Abstract
Emerging changes in water availability in the U.S. state of Florida have been recognized as a combined result of human perturbations, natural variability, and climate change. Florida is particularly susceptible to the impacts of the sea level rise due to its extensive coastline, low elevation, and lack of topographic relief to promote drainage. Owing to the porous nature of the state’s aquifer systems, saltwater intrusion into coastal areas is an evolving threat. Additionally, anthropogenic intervention has increased the contribution of nutrients and sediments to many lakes, reservoirs, and rivers, subsequently causing eutrophication and sedimentation problems. The state is facing the challenges of ocean acidification head-on since, in many regions, groundwater aquifers are connected to coastal waters, where water circulates from land to sea through the underlying porous limestone. Additionally, as Earth’s atmosphere warms up, extreme weather events are expected to change the environmental fate of contaminants in the aquatic environment, and this, in turn, may impact the type and distribution of contaminants in source waters. This review paper highlights five major emerging themes that are of significance for sustainable long-term management of Florida’s water resources: (i) influences of changing climate on groundwater aquifers; (ii) implications of climate change on eutrophication; (iii) impacts of changing climate on the Everglades; (iv) climate-change influence on runoff and sediment loads; and (v) influence of ocean acidification on coastal water. The findings of this review indicate that, in the future, the changing global climate will likely alter numerous environmental conditions in Florida, and the resulting changes may impact the natural properties of the state’s fresh and coastal waters. The findings are expected to mobilize knowledge in support of the changing climate to assist Floridians to adapt to its effects.
1. Introduction
Earth’s climate has changed many times in many different ways over the course of geologic history; however, it is the increased rate and the magnitude of climate change occurring presently that is of serious concern globally [,]. According to climate scientists, Earth’s climate is highly likely to further evolve over this century and beyond [,]. The current change in our climate is of particular importance as it has been significantly influenced by anthropogenic activities since the mid-twentieth century and is continuing at a rate which is unparalleled over millennia [,,]. During the past and present century, human activities have released large quantities of heat-trapping greenhouse gases (GHGs) into the atmosphere that have already caused warming of the Earth and have triggered widespread changes to the climate [,]. The magnitude of future climate change depends predominantly on the amounts of GHGs and aerosols in Earth’s atmosphere and the sensitivity of our planet’s climate to these emissions [,].
1.1. Global Warming and Climate-Change Impacts
Changes in extreme weather and climate events, such as heat waves, droughts, severe storms, flooding, and wildfires, are the primary way that the majority of Earth’s population experiences global climate change [,]. Global warming is just one aspect of climate change that refers to the rise in Earth’s temperatures primarily due to the rising levels of heat-trapping gases in Earth’s atmosphere. Sea level rise occurs predominantly as a result of two factors associated with global warming: (i) the added water from melting ice sheets and glaciers and (ii) the expansion of seawater due to the higher temperature of the water []. Scientists predict that it is highly likely that the global mean sea level will continue to rise throughout the twenty-first century and beyond and that the sea level will continue to rise well after GHG emissions are reduced [,,,]. Regional sea level projections show that, by the end of this century, for approximately 95% of the Earth’s oceans, the regional sea levels rise will be positive []. Sea level rise at specific locations is governed by local factors such as ground settling, flood-protection infrastructure, coastal erosion, regional ocean currents, and impacts of glacial isostatic adjustment [,]. Both isostatic and tectonic land movements are likely to continue throughout the 21st century at rates that are not affected by changing climate, and by 2100, many areas which area now experiencing relative sea level fall will instead experience an increase in sea level relative to land []. Higher global sea levels are expected to worsen the influences of storm surges, high tides, and wave actions []. It is noteworthy that, over the past few decades, even the comparatively small increases in climate-driven sea level rise have led to greater storm-surge elevations, coastal flooding, and land erosion in many areas across the globe, depending on the coastal topography and the presence of coastal protection structures [,,]. Furthermore, in the future, rising sea levels can increase the inundation of low-lying coastal areas, estuaries, and wetlands; change the tidal range in rivers and bays; alter upland soil and water chemistry; and increase salinity levels of estuaries [].
Coastal communities across the globe, from Bangladesh to Florida, are struggling with difficult choices of how to respond to the rising sea levels [,]. Globally, issues related to climate-change effects on water resources are a combination of inland and coastal flooding, storm surges, saltwater intrusion, low flows and droughts, and sedimentation problems, as well as the impact on aquifers []. In the U.S.; low-elevation coastal states are highly vulnerable to rising sea levels and coastal storm surges []. Florida, California, Louisiana, North Carolina, and South Carolina top the list of exposed U.S. states based on the area of dry land less than 1 m above high tide levels []. The United States Environmental Protection Agency’s [] analyses suggest that between 1996 and 2011, 52 km2 of dry land and wetland were converted to open water along the eastern coast of the U.S.; with considerably more land lost in the southeastern region due to effect of changing climate. Currently, the coastal communities in the southeastern coast are experiencing warmer temperatures and the effects of sea level rise, along with seawater flooding [,]. Since 1895, the average temperature in the U.S. has risen by 0.8 to 1.1 °C, and most of the increase has occurred since the 1970s []. Additionally, since the late 1970s, the U.S. has warmed faster than the global rate, and between 1901 and 2020, areas across the country experienced uneven warming. According to the USEPA [], the northern and the western parts of the U.S. have experienced temperature increases the most, whereas the south-eastern and southern regions have seen somewhat smaller changes. In particular, the sea level around Florida, the southeasternmost state, is projected to rise from 0.31 to 1.2 m during the next century [,]. With the rising sea level, coastal storm surges are expected to reach further inland, and even without storms, the sea level will continue to influence the state’s shoreline wetted by tides []. The Florida Peninsula has warmed by about 0.6 °C during the last century [,], and the forecasted global warming is expected to increase the state’s average temperature by 2.2 to 5.6 °C [], which is expected to increase aridity in the future [].
1.2. Global Climate Projections through Coupled Model Intercomparison Project
The World Climate Research Programme develops global climate projections through its Coupled Model Intercomparison Project (CMIP) approximately every 5 to 7 years []. The Coupled Model Intercomparison Project Phase 3 (CMIP3), released in 2010, is the model ensemble for IPCC’s fourth assessment report. Based on CMIP3 climate and hydrology projections specific to Florida, Obeysekera et al. [] determined that, for 2060, reasonable projections are a 1.5 °C increase in temperature, a ±10% change in precipitation, and a 0.46 m rise in sea levels. Fan et al. [] compared CMIP Phases 5 (CMIP5) and 6 (CMIP6) by simulating temperature extremes over the global terrestrial surface. The results reveal that there is a significant difference in precipitation indices, with the CMIP5 models tending to predict intense precipitation extremes that are closer to the observations. Furthermore, the changes in CMIP6 index values between 1951 and 2014 mostly support the trend of rising warm and declining cold extremes. It is important to note that the science of climate change is complicated, and it is likely that even remote influences of any observed climate change in the characteristics of El Niño–Southern Oscillation can affect seasonal climatic variability over Florida []. Long-term projections of climate change in Florida are complicated due to its narrowness and ocean current influence on weather and climate [,]. Although it is not possible to predict with certainty the extent or timeline of sea level rise to Coastal Florida, it is well-recognized that the projected climate variabilities will pose substantial threats to Floridians and various natural systems and have direct consequences on the state’s surface- and groundwater resources [,,,].
1.3. Climate-Change Impacts on Florida’s Water Resources
It is well recognized that Florida is already experiencing some of the deleterious impacts of Earth’s changing climate, such as increased coastal flooding, saltwater intrusion into surface and groundwater resources, and the erosion of beaches and barrier islands [,,,,]. In the future, the changing climate is expected to intensify the frequency and intensity of hurricanes (Saffir–Simpson Hurricane Scale Categories 4 and 5) as well as associated wind risks and the risk of hurricane-induced storm surges at low-lying coastal communities [,]. Additionally, the combination of low elevation, upstream surface-water diversion, porous karstic bedrock, and extensive coastline makes Florida particularly vulnerable to seawater intrusion [,,,]. Changes in climate and sea level are threatening the quality of water supply along the Atlantic and Gulf Coasts of Florida. Approximately half of the 67 counties in Florida border the Gulf of Mexico or the Atlantic Ocean, and 76% of Floridians resides in coastal counties []. Sea level rise has resulted in the intrusion of saltwater in Florida’s coastal groundwater resources; however, the extent of saltwater encroachment varies extensively among localities and hydrogeological environments [,]. Saltwater intrusion in aquifers can make the groundwater unusable without additional processing. According to the data on water withdrawal, groundwater resources provide roughly 63% of Florida’s overall water supply and 85% of its public water []. Even with a mean annual rainfall of 137 cm across Florida [], fresh groundwater withdrawal is currently close to the limits of sustainability in much of the state due to environmental issues and demands for natural-resource constraints [,,].
Florida is the third most populous state in the country, with a population of over 21 million [], and the population is increasing at an estimated 300,000 annually, particularly along the coastal shoreline counties []. The combined impacts of changing climate and future population growth are expected to create additional demand on Florida’s groundwater resources, which are currently nearing their sustainable limits [,]. By 2030, the state’s demand for freshwater is projected to increase by approximately 28% compared to 2005 levels (USEPA 2013a). As the water resources which Floridians currently depend heavily on for their water supply become susceptible to the impacts of changing climate, local governments are under increasing pressure to sustainably manage Florida’s water supply, optimize water allocations, and develop water conservation techniques [,,].
Traditionally, the term ‘water resources’ represents freshwater resources, with an emphasis on surface-water and groundwater resources. However, every region in Florida is primarily coastal, with no part of the state located more than 97 km from the Atlantic or the Gulf of Mexico []. It is well recognized that Florida’s coastal urban and natural ecosystems will be impacted by the future impacts of changing climate that are predicted to exacerbate sea level rise, heavy precipitation events, saltwater intrusion, nutrient pollution, and threats to water quality [,,,,]. As such, this paper recognizes the state’s coastal water as an integral part of Florida’s water resources and includes a range of effects of changing climate on this vulnerable resource.
There is increasing concern regarding the impact of ocean acidification on Florida’s carbonate foundation []. The combination of increasing temperature, ocean acidification, and anthropogenic activities related to ocean changes is already impacting the health and diversity of Florida’s coral reef system, which is the largest barrier reef ecosystem in the continental U.S. [,]. Pollution and poor seawater quality can hamper the growth and reproduction of corals, alter ecosystem functions, and cause disease-related mortality in sensitive species [,]. If the present trends in GHG emissions continue, changes in the seawater chemistry will continue to occur, owing to the absorption of increased GHGs by the ocean []. Scientists project that, unless GHG emissions are curbed, corals may not be able to build calcium carbonate skeletons due to the rise in seawater acidity [,]. This is alarming, as these large underwater structures provide a habitat, food, and breeding grounds for a large variety of marine organisms [].
1.4. Sustainable Development Goals—Florida’s Water Resources
Goal 13 of the 2030 Agenda for Sustainable Development seeks to promote urgent action to combat climate change and its impacts. Sustainable Development Goal (SDG) 6 is to ‘ensure availability and sustainable management of water and sanitation for all’, and Target 6.6 specifically calls for groundwater protection: ‘By 2020, protect and restore water-related ecosystems, including mountains, forests, wetlands, aquifers and lakes’ []. This target aims to stop the deterioration of these ecosystems and to support the reclamation of those that are already damaged. Many countries are finding it difficult to plan, resource, and implement action under SDG 6, as the changing climate impacts ecosystems, which play a crucial part in storing freshwater and maintaining water quality [,,]. In the long run, solving challenges of water security associated with changing climate and the sustainable management of natural resources will be a crucial element in ensuring the sustainability of natural ecosystems. Water-resource sustainability in Florida is increasingly challenged by the impact of climate change, which can have major influences on the hydrologic balance and availability of water for public supply []. Florida’s five Water Management Districts (FWMDs) actively promote and support the local government’s alternative water-supply projects to reduce the reliance on freshwater resources to achieve a more sustainable future []. According to the Florida Department of Environmental Protection [], Florida is recognized as a national leader in water reuse, and the state reuses 3.1 BL of reclaimed water per day. Sixty-three out of Florida’s sixty-seven counties reuse treated wastewater, and the remaining counties, which do not reclaim wastewater, have fewer than 20,000 inhabitants []. The efforts to reduce the state’s reliance of groundwater have led to investments in alternative water-supply sources, including seawater, brackish groundwater, surface-water capture and storage, stormwater, reclaimed water, aquifer storage, and recovery projects [,]. Alternative water-supply sources, which are expected to supplement the traditional water supply, are expected to be an important part of the state’s strategy to meet future water demands [,]. In addition, changes in precipitation and runoff timing, coupled with rising temperatures, are expected to change the environmental fate of contaminants in the aquatic environment, which will likely influence the type and distribution of contaminants in source waters.
1.5. The Objectives of this Review Paper
In recent years, both the scope and depth of climate-change research have increased steadily with new scientific research conducted on climate-change effects on Florida’s coastal and marine ecosystems, water supplies and management issues, eutrophication, surface runoff, and sediment load variability, as well as coastal ocean chemistry [,,,,]. Recently, Obeysekera et al. [] conducted a review on the influences of changing climate on Florida’s major terrestrial water resources based on individual studies. This review highlighted the effects of climate change on four major regions: the Greater Everglades ecosystem, the Tampa Bay region, the St. Johns River Basin, and the Suwannee and Apalachicola River Basin. The findings suggest that, across the state, projected climate change will have a substantial effect on water supply, water levels in environmentally sensitive areas, flood protection, and water quality. However, to the best of the author’s knowledge, none of the past studies or reviews provide a detailed and systematic assessment of climate-change influences on the freshwater and coastal resources of Florida. This review paper is based on both scholarly and non-scholarly materials that are available on the potential effects of the changing climate on Florida’s water resources. This paper systematically reviews the state’s water-related climate-change issues in a holistic manner and incorporates both inland (surface- and groundwater) and coastal water resources. The main goal of this review is to make a comprehensive study of the projected effects of climate change on Florida’s major freshwater systems, as well as its coastal water. It includes all the factors, e.g., sea level rise and saltwater intrusion, effect of global warming on eutrophication, climate-change influences on runoff and sediment loads, as impacts of ocean acidification on coastal water resources. Furthermore, the review aims to mobilize knowledge in support of the changing climate to assist Floridians to adapt to its effects.
2. Major Impacts of Climate Change on Florida
2.1. Changes in Florida’s Temperature and Precipitation Patterns, and Rising Sea Level
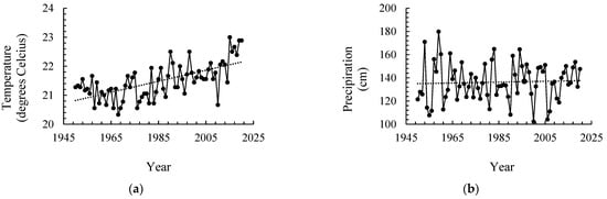
Earth’s climate system is highly complex, and scientists are yet to fully understand the details of the system, as much uncertainty remains regarding what the climate will be like in the future [,]. Historical temperature and precipitation data show rises and falls in temperature and precipitation in Florida (Figure 1), possibly due to the influences of natural cycles, changing climatic conditions, and rapid changes in land use and land cover due to human activities [,]. In the future, projected global warming is expected to raise Florida’s average temperature, which, in turn, will increase the rates of evaporation of surface water and subsequently influence the amounts, timings, and intensity of precipitation [,]. Using various sources of land air temperature, littoral water temperature, and sea surface temperature, Maul and Sims [] discovered that Florida’s coastal air and water temperatures have increased by 0.2–0.4 °C during the last 160 years. The increase in temperature can have profound impacts on the rate of water loss from waterbodies and aquatic ecosystems [].
The state of Florida is projected to see an increase in heavy precipitation events within the next century []. Changes in the precipitation pattern are expected to indirectly influence the fluxes of water between the oceans, the surface and subsurface reservoirs, the atmosphere, and the biosphere []. Although various climate models predict a steady increase in future temperatures, future precipitation has not yet been reliably projected. []. Based on a review of downscaled general circulation models, Obeysekera et al. [] found that reasonable changes in Florida’s annual rainfall are ±5% and ±10% for 2040 and 2070, respectively. Nonetheless, if these projections are realized, the resulting changes would have a profound impact on the quality and quantity of surface water and groundwater in Florida [,].

Figure 1.
Florida’s average annual trend (1950–2020) of (a) temperature and (b) precipitation. Data taken from Southeast Regional Climate Center [].
Further complicating the issue of groundwater supply under a changing climate is sea level rise, a major consequence of global warming. During the height of the last ice age, the global sea level was 122 m lower than it is today []. During the past century, on Florida’s Atlantic Coast, the shoreline position has advanced by approximately 20 cm·y−1; the future increase in sea level depends on GHG emissions, along with various atmospheric and oceanic processes []. Figure 2 presents recent model projections of sea level rise and inundation scenarios for Florida. In the future, the rising sea level will inundate the wetlands and low-lying areas, erode beaches, aggravate coastal flooding, and affect groundwater salinization [,].

Figure 2.
Florida sea level rise and inundation scenarios based on data received in 2015. Data taken from University of Florida Geoplan Center (https://www.geoplan.ufl.edu/, accessed on 25 June 2023).
2.2. Future Impacts of Hurricanes and Tropical Storms in Florida
The Gulf Stream, a strong current that brings large quantities of warm water from the Gulf of Mexico into the North Atlantic [,], impacts the paths of hurricanes, along with their strength and intensity, as they draw up the heat from the warm water []. Recently, Camelo et al. [] investigated projected climate-change effects on hurricane storm surge flooding in the coastal regions of the U.S. The findings of this study indicate that, on average, the volume and extent from hurricane storm surge flooding will rise over this century, with substantial increases along Florida’s western coastline. These researchers simulated 21 Atlantic–Gulf storms, which affected the continental U.S. between 2000 and 2013. Their findings indicate that the inundation volume increases for 14 of the 21 modeled storms, and the average change across all 21 storms is +36%. The flooding extent rises for 13 storms, and the average change for all storms is +25%. Furthermore, the findings imply that, by the end of this century, hurricanes will generate a significantly high-magnitude storm surge in concentrated areas, in contrast to widespread low-magnitude surges. Climate scientists have detected signs that the Gulf Stream may be weakening due to climate change [,]. Numerous researchers have linked sea-level-rise acceleration along the U.S. mid-Atlantic coast to a slowdown of the Gulf Stream through dynamic response [,,]. A weaker Gulf Stream would lead to rising sea levels along Florida’s east coast. During sea level rise, saltwater may intrude into coastal aquifers and pose a threat to drinking water quality [,].
2.3. Eutrophication of Florida’s Lakes and Estuaries
Eutrophication of water bodies is characterized by a significant increase of plant and algal growth due to an overabundance of nutrients—primarily nitrogen and phosphorus [,]. Eutrophic conditions can occur naturally or be induced by anthropogenic activities and result in the deterioration of many freshwater and coastal marine ecosystems across the globe [,]. Harmful algal and cyanobacteria blooms (HACBs), fish kills, and hypoxic zone are some of the problems caused by eutrophication. When aquatic plants and organisms die, decomposition reactions consume dissolved oxygen. Dissolved oxygen can become critically low during the decay process, particularly in waterbodies with algal abundance []. Hypoxic waters are conventionally defined as those with dissolved oxygen levels less than 2 mg L−1 []. Hypoxia kills aquatic organisms, which cannot escape, and hence the hypoxic zone is also referred to as the ‘dead zone’. Gulf of Mexico dead-zone events occurring near Florida’s West Coast are of particular concern, as most aquatic organisms either die or are displaced in pursuit of a more sustainable habitat [,]. Over the past several decades, many scientists and researchers have suggested that these symptoms of cultural eutrophication in Florida’s lakes and estuaries will be made worse by climate change in the future [,,,,].
2.4. Ocean Acidification
Ocean acidification is a long-term change in seawater chemistry because of carbon dioxide (CO2) absorption from the atmosphere, which is proceeding at a rate higher than that observed at any other time in the past 300 million years []. Atmospheric CO2 dissolves into seawater to produce aqueous CO2 and also forms carbonic acid, a weak acid that rapidly dissociates to produce hydrogen ions and bicarbonate ions []. Over the past century, anthropogenic activities have released a substantial amount of CO2 into the atmosphere primarily due to fossil fuel combustion and land-use changes, and Earth’s oceans have absorbed CO2 at an increasingly rapid rate, changing the ocean’s chemistry and leading to ocean acidification []. Between 2009 and 2018, the surface of the ocean absorbed 2.5 ± 0.6 Gt·C y−1 of the 11.5 ± 0.9 Gt·C y−1 of human-produced CO2 [].
Emerging research shows that acidification in Southeastern U.S. estuaries and coastal waters is influenced by rising atmospheric CO2, variations in biological activity, runoff from agricultural land, and increased nutrient loads [,]. The state of Florida has 2173 km of coastline along the Gulf Coast and Atlantic coastal plains []. Many areas along the Florida Coast have had significant changes in pH, salinity, temperature, and aragonite saturation over the past several decades []. Ocean acidification may cause changes in Florida’s coastal ecosystem structure and dynamics, which can influence biological activities and, subsequently, impact the export of organic carbon and calcium carbonate from the ocean’s surface [,]. Changing climates and eutrophication problems, along with poorly buffered fluvial networks, can intensify acidification locally and influence water quality and quantity [].
3. Water Management Districts in Florida
The Florida Water Resources Act is the main statutory scheme governing Florida’s water. This act formed Florida’s five Water Management Districts (Figure 3): (i) the South Florida Water Management District (SFWMD), (ii) the Southwest Florida Water Management District (SWFWMD), (iii) the St. Johns River Water Management District (SJRWMD); (iv) the Suwannee River Water Management District (SRWMD), and (v) the Northwest Florida Water Management District (NWFWMD). The consumptive usage of water in the state is regulated by programs implemented by FWMDs []. The Florida Department of Environmental Protection (FDEP) supervises the five FWMDs that administer water-supply and water-quality protection programs at the regional level. The Division of Water Resource Management of FDEP implements state laws to protect the quality of drinking water, groundwater, rivers, lakes, estuaries, and wetlands. The FDEP is responsible for the administration of Florida’s water resources at the state level and exercising overall supervisory authority over the FWMDs. Furthermore, the FDEP has the principal responsibility of directing the implementation of the state-wide coastal management program.

Figure 3.
Florida’s five Water Management Districts []. GIS data taken from DIVA-GIS (https://www.diva-gis.org/, accessed on 25 June 2023).
4. Florida’s Water Resources
Florida has an abundance of water, with over 1700 streams and rivers; more than 7700 lakes; 700 springs; 11 million acres of different types of wetlands, including the Everglades in South Florida and Green Swamp in Central Florida; and numerous underground aquifers [,]. The state’s surface-water resources are a main source of recharge for the underlying groundwater aquifers, which are the dominant sources of freshwater for municipal, industrial, and irrigational uses []. The Floridan Aquifer System, which underlies the state, is the predominant source of potable water for much of Florida []. Florida’s subsurface and surface freshwater systems are highly interconnected, and potential changes to weather patterns are projected to influence the quantity and quality of water available to recharge and replenish water resources [].
The state’s surface water is predominantly used for agro-irrigation (51%) and power generation (26%; []). The largest of Florida’s streams by volume of water is the Apalachicola River, which begins at the outfall of Lake Seminole located at the confluence of the Chattahoochee and Flint Rivers and flows south into the Gulf of Mexico []. The St. John’s River, the longest river in Florida, flows northward from Indian River County and empties into the Atlantic Ocean at Jacksonville. South of Orlando, the Kissimmee–Okeechobee–Everglades basin extends from Central Florida to the southern tip of the peninsula []. Numerous streams in South Florida have been modified by an extensive system of canals and levees, which provide flood control, drainage, and irrigational water supply in the lower east coast []. Lake Okeechobee is the heart of the Central Everglades. Large lakes are part of the state’s freshwater drainage system. According to the SWFWMD [], currently, the main issue impacting the water quality of the state’s surface-water systems is pollution from stormwater runoff, along with human and agricultural discharges. Table 1 presents the five FWMDs, their jurisdiction, and the main climate change-issues faced by each WMD, as well as their plans for climate-change adaptation.

Table 1.
Florida’s Water Management Districts, their jurisdictions, main climate-change issues, and climate-change-adaptation planning.
Water Withdrawals and Their Uses in Florida
In 2015, approximately 1.22 gigalitres per day (GL day−1) of water was withdrawn in the U.S. for all uses, and more than one-half of all water (fresh and saline) withdrawn was accounted for by 12 States, including New York, Illinois, Colorado, North Carolina, Michigan, Montana, Nebraska California, Texas, Idaho, Florida, and Arkansas []. During the same year, the total amount of water withdrawn within Florida was about 57.9 billion liters per day (BL day−1), surface water accounted for 37% of the freshwater extractions, and groundwater accounted for the remaining 67% []. Table 2 details the estimated water withdrawal by FWMDs during 2015 []. In 2015, Florida had a population of nearly 19.8 million []. During the same year, groundwater, primarily withdrawn from the Floridan Aquifer, provided drinking water for 92% of the total population in Florida, whereas fresh surface water provided drinking water for the remainder [,]. In Florida, non-potable groundwater is identified and accounted for as saline water (Table 2). Additionally, non-potable groundwater extracted for public supply in Florida is treated through a desalination process or blending with freshwater in order to meet drinking-water standards set by the FDEP Regulation, 1990. Over the years, serious concerns have been raised regarding the overallocation of the state’s groundwater [,].

Table 2.
Estimated water withdrawal by FWMDs during 2015 (ML·day−1). The data were taken from Marella and Dixon [].
New population projections from the Office of Economic and Demographic Research [] indicate that Florida’s population will grow, on average, annually by 314,977 between 2020 and 2025 []. The state’s population is expected to increase to 22.8 million by 2024 and to 26 million in 2040 []. Future population growth in Florida can be expected to escalate the demand and competition for water for domestic, agricultural- and recreational-irrigation, industrial, and municipal usage [].
5. Climate-Change Impact on Florida’s Water Resources
5.1. Groundwater Resources of Florida
In Florida, groundwater is the primary source of urban potable water []. The principal aquifers in Florida include the Floridan Aquifer System, the Sand-and-Gravel Aquifer, the Surficial and Intermediate Aquifers, and the Biscayne Aquifer (Figure 4). The Floridan Aquifer System extends across the entire state and supplies freshwater to cities such as Tallahassee, Jacksonville, Gainesville, Orlando, Daytona Beach, Tampa, and St. Petersburg []. Based on permeability, the Floridan Aquifer was divided into the Upper Floridan Aquifer and Lower Floridan Aquifer []. During the last glacial period, the whole aquifer system was recharged through infiltrating atmospheric precipitation []. Additionally, the rise in sea level caused an increase in hydraulic head, which subsequently lowered the rate of groundwater movement, and its confined freshwater within the Upper Floridan Aquifer and allowed salt water to mobilize into the Lower Floridan Aquifer []. In South Florida, the Floridan is too saline to use for drinking or agricultural water sources [].
Florida’s surficial or shallow aquifer system is separated from the Floridan Aquifer System by a confining bed of clay []. The surficial Sand-and-Gravel Aquifer in the western panhandle and the unconfined surficial Biscayne Aquifer (carbonate) in the southeast are used for drinking water []. The highly productive Biscayne Aquifer is recharged primarily from rainfall events and, during dry periods, from canals connected to Lake Okeechobee []. An extensive system of canals and other control systems and pumping stations manage the Biscayne Aquifer and other freshwater resources in South Florida []. The Surficial Aquifer System and the Intermediate Aquifer System typically produce lesser amounts of freshwater and supply water to smaller public water supplies in SWFWMD [].

Figure 4.
Principal aquifers of Florida exposed at or near the land surface []. GIS data were taken from DIVA-GIS (https://www.diva-gis.org/, accessed on 25 June 2023).
In South Florida and the eastern portion of Peninsular Florida, one or more aquifers exist between the local surficial aquifer and the underlying Floridan Aquifer System; these aquifers are referred to as Intermediate Aquifers [,]. The sediments which comprise the Intermediate Aquifers exist over most parts of the state; however, in certain areas, the sediments are relatively impermeable and do not yield water to supply wells. As a result, the Intermediate Aquifers are not widely used, and, hence, the aquifers are not well-characterized []. The Intermediate Aquifers are predominantly used for supplying water to the southwest part of the state [].
5.1.1. Florida’s Aquifers
The International Panel on Climate Change (IPCC) considered saltwater intrusion into coastal aquifers to be a major future impact of sea level rise, particularly under a worst-case scenario. Saltwater intrusion is a natural process which can occur through various pathways, including lateral and upward intrusion from coastal waters, downward infiltration from brackish surface water, and vertical transport of saltwater near discharging wells [,]. Saltwater intrusion has already occurred to some extent in numerous North American coastal aquifers, which are currently under pressure due to over-abstraction []. Numerous researchers have found that the extent of saltwater encroachment is variable, site-specific, and closely linked to the hydrogeological setting of the coastal aquifer [,]. Much of Florida’s coastline is particularly at risk due to a combination of changes in precipitation and temperature, overdraft of groundwater, and sea level rise [].
Over the last few decades, unsustainable withdrawal of groundwater by public-supply wells and irrigation wells has become an increasingly concerning issue in Florida [,]. Groundwater over extraction is also the predominant cause of saltwater intrusion in Florida’s coastal regions; however, lowering water-table heights through drainage canals have caused further saltwater intrusion in the southeastern portion of the state []. The mixing of saltwater with fresh groundwater impacts the overall quality and availability of groundwater. The USEPA standards for Total Dissolved Solids (TDS) and chlorides are 500 mg·L−1 and 250 mg·L−1, respectively. In comparison, the concentrations of TDS and chlorides in seawater are 35,700 mg·L−1 and 19,400 mg·L−1, respectively. As a result, saltwater intrusion and water-quality deterioration have become the main constraints in the groundwater management issues of many coastal aquifers []. The effects of the changing climate are expected to exacerbate these problems in many areas of Florida due to the increasing average surface temperature, decreasing rainfall, and increasing evapotranspiration, which, in turn, will reduce renewable groundwater supplies and cause groundwater levels to decline further [,,].
The Floridan Aquifer
For most cities in Central and Northern Florida, the Floridan Aquifer serves as their main source of drinking water. Locally, the Floridan Aquifer is intensively pumped to support urban development and increased agricultural activities []. Precipitation and leakage from canals, lakes, and streams replenish the aquifer []. Over-pumping of the aquifer has resulted in the lowering of the potentiometric surface, consequently increasing the likelihood for saltwater movement from the deeper saline zones into freshwater zones [,,]. Saltwater encroachment into the Upper Floridan Aquifer occurs due to the upward leakage of connate water from the Lower Floridan Aquifer and lateral intrusion of the freshwater/seawater boundary that occurs at varying distances from the Northeast Florida Coast in SJRWMD []. Saltwater contamination of the aquifer poses a threat to groundwater quality in the coastal areas of Duval, Nassau, and St. Johns Counties []. This phenomenon will likely be aggravated by a possible reduction in precipitation in the future due to global climate change. As a result, due to the increased use of groundwater in Florida’s coastal region, there is mounting concern regarding the influence of the changing climate on groundwater quantity and quality [,]. Additionally, any change in the rate of recharge and groundwater withdrawal from the state’s aquifers due to the changing climate can impact the hydrologic budgets of various regions in Florida [].
The Biscayne Aquifer
In South Florida, declining groundwater levels have allowed higher-gradient seawater to encroach into groundwater supply systems, making the water unusable without additional processing [,]. Over the past century, the saltwater interface in the shallow karstic Biscayne Aquifer has progressively moved further inland. Saltwater intrusion into parts of the aquifer is a serious concern for the 6 million residents of Miami, Fort Lauderdale, the Florida Keys, and Palm Beach who heavily rely on the aquifer for their source of potable water [,]. Initially, saltwater encroached into the Biscayne Aquifer as the Everglades were drained to expand the dry land for urban development and agriculture []. The draining caused the water levels to decline and, in combination with intermittent droughts, allowed saltwater to migrate inland through the base of the aquifer and to leak into the freshwater aquifer from the canals []. The freshwater Everglades recharge the Biscayne Aquifer, and as rising seawater levels submerge low-lying portions of the Everglades, portions of the aquifer become saline []. As of 2011, roughly 1200 km2 of the mainland part of the aquifer was encroached by saltwater [].
The Surficial Aquifer System
During the 19th century, much of the Everglades was drained for agriculture and urban development, and, currently, the water levels and water flow are mostly controlled by an elaborate system of levees and canals []. The lowering of the water table across the Everglades allowed for urban development along the coastal region, but in Southeast Florida, this reduced the quantity of water available for recharging the aquifer []. Additionally, the over-pumping of groundwater has resulted in saline intrusion in the surficial aquifers along the northeastern coastal areas of the state []. Most estimates of the associated sea level rise range from 0.45 m to 1.37 m for the increase in sea level by the end of this century [,,]. This will complicate matters further when the rise in sea level increases the groundwater table of the Surficial Aquifer System in the future [,].
5.2. Interaction of Climate Change and Eutrophication
The FDEP lists over 1400 water bodies of Florida, including rivers, springs, wetlands, and estuaries, as impaired by pollutants. Many of these waterbodies are impaired due to nutrient overloading (nitrogen (N) and/or phosphorus (P)) from anthropogenic sources [,]. For example, increased nutrient loading from anthropogenic activities has resulted in ecological changes in many water bodies in Florida (e.g., Lake Okeechobee, Lake George, Lake Seminole, Lake Kissimmee, Lake Apopka, Lake Istokpoga, East and West Lake Tohopekaliga, Crescent Lake and Orange Lake, Indian River lagoon, and Florida Bay), and these aquatic systems have been classified either as eutrophic or hypereutrophic [,,,,,]. However, some lakes of Florida are naturally eutrophic due to the release of macronutrients from the region’s soils and bedrock [].
Harmful algal and cyanobacteria blooms (HACBs) proliferate in warm water with high nutrient loads [,]. There are many kinds of HACBs, which are caused by diverse organisms, including toxic phytoplankton and cyanobacteria (blue-green algae). Harmful algal blooms consisting of a variety of algae have been observed in Biscayne Bay, the Indian River Lagoon, the St. Lucie Estuary, Lake Okeechobee, the Florida Keys, and the Caloosahatchee Estuary [,,,,]. For example, Phlips et al. [] investigated the scales of spatiotemporal variability in harmful algal species dispersal in the Indian River Lagoon and observed five potential toxin-producing algal species at bloom level, namely the diatom Pseudo-nitzschia calliantha and the dinoflagellates Pyrodinium bahamense var. bahamense, Prorocentrum rathymum, Cochlodinium polykrikoides, and Karlodinium veneficum. Several studies have found that, in the nearshore water of Florida’s western coast, red tides are frequently caused by Karenia brevis [,,]. Furthermore, according to the National Ocean and Atmospheric Administration [], a remarkably persistent red tide impacted part of the state’s coastal region between 2017 and 2018, dissipating in the winter of 2018–2019. The red tide persisted on the southwestern coastal area beginning in October of 2017 and spread to the Panhandle and the eastern coast of the state. Researchers have found that Florida’s risk of HACBs will increase due to warming caused by changing climatic conditions [,]. For instance, the toxin-producing Microcystis grows faster than other non-harmful algae when water temperatures are above 25 °C []. The potential future effects of climate change also include an increase in extreme weather events, including the occurrence of intense storms and extreme precipitation, followed by longer periods of drought []. Researchers have already found that the intensity of harmful algal bloom in Florida’s lakes is impacted by summer drought; particularly in Lake Apopka and in shallow lakes nearby Orlando, the abundance of cyanobacteria can be fivefold intense in drought years compared to that of wet years [,]. As such, it is possible that, in the future, climate-induced droughts may aggravate harmful algal blooms in Florida’s lakes and reservoirs.
Although there is a general recognition that climate change and global warming play a major role in the expansion and persistence HACBs in Florida’s water bodies, uncertainty remains regarding the exact extent to which future climatic conditions will increase the frequency, intensity, and distribution of several HACBs in these waters [,,,]. For certain HACB species (e.g., Dinophysis), it is possible to predict local and regional patterns at a seasonal level. In the U.S.; the Integrated Ocean Observing System continually collects coastal and marine data for the rapid detection and timely prediction of environmental changes that encourage HACBs and their subsequent mobilization to coastal water [].
State and local governmental agencies play a key role in monitoring HACBs, researching treatment alternatives, and informing the public about HACBs’ impact on human health, whereas federal governmental agencies are primarily responsible for developing management plans to prevent, control, and mitigate HACBs Currently, various Florida state agencies regularly monitor over 75 species of marine, coastal, estuarine, and freshwater HACBs []. Furthermore, in order to mitigate the public health and environmental implications of HACBs, the USEPA has emphasized the significance of minimizing nutrient pollution from all sources. Growing environmental concerns about the negative environmental effects of increased nutrient discharges to coastal waters have resulted in mandatory reductions in the number of ocean discharges in Florida [].
Currently, HACB climate-change research efforts are primarily focused on forecasting HACB occurrences and preventing their adverse effects on the environment []. The complexities of the HACB problem, its causes, prevalence, distribution, and consequences are becoming well characterized; nevertheless, there appears to be a knowledge gap regarding the links between each degree Celsius rise and the likelihood/rise risk of HACBs.
5.2.1. Lake Okeechobee
Currently, climate change and eutrophication are both critical environmental issues for Lake Okeechobee, which is the central feature of the interconnected Kissimmee River–Lake Okeechobee–Everglades ecosystems of Florida []. Lake Okeechobee is a shallow lake (2.7 m) in South Florida, which supplies water to the Everglades and Florida Bay [,,]. The lake supplies water, flood control, and recreational opportunities to a population of 3.5 million people [,]. For several decades, the lake has experienced accelerated eutrophication owing to excessive nutrient loads from an agriculturally dominated drainage basin []. The lake is most susceptible to having massive blooms of the cyanobacteria Microcystis aeruginosa that are persistent during almost the whole year due to the conducive climatic condition [,].
To prevent failure of the Herbert Hoover Dike, which encircles Lake Okeechobee, the U.S. Army Corps of Engineers control the release of water from the lake into the St. Lucie and Caloosahatchee estuaries. During the flood-control releases and heavy precipitation events, large quantities of water with high levels of nutrients (mostly N and P), as well as HACBs, are carried off downstream to the Indian River Lagoon and the St. Lucie Estuary, resulting in HACBs in these waters [,,,,]. In 2018, harmful algal bloom occurrence caused by lake water discharges from the Army Corps of Engineers prompted a State of Emergency declaration in South Florida (Glades, Hendry, Lee, Martin, Okeechobee, Palm Beach, and St. Lucie counties; []. It is noteworthy that restoration and conservation efforts to prevent Lake Okeechobee from being overwhelmed by nutrients and subsequent algal blooms have not been achieved due to sediment accumulation and resuspension of legacy phosphorus, which accumulated within the drainage basin from past inputs of fertilizers and manures [,,,].
Goly and Teegavarapu [] investigated the impacts of Atlantic Multidecadal Oscillation (AMO) and El Niño–Southern Oscillation (ENSO) on regional precipitation extremes and characteristics in Florida. These researchers indicate that AMO influences vary in the peninsula, as well as in parts of Continental Florida, and the warm (cool) phase of AMO causes increased rainfall extremes throughout the wet (dry) season. Furthermore, most of the extremes in the southern and eastern parts of Florida occur in June and September, during the warm phase, which could be due to the increased number of hurricane landfalls. Approximately 20% (30%) of the annual extremes occur in the dry season during the AMO warm (cool) phase, and more than half of the extremes are observed during the El Niño. The impacts of ENSO and AMO on rainfall extremes and characteristics are spatially uniform and non-uniform across the state, respectively. An evaluation of ENSO impacts on dry-season precipitation suggested that the effects of ENSO are confined to the dry season with El Niño–related extremes and total precipitation increase (decrease) during the negative (positive) phases of the AMO. In addition, water inputs to Lake Okeechobee varied by 40% between the warm and cool phases of AMO. Therefore, it is imperative that both FDEP and FWMDs consider including the influences of climate change in the Lake Okeechobee restoration projects to achieve the intended outcomes.
5.2.2. Indian River Lagoon System
The Indian River Lagoon system, which extends 240 km along Florida’s east central coast, is a group of three connected lagoons: the Mosquito Lagoon, the Banana River, and the Indian River [,]. The Indian River Lagoon is a poorly drained shallow estuarine system in the central coast of Eastern Florida. In recent years, anthropogenic activities have increased the pollution level in the Indian River Lagoon due to accelerated population growth, urban development, discharge of untreated or minimally treated stormwater and wastewater, widespread application of nutrient enriched fertilizers, causeway construction to obstruct water flow, and freshwater diversion from the St. Johns River into the estuarine system []. The Indian River Lagoon system is able to absorb some of the pollutants, but, when overburdened, the estuarine system suffers [].
The National Oceanic and Atmospheric Agency’s [] estuarine eutrophication survey of the South Atlantic region indicates that the Indian River Lagoon was hypereutrophic with respect to excessive carbon fixation. During the following years, the estuarine system experienced changes in water quality and clarity due to anthropogenic nutrient loading, produced more HACBs, and experienced fish kill episodes [,,,]. Phlips et al. [] monitored the water quality of the Indian River Lagoon for a decade and found that the more frequent bloom formers were the potentially toxic dinoflagellate Pyrodinium bahamense var. bahamense and two centric diatoms, Dactyliosolen fragilissimus and Cerataulina pelagica. The average phytoplankton bio-volumes were considerably higher in the sampling locations in the northern parts of the Indian River Lagoon in comparison to that of the central lagoon. Researchers found that the differences in the dynamics of phytoplankton populations in the northern and central lagoon suggest connections between hydrology and drainage basin characteristics in describing the response of phytoplankton communities of coastal ecosystems to changing nutrient load and climate conditions.
Between 2012 and 2013, ‘brown tides’ caused Aureoumbra lagunensis to occur in the Mosquito Lagoon and Northern Indian River Lagoon along Florida’s eastern coast, and this was the first documented case of the algae in Florida’s waters [,,]. The detrimental effects of these events included the deterioration of the overall water quality, along with shellfish and fish kills as a result of oxygen deficiency [,]. It is likely that the increasing temperatures linked to the changing climate will stimulate further occurrences of HACBs in the Indian River Lagoon. The sustainable management of eutrophic water bodies is a complex issue and requires the united efforts of citizens, scientists, resource managers, and government decision makers. Given the interconnected nature of Florida’s water bodies, management strategies to improve the Indian River Lagoon’s water quality requires a holistic approach aimed at a reduction in the pollutants released from all sources, the development of efficient and cost-effective techniques for nutrient recovery from wastewater and recycling techniques, and the active management of the entire ecosystem through monitoring and control []. The SJRWMD [], along with various federal and state agencies, local governments, and academic institutions, is working solely and collaboratively to improve the Indian River Lagoon’s water quality by removing and/or minimizing legacy nutrient and sediment loads.
5.3. Impacts of Changing Climate on the Florida Everglades
The Florida Everglades is an extensive wetland, which stretches roughly 160 km from the Kissimmee River basin through Lake Okeechobee to Florida Bay in Southeastern Florida [,]. During the twentieth century, much of the Everglades was drained for agriculture and urban development, and now it has been reduced to half of its original size []. Levees and canals have changed the area’s hydrological system and also disturbed the natural north-to-south flow pattern []. Due to decades of residential and agricultural growth, increased nutrient pollution from upstream activities degraded the water quality in the Everglades [,,,]. The extent of nutrient loading in the Florida Everglades is mainly found in adjacent water inflow points or canals; therefore, the peripheral area is nutrient effected, whereas interior parts of the wetland are less impacted []. In 2000, the Comprehensive Everglades Restoration Program, with a 35+-year timeline, was enacted to re-establish pre-drainage flows and preserve the Everglade ecosystem [,]. The early results of the restoration efforts have been positive, with substantial drops in pollution levels and a reversal in the trend of several negative indicators []. The SFWMD reports that, over the past two decades, Florida has invested USD 1.8 billion in phosphorus control programs, which have substantially improved the water quality of the Everglades. Furthermore, scientific monitoring suggests that ≥90% of the Everglades currently meets ultra-clean water quality standards of 10 ppb or less for phosphorus. However, considerable future efforts are still essential to reach a sustainable balance in this human-dominated watershed ecosystem and wetland []. Note that sea level rise and projected changes in temperature, precipitation, and evapotranspiration were not considered in the development of the Comprehensive Everglades Restoration Program [,]. The water level in the Everglades fluctuates with varying precipitation and freshwater flow patterns, along with tidal effects [,]. Additionally, over the last five decades, investigators have found an increase in the water level at some inland freshwater sites within the Everglades National Park, which is comparable to the observed increase in regional sea level https://www.nps.gov/ever/learn/nature/climate-change-references.htm, accessed on 25 June 2023 []. It is important that fresh-to-marine head differences are included in water governance decisions to lessen the negative impacts of sea level rise across the Everglades landscape [].
An important part of the Everglades hydrologic budget is evapotranspiration. Many scientists have extensively studied the evapotranspiration of the Everglades, e.g., [,,]. Rainfall and evapotranspiration are the key components in the hydrology of the area. Due to global warming, future increases in air temperature will increase the evapotranspiration rate; hence, irrigated agricultural land will require more water. According to the USEPA [], over the next five decades, the total demand for water in the area will likely increase by more than 25%. It should be noted that the total quantity of available water, however, is not likely to increase, and it is also possible that the amount of available water may decline. Additionally, increased evapotranspiration rates, coupled with reduced rainfall, will significantly reduce the tributary inflows and result in a substantial drop in the water levels of Lake Okeechobee []. Moreover, with the rising sea level, saltwater will encroach into the interior of the Everglades and threaten cypress swamps, along with other saltwater-intolerant species []. Furthermore, increasing salinity may threaten the Biscayne Aquifer, which is recharged by surface water in the Everglades [].
5.4. Climate-Change Influences on Runoff and Sediment Loads to Apalachicola River
The Apalachicola River and Bay drainage basin is the southern extent of the Apalachicola–Chattahoochee–Flint Rivers Basin that covers roughly 51,800 km2 of the U.S. states of Georgia, Alabama, and Florida []. The Apalachicola River has the largest discharge of all the rivers in Florida, accounting for roughly one-third of freshwater runoff on the west coast of Florida []. The Apalachicola River begins at The Jim Woodruff Lock and Dam, flows towards the south, and eventually discharges to the shallow estuarine Apalachicola Bay, where it is the primary source of freshwater [,]. The Apalachicola River has a wide floodplain and is subject to variable seasonal flow [,]. As the up-gradient river, Apalachicola River has a direct influence on the Apalachicola Bay; the sediment and pollutant loads of the river considerably impact the water quality of the Bay []. The river receives substantial amounts of pollutants, including nutrients, microbial pathogens, sediment, petroleum products, metals, pesticides, and a variety of contaminants, from nonpoint sources of pollution []. Between 1978 and 2012, the average annual discharge of the Apalachicola River was 680 cm3·s−1 [].
Hovenga et al. [] used a Soil and Water Assessment Tool (SWAT) model to study the effects of climate and land-use changes on water quantity and quality in the Apalachicola River Basin under historical conditions. The findings of this study suggest that climate change may induce seasonal changes that could prolong or entirely change periods of high and low runoff and sediment loading, and larger sediment loading was associated with the expansion of agriculture and urban areas, as well as deforestation in the region. Chen et al. [] investigated possible climate-change effects on runoff and sediment load in the Apalachicola River Basin by using a SWAT model and assessed the impact of the changing climate during a 24-h extreme precipitation event (2 March 1991) with a 25-year return period. These investigators found that climate change is expected to influence surface runoff and sediment load in the river basin more severely during extreme rainfall events. The study also found that the peak streamflow and peak sediment load may rise by 50% and 89%, respectively, due to more intense and less frequent rainfall events. This is of concern because urban development and stormwater runoff both influence the productivity of the Apalachicola system []. The FDEP reports that, out of 312 waterbody segments in the Apalachicola River and Bay watershed, 7 segments are already impaired for nutrients and 41 segments for mercury []. The intensity of the heaviest extreme precipitation events is known to increase with global warming and may increase flood magnitudes and result in increased sediment and pollutant loadings to the Apalachicola Bay, particularly due to sea level rise [,,].
5.5. Influences of Ocean Acidification on Florida’s Coastal Water
Ocean acidification can adversely impact aquatic life, specifically calcium-carbonate-shell/skeleton-building organisms, due to decreased carbonate availability and increased acidity [,]. The acidic seawater causes organisms’ shell or skeleton to dissolve, and increased acidity also results in the reduced calcification rates of these organisms []. Impacts of ocean acidification are well documented in Florida [,,]. Most of Florida is susceptible to the formation of sinkholes due to the underlying thick carbonate deposits, which can be dissolved by circulating groundwater []. Groundwater passes into and out of storage in the carbonate-rock aquifers, and in many areas, groundwater mixes with seawater where water flows from land to sea through the limestone (calcium carbonate) foundation [,]. It is not fully understood how the interaction between freshwater acidification and ocean acidification, along with the changes in coastal ocean carbon chemistry, will influence the limestone foundation or Florida’s coastal aquifers [].
Eutrophication can contribute large amounts of CO2 to coastal water, and it can result in stronger changes in seawater carbonate chemistry than that associated with ocean-acidification processes []. Once the algae die, their cells are degraded by heterotrophic bacteria, oxygen is consumed, and CO2 is released. In shallow coastal shelf systems, eutrophication can eventually lower pH seawater to levels which typically occur at advanced stages of ocean acidification []. Agricultural runoff from South Florida to Florida Bay (Lapointe et al., 2008) and periodic discharge of groundwater contaminated with septic tank effluent in shallow nearshore waters of Florida Keys have resulted in coastal eutrophication [,]. Rising surface ocean temperatures, nutrient loading, and atmospheric CO2 are expected to further aggravate the acidification process [].
During the next century, along with extreme temperature fluctuations from a changing climate, ocean acidification may also impact coral reefs in the Florida Keys as atmospheric CO2 concentrations continue to rise. Muehllehner et al. [] collected water samples along the 200 km stretch of the Florida Reef Tract north of Biscayne National Park to the Looe Key National Marine Sanctuary and found that the limestone, which primarily forms the foundation of coral reefs along the Florida Reef Tract, is dissolving during the fall and winter months. In particular, the Upper Florida Keys were the most affected by the annual loss of limestone surpassing the quantity the corals are capable of producing. Coral reefs in the Florida Keys are threatened by a multi-year outbreak of stony coral tissue loss disease, which began during the summer of 2014. The disease adversely affected nearly 50% of the coral species (e.g., Colpophyllia natans, Dendrogyra cylindrus, Diploria labyrinthiformis, Meandrina meandrites, Montastraea cavernosa, Orbicella faveolata, Pseudodiploria strigosa, and Siderastrea siderea) on the Florida Reef Tract [,,]. Thermal stress, in combination with other environmental stressors, lowers the tolerance of corals to pathogens and contributes to persistent or recurring outbreaks [,] The adverse impacts of human-induced climate change will likely hinder the recovery of Florida’s coral reefs in the foreseeable future [,,].
6. Conclusions
Possible influences of changing climate on water resources have received much attention worldwide. A review of the literature reveals that the quality, quantity, and availability of water in the state of Florida are particularly vulnerable to the influences of future climate change. Additionally, the surface and groundwater systems are complex and highly interrelated in many areas of Florida, and changes in hydrologic drivers (e.g., rainfall or temperature) have the possibility of disrupting both fresh and coastal waters. These changes are expected to alter the occurrence and growth of HACBs. As the blooms grow, they can adversely impact the environment, public health, and economy of the state. In addition to increasing sea temperatures from a changing climate, ocean acidification may impact coral reefs in the Florida Keys as atmospheric CO2 levels continue to rise. Furthermore, there is growing concern about the impact of ocean acidification on groundwater resources or the limestone, which creates much of the state’s foundation. Due to Florida’s topography, even a modest rise in sea level will lead to drastic changes in the area of land at risk for flooding. Owing to these variabilities, decision-making for sustainable management of Florida’s water resources is challenging, and it is also not possible to offer a single overall solution to the state’s climate-change-related issues.
The findings of this review are expected to assist in decision-making related to climate change in Florida. Effective decision-making in Florida’s water sector will be crucial to ensure long-term water security, particularly during periods of high demand and low water availability. Currently, many coastal communities in Florida are already dealing with climate-change issues; nonetheless, much work remains to be done to fully evaluate the risks associated with changing climate and help identify possible solutions. The task of developing adaptation solutions and implementing actions to respond to the consequences of climate change in the state will require the collaborative efforts of a wide range of experts.
Funding
This research received no external funding.
Institutional Review Board Statement
Not applicable.
Informed Consent Statement
Not applicable.
Data Availability Statement
All data generated or analyzed during the review are included in this article.
Acknowledgments
The author would like to thank Mahbub Haque, Lailun Nahar and Sophie Leila Haque for their infinite patience and loving support throughout the whole process. The author thanks Lameesa Gazi-Khan for enthusiastically spending her time working on the maps. The author acknowledges Habiba Rashid for diligently double-checking the references. Finally, this manuscript benefited from valuable comments provided by five anonymous reviewers.
Conflicts of Interest
The author has no relevant financial or non-financial interests to disclose.
References
- Petit, J.; Jouzel, J.; Raynaud, D.; Barkov, N.I.; Barnola, J.-M.; Bender, M.; Chappellaz, M.D.; Delaygue, G.; Delmotte, M.; Kotlyakov, V.M.; et al. Climate and atmospheric history of the past 420,000 years from the Vostok ice core, Antarctica. Nature 1999, 399, 429–436. [Google Scholar] [CrossRef]
- Bloetscher, F.; Meeroff, D.; Heimlich, B.N.; Brown, A.R.; Bayler, D.; Loucraft, M. Improving resilience against the effects of climate change. J. AWWA 2010, 102, 36–46. [Google Scholar] [CrossRef]
- Myhre, G.; Myhre, C.E.L.; Samset, B.H.; Storelvmo, T. Aerosols and Their Relation to Global Climate and Climate Sensitivity. Nat. Educ. Knowl. 2013, 4, 7. Available online: https://www.nature.com/scitable/knowledge/library/aerosols-and-their-relation-to-global-climate-102215345/ (accessed on 13 June 2023).
- Tully, K.; Gedan, K.; Epanchin-Niell, R.; Strong, A.; Bernhardt, E.S.; BenDor, T.; Mitchell, M.; Konimoski, J.; Jordan, T.E.; Neubauer, S.C.; et al. The invisible flood: The chemistry, ecology, and social implications of coastal saltwater intrusion. BioScience 2019, 69, 368–378. [Google Scholar] [CrossRef]
- IPCC. AR4 Climate Change 2007: The Physical Science Basis; Cambridge University Press: Cambridge, UK, 2007; Available online: https://www.ipcc.ch/report/ar4/wg1/ (accessed on 23 September 2021).
- IPCC. Climate Change 2007: Climate Change Impacts, Adaptation and Vulnerability; Cambridge University Press: Cambridge, UK, 2007; Available online: https://www.ipcc.ch/site/assets/uploads/2018/03/ar4_wg2_full_report.pdf (accessed on 22 September 2021).
- NASA. Global Climate Change Vital Signs of the Planet. 2021. Available online: https://climate.nasa.gov/vital-signs/sea-level/ (accessed on 24 September 2021).
- IPCC. Fifth Assessment Report (2014). Global Climate Change Impacts in the United States; United States Global Change Research Program; Cambridge University Press: Cambridge, UK, 2014. [Google Scholar]
- Misra, V.; Moeller, L.; Stefanova, L.; Chan, S.; O’Brien, J.J.; Smith, T.J., III; Plant, N. The influence of Atlantic warm pool on the Florida panhandle sea breeze. Geophys. Res. Atmos. 2011, 116, D21. [Google Scholar] [CrossRef]
- Church, J.A.; Clark, P.U.; Cazenave, A.; Gregory, J.M.; Jevrejeva, S.; Levermann, A.; Merrifield, M.A.; Milne, G.A.; Nerem, R.A.; Nunn, P.D.; et al. Sea Level Change. In The Physical Science Basis. Contribution of Working Group I to the Fifth Assessment Report of the Intergovernmental Panel on Climate Change; Stocker, T.F., Qin, D., Plattner, G.K., Tignor, M., Allen, S.K., Boschung, J., Nauels, A., Xia, Y., Bex, V., Midgley, P.M., Eds.; Cambridge University Press: Cambridge, UK; New York, NY, USA, 2013; Available online: https://www.ipcc.ch/site/assets/uploads/2018/07/WGI_AR5.Chap_.13_SM.1.16.14.pdf (accessed on 13 June 2023).
- Lindsey, R. Climate Change: Global Sea Level. 2021. Available online: https://www.climate.gov/news-features/understanding-climate/climate-change-global-sea-level (accessed on 22 September 2021).
- Miller, K.G.; Kopp, R.E.; Horton, B.P.; Browning, J.V.; Kemp, A. A Geological Perspective on Sea-Level Rise and its Impacts along the U.S. Mid-Atlantic Coast. Earth’s Future 2013, 1, 3–18. [Google Scholar] [CrossRef]
- Parris, A.S.; Bromirski, P.; Burkett, V.; Cayan, D.; Culver, M.; Hall, J.; Horton, R.; Knuuti, K.; Moss, R.; Obeysekera, J.; et al. Global Sea Level Rise Scenarios for the United States National Climate Assessment. NOAA Technical Report OAR CPO 1; 2012; 37p. Available online: https://scenarios.globalchange.gov/sites/default/files/NOAA_SLR_r3_0.pdf (accessed on 24 September 2021).
- Theuerkauf, E.J.; Rodriguez, A.B.; Fegley, S.R.; Luettich, R.A., Jr. Sea level anomalies exacerbate beach erosion. Geophys. Res. Lett. 2014, 41, 5139–5147. [Google Scholar] [CrossRef]
- Haque, S.E.; Nahar, N. Bangladesh: Climate Change Issues, Mitigation, and Adaptation in the Water Sector. ACS EST Water 2023, 3, 1484–1501. [Google Scholar] [CrossRef]
- Strauss, B.H.; Ziemlinski, R.; Weiss, J.L.; Overpeck, J.T. Tidally Adjusted Estimates of Topographic Vulnerability to Sea Level Rise and Flooding of the Contiguous United States. Environ. Res. Lett. 2012, 7, 014033. Available online: https://arizona.pure.elsevier.com/en/publications/tidally-adjusted-estimates-of-topographic-vulnerability-to-sea-le (accessed on 21 September 2021). [CrossRef]
- Islam, S.M.F.; Karim, Z. World’s demand for food and water. The consequences of climate change. In Desalination—Challenges and Opportunities; IntechOpen: Rijeka, Croatia, 2019. [Google Scholar] [CrossRef]
- USEPA. Climate Change Indicators in the United States, 2014. Third Edition. EPA 430-R-14-004. 2014. Available online: www.epa.gov/climatechange/indicators (accessed on 30 August 2021).
- USEPA. What Climate Change Means for Florida. EPA 430-F-16-011. 2016. Available online: https://www.epa.gov/sites/production/files/2016-08/documents/climate-change-fl.pdf (accessed on 2 September 2021).
- UN. UN-Water Policy Brief on Climate Change and Water. 2019. Available online: https://www.unwater.org/publications/un-water-policy-brief-on-climate-change-and-water/ (accessed on 1 September 2021).
- NASA. Climate Change Impacts in the United States. U.S. National Climate Assessment. U.S. Global Change Research Program. 2014. Available online: https://nca2014.globalchange.gov/ (accessed on 24 September 2021).
- USEPA. Climate Change Indicators: U.S. and Global Temperature. 2021. Available online: https://www.epa.gov/climate-indicators/climate-change-indicators-us-and-global-temperature (accessed on 31 August 2021).
- Maul, G.A.; Martin, D.M. Sea level rise at Key West, Florida, 1846–1992: America’s longest instrument record? Geophys. Res. Lett. 1993, 20, 1955–1958. [Google Scholar] [CrossRef]
- FOCC. Climate Change and Sea-Level Rise in Florida: An Update of the Effects of Climate Change on Florida’s Ocean and Coastal Resources; FOCC: Tallahassee, FL, USA, 2010; Available online: https://floridadep.gov/sites/default/files/Climate%20Change%20and%20Sea-Level%20Rise%20in%20Florida_1.pdf (accessed on 5 June 2021).
- Raimi, D.; Keyes Al Kingdon, C. Florida Climate Outlook: Assessing Physical and Economic Impacts through 2040. Report 20-01, Resources for the Future. 2020. Available online: https://www.rff.org/publications/reports/florida-climate-outlook/ (accessed on 25 September 2021).
- NRDC. Miami and the Keys, Florida: Identifying and Becoming More Resilient to Impacts of Climate Change. 2011. Available online: https://www.nrdc.org/sites/default/files/ClimateWaterFS_MiamiFL.pdf (accessed on 3 June 2021).
- Vose, R.S.; Easterling, D.R.; Kunkel, K.E.; LeGrande, A.N.; Wehner, M.F. Temperature changes in the United States. In Climate Science Special Report: Fourth National Climate Assessment, Volume 1; Wuebbles, D.J., Fahey, D.W., Hibbard, K.A., Dokken, D.J., Stewart, B.C., Maycock, T.K., Eds.; U.S. Global Change Research Program: Washington, DC, USA, 2017; pp. 185–206. [Google Scholar] [CrossRef]
- Brekke, L.; Wood, A.; Pruitt, T. Downscaled CMIP3 and CMIP5 Hydrology Projections: Release of Hydrology Projections, Comparison with Preceding Information, and Summary of User Needs; U.S. Department of the Interior Bureau of Reclamation: Denver, CO, USA, 2014; Available online: http://gdo-dcp.ucllnl.org/downscaled_cmip_projections/ (accessed on 12 January 2022).
- Obeysekera, J.; Barnes, J.; Nungesser, M. Climate sensitivity runs and regional hydrologic modeling for predicting the response of the Greater Florida Everglades Ecosystem to climate change. Environ. Manag. 2015, 55, 749–762. [Google Scholar] [CrossRef]
- Fan, X.; Miao, C.; Duan, Q.; Shen, C.; Wu, Y. The Performance of CMIP6 Versus CMIP5 in Simulating Temperature Extremes Over the Global Land Surface. Geophys. Res. Atmos. 2020, 125, e2020JD033031. [Google Scholar] [CrossRef]
- NOAA. Ocean and Coastal Resource Management in Your State: States and Territories Working with NOAA on Ocean and Coastal Management. National Oceanic and Atmospheric Administration; 2011. Available online: https://www.coast.noaa.gov/czm/mystate/ (accessed on 25 May 2021).
- Kirtman, B.P.; Misra, V.; Anandhi, A.; Diane, P.; Johnna, I. Future Climate Change Scenarios for Florida. Florida’s Climate: Changes, Variations, & Impacts. 2017. Available online: http://purl.flvc.org/fsu/fd/FSU_libsubv1_scholarship_submission_1515511768_f4ca0fd1 (accessed on 21 September 2021).
- Karl, T.R.; Melillo, J.M.; Peterson, T.C. Global Climate Change Impacts in the United States; Cambridge University Press: Cambridge, UK, 2009; Available online: http://www.globalchange.gov/publications/reports/scientific-assessments/us-impacts/full-report (accessed on 20 September 2021).
- Heimlich, B.N.; Bloetscher, F.; Meeroff, D.E.; Murley, J. Southeast Florida’s Resilient Water Resources. Adaptation to Sea Level Rise and Other Climate Change Impacts; Florida Atlantic University: Boca Raton, FL, USA, 2009; Available online: http://www.ces.fau.edu/files/projects/climate_change/SE_Florida_Resilient_Water_Resources.pdf (accessed on 23 September 2021).
- Koch-Rose, M.; Mitsova-Boneva, D.; Root, T.; Bery, L.; Bloetcher, F.; Hammer, N.H.; Restrepo, J.; Teegavarapu, R. Florida Water Management and Adaptation in the Face of Climate Change. Florida Water Management and Adaptation in the Face of Climate Change, Florida Climate Change Task Force. 2011. Available online: http://www.ces.fau.edu/publications/pdfs/water_managment.pdf (accessed on 23 August 2021).
- Fu, X.; Song, J.; Sun, B.; Peng, Z.-R. Living on the edge: Estimating the economic cost of sea level rise on coastal real estate in the Tampa Bay Region, Florida. Ocean Coast. Manag. 2016, 133, 11–17. [Google Scholar] [CrossRef]
- Martinich, J.; Neumann, J.; Ludwig, L.; Jantarasami, L. Risks of sea level rise to disadvantaged communities in the United States. Mitig. Adapt. Strateg. Glob. Chang. 2012, 18, 169–185. [Google Scholar] [CrossRef]
- FOCC. The Effects of Climate Change on Florida’s Ocean and Coastal Resources. A Special Report to the Florida Energy and Climate Commission and the People of Florida; FOCC: Tallahassee, FL, USA, 2009; Available online: https://floridadep.gov/sites/default/files/The%20Effects%20of%20Climate%20Change%20on%20Florida%27s%20Ocean%20and%20Coastal%20Resources_0.pdf (accessed on 25 May 2021).
- Palm, R.; Bolson, T. Climate change and sea levels rise in South Florida—The view of coastal residents. Coast. Res. Libr. 2020, 34. [Google Scholar] [CrossRef]
- Mcinnes, K.L.; Walsh, K.J.E.; Hubbert, G.D.; Beer, T. Impact of sea-level rise and storm surges on a coastal community. Nat. Hazards 2003, 30, 187–207. [Google Scholar] [CrossRef]
- Lin, N.; Emanuel, K.; Oppenheimer, M.; Vanmarcke, E. Physically based assessment of hurricane surge threat under climate change. Nat. Clim. Chang. 2012, 2, 462–467. [Google Scholar] [CrossRef]
- McVoy, C.; Said, W.P.; Obeysekera, J.; VanArman, J.; Dreschel, T. Landscapes and Hydrology of the Predrainage Everglades; University Press of Florida: Gainesville, FL, USA, 2011. [Google Scholar]
- Dessu, S.B.; Price, R.M.; Troller, T.G.; Kominoski, J.S. Effects of sea-level rise and freshwater management on long-term water levels and water quality in the Florida coastal Everglades. Environ. Manag. 2018, 211, 164–176. [Google Scholar] [CrossRef]
- Charles, S.P.; Kominoski, J.S.; Troxler, T.G.; Gaiser, E.E.; Servais, S.; Wilson, B.J.; Davis, S.E.; Sklar, F.H.; Coronado-Molina, C.; Madden, C.J.; et al. Experimental saltwater intrusion drives rapid soil elevation and carbon loss in freshwater and brackish Everglades marshes. Estuar. Coasts 2019, 42, 1868–1881. [Google Scholar] [CrossRef]
- Guha, H.; Panday, S. Impact of sea level rise on groundwater salinity in a coastal community of South Florida. J. Am. Water Resour. Assoc. 2012, 48, 3. [Google Scholar] [CrossRef]
- Langevin, C.D.; Zygnerski, M. Effect of sea-level rise on saltwater intrusion near a coastal well field in southeastern Florida. Groundwater 2012, 51, 781–803. [Google Scholar] [CrossRef]
- Marella, R.L.; Dixon, J.F. Data tables summarizing the source-specific estimated water withdrawals in Florida by water source, category, county, and water management district, 2015. U.S. Geol. Surv. Data Release 2018, 5147, 52. [Google Scholar] [CrossRef]
- NCEI. State Climate Summaries Florida. NOAA. 2022. Available online: https://statesummaries.ncics.org/chapter/fl/ (accessed on 20 September 2021).
- Maliva, R.G.; Manahan, W.; Missimer, T.M. Climate change and water supply: Governance and adaptation planning in Florida. Water Policy 2021, 23, 521–536. [Google Scholar] [CrossRef]
- U.S. Census Bureau. QuickFacts Florida. 2019. Available online: https://www.census.gov/quickfacts/FL (accessed on 31 August 2021).
- NOAA. National Coastal Population Report: Population Trends from 1970 to 2020. 2013. Available online: https://aambpublicoceanservice.blob.core.windows.net/oceanserviceprod/facts/coastal-population-report.pdf (accessed on 6 September 2021).
- Obeysekera, J.; Graham, W.; Sukop, M.C.; Tiru, A.; Dingbao, W.; Kebreab, G.; Benjamin, M. Implications of climate change on Florida’s water resources. In Florida’s Climate: Changes, Variations, & Impacts; CreateSpace Independent Publishing Platform: Charleston, SC, USA, 2017. [Google Scholar] [CrossRef]
- Asefa, T.; Adam, A.; Kajtezovic-Blankenship, I. A tale of integrated regional water supply planning: Meshing socio-economic, policy, governance, and sustainability desires together. J. Hydrol. 2014, 519, 2632–2641. [Google Scholar] [CrossRef]
- Hauserman. Florida’s Coastal and Ocean Future. A Blueprint for Economic and Environmental Leadership; Natural Resources Defense Council, Inc.: New York, NY, USA, 2006; Available online: https://www.floridaoceanalliance.org/wp-content/uploads/2015/08/flfuture.pdf (accessed on 2 September 2021).
- Spechler, R.M. Saltwater intrusion and quality of water in the Floridan Aquifer System, northeastern Florida. Water-Resour. Investig. Rep. 1994, 92, 4174. [Google Scholar] [CrossRef]
- Feely, R.A.; Sabine, C.L.; Hernandez-Ayon, J.M.; Ianson, D.; Hales, B. Evidence for upwelling of corrosive “acidified” water onto the continental shelf. Science 2008, 320, 1490–1492. [Google Scholar] [CrossRef]
- Carlton, S.J.; Jacobson, S.K. Climate change and coastal environmental risk perceptions in Florida. Environ. Manag. 2013, 130, 32–39. [Google Scholar] [CrossRef]
- Heil, C.A.; Dixon, K.L.; Hall, E.; Garrent, M.; Lenes, J.M.; O’Neil, J.M.; Walsh, B.M.; Bronk, D.A.; Killberg-Thoreson, L.; Hitchcock, G.L.; et al. Blooms of Karenia brevis (Davis) G. Hansen & Ø. Moestrup on the West Florida Shelf: Nutrient sources and potential management strategies based on a multi-year regional study. Harmful Algae 2014, 38, 127–140. [Google Scholar] [CrossRef]
- Muehllehner, N.; Langdon, C.; Venti, A.; Kadko, D. Dynamics of carbonate chemistry, production, and calcification of the Florida Reef Tract (2009–2010): Evidence for seasonal dissolution. Glob. Biochem. Cycles 2016, 30, 661–688. [Google Scholar] [CrossRef]
- Ocean Conservancy. How Ocean Acidification Impacts Florida’s Ecosystems. Blog Ocean Currents. 2016. Available online: https://oceanconservancy.org/blog/2016/06/15/how-ocean-acidification-impacts-floridas-ecosystems/ (accessed on 24 August 2021).
- Precht, W.; Gintert, B.; Robbart, M.; Fura, R.; van Woesik, R. Unprecedented disease-related coral mortality in southeastern Florida. Sci. Rep. 2016, 6, 31374. [Google Scholar] [CrossRef]
- Hoegh-Guldberg, O.; Poloczanska, E.S.; Skirving, W.; Dove, S. Coral reef ecosystems under climate change and ocean acidification. Front. Mar. Sci. 2017, 4, 158. [Google Scholar] [CrossRef]
- Robbins, L.L.; Lisle, J.T. Regional acidification trends in Florida shellfish estuaries: A 20+ year look at pH, oxygen, temperature, and salinity. Estuar. Coasts 2018, 41, 1268–1281. [Google Scholar] [CrossRef]
- Krediet, C.J.; Ritche, K.; Teplitski, M. The Importance and Status of Florida Coral Reefs: Questions and Answers. University of Florida IFAS Extension. SL 305. 2009. Available online: http://ufdcimages.uflib.ufl.edu/IR/00/00/31/58/00001/SS51800.pdf (accessed on 5 September 2021).
- UNGA. Resolution Adopted by the General Assembly on 25 September 2015. Transforming Our World: The 2030 Agenda for Sus-tainable Development (A/RES/70/1). 2015. Available online: https://www.un.org/en/development/desa/population/migration/generalassembly/docs/globalcompact/A_RES_70_1_E.pdf (accessed on 7 September 2021).
- Dinka, M.O. Safe Drinking Water: Concepts, Benefits, Principles and Standards; Intechopen: London, UK, 2017. [Google Scholar] [CrossRef]
- Gomez-Echeverri, L. Climate and development: Enhancing impact through stronger linkages in the implementation of the Paris Agreement and the Sustainable Development Goals (SDGs). Philos. Trans. R. Soc. A 2018, 376, 20160444. [Google Scholar] [CrossRef]
- Bogardi, J.J.; Leentvaar, J.; Sebesvári, Z. Biologia Futura: Integrating freshwater ecosystem health in water resources management. Biol. Futura 2020, 71, 337–358. [Google Scholar] [CrossRef]
- Bloetscher, F. Climate Change Impacts on Florida (with a Specific Look at Groundwater Impacts). Florida Water Resour. J. 2009. Available online: https://fwrj.com/techarticles/0909%20FWRJ_tech1.pdf (accessed on 11 June 2023).
- SFWMD. Water Reuse. Available online: https://www.sfwmd.gov/our-work/alternative-water-supply/reuse (accessed on 8 September 2021).
- FDEP. Florida’s Reuse Activities. Available online: https://floridadep.gov/water/domestic-wastewater/content/floridas-reuse-activities (accessed on 9 September 2021).
- Toor, G.S.; Rainey, D.P. History and Current Status of Reclaimed Water Use in Florida. Department of Soil and Water Sciences. #SL308. 2016. Available online: https://edis.ifas.ufl.edu/publication/SS520 (accessed on 9 September 2021).
- Borisova, T.; Cutillo, M.; Beggs, K.; Hoenstine, K. Addressing the scarcity of traditional water sources through investments in alternative water supplies: Case study from Florida. Water 2020, 12, 2089. [Google Scholar] [CrossRef]
- Missimer, T.M.; Maliva, R.G.; Guo, W. Sustainability & the Management of Water Resources in Florida. Florida Water Resour. J. 2007. Available online: https://www.fwrj.com/TechArticle07/1007%20FWRJ%20tech1.pdf (accessed on 4 June 2021).
- FDEP. Alternative Water Supply. 2020. Available online: https://floridadep.gov/water-policy/water-policy/content/alternative-water-supply (accessed on 2 June 2021).
- Scavia, D.; Field, J.C.; Boesch, D.F.; Buddemeier, R.W.; Burkett, V.; Cayan, D.R.; Fogarty, M.; Harwell, M.A.; Howarth, R.W.; Mason, C.; et al. Climate change impacts on U.S. coastal and marine ecosystems. Estuaries 2002, 25, 149–164. [Google Scholar] [CrossRef]
- Hovenga, P.A.; Wang, D.; Medeiros, M.; Hagen, S.C.; Alizad, K. The response of runoff and sediment loading in the Apalachicola River, Florida to climate and land use land cover change. Earth’s Future 2016, 4, 124–142. [Google Scholar] [CrossRef]
- Havens, K.E. Effects of Climate Change on the Eutrophication of Lakes and Estuaries; UF IFAS, University of Florida: Gainesville, FL, USA, 2019; Available online: https://edis.ifas.ufl.edu/publication/sg127 (accessed on 10 September 2021).
- Maul, G.A.; Sims, H.J. Florida Coastal Temperature Trends: Comparing Independent Datasets. Fla. Sci. 2007, 70, 7182. Available online: https://research.fit.edu/media/site-specific/researchfitedu/coast-climate-adaptation-library/united-states/florida/statewide---florida/Maul--Sims.-2007.-Florida-Temperature-Trends.pdf (accessed on 13 June 2023).
- Irizarry-Ortiz, M.M.; Obeysekera, J.; Park, J.; Trimble, P.; Barnes, J.; Park-Said, W.; Gadzinski, E. Historical trends in Florida temperature and precipitation. Hydrol. Process. 2011, 8259, 22. [Google Scholar] [CrossRef]
- Marshall, C.H.; Pielke, R.A., Sr.; Steyart, L.T.; Willard, D.A. The impact of anthropegenic land-cover change on the Florida Peninsula sea breezes and warm season sensible weather. USGS Mon. Weather Rev. 2004, 132, 28–52. [Google Scholar] [CrossRef]
- Kløve, B.; Ala-Aho, P.; Bertrand, G.; Gurdak, J.J.; Kupfersberger, H.; Kværner, J.; Muotka, T.; Mykrä, H.; Preda, E.; Rossi, P.; et al. Climate change impact on groundwater and dependent ecosystems. J. Hydrol. 2014, 518, 250–266. [Google Scholar] [CrossRef]
- Barlow, P.M.; Reichard, E.G. Saltwater intrusion in coastal regions of North America. Hydrogeol. J. 2010, 18, 247–260. [Google Scholar] [CrossRef]
- SERCC. State Average Data. Precipitation & Temperature. 2021. Available online: https://sercc.com/state-climate-data/ (accessed on 16 September 2021).
- Dong, S.; Baringer, M.O.; Goni, G.J. Slow down of the Gulf Stream during 1993–2016. Sci. Rep. 2019, 9, 6672. [Google Scholar] [CrossRef]
- Todd, R.E.; Asher, T.G.; Heiderich, J.; Bane, J.M.; Luettich, R.A. Transient response of the Gulf Stream to multiple hurricanes in 2017. Geophys. Res. Lett. 2018, 45, 10509. [Google Scholar] [CrossRef]
- Camelo, J.; Mayo, T.L.; Gutmann, E.D. Projected climate change impacts on hurricane storm surge inundation in the coastal United States. Front. Built Environ. 2020, 6, 588049. [Google Scholar] [CrossRef]
- Park, J.; Sweet, W.V. Accelerated sea level rise and Florida Current transport. Ocean Sci. 2015, 11, 607–615. [Google Scholar] [CrossRef]
- Ezer, T.; Atkinson, L.P.; Corlett, W.B.; Blanco, J.L. Gulf Stream’s induced sea level rise and variability along the U.S. mid-Atlantic coast. Geophys. Res. 2013, 118, 685–697. [Google Scholar] [CrossRef]
- Harper, D. What is eutrophication. In Eutrophication of Freshwaters; Springer: Dordrecht, The Netherlands, 1992. [Google Scholar] [CrossRef]
- Schindler, D.W. Recent advances in the understanding and management of eutrophication. Limnol. Oceanogr. 2006, 51, 356–363. [Google Scholar] [CrossRef]
- Chislock, M.F.; Doster, E.; Zitomer, R.A.; Wilson, A.E. Eutrophication: Causes, Consequences, and Controls in Aquatic Ecosystems. Nature Educ. Knowl. 2013, 4, 10. Available online: https://www.nature.com/scitable/knowledge/library/eutrophication-causes-consequences-and-controls-in-aquatic-102364466/ (accessed on 13 June 2023).
- Haque, S.E. How effective are existing phosphorus management strategies in mitigating surface water quality problems in the U.S.? Sustainability 2021, 13, 6565. [Google Scholar] [CrossRef]
- Hoyer, M.V.; Watson, D.L.; Willis, D.J.; Canfield, D.E., Jr. Fish Kills in Florida’s Canals, Creeks/Rivers, and Ponds/Lakes. J. Aquat. Plant Manag. 2009, 47, 53–56. Available online: https://www.apms.org/wp/wp-content/uploads/2012/10/v47p053_2009.pdf (accessed on 12 January 2022).
- Vaquer-Sunyer, R.; Duarte, C.M. Thresholds of hypoxia for marine biodiversity. Proc. Natl. Acad. Sci. USA 2008, 105, 15452–15457. [Google Scholar] [CrossRef]
- Meszaros, J. Dead Zone in Gulf of Mexico is Larger Than Average for 2021. WUSF Public Media. 2021. Available online: https://wusfnews.wusf.usf.edu/environment/2021-08-04/gulf-dead-zone-is-larger-than-average (accessed on 27 September 2021).
- NOAA. Harmful Algal Blooms. 2021. Available online: https://oceanservice.noaa.gov/hazards/hab/ (accessed on 29 August 2021).
- Shumway, S.E. A review of the effects of algal blooms on shellfish and aquaculture. World Aquac. Soc. 1990, 21, 65–104. [Google Scholar] [CrossRef]
- Moss, B.; Kosten, S.; Meerhoff, M.; Batter, R.W.; Jeppesen, E.; Mazzeo, N.; Lacerot, G.; Liu, Z.; De Meester, L.; Paerl, H.; et al. Allied attack: Climate change and eutrophication. Inland Waters 2011, 1, 101–105. [Google Scholar] [CrossRef]
- O’Neil, J.M.; Davis, T.W.; Burford, M.A.; Gobler, C.J. The rise of harmful cyanobacteria blooms: The potential roles of eutrophication and climate change. Harmful Algae 2012, 14, 313–334. [Google Scholar] [CrossRef]
- Phlips, E.J.; Badylak, S.; Nelson, N.G.; Havens, K.E. Hurricanes, El Niño and harmful algal blooms in two sub-tropical Florida estuaries: Direct and indirect impacts. Sci. Rep. 2020, 5, 1910. [Google Scholar] [CrossRef]
- Barker, S.; Ridgewell, A. Ocean Acidification. Nat. Educ. Knowl. 2012, 3, 21. Available online: https://www.nature.com/scitable/knowledge/library/ocean-acidification-25822734/ (accessed on 12 June 2023).
- Ekwurzel, B.; Boneham, J.; Dalton, M.W.; Heede, R.; Mera, R.J.; Allen, M.R.; Frumhoff, P.C. The rise in global atmospheric CO2, surface temperature, and sea level from emissions traced to major carbon producers. Clim. Chang. 2017, 144, 579–590. [Google Scholar] [CrossRef]
- Friedlingstein, P.; Jones, M.W.; O’sullivan, M.; Andrew, R.M.; Hauck, J.; Peters, G.P.; Pongratz, J.; Sitch, S.; Le Quéré, C.; Bakker, C.E. Global Carbon Budget 2019. Earth Syst. Sci. Data 2019, 11, 1783–1838. [Google Scholar] [CrossRef]
- Cai, W.J.; Hu, X.; Huang, W.J.; Murrell, M.C.; Lehter, J.C.; Lohrenz, S.E.; Chou, W.C.; Zhai, W.; Hollibaugh, J.T.; Wang, Y.; et al. Acidification of subsurface coastal waters enhanced by eutrophication. Nat. Geosci. 2011, 4, 766–770. [Google Scholar] [CrossRef]
- Ning, Z.H.; Turner, R.E.; Doyle, T.W.; Abdollahi, K. Integrated Assessment of the Climate Change Impacts on the Gulf Coast Region; Gulf Coast Climate Change Assessment Council (GCRCC), Louisiana State University (LSU) Graphic Services: Baton Rouge, LA, USA, 2003; Available online: https://www.cakex.org/documents/integrated-assessment-climate-change-impacts-gulf-coast-region (accessed on 27 June 2023).
- Gledhill, D.K.; Wanninkhof, R.; Millero, F.J.; Eakin, M. Ocean acidification of the greater Caribbean region 1996–2006. Geophys. Res. Oceans 2008, 113, C10031. [Google Scholar] [CrossRef]
- Doney, S.C.; Busch, D.S.; Cooley, S.R.; Kroeker, K.J. The impacts of ocean acidification on marine ecosystems and reliant human communities. Annu. Rev. Environ. Resour. 2020, 4, 83–112. [Google Scholar] [CrossRef]
- Engstrom, D.R.; Schottler, S.P.; Leavitt, P.R.; Havens, K.E. A reevaluation of the cultural eutrophication of Lake Okeechobee using multiproxy sediment records. Ecol. Appl. 2006, 16, 1194–1206. [Google Scholar] [CrossRef]
- SFWMD. Water Conservation—A Comprehensive Program for South Florida. 2008. Available online: https://www.sfwmd.gov/sites/default/files/documents/waterconservationplan.pdf (accessed on 10 September 2021).
- FDEP. Water Management Districts. 2019. Available online: https://floridadep.gov/water-policy/water-policy/content/water-management-districts (accessed on 9 June 2021).
- Romie, K. Water Chemistry of Lakes in the Southwest Florida Water Management District; Environmental Section, Resource Management Department, SWFWMD: Brooksville, FL, USA, 2000; Available online: https://www.swfwmd.state.fl.us/sites/default/files/medias/documents/WaterChemistryofSWFWMDLakes.pdf (accessed on 17 January 2022).
- Marella, R.L. Water Withdrawals in Florida, 2012; Open-File Report 2015-115; U.S. Geological Survey: Reston, VA, USA, 2015; 10p. [Google Scholar] [CrossRef]
- Haque, S.E. Hydrogeochemical characterization of groundwater quality in the States of Texas and Florida, United States. In Global Groundwater: Source, Scarcity, Sustainability, Security, and Solutions; Mukherjee, A., Scanlon, B.R., Aureli, A., Eds.; Elsevier: Amsterdam, The Netherlands, 2021. [Google Scholar] [CrossRef]
- Borisova, T.R. Water Withdrawals and Their Use in Florida in 2010. Publication no. FE943. 2018. Available online: https://edis.ifas.ufl.edu/publication/FE943 (accessed on 10 September 2021).
- NWFWMD. Apalachicola River and Bay Surface Water Improvement and Management Plan. Program Development Series 17-09. 2017. Available online: https://www.nwfwater.com/ (accessed on 26 August 2021).
- Carriker, R.R. Florida’s Water: Supply, Use, and Public Policy. University of Florida Extension. Institute of Food and Agricultural Sciences. 2000. Available online: https://www.tampabay.wateratlas.usf.edu/upload/documents/FL-Water-Supply-Use-Public-Policy-.pdf (accessed on 13 June 2023).
- SWFWMD. Available online: https://www.sfwmd.gov/community-residents/what-can-you-do (accessed on 23 August 2021).
- Strong, A.L.; Kroeker, K.J.; Teneva, L.T.; Mease, L.A.; Kelly, R.P. Ocean acidification 2.0: Managing our changing coastal ocean chemistry. Bioscience 2014, 64, 581–592. [Google Scholar] [CrossRef]
- Canfield, D.E., Jr.; Bachmann, R.W.; Hoyer, M.V. Restoration of Lake Okeechobee, Florida: Mission impossible? Lake Reserv. Manag. 2020, 37, 95–111. [Google Scholar] [CrossRef]
- Frazer, T.K.; Jacoby, C.A.; Notestein, S.K. Compilation and Synthesis of Existing Data in Support of the Determination of Minimum Flows for Crystal River, Task 1—Summary of Previous Studies and Data Collection Efforts. 2010. Available online: https://www.swfwmd.state.fl.us/sites/default/files/documents-and-reports/appendix/CRKB_Apps2-Frazer_SWFWMD_2017A_0.pdf (accessed on 25 January 2022).
- SWFWMD. 2015 Regional Water Supply Plan, Tampa Bay Planning Region. Southwest Florida Water Management District, Brooksville. 2018. Available online: https://www.swfwmd.state.fl.us/resources/plans-reports/rwsp/2015-regional-water-supply-plan (accessed on 25 August 2021).
- SWFWMD. 2020 Regional Water Supply Plan. 2020. Available online: https://www.swfwmd.state.fl.us/resources/plans-reports/rwsp (accessed on 17 September 2021).
- Winkler, S.; Ceric, A. 2004 Status and Trends in Water Quality at Selected Sites in the St. Johns River Water Management District. Technical Publication SJ2006-6. St. Johns River Water Management District, Palatka, Florida. 2006. Available online: http://static.sjrwmd.com/sjrwmd/secure/technicalreports/TP/SJ2006-6.pdf (accessed on 20 February 2022).
- SJRWMD. The Indian River Lagoon. 2021. Available online: https://www.sjrwmd.com/waterways/indian-river-lagoon/ (accessed on 13 January 2022).
- SJRWMD. Sea-Level Rise and Resiliency. 2021. Available online: https://www.sjrwmd.com/localgovernments/sea-level-rise/ (accessed on 13 January 2022).
- SJRWMD. Renewing the Lagoon. 2022. Available online: https://www.sjrwmd.com/waterways/renew-lagoon/ (accessed on 18 January 2022).
- SRWMD. Environmental Resource Permit. Applicant’s Handbook Volume II. 2012. Available online: https://www.mysuwanneeriver.com/DocumentCenter/View/8654/Applicant-Handbook-II?bidId= (accessed on 16 January 2022).
- SRWMD. Nitrate Concentration. 2013. Available online: http://www.srwmd.org/419/Nitrate-Concentration (accessed on 15 January 2022).
- ESA. Suwannee River Basin Surface Water Improvement and Management (SWIM) Plan Update Final. ESA/D150586.00. 2017. Available online: https://www.mysuwanneeriver.com/DocumentCenter/View/12027/Suwannee-River-Basin-SWIM-Plan?bidId= (accessed on 10 September 2021).
- SRWMD. 2021–2025 Strategic Plans. Available online: https://www.mysuwanneeriver.com/DocumentCenter/View/17697/2021-2025-Strategic-Plan (accessed on 16 September 2021).
- Doyle, T.W.; Girod, G.F.; Books, M.A. Modeling Mangrove Forest Migration along the Southwest Coast of Florida under Climate Change. In Integrated Assessment of the Climate Change Impacts on the Gulf Coast Region; Gulf Coast Climate Change Assessment Council and Louisiana State University Graphic Services: Baton Rouge, LA, USA, 2003; Available online: http://www.climateimpacts.org/us-climate-assess-2000/regions/gulf-coast/gulfcoast-chapter12.pdf (accessed on 24 September 2021).
- Ruppert, T. Sea-Level Rise in Florida—The Facts and Science; Florida Sea Grant College Program; University of Florida: Gainesville, FL, USA, 2013; Available online: https://www.flseagrant.org/wp-content/uploads/2012/02/SLR-Fact-Sheet_dual-column-letterhead_8.2.13_pdf.pdf (accessed on 15 September 2021).
- Caffrey, J.M.; Murrell, M.C. A historical perspective on eutrophication in the Pensacola Bay estuary, FL, USA. In Aquatic Microbial Ecology and Biogeochemistry: A Dual Perspective; Springer: Cham, Switzerland, 2016; pp. 199–213. [Google Scholar] [CrossRef]
- Stevenson, C. Ghost Forests; IFAS Extension; University of Florida: Gainesville, FL, USA, 2021; Available online: https://nwdistrict.ifas.ufl.edu/nat/category/sea-level-rise/ (accessed on 14 September 2021).
- NWFWMD. About. 2017. Available online: https://www.nwfwater.com/About (accessed on 15 September 2021).
- Valk, K. Climate Adaptation Efforts of Coastal Cities in the Southeast United States; Climate Institute: New York, NY, USA, 2020; Available online: http://climate.org/climate-adaptation-efforts-of-coastal-cities-in-the-southeast-united-states/ (accessed on 14 November 2021).
- City of Pensacola Climate Mitigation and Adaptation Task Force. Climate Action Recommendations. A Blueprint for Addressing Climate Change at the Municipal Level. 2018. Available online: https://www.cityofpensacola.com/DocumentCenter/View/15491/Climate-Mitigation-and-Adaptation-Task-Force-Report-PDF (accessed on 17 September 2021).
- Dieter, C.A.; Maupin, M.A.; Caldwell, R.R.; Harris, M.A.; Ivahnenko, T.I.; Lovelace, J.K.; Barber, N.L.; Kinsey, K.S. Estimated use of water in the United States in 2015. USGS Numbered Ser. 2018, 1441, 65. [Google Scholar] [CrossRef]
- University of Florida. Florida Estimates of Population 2015. Gainesville, Fla., Bureau of Economic and Business Research, 56. 2015. Available online: https://www.bebr.ufl.edu/population (accessed on 1 September 2021).
- Marella, R.L. Water Withdrawals, Uses, and Trends in Florida, 2015. U.S. Geological Survey. Sci. Investig. Rep. 2019, 2019, 52. [Google Scholar] [CrossRef]
- Barnett, C. Mirage: Florida and the Vanishing Water of the Eastern U.S.; The University of Michigan Press: Ann Arbor, MI, USA, 2007; Available online: https://www.press.umich.edu/334271/mirage (accessed on 23 September 2021).
- Borisova, T.; Wade, T. Florida’s Water Resources; UF IFAS Extension, FE757; University of Florida: Gainesville, FL, USA, 2018; Available online: https://edis.ifas.ufl.edu/publication/FE757 (accessed on 15 September 2021).
- EDR. Demographic Overview & Population Trends; Florida Complete Count Committee; The Florida Legislature Office of Economic and Demographic Research: Tallahassee, FL, USA, 2020; Available online: http://edr.state.fl.us/Content/presentations/population-demographics/DemographicTrends_1-28-20.pdf (accessed on 4 September 2021).
- O’Brien, E. Florida’s Population Growing by 900 People a Day, Report Says. WUSF Public Media. 2019. Available online: https://wusfnews.wusf.usf.edu/news/2019-07-26/floridas-population-growing-by-900-people-a-day-report-says (accessed on 24 August 2021).
- FDEP. 2018 Annual Regional Water Supply Planning Report ADA Complaint; Florida Department of Environmental Protection (FDEP): Tallahassee, FL, USA, 2019; Available online: https://floridadep.gov/water-policy/water-policy/documents/2018-annual-regional-water-supply-planning-report-ada-compliant (accessed on 2 June 2021).
- Wicks, C.M.; Herman, J.S. The Effect of a Confining Unit on the Geochemical Evolution of Groundwater in the Upper Floridan Aquifer System. J. Hydrol. 1994, 153, 139–155. Available online: https://pubs.er.usgs.gov/publication/70017988 (accessed on 10 September 2021). [CrossRef]
- Plummer, N.L.; Sprinkle, C.L. Radiocarbon dating of dissolved inorganic carbon in groundwater from confined parts of the Upper Floridan Aquifer, Florida, USA. Hydrogeol. J. 2001, 9, 127–150. [Google Scholar] [CrossRef]
- Haque, S.; Johannesson, K.H. Arsenic concentrations and speciation along a groundwater flow path: The Carrizo Sand Aquifer, Texas, USA. Chem. Geol. 2006, 228, 57–71. [Google Scholar] [CrossRef]
- SWFWMD. West-Central Florida’s Aquifers—Florida’s Great Unseen Water Resources. 2017. Available online: https://www.swfwmd.state.fl.us/sites/default/files/store_products/flas_aquifers.pdf (accessed on 13 September 2021).
- Miller, J.A. Groundwater Atlas of the United States Alabama, Florida, Georgia, and South Carolina. U.S. Geological Survey. HA 730-G; 1990. Available online: https://pubs.usgs.gov/ha/ha730/ch_g/ (accessed on 5 June 2021).
- SWFWMD. Impact of Changing Climate on the Floridan Aquifer. Aquifer Characteristics within the Southwest Florida Water Management District. Fifth Edition Report 99-1. 2009. Available online: https://www.swfwmd.state.fl.us/sites/default/files/medias/documents/aquifer_characteristics.pdf (accessed on 5 June 2021).
- Miller, J.A. Hydrogeology of Florida. In The Geology of Florida; Randazzo, A.F., Jones, D.S., Eds.; University Press of Florida: Gainesville, FL, USA, 1997; pp. 69–88. [Google Scholar]
- USGS. National Water Summary 1984: Hydrologic events, selected water-quality trends, and ground-water resources. Water-Supply Pap. 1985, 2275, 467. [Google Scholar] [CrossRef]
- FDEP. Aquifers. 2015. Available online: https://fldep.dep.state.fl.us/swapp/Aquifer.asp (accessed on 9 June 2021).
- Dogan, A.; Fares, A. Effects of Land-Use Changes and Groundwater Pumping on Saltwater Intrusion in Coastal Watersheds. Progress in Water Resources. 2008. Available online: https://www.witpress.com/Secure/elibrary/papers/9781845640910/9781845640910008FU1.pdf (accessed on 15 June 2021).
- Ranjbar, A.; Ehteshami, M. Spatio-temporal mapping of salinity in the heterogeneous coastal aquifer. Appl. Water Sci. 2019, 9, 32. [Google Scholar] [CrossRef]
- Fienen, M.N.; Arshad, M. The international scale of the groundwater issue. In Integrated Groundwater Management; Jakeman, A.J., Barreteau, O., Hunt, R.J., Rinaudo, J.D., Ross, A., Eds.; Springer: Cham, Switzerland, 2016. [Google Scholar] [CrossRef]
- Prinos, S.T. Saltwater Intrusion Monitoring in Florida, Special Isue: Status of Florida’s Groundwater Resources. Fla. Sci. 2016, 79, 269–278. Available online: https://www.jstor.org/stable/44113190 (accessed on 24 September 2021).
- Hutchings, W.C.; Tarbox, D.L. A Model of Seawater Intrusion in Surficial and Confined Aquifers of Northeast Florida. In Proceedings of the Second International Conference on Saltwater Intrusion and Coastal Aquifers—Monitoring, Modeling, and Management, Mérida, Yucatán, México, 30 March–2 April 2003; Available online: https://olemiss.edu/projects/sciencenet/saltnet/swica2/Hutchings_ext.pdf (accessed on 6 June 2021).
- Merritt, M.L. Assessment of saltwater intrusion in southern coastal Broward County, Florida. U.S. Geological Survey. Publications Warehouse. Water-Resour. Investig. Rep. 1996, 96, 4221. [Google Scholar]
- Prinos, S.T.; Wacker, M.A.; Cunningham, K.J.; Fitterman, D.V. Origins and delineation of saltwater intrusion in the Biscayne Aquifer and changes in the distribution of saltwater in Miami-Dade County, Florida. Sci. Investig. Rep. 2014, 2014–5025. [Google Scholar] [CrossRef]
- Lemaire, J.; Sisto, B. The Everglades ecosystem: Under protection or under threat? Miranda 2012, 6. [Google Scholar] [CrossRef]
- Bloetscher, F. Protecting people, infrastructure, economies, and ecosystem assets: Water management in the face of climate change. Water 2012, 4, 367–388. [Google Scholar] [CrossRef]
- Mitchum, G.T. Sea Level Changes in the Southeastern United States: Past, Present, and Future; Florida Climate Institute, Southeast Climate Consortium: Boca Raton, FL, USA, 2011. [Google Scholar]
- Missimer, T.M.; Thomas, S.; Rosen, B.H. Legacy phosphorus in Lake Okeechobee (Florida, USA) sediments: A review and new perspective. Water 2021, 13, 39. [Google Scholar] [CrossRef]
- Shannon, E.E.; Brezonik, P.L. Limnological Characteristics of North and Central Florida Lakes. Limnol. Oceanogr. 1972, 17, 97–110. Available online: https://citeseerx.ist.psu.edu/viewdoc/download?doi=10.1.1.588.2307&rep=rep1&type=pdf (accessed on 16 September 2021). [CrossRef]
- McDiffett, W.F. Limnological characteristics of eutrophic Lake Istokpoga, Florida. Fla. Sci. 1981, 44, 172–181. [Google Scholar]
- Williams, V.P. Effects of point-source removal on lake water quality: A case history of Lake Tohopekaliga, Florida. Lake Reserv. Manag. 2001, 17, 315–329. [Google Scholar] [CrossRef]
- Tilman, D.H.; Cerco, C.F.; Noel, M.R.; Martin, J.L.; Hamrick, J. Three-Dimensional Eutrophication Model of the Lower St. John River, Florida. US Army Corps of Engineers. Engineer Research and Development Center. ERDC/EL TR-04-13. 2004. Available online: https://www.researchgate.net/publication/235115223_Three-Dimensional_Eutrophication_Model_of_the_Lower_St_John_River_Florida (accessed on 20 August 2021).
- Bachmann, R.W.; Bigham, D.L.; Hoyer, M.V.; Canfield, D.E., Jr. Phosphorus, nitrogen, and the designated uses of Florida Lakes. Lake Reserv. Manag. 2012, 28, 46–58. [Google Scholar] [CrossRef]
- Havens, K.E.; Ji, G.; Beaver, J.R.; Fulton, R.S., III; Teacher, C.E. Dynamics of cyanobacteria blooms are linked to the hydrology of shallow Florida lakes and provide insight into possible impacts of climate change. Hydrobiologia 2019, 829, 43–59. [Google Scholar] [CrossRef]
- Merel, S.; Walker, D.; Chicana, R.; Snyder, S.; Baurès, E.; Thomas, O. State of knowledge and concerns on cyanobacterial blooms and cyanotoxins. Environ. Int. 2013, 59, 303–327. [Google Scholar] [CrossRef] [PubMed]
- Preece, E.P.; Hardy, J.; Moore, B.C.; Bryan, M. A review of microcystin detections in estuarine and marine waters: Environmental implications and human health risk. Harmful Algae 2017, 61, 31–45. [Google Scholar] [CrossRef]
- Lapointe, B.E.; Clark, M.W. Nutrient inputs from the watershed and coastal eutrophication in the Florida Keys. Estuaries 1992, 15, 465–476. [Google Scholar] [CrossRef]
- Sime, P.S. Lucie Estuary and Indian River Lagoon conceptual ecological model. Wetlands 2005, 25, 898–907. [Google Scholar] [CrossRef]
- Lapointe, B.E.; Herren, L.W.; Debortoli, D.D.; Vogel, M.A. Evidence of sewage-driven eutrophication and harmful algal blooms in Florida’s Indian River Lagoon. Harmful Algae 2015, 43, 82–102. [Google Scholar] [CrossRef]
- Havens, K. The Future of Harmful Algal Blooms in Florida Inland and Coastal Waters. Publication #TP-231. 2018. Available online: https://edis.ifas.ufl.edu/pdf/SG/SG15300.pdf (accessed on 6 June 2021).
- Kramer, B.J.; Davis, T.W.; Meyer, K.A.; Rosen, B.H.; Goleski, J.A.; Dick, G.J.; Oh, G.; Gobler, C.J. Nitrogen limitation, toxin synthesis potential, and toxicity of cyanobacterial populations in Lake Okeechobee and the St. Lucie River Estuary, Florida, during the 2016 state of emergency event. PLoS ONE 2018, 13, e0196278. [Google Scholar] [CrossRef]
- Phlips, E.J.; Badylak, S.; Christman, M.; Wolny, J.; Brame, J.; Garland, J.; Hall, L.; Hart, J.; Landsberd, J.; Lasi, M.; et al. Scales of temporal and spatial variability in the distribution of harmful algae species in the Indian River Lagoon, Florida, USA. Harmful Algae 2011, 10, 277–290. [Google Scholar] [CrossRef]
- Brand, L.E.; Compton, A. Long-term increase in Karenia brevis abundance along the Southwest Florida Coast. Harmful Algae 2007, 6, 232–252. [Google Scholar] [CrossRef]
- Gannon, D.P.; McCabe, E.J.B.; Camilleri, S.A.; Gannon, J.G.; Brueggen, M.K.; Barley, A.A.; Palubok, V.I.; Kirkpatrick, G.J.; Wells, R.S. Effects of Karenia brevis harmful algal blooms on nearshore fish communities in Southwest Florida. Mar. Ecol. Prog. Ser. 2009, 378, 171–186. [Google Scholar] [CrossRef]
- NOAA. Fall 2018 Red Tide Event That Affected Florida and the Gulf Coast. National Ocean Service Website; 2021. Available online: https://oceanservice.noaa.gov/hazards/hab/florida-2018.html (accessed on 28 August 2021).
- Havens, K. Managing high water levels in Florida’s largest lake: Lake Okeechobee. EDIS 2018. [Google Scholar] [CrossRef]
- USEPA. Impacts of Climate Change on the Occurrence of Harmful Algal Llooms. EPA 820-S-13-001. MC 4304T. 2013. Available online: https://www.epa.gov/sites/production/files/documents/climatehabs.pdf (accessed on 4 September 2021).
- Havens, K.E.; Ji, G. Multiyear oscillations in depth affect water quality in Lake Apopka. Inland Waters 2018, 8, 1. [Google Scholar] [CrossRef]
- Paerl, H.W.; Huisman, J. Blooms like it hot. Science 2008, 320, 57–58. [Google Scholar] [CrossRef]
- Paerl, H.W.; Huisman, J. Climate change: A catalyst for global expansion of harmful cyanobacterial blooms. Environ. Microbiol. Rep. 2009, 1, 27–37. [Google Scholar] [CrossRef]
- Paerl, H.W.; Otten, T.G. Harmful cyanobacterial blooms: Causes, consequences, and control. Microb. Ecol. 2013, 65, 995–1010. [Google Scholar] [CrossRef] [PubMed]
- Heil, C.A.; Muni-Morgan, A.L. Florida’s harmful algal bloom (HAB) problem: Escalating risks to human, environmental and economic health with climate change. Front. Ecol. Evol. 2021, 9, 646080. [Google Scholar] [CrossRef]
- Jochens, A.E.; Malone, T.C.; Stumpf, R.P.; Richard, P.; Hickey, B.M.; Carter, C.; Morrison, R.; Juli, D.; Burt, J.; Trainer, V.L. Integrated ocean observing system in support of forecasting harmful algal blooms. Mar. Technol. Soc. 2010, 44, 99–121. [Google Scholar] [CrossRef]
- West, J.J.; Järnberg, L.; Berdalet, E.; Cusack, C. Understanding and managing harmful algal bloom risks in a changing climate: Lessons from the European CoCliME Project. Front. Clim. 2021, 3, 636723. [Google Scholar] [CrossRef]
- Aumen, N.G.; Havens, K.E. Okeechobee Lake, Florida, USA: Human impacts, research, and lake restoration. In Encyclopaedia of Hydrology and Lakes; Encyclopaedia of Earth Science; Springer: Dordrecht, The Netherlands, 1998. [Google Scholar] [CrossRef]
- Havens, K.E.; James, R.T. Localized changes in transparency linked to mud sediment expansion in Lake Okeechobee, Florida: Ecological and management implications. Lake Reserv. Manag. 1999, 15, 54–69. [Google Scholar] [CrossRef]
- Galoustian, G. FAU Awarded $2.2 Million to Monitor Algal Blooms in Lake Okeechobee. Florida Atlantic University. 2020. Available online: https://www.fau.edu/newsdesk/articles/habs-lake-okeechobee.php (accessed on 20 September 2021).
- Lefler, F.W.; Barbosa, M.; Berthold, D.E.; Laughinghouse IV, H.D. Genome sequences of two Microcystis aeruginosa (Chroococcales, cyanobacteria) strains from Florida (United States) with disparate toxigenic potentials. Microbiol. Resour. Announc. 2020. [Google Scholar] [CrossRef]
- FDEP. 2020 Integrated Water Quality Assessment for Florida: Sections 303(d), 305(b), and 314 Report and Listing Update; Division of Environmental Assessment and Restoration Florida Department of Environmental Protection: Tallahassee, FL, USA, 2020; Available online: https://floridadep.gov/sites/default/files/2020_IR_Master_FINAL%20-%20ADA.pdf (accessed on 31 August 2021).
- Goly, A.; Teegavarapu, R.S. Individual and coupled influences of AMO and ENSO on regional precipitation characteristics and extremes. Water Resour. Res. 2014, 50, 4686–4709. [Google Scholar] [CrossRef]
- Steward, J.S.; Virnstein, R.W.; Morris, L.J.; Lowe, E.F. Setting seagrass depth, coverage, and light targets for the Indian River Lagoon System, Florida. Estuaries 2005, 28, 923–935. [Google Scholar] [CrossRef]
- Phlips, E.J.; Badylak, S.; Christman, M.C.; Lasi, M.A. Climatic trends and temporal patterns of phytoplankton composition, abundance, and succession in the Indian River Lagoon, Florida, USA. Estuar. Coasts 2010, 33, 498–512. [Google Scholar] [CrossRef]
- SJRWMD. The Indian River Lagoon—The Health and Future of This Estuary of National Significance. 2008. Available online: http://www.sjrwmd.com/irlinsert/#3 (accessed on 30 August 2021).
- NOAA. National Estuarine Eutrophication Survey. Volume 1: South Atlantic Region; Office of Ocean Resources Conservation and Assessment, National Ocean Service, National Oceanic and Atmospheric Administration, U.S. Department of Commerce: Washington, DC, USA, 1996; Available online: https://www.govinfo.gov/content/pkg/CZIC-qh91-8-e87-n63-1996-v-1/html/CZIC-qh91-8-e87-n63-1996-v-1.htm (accessed on 25 May 2021).
- FFWCC. Effects of Brown Tide in the Indian River Lagoon. 2012. Available online: https://myfwc.com/research/redtide/monitoring/historical-events/brown-tide/ (accessed on 22 September 2021).
- Landsberg, J.H.; Hall, S.; Johannessen, J.N.; White, K.D.; Conrad, S.M.; Abbott, J.P.; Flewelling, L.J.; Richardson, R.W.; Dickey, R.W.; Jester, E.L.E.; et al. Saxitoxin puffer fish poisoning in the United States, with the first report of Pyrodinium Bahamense as the putative toxin source. Environ. Health Perspect. 2006, 114, 1502–1507. [Google Scholar] [CrossRef]
- Phlips, E.J.; Badylak, S.; Bledsoe, E.; Cicjra, M. Factors affecting the distribution of Pyrodinium Bahamense var. Bahamense in coastal waters of Florida. Mar. Ecol. Prog. Ser. 2006, 322, 99–115. [Google Scholar] [CrossRef]
- Gobler, C.J.; Koch, F.; Kang, Y.; Berry, D.L.; Tang, Y.Z.; Lasi, M.; Walters, L.; Hall, L.; Miller, J.D. Expansion of harmful brown tides caused by the pelagophyte, Aureoumbra lagunensis DeYoe et Stockwell, to the US East Coast. Harmful Algae 2013, 27, 9–41. [Google Scholar] [CrossRef]
- Kang, Y.; Koch, F.; Gobler, C. The interactive roles of nutrient loading and zooplankton grazing in facilitating the expansion of harmful algal blooms caused by the pelagophyte, Aureoumbra lagunensis, to the Indian River Lagoon, FL, USA. Harmful Algae 2015, 49, 162–173. [Google Scholar] [CrossRef]
- Ingebritsen, S.E.; McVoy, C.; Glaz, B.; Park, W. Florida Everglades. In Subsidence Threatens Agriculture and Complicates Ecosystem Restoration; Galloway, D., Jones, D.R., Ingebritsen, S.E., Eds.; Land Subsidence in the United States; U.S. Geological Survey Circular: Reston, VA, USA, 1999; Volume 1182, pp. 95–106. [Google Scholar]
- Harvey, J.W.; McCormick, P.V. Groundwater’s significance to changing hydrology, water chemistry, and biological communities of a floodplain ecosystem, Everglades, South Florida, USA. Hydrogeol. J. 2009, 17, 185–201. [Google Scholar] [CrossRef]
- Harvey, R.G.; Loftus, W.F.; Rehage, J.S.; Mazzotti, F.J. Effect of Canals and Levees on Everglades Ecosystems: Circular. Publication #WEC304. 2011. Available online: https://edis.ifas.ufl.edu/publication/UW349 (accessed on 9 September 2021).
- Wright, A.L.; Reddy, K.R.; Newman, S. Biogeochemical Response of the Everglades Landscape to Eutrophication. Glob. Environ. Res. 2008, 2, 102–109. Available online: https://soils.ifas.ufl.edu/wetlands/publications/PDF-articles/329.Biogeochemical%20Response%20of%20the%20Everglades%20Landscape%20to%20Eutrophication.pdf (accessed on 9 September 2021).
- Piccininni, F. Adaptation to climate change and the Everglades ecosystem. Environ. Claims 2014, 26, 63–68. [Google Scholar] [CrossRef]
- National Academy of Sciences. Progress toward Restoring the Everglades: The Third Biennial Review; The National Academies Press: Washington, DC, USA, 2014; Available online: https://nap.nationalacademies.org/resource/12988/Everglades-Report-Brief-Final.pdf (accessed on 9 September 2021).
- Kozacek, C. Algal Blooms Are No Accident for Florida Everglades and Estuaries. Circle of Blue Where Water Speaks. 2016. Available online: https://www.circleofblue.org/2016/united-states/algal-blooms-no-accident-florida-everglades-estuaries/ (accessed on 24 August 2021).
- Childers, D.L.; Doren, R.F.; Jones, R.; Noe, G.B.; Rugge, M.; Scinto, L.J. Decadal Change in Vegetation and Soil Phosphorus Patterns Across the Everglades Landscape. Environ. Qual. 2003, 32, 344–362. Available online: https://water.usgs.gov/nrp/sheetflow/publications/Childers_2003_JEQtransect.pdf (accessed on 13 June 2023). [CrossRef]
- NPS. Sea-Level Rise in Everglades National Park. 2015. Available online: https://www.nps.gov/ever/learn/nature/cceffectsslrinpark.htm (accessed on 29 May 2021).
- NPS. Comprehensive Everglades Restoration Plan. 2017. Available online: https://www.nps.gov/ever/learn/nature/cerp.htm (accessed on 6 June 2021).
- Schade-Poole, K.; Möller, G. Impact and mitigation of nutrient pollution and overland water flow change on the Florida Everglades, USA. Sustainability 2016, 8, 940. [Google Scholar] [CrossRef]
- van der Valk, A.G.; Volin, J.C.; Wetzel, P.R. Predicted changes in the Southeast United States interannual water-level fluctuations due to climate change and its implications for the vegetation of the Florida Everglades. Environ. Manag. 2015, 55, 799–806. [Google Scholar] [CrossRef] [PubMed]
- Stabenau, E.; Engel, V.; Sadle, J.; Pearlstine, L.G. Sea-Level Rise: Observations, Impacts, and Proactive Measures in Everglades National Park. Park Sci. 2011, 28, 26–30. Available online: https://www.researchgate.net/publication/286374988_Sea-level_rise_Observations_impacts_and_proactive_measures_in_Everglades_National_park (accessed on 13 June 2023).
- Shoemaker, W.B.; Sumner, D.M. Alternate corrections for estimating actual wetland evapotranspiration from potential evapotranspiration. Wetlands 2006, 26, 528–543. [Google Scholar] [CrossRef]
- Shoemaker, W.B.; Lopez, C.D.; Duever, M.J. Evapotranspiration over Spatially Extensive Plant Communities in the Big Cypress National Preserve, Southern Florida, 2007–2010. United States Geological Survey, Scientific Investigations Report 2011–5212; 2011; pp. 1–59. Available online: https://pubs.usgs.gov/sir/2011/5212/ (accessed on 28 August 2021).
- McCarthy, K.M. Apalachicola Bay; Pineapple Press, Inc.: Sarasota, FL, USA, 2004. [Google Scholar]
- Torak, L.J.; Crilley, D.M.; Painter, J.A. Physical and Hydrochemical Evidence of Lake Leakage near Jim Woodruff Lock and Dam and of Ground-Water Inflow to Lake Seminole, and an Assessment of Karst Features in and near the Lake, Southwestern Georgia and Northwestern Florida; Scientific Investigations Report 2005-5084; U.S. Department of the Interior, U.S. Geological Survey: Reston, VA, USA, 2005. Available online: https://pubs.usgs.gov/sir/2005/5084/pdf/sir05-5084.pdf (accessed on 21 September 2021).
- USGS. Surface-Water Annual Statistics for Florida; U.S. Department of the Interior and U.S. Geological Survey: Reston, VA, USA, 2012. Available online: http://waterdata.usgs.gov/fl/nwis/sw (accessed on 12 June 2021).
- Chen, X.; Alizad, K.; Wang, D.; Hagen, S.C. Climate change impact on runoff and sediment loads to the Apalachicola River at seasonal and event scales. Coast Res. 2014, 68, 35–42. [Google Scholar] [CrossRef]
- Wang, D.; Hagen, S.C.; Alizad, K. Climate change impact and uncertainty analysis of extreme rainfall events in the Apalachicola River Basin, Florida. J. Hydrol. 2013, 480, 125–135. [Google Scholar] [CrossRef]
- Manzello, D.P.; Enochs, I.C.; Melo, N.; Gledhill, D.K.; Johns, E.M. Ocean acidification refugia of the Florida Reef Tract. PLoS ONE 2012, 7, e41715. [Google Scholar] [CrossRef]
- Willett, M.A. Effect of Dissolution of the Florida Carbonate Platform on Isostatic Uplift and Relative Sea-Level Change. 2006. Available online: http://purl.flvc.org/fsu/fd/FSU_migr_etd-1000 (accessed on 25 December 2021).
- Tihansky, A.B. Sinkholes, West-Central Florida. In Land Subsidence in the United States: USGS Circular; Galloway, D., Jones, D.R., Ingebritsen, S.E., Eds.; USGS: Reston, VA, USA, 1999; Volume 1182, pp. 121–140. Available online: https://fl.water.usgs.gov/PDF_files/cir1182_tihansky.pdf (accessed on 25 August 2021).
- Borgesa, A.V.; Gypensb, N. Carbonate chemistry in the coastal zone responds more strongly to eutrophication than ocean acidification. Limnol. Oceanogr. 2010, 55, 346–353. [Google Scholar] [CrossRef]
- Lapointe, B.E.; Matzie, W.R. Effects of stormwater nutrient discharges on eutrophication processes in nearshore waters of the Florida Keys. Estuaries 1996, 19, 422–435. [Google Scholar] [CrossRef]
- Laurent, A.; Fennel, K.; Ko, D.S.; Lehrter, J. Climate change projected to exacerbate impacts of coastal eutrophication in the northern Gulf of Mexico. Geophys. Res. Oceans 2018, 123, 3408–3426. [Google Scholar] [CrossRef]
- Landsberg, J.H.; Kiryu, Y.; Peters, E.C.; Wilson, P.W.; Perry, N.; Waters, Y.; Maxwell, K.E.; Huebner, L.K.; Work, T.M. Stony coral tissue loss disease in Florida in associated with disruption of host–zooxanthellae physiology. Front. Mar. Sci. 2020, 16, 576013. [Google Scholar] [CrossRef]
- FDEP. Stony Coral Tissue Loss Disease Response. 2021. Available online: https://floridadep.gov/rcp/coral/content/stony-coral-tissue-loss-disease-response (accessed on 3 September 2021).
- Bruno, J.F.; Selig, E.R.; Casey, K.S.; Page, C.A.; Willis, B.L.; Harvell, C.D.; Sweatman, H.; Melendy, A.M. Thermal stress and coral cover as drivers of coral disease outbreaks. PLoS Biol. 2007, 5, e124. [Google Scholar] [CrossRef] [PubMed]
- Kuffner, I.B.; Lidz, B.H.; Hudson, J.H.; Anderson, J.S. A century of ocean warming on Florida Keys coral reefs: Historic in situ observations. Estuar. Coasts 2015, 38, 1085–1096. [Google Scholar] [CrossRef]
- Manzello, D.P. Rapid recent warming of coral reefs in the Florida Keys. Sci. Rep. 2015, 5, 16762. [Google Scholar] [CrossRef]
- Morey, S.; Koch, M.; Liu, Y.; Lee, S.K. Florida’s oceans and marine habitats in a changing climate. In Florida’s Climate: Changes, Variations, & Impacts; Florida Climate Institute: Boca Raton, FL, USA, 2017. [Google Scholar] [CrossRef]
- VisitFlorida. 2022. Available online: https://www.visitflorida.com/about-us/ (accessed on 8 February 2022).
Disclaimer/Publisher’s Note: The statements, opinions and data contained in all publications are solely those of the individual author(s) and contributor(s) and not of MDPI and/or the editor(s). MDPI and/or the editor(s) disclaim responsibility for any injury to people or property resulting from any ideas, methods, instructions or products referred to in the content. |
© 2023 by the author. Licensee MDPI, Basel, Switzerland. This article is an open access article distributed under the terms and conditions of the Creative Commons Attribution (CC BY) license (https://creativecommons.org/licenses/by/4.0/).