project task execution, the government provides policy support, etc., to the social capitalist to meet the public’s demand for public infrastructure and to reduce financial pressure; the social capitalist provides the workforce, resources, technology, etc., to increase its political influence and visibility; and a mutually beneficial social exchange relationship is formed between the two. According to the LMX theory, members who establish high-quality exchange relationships with their leaders (high-relationship members) have access to more resources, information, and authorization, as well as more challenging and promising work assignments, more opportunities for training and development, and room for advancement. In contrast, members who establish a low-quality exchange relationship with the leader (low-relationship members) need help obtaining resource support from the leader. They only fulfill their work tasks according to their job duties, making achieving outstanding performance and status challenging. The greater the leader–member exchange differences in the team, the greater the status differences among members. Consequently, to promote upward class mobility and enjoy the advantages and benefits of quality, members will try to change the distribution of status differences in the team, resulting in the misalignment of tasks and intra-team competition [27]. The achievement of PPP project team performance especially requires support and guarantees from the government in terms of opportunities, resources, etc., and project team members actively approach the government and maintain quality interactions with it for specific goals (e.g., promotion, compensation, market opportunities, etc.) in order to obtain resources and opportunities. In contrast, the government (team managers and supervisors) also allocates or exchanges resources based on “closeness.” It creates a certain degree of favoritism and trust for the corresponding team members [35], which affects each other’s attitude, reflective behavior, and dependence on the execution of work tasks, affecting organizational cooperation and team performance.
Specifically, the stronger the LMX differentiation, the more serious the government’s differential treatment of enterprises, the more significant the difference in resource and power allocation structures between the government and social capital teams, and the more likely it is for team members to form “affinity” patterns that reduce the interaction and team reflection among team members. This further reduces social capitalists’ expectations of future equity and creates cognitive biases that weaken team members’ motivation to reflect on their activities, which, in turn, may act in ways that are detrimental to the achievement of team performance [35]. The leader–member relationship, critical to determining work outcomes, emphasizes the importance of relationships and may be helpful and relevant in the Chinese context. For PPP projects in China, “public-public cooperation” is dominant, and according to research, the implementation of PPP projects led by state-owned enterprises is more efficient [32]. There are motives in the cooperation between government and enterprises for the promotion of officials, the profits of enterprises, the promotion and remuneration of employees, etc. [45,46]. Based on leadership behavior, employees’ fair judgment of promotion events affects their self-reflection, organizational trust and recognition, work motivation, and behavior, which generates relationship-pulling behavior and affects collective goals and job performance [30]. The association with the resource controller for goal achievement leads to LMX differentiation. Based on this, the following research hypotheses were formulated:
Hypothesis 3a
(H3a). In PPP project teams, the LMX differentiation can negatively moderate the relationship between task interdependence and team reflection.
Hypothesis 3b
(H3b). In PPP project teams, the LMX differentiation can negatively moderate the relationship between team reflection and performance.
Hypothesis 4
(H4). In PPP project teams, the LMX differentiation moderates the mediating effect of team reflection in the relationship between task interdependence and team performance. The stronger the LMX differentiation of the PPP project team, the weaker the mediating effect of team reflection and the weaker the indirect effect of task interdependence on team performance, and vice versa.
Based on the above analysis, this paper argues that LMX differentiation attempts to explain the mechanism of task interdependence on team performance in PPP projects, and a comprehensive and in-depth grasp of the project team process makes its research on task interdependence and team performance more relevant to the actual situation. Combining H3a, H3b, and H4, the following comprehensive hypotheses are proposed and form the complete logical model of this study (see Figure 1).

3. Research Design

3.1. Variable Measurement

In the process of questionnaire design for this study, interviews were conducted with a total of 27 experts from the PPP project expert pool announced by the National Development and Reform Commission, Tsinghua University, Chongqing University, Tongji University, Southeast University, Tianjin University, Dalian University of Technology, Tianjin University of Technology, and the Central University of Finance and Economics. Through several consultations and revisions, the preliminary questionnaire’s overall structure, the questions’ content, the questions’ relationships, the questions, the reasonableness of the questions, and the number of questions were revised and improved to a certain extent. This study used the Delphi expert survey method for questionnaire repair and supplementation, which was chosen because of its four unique characteristics: (1) Anonymity—questionnaire discussion and feedback are contacted in writing; (2) iterative—predictions are made not once but often with feedback and often with predictions; (3) quantitative analysis of the prediction opinions and quantitative evaluation of the prediction results; (4) collective—the survey’s conclusion is not individual experts’ opinion but several experts’ collective opinion. Then, the questionnaire is further optimized in detail with the case study of PPP projects. The advantage lies in a more realistic reflection of the credibility of the questionnaire, which is an innovative and unique feature of the research methodology. On this basis, the measurement items of this study were finalized according to the individual measurement scales matured by previous scholars’ analyses.
The Task Interdependence Measure Scale uses the findings of Campion et al. (1993) [47] and has three question items; these are “I cannot do my job without the information or materials provided by other members”, “Other members must need the information or resources I provide in order for them to do their jobs”, and “All team members’ jobs are interrelated.” The internal consistency coefficient of the scale, Cronbach’s α, was 0.728.
Combining the essential characteristics of PPP projects and teams, the Team Performance Measurement Scale was developed based on the synthesis of the research results of Tjosvold et al. (2010) [48]. Moreover, it was divided into three dimensions, goal achievement, member satisfaction, and capacity enhancement, with 11 questions, such as “The team was able to complete the task within the planned time”. The Cronbach’s alpha for team performance was 0.872.
The LMX Differentiation Measurement Scale uses the findings of Erdogan et al. (2010) [35], and this scale consists of three dimensions: “favoritism”, “interdependence”, and “cronyism”. The scale consists of 11 questions: “Supervisors convey information through specific subordinates”. The Cronbach’s alpha for the LMX differentiation was 0.890.
The Team Reflection Scale was developed based on the research results of De Dreu (2007) [42] and consisted of seven items, such as “The team often discusses ways to accomplish work tasks”. The Cronbach’s alpha for team reflection was 0.893. The scale reliability analysis is listed in Table 2.

3.2. Sample Source and Data Collection

For sustainable PPP projects, the study is based on the national demonstration projects in the project management database of the Center for Government and Social Capital Cooperation (CPPPC) of the Ministry of Finance. The corresponding PPP project teams were contacted based on the project information, and data were collected using questionnaire survey methods. Affected by the new crown pneumonia epidemic, the research was conducted mainly online, with questionnaires distributed through Questionnaire Star, email, and WeChat to 1065 team members (from government and social capital entities) of 210 PPP project teams.
The questionnaire collection and survey process is divided into two parts: The first is the pilot study and the second is the formal questionnaire survey. The first trial of the research used the online distribution of questionnaires, mainly because the first trial of research offline distribution of questionnaires does not have the conditions, so the questionnaire is primarily distributed through Questionnaire Star and mailbox. The first trial survey questionnaire is also used to improve the questionnaire’s content to lay the foundation for the second formal questionnaire survey. Based on the first round of expert interviews, the second questionnaire, after revising and explaining the contents of the first questionnaire distribution in light of the current social environment, adjusted the distribution method, adopted the distribution method of mainly online supplemented by offline, and expanded the scope of questionnaire distribution. The offline questionnaire is primarily distributed to experts and entrepreneurs in the PPP community, as shown in Table 3.
A survey was conducted with 1065 team members (from government and social capital entities) of 210 PPP project teams, adopting the same processing standards for sample data collection. The recovered questionnaires were strictly screened according to the following criteria: (1) Questionnaires with three or more missing items were excluded; (2) questionnaires with more than 10 “unsure” options were excluded; (3) only one questionnaire was retained for the same answer sheet, and the other questionnaires of the same kind were excluded; (4) questionnaires that showed a regularity of choices (e.g., consecutively ticking 12345 or selecting the same option for more than five consecutive questions) were excluded. Finally, 701 valid questionnaires (627 online and 74 offline) were recovered from 168 PPP project teams, with a recovery rate of 65.82%. Descriptive statistics of the sample showed that among the 701 team members, 52.2% were male and 47.8% were female, 44% came from state-owned enterprises, 29.2% from private enterprises, and 26.8% from the government, and 89.5% had been in the team for more than one year; employees and managers accounted for 57.8% and 42.2%, respectively. The descriptive information of the sample construction of professionals and projects is given in Table 4.

3.3. Common Method Deviation Test

In this study, the Harman one-way test was used to test for common method bias. The exploratory factor analysis of all variables revealed that the unrotated exploratory factor analysis results extracted a total of five factors with a characteristic root greater than one (more than one factor with a characteristic root greater than one), with a cumulative total variance of 59.19% and a maximum factor variance explained of 37.18% (maximum factor variance explained degree is less than 40%), indicating that there is no severe common method bias in this study. The results are shown in Table 5.

3.4. Validity Analysis

Validity tests were performed using SPSS 26.0 software. Before the validity factor analysis, the factor analysis fitness test was performed using the KMO value and Bartlett’s sphericity test. If the KMO value statistic was above 0.65, then it was acceptable. KMO values of 0.680, 0.967, 0.960, and 0.910 were obtained for task interdependence, team performance, LMX differentiation, and team reflection, respectively. Bartlett’s test results were significant at 0.000 and less than 0.001, indicating good validity for subsequent factor analysis. The results are shown in Table 6.
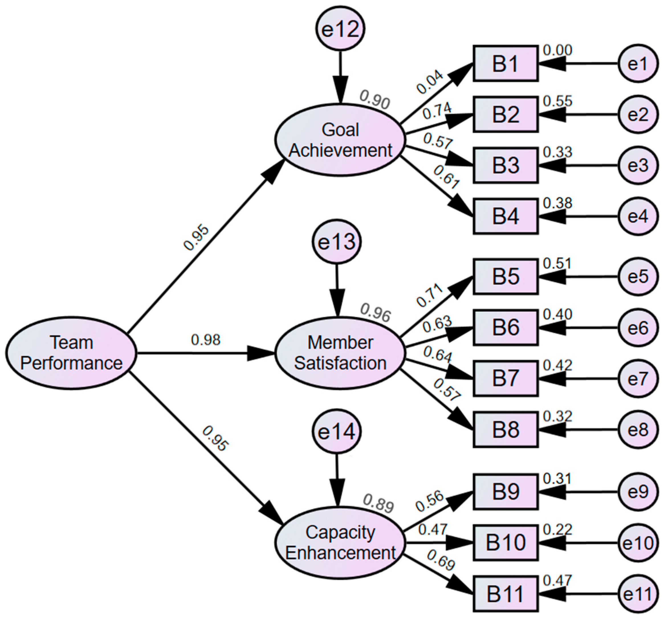
Convergent validity tests were conducted for team performance and LMX differentiation. Since unidimensional scales were used for task interdependence and team reflection and multidimensional scales were used for team performance and LMX differentiation, the test results of the discriminant validity of the three dimensions in the team performance scale showed that X2/DF = 0.997, RMSEA = 0.000, GFI = 0.965, AGFI = 0.944, CFI = 1.000, NFI = 0.975, indicating that the three dimensions of team performance have good discriminant validity, and then the standardized factor loadings obtained by second-order validated factor analysis were 0.95, 0.98, and 0.95, respectively, indicating that the three dimensions of team performance have good convergent validity (see Figure 2).
The test results of the discriminant validity of the three dimensions in the LMX differentiation scale showed that X2/DF = 1.095, RMSEA = 0.021, GFI = 0.964, AGFI = 0.942, CFI = 0.997, and NFI = 0.969, indicating that the three dimensions of LMX differentiation have good discriminant validity, and then the standardized factor loadings obtained by second-order validated factor analysis were 0.93, 0.98, and 0.94, respectively, indicating that the three dimensions of LMX differentiation had good convergent validity (see Figure 3).
Validation factor analysis using Amos 26.0 revealed four-factor index results of X2/DF = 1.173, RMSEA = 0.029, GFI = 0.869, AGFI = 0.849, CFI = 0.981, and NFI = 0.883 for task interdependence, team performance, team reflection, and LMX differentiation, indicating good discriminant validity for the four variables (Table 7).
Since more than one member rated all four variables in this study, it should be operationalized by aggregating each individual’s data into the team’s overall data. Before aggregating the team data, it is necessary to demonstrate that the individual data are valid to ensure the validity of aggregating the team data. The reliability of data aggregation is usually evaluated using two metrics: The combined reliability CR value and the average variance extraction AVE value. The general criteria for the aggregability of data are as follows: The combined reliability CR value generally needs to be greater than 0.7, a mean-variance extracted AVE value between 0.36 and 0.5 is acceptable, and greater than 0.5 is better.
Table 8 gives the combined reliability CR values and mean-variance extraction AVE values for the four variables of task interdependence, team performance, LMX differentiation, and team reflection. It can be seen that the combined reliability CR values for the four variables are higher than 0.7. The mean-variance extraction AVE values for team performance, LMX differentiation, and team reflection are more significant than 0.5. The mean-variance extraction AVE values for task interdependence are within the acceptable range. This may be because the questionnaire return rate was less than 50 times the questionnaire item design. Still, the mean-variance extracted AVE for task interdependence is close to 0.5, so it does not affect the overall requirement of data aggregation. Therefore, it is feasible in this paper to aggregate the individual-level data of these four team variables into team-level variables.

4. Hypothesis Testing

4.1. Descriptive Statistics and Correlation Analysis

SPSS 26.0 software and the PROCESS macro program developed by Hayes were used to analyze the data, and Model 4 and Model 58 of the 76 typical models provided by Hayes were selected for analysis. The means, standard deviations, and correlation coefficients of each variable are shown in Table 9. Task interdependence was significantly related to team performance (goal achievement, member satisfaction, competence improvement) (r = 0.577, p < 0.05; r = 0.522, p < 0.01; r = 0.519, p < 0.05) and team reflection (r = 0.560, p < 0.05), team reflection was significantly related to team performance (goal achievement, member satisfaction, competence improvement) (r = 0.522, p < 0.01; r = 0.551, p < 0.1; r = 0.490, p < 0.05), and there was a negative correlation between leader–member exchange differentiation (interdependence, differential treatment, and crony roles) and team performance (goal achievement, member satisfaction, and competency enhancement) (see Table 9 for results). These results were generally consistent with the theoretical expectations of this study, which laid a good foundation for further exploring the relationship between the variables in this study.

4.2. Model Analysis

4.2.1. Hierarchical Regression Analysis for Hypothesis Testing

For H1 and H2, this study applied a cascade regression analysis to test. The statistical results of model 2 in Table 10 show that task interdependence has a significant positive impact on team performance (β = 0.54, p < 0.01) at a statistically significant level, confirming that PPP project team task interdependence has a positive impact on team performance, and hypothesis H1 is verified. This also reflects the impact of team task interdependence on the performance of PPP project teams. By increasing the interdependence of PPP project team members in terms of task objectives, the performance of the PPP project team can be improved. This result confirms the positive effect of task interdependence on team performance proposed by Yu et al. [21] and Somech et al. [23].
For the mediating effect of team reflection, this study used Model 4 in the PROCESS program developed by Hayes to test the mediating effect of team reflection between task interdependence and team performance, and the results are presented in Model 1, Model 6, and Model 7 in Table 10. The predictive effect of task interdependence on team performance was significant (β = 0.54, p < 0.01) when controlling for age, the nature of the firm, and education, and the direct effect of task interdependence on team performance remained significant (β = 0.37, p< 0.01) when the mediating variable team reflection was introduced, and the positive effect of team reflection on team performance was also significant (β = 0.32, p < 0.01). In addition, a further study based on a bias-corrected percentile Bootstrap method (repeated sampling 5000 times) found that team reflection partially mediated the relationship between team task interdependence and team performance in PPP projects (effect value was 0.172) with a standard error of 0.041 and a 95% confidence interval of (0.094, 0.252), with the mediating effect accounting for 31.812% of the total effect (see Table 11). Based on the above analysis, hypothesis H2 of this study is supported by the sample data. This indicates that in PPP projects, team members may engage in task, goal, or result-dependent behavior throughout the project lifecycle to achieve organizational and individual goals and engage in communication, reflection, or exchange based on project task requirements to improve team performance. This result is a valuable supplement to De Dreu et al. [42] on how reflective behavior among team members affects the performance of PPP project teams.

4.2.2. The Moderating Effect of Leader–Member Exchange Differentiation

To test the moderating effect of LMX differentiation in PPP projects, this study included the interaction term between moderating variables and independent variables in the regression equation after successively introducing control variables, independent variables, moderating variables, and mediating variables. Table 10 demonstrates the moderating role of LMX differentiation in the relationship between task interdependence and team reflection. To eliminate covariance, the independent and moderating variables were separately centered. The results of Model 3 in Table 10 indicate that the interaction term of PPP project task interdependence and LMX differentiation negatively and significantly affects team reflection (β = −0.14, p < 0.05), and the sample data support H3a. This suggests that the facilitation of team reflection by task interdependence is relatively weak when the LMX differentiation is more robust. Origin 2018 was used to make a diagram of the regulatory action of the LMX differentiation, as shown in Figure 4. Figure 4a depicts the differences in the effects of task interdependence on team reflection at different levels of LMX differentiation. From the cross-section of the graph, the positive effect of task interdependence on team reflection in PPP projects gradually decreases as the LMX differentiation increases; looking at the longitudinal section of the graph, when task interdependence is at the tangent, team reflection decreases as LMX differentiation rises. When team reflection is at the deviation, task interdependence decreases as LMX differentiation increases, suggesting that LMX differentiation negatively moderates the effect of task interdependence on team reflection. Specifically in relation to Table 12, as can be seen from Figure 4a, for subjects with low LMX differentiation (M − 1SD), task interdependence has a significant positive effect on team reflection; while for issues with high LMX differentiation (M + 1SD), task interdependence has a slight negative impact on team reflection; This suggests that when the LMX differentiation is lower, team members are more able to feel fair treatment from their leaders and are more willing to take the initiative to provide feedback to the team on project construction and operation information, strengthen interactions with other team members, and deepen the strength of their cooperative relationships in order to successfully implement the project and achieve the expected goals.
In addition, to eliminate covariance, the interaction terms of team reflection and LMX differentiation of the PPP project were decentered separately when constructing the team reflection and LMX differentiation. The results of model 9 in Table 10 indicate a significant positive effect of the interaction term between team reflection and LMX differentiation on team performance (β = −0.16, p < 0.01), and hypothesis H3b is supported by the sample data. This indicates that the stronger the LMX differentiation, the relatively more substantial the contribution of team reflection to team performance. Figure 4b depicts the difference in the effect of team reflection on team performance in PPP projects under different levels of LMX differentiation. From the cross-section of the graph, the positive effect of team reflection on team performance diminishes as the LMX differentiation increases. Looking at the longitudinal section of the graph, when team performance is at the tangent, team reflection decreases as LMX differentiation rises, and when team reflection is at the deviation, team performance decreases as LMX differentiation increases, suggesting that LMX differentiation negatively moderates the effect of team reflection on team performance. Specifically in relation to Table 12, as can be seen from Figure 4b, for subjects with low LMX differentiation (M − 1SD), team reflection has a significant positive effect on team performance, while for issues with high LMX differentiation (M + 1SD), task interdependence has a significant negative impact on team performance. This shows that LMX differentiation is involved in negatively moderating the relationship between the results of task interdependence, team reflection, and team performance, indicating that the higher the proportion of LMX differentiation in PPP projects, the more directly team performance is affected by the negative impact of team members’ interdependence and reflective behaviors. This is mainly because the more significant the LMX differentiation is, the more the members will not stimulate their proactive behaviors and negatively treat the tasks assigned by the leader, affecting team members’ proactive reflective and learning behaviors, which in turn affects team performance.
Figure 4a,b both show that LMX differentiation plays a negative moderating role, consistent with the performance of hypotheses H3a and H3b. This indicates that when LMX differentiation occurs, team members react negatively to team reflection and task interdependence behaviors during the team process, which can affect performance improvement. This indirectly confirms the viewpoint of Wang et al. [27].

4.2.3. Mediating Effects with Moderation

For the pathway of “task interdependence → team reflection → team performance”, this study used the Bootstrap method in the PROCESS plug-in, validating the moderating mediating effect of LMX differentiation in PPP project teams, and the mediating role of team reflection in the relationship between task interdependence and team performance under different levels of LMX differentiation was analyzed. The mediating effects under different LMX differentiation conditions are shown in Table 12. The indirect effect of task interdependence on PPP project team performance through team reflection when LMX differentiation was low was 0.143 (95% CI = [−0.016, 0.022]). The indirect effect of task interdependence on PPP project team performance through team reflection when LMX differentiation was high was −0.001 (95% CI = [0.068, 0.245]). The mediation effect difference between the high and low LMX differentiation conditions was −0.144, and the 95% CI was (0.084, 0.223), excluding 0. Thus, there was a significant difference in mediation effects. This suggests that initiating team reflection inspired confidence in team members to do their respective roles and achieve task goals and likewise brought about differential treatment of negative behaviors between leaders. The results indicated that the indirect effect of task interdependence on team performance through team reflection was significant regardless of the high or low level of LMX differentiation, and the mediating effect of team reflection between task interdependence and team performance was negatively moderated by LMX differentiation. In addition, the mediating effect of team reflection in the relationship between task interdependence and team performance tended to decrease at all three levels of LMX differentiation, i.e., as LMX differentiation rises, task interdependence is less likely to improve team performance by increasing team reflection and thus team performance, and hypothesis H4 holds.

5. Conclusions

5.1. Conclusions

Based on the team input–process–output (IPO) logical framework, team process theory, social interdependence theory, and LMX theory were integrated and utilized. Team reflection was used as a mediating variable to explore the influence mechanism of team task interdependence on team performance in PPP projects and to test the moderating effect of LMX differentiation. An empirical examination of survey data from 168 PPP project teams led to the following conclusions: PPP project task interdependence has an indirect positive impact on team performance through the mediating role of team reflection. When the degree of task interdependence between team members is high, members will actively exchange information and share resources, which will have a positive effect on team performance; a team that frequently engages in team reflection will make timely and positive adjustments to changes in the internal and external environments as a way to cope with a variety of uncertainty risks, thus improving team performance. LMX differentiation moderates the mediating role of team reflection in the relationship between task interdependence and team performance, manifesting itself as a mediating mode of action that is moderated; that is, the higher the level of LMX differentiation, the weaker the strength of the indirect relationship between task interdependence and team performance through team reflection. Through empirical analysis, the impact path of task interdependence and LMX differentiation is proposed in the context of Chinese PPP projects, which provides new ideas for the sustainable development of PPP projects at the project governance level.

5.2. Discussion

First, a theoretical analysis of task interdependence in a PPP project work context stimulates active reflection and collaboration among team members, positively affecting team performance. According to social interdependence theory, team process theory, and teamwork perspectives, work-task interdependence promotes positive team member interactions and effective reflective behaviors [33,43]. Previous studies have focused more on the effects of team goal interdependence and cooperation in enterprises or organizations, and there is a lack of research on project task relationships, interaction characteristics, and role performance. Therefore, this study focuses on the mechanism of task interdependence on team performance in PPP projects. The higher the team reflection, the more significant the contribution of task interdependence to team performance. Task interdependence stimulates team members’ collaboration, feedback, adaptation, and innovation through team reflection, which in turn contributes to improving team performance. On the one hand, the integration of social interdependence theory and team process theory confirms that the existence of positive task interdependence among project team members will help them seek behavioral approaches or change paths that are conducive to the achievement of team outcomes and stimulate collaborative behaviors among team members. On the other hand, it enriches the theoretical boundaries of team task interdependence, team process, and collaborative behavior. It better explains the impact of team task interdependence on team performance in an engineering context.
Second, the project system’s complexity and the task environment’s uncertainty give rise to high-quality team members’ benign interactions and synergy [5,7], and task interdependence is an essential driver of team collaboration and performance improvement. Existing research on task interdependence has mainly focused on the field of human resource management and organizational management objectives [18,22,38], and the lack of research in the field of engineering projects, especially PPP projects, does not help to develop an objective understanding of the representation of task interdependence in the engineering field. PPP project teams are composed of members from both government (public) and social capital entities (for-profit) organizations, whose heterogeneous goals, identity differences, and different resource structures lead to differences in their perceptions of work-task relationships, organizational boundary definition, and performance management during project contract execution. Moreover, PPP projects are a multitasking environment where the essential characteristics of engineering projects are directly manifested in the immediately preceding and following relationships of various work tasks, and such work characteristics also require interdependence and synergy among team members [14,15,17]. Based on this, this study introduces task interdependence in the engineering field. It examines the mechanism of the role of task interdependence and team performance in PPP project teams in the engineering field.
Third, the “leader–member relationship” is one of the most important elements of Chinese social values. The LMX differentiation is a common phenomenon caused by the “leader–member relationship” of the Chinese social structure. It has attracted the attention of more and more Chinese scholars regarding its influence mechanisms. For example, LMX differentiation has a vital role in team processes (e.g., team reflection), team members’ cooperative behavior, team innovation, team resilience, and team performance [30,35], yet its intrinsic mechanism of action on team performance in PPP projects is unclear. Based on the LMX theory, this study confirms that LMX differentiation moderates the mediating role of team reflection in the relationship between task interdependence and team performance in the Chinese cultural context, exhibiting a mediating role model of being moderated. That is, the higher the level of LMX differentiation, the more team members may question the fairness and legitimacy of resource allocation and incentives (e.g., promotions, compensation, etc.), and thus negatively allocate resources to work tasks and construct self-centered decision logic, which is not conducive to team engagement, team reflection, and performance improvement. No relevant studies have explored and tested the mediating role of LMX differentiation in moderating team reflection in PPP projects. Therefore, the present study can be a helpful extension and supplement to previous studies.

5.3. Managerial Implication

The purpose of this study is to construct and validate the correlation between task interdependence and team performance in PPP projects in the context of leader–member differential treatment, clarify the logical relationship between task interdependence and team performance and differential atmosphere and team performance, and investigate the mediating role of team reflection between task interdependence and team performance and the moderating role played by the LMX differentiation between task interdependence, team reflection, and team performance, so as to provide a new idea for the governance of teamwork in PPP projects.
When analyzing at the theoretical level, research on task interdependence and team performance is mainly focused on foreign countries. Domestic scholars pay more attention to linking task interdependence and team pay together to study the impact on team performance without combining the existing social environment in China with the LMX differentiation in the effects of task interdependence on team performance and with less consideration of team reflection as a mediator of how to affect team performance. The interdependent and reflective behaviors exhibited by team members in completing tasks significantly impact the development of PPP project teams. Therefore, based on the purpose of improving PPP project team performance, this paper takes the PPP project team as the research object, task interdependence as the independent variable, selects LMX differentiation as the moderating variable and team reflection as the mediating variable to find out the influencing path on team performance, expands the scope of the research on task interdependence in the field of project management, and provides research ideas for the sustainable development of PPP projects.
When analyzing at the practical level, in recent years, PPP projects have been vigorously promoted and developed in China. Still, the phenomenon of unsustainable interruptions of PPP projects is expected, against the goals of our sustainable development strategy, which not only brings losses to China’s economy but also causes social capitalists with poor risk-resistant capacity to be challenged to maintain the company’s operation to bankruptcy. PPP project team members mainly come from the government and social capital, which are public and for-profit, respectively. Therefore, it is easier for both parties to experience cooperation rupture due to the attributes of the tasks, which affects the sustainable development of the PPP project and the realization of the team’s goals. Therefore, this paper takes the team composed of the government and social capital parties as the object and constructs the PPP project team members’ task interdependence model to promote benign reflection among team members to improve team performance and integrate the current Chinese social context of the leader–member relationship. Theory and practice are linked to the introduction of “ LMX differentiation” into PPP projects to study the influence mechanism of LMX differentiation, task interdependence, and team reflection on team performance to help PPP project teams better understand and grasp the role of LMX differentiation, task interdependence, team reflection, and team performance, to improve the impact of the team research on the construction and operation of the PPP project and improve the team’s performance more practically and effectively, providing a solid foundation for the sustainable development of PPP projects.

5.4. Innovation and Limitations

Firstly, considering the introduction of mission interdependence into the realm of PPP projects, previous research on task interdependence is mainly reflected in human resources, and there needs to be more research on task interdependence in engineering projects. Problems in collaboration between engineering project subjects will directly affect team performance. Therefore, this study introduces task interdependence in PPP projects, takes PPP project teams as the research object, profoundly explores the impact of task interdependence on team performance in PPP projects, and improves the relationship model between task interdependence and team performance of PPP project teams.
Secondly, introducing LMX differentiation into the realm of PPP projects, this study incorporates the Chinese context as a realistic external factor to explore the impact of task interdependence on team performance. Few domestic scholars have integrated the Chinese context into the study of task interdependence and team performance, and fewer have considered the role of LMX differentiation in PPP programs. It is precisely the leader–member relationship that is the key to the success of a PPP project team and one of the factors influencing the sustainability of a PPP project. Combining China’s traditional cultural and social background, we introduced the LMX differentiation into the model, constructed a moderated model, and then verified the influence of leader–member exchange differentiation on task interdependence and team performance, which enriched the research results on task interdependence and team performance and has specific practical significance.
Finally, the results of the study are generalizable and novel. Leaders’ differential treatment of different subordinates is widespread in Western societies and in China. However, the analysis and empirical testing of LMX theories in the West have been more richly developed, and there needs to be more specific theoretical analysis and exploration of indigenous Chinese conceptualizations. Regarding cross-cultural applicability, many studies on the differential effects of leadership based on Western constructs have been conducted in Chinese organizations, and the studies using mainland Chinese companies as examples are similar to many studies using Western companies as samples. However, given the differences between Chinese and Western cultures, the effects of LMX differentiation, differentiated leadership styles, etc., and their course of action in Chinese organizations may not be the same as in Western organizations, and there is a shortage of research (see Table 13). Further, traditional Chinese culture emphasizes the difference between close and distant relationships, and leaders are often seen as taking care of their people as a matter of course, while not being biased at all is considered unsympathetic. Moreover, Chinese culture is more concerned with relationalism. Therefore, studying LMX differentiation based on the Chinese value system and cultural background is more cross-culturally applicable and novel.
Although this paper incorporates social contextual factors and team reflection into the study of the impact of task interdependence on team performance research, it obtains some conclusions. It has some innovations in theory and practice. However, the paper still needs to improve. On the one hand, the future information transparency of PPP projects may increase, and there will be more cases of PPP projects with transparent and open information resources. Hence, the subsequent research needs to be analyzed more comprehensively and in-depth by combining more points of PPP projects. On the other hand, although the questionnaire survey in this paper has been rigorously revised and refined, it is limited to the external environment. The scope of questionnaire distribution should involve a broader range of dimensions, and the number of questionnaire distribution samples should also be expanded.

Author Contributions

Conceptualization, S.S. and F.Z.; methodology, F.Z.; software, F.Z.; validation, S.S., F.Z. and H.Z.; formal analysis, F.Z. and S.S.; investigation, F.Z.; resources, S.S. and H.L.; data curation, F.Z. and H.Z.; writing—original draft preparation, F.Z., S.S. and H.Z.; writing—review and editing, S.S., X.Y., H.L. and H.Z.; visualization, S.S.; supervision, S.S.; project administration, S.S. and H.L.; funding acquisition, S.S. and X.Y. All authors have read and agreed to the published version of the manuscript.

Funding

This research received no external funding.

Institutional Review Board Statement

Not applicable.

Informed Consent Statement

Not applicable.

Data Availability Statement

Not applicable.

Acknowledgments

The authors are also grateful for the research collaboration between groups, institutions, and universities.

Conflicts of Interest

The authors declare no conflict of interest.

References

  1. Klein, J.T. Sustainability and Collaboration: Crossdisciplinary and Cross-Sector Horizons. Sustainability 2020, 12, 1515. [Google Scholar] [CrossRef]
  2. Du, J.; Wang, W.; Gao, X.; Hu, M.; Jiang, H. Sustainable operations: A systematic operational performance evaluation framework for Public–Private Partnership transportation infrastructure projects. Sustainability 2023, 15, 7951. [Google Scholar] [CrossRef]
  3. Bai, F.R.; Zeng, T.H.; Shao, H. Simulation study on the system dynamics of sustainability risk of pipeline corridor PPP project. Financ. Account. Mon. 2020, 16, 133–139. [Google Scholar] [CrossRef]
  4. Adebayo, A.A.; Lulofs, K.; Heldeweg, M.A. Indicators, strategies, and rule settings for sustainable Public–Private Infrastructure Partnerships: From literature review towards institutional designs. Sustainability 2023, 15, 9422. [Google Scholar] [CrossRef]
  5. Cheung, O.S.; Wong, S.P.; Wu, W.A. Towards an organizational culture framework in construction. Int. J. Proj. Manag. 2010, 29, 33–44. [Google Scholar] [CrossRef]
  6. Fletcher, A.; Brannick, K. Conflict behaviors mediate effects of manipulated leader-member exchange on team-oriented outcomes. J. Bus. Psychol. 2021, 37, 977–997. [Google Scholar] [CrossRef]
  7. Hsu, S.; Weng, K.; Cui, Q.; Rand, W. Understanding the complexity of project team member selection through agent-based modeling. Int. J. Proj. Manag. 2016, 34, 82–93. [Google Scholar] [CrossRef]
  8. Shen, J.X.; Lu, Y.X.; Wang, X.P. Research on the Influence of Clearance Policy on Sustainable Development of PPP. Constr. Econ. 2022, 43, 5–14. [Google Scholar] [CrossRef]
  9. Wojewnik-Filipkowska, A.; Węgrzyn, J. Understanding of Public–Private Partnership stakeholders as a condition of sustainable development. Sustainability 2019, 11, 1194. [Google Scholar] [CrossRef]
  10. Subramaniam, R. Development and Implementation of an Information System to Evaluate Performance of Individual Team Member in Larger Teams (Information System to evaluate team member performance of large software teams). In Proceedings of the International Conference on Advances in Electrical, Computing, Communication and Sustainable Technologies (ICAECT), Bhilai, India, 19–20 February 2021. [Google Scholar] [CrossRef]
  11. Kumaraswamy, M.M.; Anvuur, A.M. Selecting sustainable teams for PPP projects. Build. Environ. 2008, 43, 999–1009. [Google Scholar] [CrossRef]
  12. Caniëls, C.M.; Chiocchio, F.; Loon, V.P.N. Collaboration in project teams: The role of mastery and performance climates. Int. J. Proj. Manag. 2019, 37, 1–13. [Google Scholar] [CrossRef]
  13. Baker, M.J. Collaboration in Collaborative Learning. Interact. Stud. 2015, 16, 451–473. [Google Scholar] [CrossRef]
  14. Iossa, E.; Martimort, D. The Simple Micro-Economics of Public-Private Partnerships. J. Public. Econ. Theory 2015, 17, 4–48. [Google Scholar] [CrossRef]
  15. Matthias, S.; Chenyang, X.; Michalina, W. Managing team interdependence to address the great resignation. Pers. Rev. 2023, 52, 425–433. [Google Scholar] [CrossRef]
  16. Chen, B.R.; Chiu, Y.S. Public-private partnerships: Task interdependence and contractibility. Int. J. Ind. Organ. 2010, 28, 591–603. [Google Scholar] [CrossRef][Green Version]
  17. Kivleniece, I.; Quelin, B. Creating and capturing value in public-private ties: A private actor’s perspective. Acad. Manag. Rev. 2012, 37, 272–299. [Google Scholar] [CrossRef]
  18. Thomas, J.S.; Loignon, A.C.; Woehr, D.J.; Loughry, M.L.; Ohland, M.W. Dyadic viability in project teams: The impact of liking, competence, and task interdependence. J. Bus. Psychol. 2020, 35, 573–591. [Google Scholar] [CrossRef]
  19. Courtright, S.H.; Thurgood, G.R.; Stewart, G.L.; Pierotti, A.J. Structural interdependence in teams: An integrative framework and meta-analysis. J. Appl. Psychol. 2015, 100, 1825–1846. [Google Scholar] [CrossRef] [PubMed]
  20. Humphrey, S.E.; Aime, F. Team Microdynamics: Toward an organizing approach to teamwork. Acad. Manag. Ann. 2014, 8, 443–503. [Google Scholar] [CrossRef]
  21. Yu, T.; Zhao, Y.M.; Zhang, Z.T. The direction of work flow matters: Influence mechanism of task interdependence on employee proactive work behavior. Organ. Psychol. Rev. 2023, 14, 11–76. [Google Scholar] [CrossRef] [PubMed]
  22. Mathieu, J.E.; Hollenbeck, J.R.; Knippenberg, D.; Ilgen, D.R. A century of work teams in the Journal of Applied Psychology. J. Appl. Psychol. 2017, 102, 452–467. [Google Scholar] [CrossRef] [PubMed]
  23. Somech, A.; Lidogoster, H.S.D. Team conflict management and team effectiveness: The effects of task interdependence and team identification. J. Organ. Behav. 2010, 30, 359–378. [Google Scholar] [CrossRef]
  24. Li, N.; Sherf, E.N.; Tangirala, S. Team adaptation to discontinuous task change: Equity and equality as facilitators of individual and collective task capabilities redevelopment. Organ. Sci. 2022, 34, 987–1352. [Google Scholar] [CrossRef]
  25. Oude Groote Beverborg, A.; Sleegers, P.J.C.; Endedijk, M.D.; Van Veen, K. Towards Sustaining Levels of Reflective Learning: How Do Transformational Leadership, Task Interdependence, and Self-Efficacy Shape Teacher Learning in Schools? Societies 2015, 5, 187–219. [Google Scholar] [CrossRef]
  26. Mendo Lázaro, S.; León Del Barco, B.; Polo-Del-Río, M.-I.; Rasskin-Gutman, I. Predictive Factors of Task Interdependence in the University Context. Sustainability 2020, 12, 100. [Google Scholar] [CrossRef]
  27. Wang, L.C.; Hollenbeck, J.R. LMX in team-based contexts: TMX, authority differentiation, and skill differentiation as boundary conditions for leader reciprocation. Pers. Psychol. 2018, 72, 271–290. [Google Scholar] [CrossRef]
  28. Zhang, H.; Shi, S.; Zhao, F.; Ye, X.; Qi, H. A Study on the Impact of Team Interdependence on Cooperative Performance in Public—Private Partnership Projects: The Moderating Effect of Government Equity Participation. Sustainability 2023, 15, 12684. [Google Scholar] [CrossRef]
  29. Bahrami, P.; Kim, Y.; Jaiswal, A.; Patel, D.; Aggrawal, S.; Magana, A.J. Information Technology Undergraduate Students’ Intercultural Value Orientations and Their Beliefs about the Influence of Such Orientations on Teamwork Interactions. Trends High. Educ. 2023, 2, 270–282. [Google Scholar] [CrossRef]
  30. Yu, A.; Matta, F.K.; Cornfield, B. Is leader–member exchange differentiation beneficial or detrimental for group effectiveness? A meta-analytic investigation and theoretical integration. Acad. Manag. J. 2018, 61, 1158–1188. [Google Scholar] [CrossRef]
  31. Liden, C.R.; Erdogan, B.; Wayne, J.S.; Sparrowe, R.T. Leader-member exchange, differentiation, and task interdependence: Implications for individual and group performance. J. Organ. Behav. 2006, 27, 723–746. [Google Scholar] [CrossRef]
  32. Krane, H.P.; Olsson, N.O.E.; Rolstadås, A. How Project Manager–Project Owner Interaction Can Work within and Influence Project Risk Management. Proj. Manag. J. 2012, 43, 54–67. [Google Scholar] [CrossRef]
  33. Gulati, R.; Wohlgezogen, F.; Zhelyazkov, P. The two facets of collaboration: Cooperation and coordination in strategic alliances. Acad. Manag. Ann. 2012, 6, 531–583. [Google Scholar] [CrossRef]
  34. Ployhart, R.E.; Schepker, D.; McFarland, L.A. A review and theoretical framework for understanding external team contexts. J. Appl. Psychol. 2022, 107, 1052–1069. [Google Scholar] [CrossRef] [PubMed]
  35. Erdogan, B.; Bauer, T.N. Differentiated leader-member Exchanges: The buffering role of justice climate. J. Appl. Psychol. 2010, 95, 1104–1120. [Google Scholar] [CrossRef]
  36. Kwofie, E.T.; Aigbavboa, O.C.; Molobela, D.E. Nature of effects of dynamics of team control on project team effectiveness in construction project delivery. Int. J. Serv. Oper. Manag. 2020, 36, 360–380. [Google Scholar] [CrossRef]
  37. Mathieu, J.; Maynard, M.T.; Rapp, T.; Gilson, L. Team effectiveness 1997–2007: A review of recent advancements and a glimpse into the future. J. Manag. 2008, 34, 410–476. [Google Scholar] [CrossRef]
  38. Marks, M.A.; Mathieu, J.E.; Zaccaro, S.J. A temporally based framework and taxonomy of team processes. Acad. Manag. Rev. 2001, 26, 356–376. [Google Scholar] [CrossRef]
  39. Yang, Y.; Chae, H. The Effect of the OCB Gap on Task Performance with the Moderating Role of Task Interdependence. Sustainability 2022, 14, 61. [Google Scholar] [CrossRef]
  40. Pavez, I.; Gomez, H.; Liu, C.; Gonzalez, V.A. Measuring project team performance: A review and conceptualization. Int. J. Proj. Manag. 2022, 40, 951–971. [Google Scholar] [CrossRef]
  41. Zhang, H.; Tan, X.; Liu, C.; Chen, M. Do Team Boundary-Spanning Activities Affect Innovation Performance? Sustainability 2023, 15, 10605. [Google Scholar] [CrossRef]
  42. De Dreu, C.K.W. Cooperative outcome interdependence, task reflexivity, and team effectiveness: A motivated information processing perspective. J. Appl. Psychol. 2007, 92, 628–638. [Google Scholar] [CrossRef] [PubMed]
  43. Pieterse, A.N.; van Knippenberg, D.; van Ginkel, W.P. Diversity in goal orientation, team reflexivity, and team performance. Organ. Behav. Hum. Decis. Process. 2011, 114, 153–164. [Google Scholar] [CrossRef]
  44. Lei, X.H.; Liu, W.; Su, T.Y.; Shan, Z.W. Humble Leadership and Team Innovation: The Mediating Role of Team Reflexivity and the Moderating Role of Expertise Diversity in Teams. Front. Psychol. 2022, 13, 726708. [Google Scholar] [CrossRef]
  45. Chen, Y.; Yu, E.; Son, J. Beyond leader–member exchange (LMX) differentiation: An indigenous approach to leader—Member relationship differentiation. Leadersh. Q. 2014, 25, 611–627. [Google Scholar] [CrossRef]
  46. He, H. Incentive mechanism of utility tunnel PPP projects with user involvement. Sustainability 2023, 15, 10771. [Google Scholar] [CrossRef]
  47. Campion, M.A.; Medsker, G.J.; Higgs, A.C. Relations between work group characteristics and effectiveness: Implications for designing effective work groups. Pers. Psychol. 1993, 46, 823–850. [Google Scholar] [CrossRef]
  48. Tjosvold, D.; Law, K.S.; Sun, H. Effectiveness of Chinese teams: The role of conflict types and conflict management approaches. Manag. Organ. Rev. 2006, 2, 231–252. [Google Scholar] [CrossRef]
Figure 1. Theoretical hypothesis model.
Figure 1. Theoretical hypothesis model.
Sustainability 15 13429 g001
Figure 2. Analysis results of second-order three-factor structure verification factors for team performance.
Figure 2. Analysis results of second-order three-factor structure verification factors for team performance.
Sustainability 15 13429 g002
Figure 3. Analysis results of second-order three-factor structure verification factors for LMX differentiation.
Figure 3. Analysis results of second-order three-factor structure verification factors for LMX differentiation.
Sustainability 15 13429 g003
Figure 4. The moderating effect of LMX differentiation.
Figure 4. The moderating effect of LMX differentiation.
Sustainability 15 13429 g004
Table 1. Recent Research on Task Interdependence, Program Performance, and PPP Projects.
Table 1. Recent Research on Task Interdependence, Program Performance, and PPP Projects.
AuthorsMethodologyResearch Context
[2]A conceptual model of multidimensional performance evaluation, constructed by combining structural equation modeling with questionnaires, was quantitatively analyzed from the organizational management level. Subsequently, a system dynamics model was built to evaluate program performance dynamically.The operation period of PPP projects is generally long, and there will be a lot of uncertainty and risk in the project’s operation phase. The operation and maintenance decisions of the enterprise directly determine the realization of the stakeholders’ performance objectives.
[10]At the individual level, a cost-effective and user-friendly information system for evaluating and categorizing the individual performance of large software teams is proposed and implemented in MATLAB.A few researchers have proposed and implemented the use of information systems in team performance identification. However, the researchers have yet to deal with the performance measurement of team members. Instead, computer-based systems can help identify team outcomes and measure the processes involved in the team and can be effective for individual-level performance assessment.
[21]Consider the workflow direction from human resource management concerning job characteristics and the job demand-resource model. The effect of each type of task interdependence on employee proactive behavior is examined in terms of active and receptive task interdependence.Task interdependence significantly impacts employee proactive behavior, and the importance of improving employee aggressive behavior cannot be overstated. Most previous studies have viewed task interdependence as a single construct, ignoring that different types of task interdependence may have other effects on employee proactive behavior.
[23]From the project management level, a quantitative survey was conducted through a questionnaire, and the results were analyzed using statistical analysis software to produce the results.It is not just the presence of conflict that affects teams but how team members handle and manage conflict. Most studies have not considered specific team-related characteristics (task interdependence) and have ignored specific psychosocial and structural aspects of teams that could influence team members’ preferences for particular conflict management modes, which could influence team outcomes. These studies ignore team-specific psychosocial and structural characteristics of groups that may be related to intra-team processes and products.
[24]Adapting to discontinuous task change at the project management level is analogous to team redevelopment, drawing on the team compilation model. Survey, qualitative, and archival data from 115 manufacturing teams are used to support these arguments, and the implications of the findings for research and practice are discussed.Teams often must adapt to planned discontinuous task changes or fundamental changes in tasks, tools, and work systems. Although team adaptation theories have made substantial progress in explaining how teams respond to change, they need to adequately consider the unique effects that discontinuous task changes may have on teams. Such changes require a process of task interdependence among team members.
[26]A self-reporting approach, combined with statistical software, was used at the organizational management level to analyze the effect of interdependence among members on team performance outputs from a university context.As in most business organizations, this is essential in universities to bring teams together to work towards everyday tasks and goals. Teamwork became a transversal competency in the university field and a student requirement.
Table 2. Scale reliability analysis.
Table 2. Scale reliability analysis.
Potential VariablesConstructItemCorrected Term to Overall CorrelationCronbach’s α after Deleting ItemsCronbach’s α
TI (A)UnidimensionalA10.6490.6410.728
A20.6760.607
A30.6240.671
TP (B)Goal Achievement (B1)B110.7130.8420.872
B120.7180.841
B130.7390.832
B140.7380.833
Member Satisfaction (B2)B210.7220.8080.856
B220.7030.815
B230.6790.825
B240.6960.819
Competency Enhancement (B3)B310.7230.7390.833
B320.6790.783
B330.6780.784
LMXD (C)Interdependence (C1)C110.7110.8700.890
C120.7400.865
C130.6880.873
C140.7000.871
C150.7370.865
C160.6640.877
Favoritism (C2)C210.6520.7420.808
C220.6200.774
C230.7030.688
Crony Role (C3)C310.6720.7420.779
C320.6270.733
TR (D)UnidimensionalD10.6970.8760.893
D20.6710.879
D30.6950.876
D40.6880.877
D50.6470.882
D60.7110.874
D70.7210.873
Note: TI = Task interdependence; TP = Team performance; LMXD = Leader–Member Exchange Differentiation; TR = Team reflection.
Table 3. Questionnaire collection schedule.
Table 3. Questionnaire collection schedule.
Number of StudiesTimeForms of IssuanceQuantitiesNumber of Online QuestionnairesNumber of Offline QuestionnairesRecovery Rate
Number one (pilot study)3 January 2022 to 28 April 2022All Online524 copies524 copies0 copies60.88%
Number two8 May 2022 to 5 September 2022Online and offline541 copies452 copies89 copies70.61%
Table 4. Descriptive information of respondents (N = 701).
Table 4. Descriptive information of respondents (N = 701).
FeaturesClassificationFrequencyProportion (%)Effective Proportion (%)
AgeUnder 30 years old18318.3426.11
30–40 years old30230.2643.08
Over 40 years old21621.6430.81
Organizational characteristicsState-owned enterprises30230.2643.08
Private enterprises20720.7429.53
Government19219.4427.39
Education levelUndergraduate or below26326.3537.52
Undergraduate29629.6642.23
Master or above14214.2320.26
Years of work3 years or less15615.6322.25
3–5 years20520.5429.25
5–10 years14114.1320.11
10 years or more19919.9428.39
Team duration1 years or less13813.8319.69
1–3 years24524.5534.95
3 years or more31831.8645.36
Identity featuresAdministrators26926.9538.37
General members43243.2961.63
Table 5. Interpretation of the common method bias test.
Table 5. Interpretation of the common method bias test.
IngredientAggregatePercentage of Initial Eigenvalue VarianceCumulative %AggregateExtracting the Load Squared and Percentage of VarianceCumulative %
112.53937.18437.18412.53937.18437.184
24.33111.53848.7214.33111.53848.721
32.4677.7156.4322.4677.7156.432
41.0722.75859.1901.0722.75859.190
50.7712.4166.193
60.7272.27268.465
70.7042.20170.666
80.6061.89472.56
90.5921.85174.412
100.5681.77476.185
110.5481.71377.898
120.5341.66879.566
130.5081.58781.153
140.4831.5182.663
150.4641.4584.113
160.4531.41685.529
170.4321.35186.88
180.4131.2988.17
190.3851.20389.373
200.3561.11290.485
210.3381.05691.541
220.3130.97992.52
230.3060.95693.476
240.290.90594.381
250.270.84395.224
260.2540.79496.019
270.2420.75896.776
280.2320.72697.502
290.2240.70198.203
300.2030.63498.837
310.1940.60799.444
320.1780.556100
Table 6. Measurement scale factor analysis.
Table 6. Measurement scale factor analysis.
VariablesKMOBartlett’s TestDegrees of FreedomSignificance
TI0.680127.0623.0000.000
TP0.967354.6216.0000.000
LMXD0.960207.6353.0000.000
TR0.910693.80321.0000.000
Note: TI = Task interdependence; TP = Team performance; LMXD = Leader–Member Exchange Differentiation; TR = Team reflection.
Table 7. Results of discriminant validity test.
Table 7. Results of discriminant validity test.
ModelX2/DFRMSEAGFIAGFICFINFI
Original model1.1730.0290.8690.8490.9810.883
Three-factor model I1.3410.0400.8480.8260.9620.866
Three-factor model II3.4680.1090.4670.3900.7230.653
Three-factor model III2.4860.0850.6480.5970.8330.751
Two-factor model2.6160.0880.6410.5910.8180.737
Single-factor model4.3710.1270.4210.3420.6190.559
Note: Three-factor model I: Task interdependence + Team performance, Leader–Member Exchange differentiation, Team reflection; Three-factor model II: Task interdependence, Team performance + Leader–Member Exchange differentiation, Team reflection; Three-factor model III: Task interdependence, Team performance, Leader–Member Exchange differentiation + Team reflection; Two-factor model: Task interdependence + Team performance, Leader–Member Exchange differentiation + Team reflection; Single-factor model: Task interdependence, Team performance, Leader–Member Exchange differentiation, Team reflection.
Table 8. Model AVE and CR indicator results.
Table 8. Model AVE and CR indicator results.
VariablesCRAVE
TI0.7280.472
TP0.9470.619
LMXD0.9380.580
TR0.8930.544
Table 9. Descriptive statistics and correlation matrix.
Table 9. Descriptive statistics and correlation matrix.
VariableMSDTIGAMSCBMDFaTFTR
TI3.6890.9521
GA3.6791.0090.577 **1
MS3.6160.9590.522 ***0.862 **1
CB3.6461.0510.519 **0.852 *0.855 ***1
MD3.3830.974−0.389 *−0.586 *−0.557 **−0.575 **1
Fa3.2201.095−0.382 **−0.459 **−0.430 *−0.496 **0.332 ***1
TF3.2271.199−0.302 **−0.421 **−0.391 **−0.429 **0. 308 **0.540 *1
TR3.6630.9020.560 **0.522 ***0.551 *0.490 **−0.382 **−0.357 *−0.274 **1
Note: Standard errors at the prefectural level are in parentheses. * p < 0.1, ** p < 0.05, *** p < 0.01.
Table 10. Results of regression analysis (N = 701).
Table 10. Results of regression analysis (N = 701).
VariableTeam ReflectionTeam Performance
Model 1Model 2Model 3Model 4Model 5Model 6Model 7Model 8Model 9
βββββββββ
Age0.0030.010.01−0.12−0.14 *−0.13 *−0.16 **−0.11 *−0.12 **
Attribute0.070.060.050.15 *0.13 *0.100.14 *0.080.08
Degree−0.04−0.02−0.05−0.28 **−0.21 *−0.22 **−0.22 **−0.17 **−0.17 **
TI0.55 *0.44 **0.28 ** 0.54 ** 0.37 **
TR 0.51 **0.32 **0.29 **0.17 **
LMXD −0.23 **−0.17 * −0.52 **−0.46 **
TI × LMXD −0.14 *
TR × LMXD −0.16 **
R20.320.360.440.130.420.390.480.590.65
F24.20 **23.19 **26.10 **10.46 **36.11 **32.42 **37.43 **59.82 **62.50 **
Note: TI = Task Interdependence; TP = Team Performance; LMXD = Leader–Member Exchange Differentiation; TR = Team Reflection; Standard errors at the prefectural level are in parentheses. * p < 0.1, ** p < 0.05.
Table 11. Aggregate, direct, and mediated effects breakdown tables.
Table 11. Aggregate, direct, and mediated effects breakdown tables.
Impact PathwaysEfficacy ValueBoot Standard ErrorBoot CI Lower BoundBoot CI Upper BoundRelative Effect Value
Total effect0.5370.0590.4090.643
Direct effect0.3660.0610.2460.48868.188%
Mediating Effects of TR0.1720.0410.0940.25231.812%
Table 12. LMX differentiation has a moderating mediation effect test result.
Table 12. LMX differentiation has a moderating mediation effect test result.
Mediation VariablesLMX DifferentiationConditional Indirect Effects
Effect95% Error Correction Confidence Interval
CoefficientStandard ErrorLower BoundUpper Bound
Team reflection−1SD0.1430.008−0.0160.022
+1SD−0.0010.0450.0680.245
Between-group differences−0.1440.0430.0840.223
Table 13. Comparison of LMX differentiation studies in China and the West.
Table 13. Comparison of LMX differentiation studies in China and the West.
Western ConceptualizationChinese Conceptualization
Theoretical
Foundation
Equity TheorySocial Identity TheoryRole TheoryEquity TheoryMotivation Theory
Management ConnotationWest describes the degree of variation in the quality of all subordinate leader-member exchanges within a workgroup [35].Native Chinese conceptualizations used to describe differential treatment by leaders reveal mainly the selfish behavior of leaders in the context of the Chinese differential culture [27,31].
Empirical findingsBased on role theory, the division of roles brings about an increase in management efficiency and a favorable impact on the organization, while based on social identity theory and equity theory, differential treatment by leaders is likely to prompt employees to identify with their small groups or circles, which will result in fighting among the processes and a negative impact on the organization [30,35].Existing studies have mainly sampled firms in mainland China and have consistently found that leadership differential treatment is negatively associated with many positive work outcomes. LMX differentiation negatively affects team performance [27,31,45].
Disclaimer/Publisher’s Note: The statements, opinions and data contained in all publications are solely those of the individual author(s) and contributor(s) and not of MDPI and/or the editor(s). MDPI and/or the editor(s) disclaim responsibility for any injury to people or property resulting from any ideas, methods, instructions or products referred to in the content.

Share and Cite

MDPI and ACS Style

Shi, S.; Zhao, F.; Zhang, H.; Li, H.; Ye, X. Research on the Influences of Task Interdependence on Team Performance in the Context of the Leader–Member Exchange Differentiation in the Public–Private Partnership Projects. Sustainability 2023, 15, 13429. https://doi.org/10.3390/su151813429

AMA Style

Shi S, Zhao F, Zhang H, Li H, Ye X. Research on the Influences of Task Interdependence on Team Performance in the Context of the Leader–Member Exchange Differentiation in the Public–Private Partnership Projects. Sustainability. 2023; 15(18):13429. https://doi.org/10.3390/su151813429

Chicago/Turabian Style

Shi, Shiying, Fangfang Zhao, Han Zhang, Hujun Li, and Xiaosu Ye. 2023. "Research on the Influences of Task Interdependence on Team Performance in the Context of the Leader–Member Exchange Differentiation in the Public–Private Partnership Projects" Sustainability 15, no. 18: 13429. https://doi.org/10.3390/su151813429

APA Style

Shi, S., Zhao, F., Zhang, H., Li, H., & Ye, X. (2023). Research on the Influences of Task Interdependence on Team Performance in the Context of the Leader–Member Exchange Differentiation in the Public–Private Partnership Projects. Sustainability, 15(18), 13429. https://doi.org/10.3390/su151813429

Note that from the first issue of 2016, this journal uses article numbers instead of page numbers. See further details here.

Article Metrics

Back to TopTop