Effects of Gamification on Students’ English Language Proficiency: A Meta-Analysis on Research in South Korea
Abstract
1. Introduction
1.1. Gaming Elements in Gamification
1.2. Contributions of This Study
- To evaluate the effect of gamification on the English proficiency of Korean students.
- To identify the moderating factors, such as gaming elements, influencing the effects of gamification on Korean students’ English proficiency.
- To investigate any differences in the effects of gamification on Korean students’ English proficiency based on various dependent variables.
2. Methods
2.1. Selection of Studies for Analysis
- (a)
- Only studies that empirically investigated gamified practices were included, excluding any that simply discussed or described gamification without empirical backing.
- (b)
- The focus was placed on studies conducted in K-12 or higher education settings. Any studies where interventions were held in out-of-school environments, such as private tutoring or extracurricular academies, were omitted.
- (c)
- Included studies were required to objectively measure students’ English proficiency after the treatment. Studies were excluded if they solely relied on self-reported data about students learning achievements.
- (d)
- Studies had to explicitly mention the usage of at least one game element. Those not specifying the game elements used were excluded.
- (e)
- Finally, studies were excluded if their datasets or results lacked sufficient information for effect size calculations, such as missing sample size data or mean scores without corresponding standardized deviation values.
2.2. Codebook
2.3. Instruments and Analysis
3. Results and Discussion
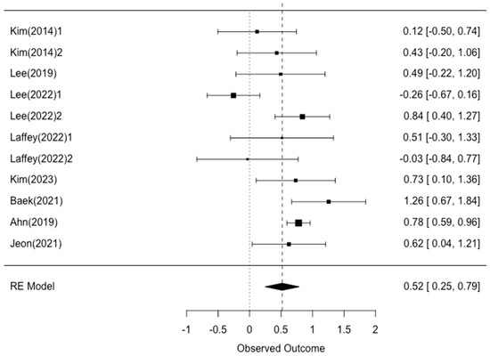
3.1. Homogeneity Test and Assessment of Effect Sizes
3.2. Publication Bias
3.3. Effect Sizes by Moderating Variables
3.3.1. Subgroup Analysis
- Publication type
- 2.
- Experimental design
- 3.
- School level
- 4.
- Technology use
- 5.
- Gaming elements
3.3.2. Meta-Regression Analysis
3.4. Mean Effect Sizes by Dependent Variables
4. Conclusions and Implications
Author Contributions
Funding
Data Availability Statement
Conflicts of Interest
Appendix A. Coding Results I
| Study | PT | ED | SL | TU | G | P | W | S | S/W | DV |
| Kim (2014) [18] | Journal | Quasi | University | Yes | 14 | 38 | 15 | 30 | 2 | Achievement |
| Lee (2019) [42] | Journal | Quasi | Primary | Yes | 6 | 30 | 12 | - | - | Speaking |
| Lee (2022) [11] | Journal | Quasi | University | Yes | 12 | 87 | 15 | 30 | 2 | Reading, Writing |
| Laffey (2022) [19] | Journal | Quasi | University | Yes | 14.59 | 22 | 15 | - | - | Writing |
| Kim (2023) [54] | Thesis | Quasi | Primary | Yes | 5 | 40 | 4 | 6 | 1.5 | Vocabulary |
| Baek (2021) [55] | Thesis | Quasi | Primary | No | 4 | 52 | 12 | 24 | 2 | Vocabulary |
| Ahn (2019) [41] | Thesis | Pre | Primary | No | 3.5 | 148 | 10 | 10 | 1 | Listening |
| Jeon (2021) [56] | Thesis | Quasi | Secondary | Yes | 12 | 46 | 6 | 8 | 1.33 | Vocabulary |
| PT: Publication Type, ED: Experimental Design, SL: School Level, TU: Technology Use, G: Grade, P: Participants, W: Weeks, S: Sessions, S/W: Sessions per Week, DV: Dependent Variable. | ||||||||||
Appendix B. Coding Results II
| Study | A/C | P/S | L/S | F | L | C | M/C | S/F | B/R | NGE |
| Kim (2014) [18] | O | O | O | O | - | O | - | - | - | 5 |
| Lee (2019) [42] | - | O | - | - | - | - | - | - | - | 1 |
| Lee (2022) [11] | - | O | O | - | - | - | O | - | - | 3 |
| Laffey (2022) [19] | - | O | - | - | O | - | O | O | - | 4 |
| Kim (2023) [54] | - | - | O | O | - | - | - | - | - | 2 |
| Baek (2021) [55] | O | - | O | - | - | - | O | O | O | 5 |
| Ahn (2019) [41] | - | O | O | - | O | O | - | O | O | 6 |
| Jeon (2021) [56] | - | O | O | - | O | O | O | - | O | 6 |
| A/C: Avatar/Character, P/S: Point/Score, L/S: Leaderboard/Scoreboard, F: Feedback, L: Level, C: Collaboration, M/C: Mission/Challenge, S/F: Story/Fiction, B/R: Badge/Reward, NGE: Number of Gaming Elements. | ||||||||||
References
- Zimmerman, E. Position statement: Manifesto for a ludic century. In The Gameful Word: Approaches, Issues, Applications; Walz, S.P., Deterding, S., Eds.; The MIT Press: Cambridge, MA, USA, 2015; pp. 19–22. [Google Scholar]
- Bai, S.; Hew, K.F.; Huang, B. Does gamification improve student learning outcome? Evidence from a meta-analysis and synthesis of qualitative data in educational contexts. Educ. Res. Rev. 2020, 30, 100322. [Google Scholar] [CrossRef]
- Gee, J.P. What Video Games Have to Teach Us about Learning and Literacy; Palgrave Macmillan: New York, NY, USA, 2003. [Google Scholar]
- Burke, B. Gamify: How Gamification Motivates People to Do Extraordinary Things; Bibliomotion: New York, NY, USA, 2014. [Google Scholar]
- Le-Thi, D.; Dörnyei, Z.; Pellicer-Sánchez, A. Increasing the effectiveness of teaching L2 formulaic sequences through motivational strategies and mental imagery: A classroom experiment. Lang. Teach. 2020, 26, 136216882091312. [Google Scholar] [CrossRef]
- Philp, J.; Duchesne, S. Exploring engagement in tasks in the language classroom. Annu. Rev. Appl. Linguist. 2016, 36, 50–72. [Google Scholar] [CrossRef]
- Berns, A.; Isla-Montes, J.; Palomo-Duarte, M.; Dodero, J. Motivation, students’ needs and learning outcomes: A hybrid game-based app for enhanced language learning. SpringerPlus 2016, 5, 1305. [Google Scholar] [CrossRef] [PubMed]
- Hung, H. Clickers in the flipped classroom: Bring your own device (BYOD) to promote student learning. Interact. Learn. Environ. 2017, 25, 983–995. [Google Scholar] [CrossRef]
- Purgina, M.; Mozgovoy, M.; Mozgovoy, M. WordBricks: Mobile technology and visual grammar formalism for gamification of natural language grammar acquisition. J. Educ. 2019, 58, 073563311983301. [Google Scholar] [CrossRef]
- Cardoso, W.; Rueb, A.; Grimshaw, J. Can an interactive digital game help French learners improve their pronunciation? In CALL in a Climate of Change: Adapting to Turbulent Global Conditions—Short Papers from EUROCALL 2017; Borthwick, K., Bradley, L., Thouësny, S., Eds.; Research-Publishing.Net: Dublin, Ireland, 2017; pp. 67–72. [Google Scholar]
- Lee, J. Effects of using gamification-based quiz on recalling formulaic sequences. Int. Promot. Agency Cult. Technol. 2022, 8, 589–596. [Google Scholar] [CrossRef]
- Munday, P. The case for using Duolingo as part of the language classroom experience. RIED 2016, 19, 83–101. [Google Scholar] [CrossRef]
- Koivisto, J.; Hamari, J. The rise of motivational information systems: A review of gamification research. Int. J. Inf. Manag. 2019, 45, 191–210. [Google Scholar] [CrossRef]
- Sailer, M.; Hense, J.U.; Mayr, S.K.; Mandl, H. How gamification motivates: An experimental study of the effects of specific game design elements on psychological need satisfaction. Comput. Hum. 2017, 69, 371–380. [Google Scholar] [CrossRef]
- Dignan, A. Game Frame: Using Games as a Strategy for Success; Free Press: New York, NY, USA, 2011. [Google Scholar]
- Hanus, M.D.; Fox, J. Assessing the effects of gamification in the classroom: A longitudinal study on intrinsic motivation, social comparison, satisfaction, effort, and academic performance. Comput. Educ. 2014, 80, 152–161. [Google Scholar] [CrossRef]
- Toda, A.M.; Klock, A.C.T.; Oliveira, W.; Palomino, P.T.; Rodrigues, L.; Shi, L.; Bittencourt, I.; Gasparini, I.; Isotani, S.; Cristea, A.I. Analysing gamification elements in educational environments using an existing Gamification taxonomy. Smart Learn. Environ. 2019, 16, 6. [Google Scholar] [CrossRef]
- Kim, S. Effects of a gamified learning environment on learning experiences: A case study of a general English course using relative evaluation policy. MALL 2014, 17, 68–94. [Google Scholar]
- Laffey, D. Gamification and EFL writing: Effects on student motivation. ETAK 2022, 28, 23–42. [Google Scholar] [CrossRef]
- Toda, A.M.; Valle, P.H.D.; Isotani, S. The dark side of gamification: An overview of negative effects of gamification in education. In Higher Education for All: From Challenges to Novel Technology-Enhanced Solutions; Cristea, A., Bittencourt, I., Lima, F., Eds.; Springer: Cham, Switzerland, 2018; pp. 143–156. [Google Scholar]
- Lee, J.; Hammer, J. Gamification in education: What, how, why bother? Acad. Exch. Q. 2011, 15, 146. [Google Scholar]
- Kwon, B.; Lyou, C. The meta-analysis or domestic gamification research: Status and suggest. Humancon 2015, 39, 97–124. [Google Scholar] [CrossRef]
- Ministry of Education. 2022 Revised English Language Curriculum; Ministry of Education: Sejong, Republic of Korea, 2022.
- Kim, S.; Lee, Y. Development of TPACK-P education program for improving technological pedagogical content knowledge of pre-service teacher. J. Korea Soc. Comput. Inf. 2017, 22, 141–152. [Google Scholar]
- Yi, S.; Lee, Y. The effects of software education teaching efficacy (SE-TE) of in-service teachers on backward design based TPACK-P teachers’ training program. KACE 2019, 22, 113–121. [Google Scholar]
- Kim, Y.M. Pre-service English teachers’ mobile information and communication technology-technological pedagogy and content knowledge. FLE 2018, 25, 1–25. [Google Scholar] [CrossRef]
- Borenstein, M.; Hedges, L.V.; Higgins, J.P.T.; Rothstein, H.R. Introduction to Meta-Analysis; John Wiley & Sons: West Sussex, UK, 2009. [Google Scholar]
- Morrison, A.; Polisena, J.; Husereau, D.; Moulton, K.; Clark, M.; Fiander, M.; Mierzwinski-Urban, M.; Clifford, T.; Hutton, B.; Rabb, D. The effect of English-language restriction on systematic review-based meta-analyses: A systematic review of empirical studies. Int. J. Technol. Assess. Health Care 2012, 28, 138–144. [Google Scholar] [CrossRef]
- Pieper, D.; Puljak, L. Language restrictions in systematic reviews should not be imposed in the search strategy but in the eligibility criteria if necessary. J. Clin. Epidemiol. 2021, 132, 146–147. [Google Scholar] [CrossRef] [PubMed]
- Card, N.A. Applied Meta-Analysis for Social Science Research; Guildord Press: New York, NY, USA, 2012. [Google Scholar]
- Egger, M.; Smith, G.D.; Schneider, M.; Minder, C. Bias in meta-analysis detected by a simple, graphical test. BMJ 1997, 315, 629–634. [Google Scholar] [CrossRef] [PubMed]
- Sutton, A.J.; Duval, S.J.; Tweedie, R.L.; Abrams, K.R.; Jones, D.R. Empirical assessment of effect of publication bias on meta-analyses. BMJ 2000, 320, 1574–1577. [Google Scholar] [CrossRef] [PubMed]
- Moher, D.; Liberati, A.; Tetzlaff, J.; Altman, D.G. Preferred reporting items for systematic reviews and meta-analyses: The PRISMA statement. BMJ 2009, 339, b2535. [Google Scholar] [CrossRef]
- Huang, R.; Ritzhaupt, A.D.; Sommer, M.; Zhu, J.; Stephen, A.; Valle, N.; Hampton, J.; Li, J. The impact of gamification in educational settings on student learning outcomes: A meta-analysis. Educ. Technol. Res. Dev. 2020, 68, 1875–1901. [Google Scholar] [CrossRef]
- Sailer, M.; Hommer, L. The gamification of learning: A meta-analysis. Educ. Psychol. Rev. 2020, 32, 77–112. [Google Scholar] [CrossRef]
- Yıldırım, İ.; Şen, S. The effects of gamification on students’ academic achievement: A meta-analysis study. Interact. Learn. Environ. 2021, 29, 1301–1318. [Google Scholar] [CrossRef]
- Brown, J.D. Understanding Research in Second Language Learning: A Teacher’s Guide to Statistics and Research Design; Cambridge University Press: Cambridge, UK, 1988. [Google Scholar]
- Dichev, C.; Dicheva, D. Gamifying education: What is known, what is believed and what remains uncertain: A critical review. Int. J. Educ. Technol. High. Educ. 2017, 14, 9. [Google Scholar] [CrossRef]
- Kim, J.; Castelli, D.M. Effects of gamification on behavioral change in education: A meta-analysis. Int. J. Environ. Res. Public Health 2021, 18, 3550. [Google Scholar] [CrossRef]
- Landers, R.N. Developing a theory of gamified learning: Linking serious games and gamification of learning. Simul. Gaming 2014, 45, 752–768. [Google Scholar] [CrossRef]
- Ahn, Y. The Effects of a Phonemic Awareness Activity Class with Gamification on English Phonemic Awareness and Affective Domains in Elementary School Students, and Observation for the Influence of the Native Language on Phonemic Awareness. Master’s Thesis, Cyber Hankuk University of Foreign Studies, Seoul, Republic of Korea, 2019. [Google Scholar]
- Lee, S. The effects of Gamification-based Artificial Intelligence Chatbot activities on elementary English learners’ speaking performance and affective domains. Korean Soc. Elem. Engl. Educ. 2019, 25, 75–98. [Google Scholar] [CrossRef]
- Little, R.J.A.; Rubin, D.B. Statistical Analysis with Missing Data, 3rd ed.; Wiley: Hoboken, NJ, USA, 2019. [Google Scholar]
- Schafer, J.; Graham, J.W. Missing data: Our view of the state of the art. Psychol. Methods 2002, 7, 147–177. [Google Scholar] [CrossRef]
- Allison, P.D. Missing Data; Sage: Thousand Oaks, CA, USA, 2002. [Google Scholar]
- Rubin, D.B. Multiple Imputations for Nonresponse in Surveys; John Wiley & Sons: New York, NY, USA, 1987. [Google Scholar]
- Cummings, G. Understanding the New Statistics: Effect Sizes, Confidence Intervals, and Meta-Analysis; Routledge: New York, NY, USA, 2012. [Google Scholar]
- Cohen, J. Statistical Power for the Behavioral Sciences, 2nd ed.; Academic Press: New York, NY, USA, 1988. [Google Scholar]
- Ferguson, C.J. An effect size primer: A guide for clinicians and researchers. Prof. Psychol. Res. Pract. 2009, 40, 532–538. [Google Scholar] [CrossRef]
- Lakens, D. Calculating and reporting effect sizes to facilitate cumulative science: A practical primer for t-tests and ANOVAs. Front. Psychol. 2013, 4, 863. [Google Scholar] [CrossRef]
- Plonsky, L.; Oswald, F.L. How big is “big”? Interpreting effect sizes in L2 research. Lang. Learn. 2014, 64, 878–912. [Google Scholar] [CrossRef]
- Sawilowsky, S.S. New effect size rules of thumb. J. Mod. Appl. Stat. Methods 2009, 8, 597–599. [Google Scholar] [CrossRef]
- Higgins, J.P.T.; Thompson, S.G.; Deeks, J.J.; Altman, D.G. Measuring inconsistency in meta-analyses. BMJ 2003, 327, 557–560. [Google Scholar] [CrossRef]
- Kim, H. A Study of the Improvement of Elementary Students’ English Vocabulary Through Gamification Using Kahoot Application. Master’s Thesis, Woosuk University, Jeonbuk, Republic of Korea, 2023. [Google Scholar]
- Baek, J. The Effects of Using Gamification on Primary School Students’ Learning English: Based on Students’ Acquisition of English Vocabulary and Their Affective Attitudes on English. Master’s Thesis, Chinju National University of Education, Gyeongnam, Republic of Korea, 2021. [Google Scholar]
- Jeon, W. The Effects of Gamification Using Classcard and Class123 on the English Vocabulary Proficiency and the Affective Domain for High School Students. Master’s Thesis, Cyber Hankuk University of Foreign Studies, Seoul, Republic of Korea, 2021. [Google Scholar]
- Begg, C.B.; Mazumdar, M. Operating characteristics of a rank correlation test for publication bias. Biometrics 1994, 50, 1088–1101. [Google Scholar] [CrossRef]
- Duval, S.; Tweedie, R. Trim and fill: A simple funnel-plot-based method of testing and adjusting for publication bias in meta-analysis. Biometrics 2000, 56, 455–465. [Google Scholar] [CrossRef]
- Rosenthal, R. The file drawer problem and tolerance for null results. Psychol. Bull. 1979, 86, 638–641. [Google Scholar] [CrossRef]
- Dickersin, K. The existence of publication bias and risk factors for its occurrence. JAMA 1990, 263, 1385–1389. [Google Scholar] [CrossRef]
- Dwan, K.; Gamble, C.; Williamson, P.R.; Kirkham, J.J. Systematic review of the empirical evidence of study publication bias and outcome reporting bias: An updated review. PLoS ONE 2013, 8, e66844. [Google Scholar] [CrossRef] [PubMed]
- Franco, A.; Malhotra, N.; Simonovits, G. Publication bias in the social sciences: Unlocking the file drawer. Science 2014, 345, 1502–1505. [Google Scholar] [CrossRef] [PubMed]
- Norman, G. Data dredging, salami-slicing, and other successful strategies to ensure rejection: Twelve tips on how to not get your paper published. Adv. Health Sci. Educ. 2014, 19, 1–5. [Google Scholar] [CrossRef] [PubMed]
- Hamari, J.; Shernoff, D.J.; Rowe, E.; Coller, B.; Asbell-Clarke, J.; Edwards, T. Challenging games help students learn: An empirical study on engagement, flow and immersion in game-based learning. Comput. Hum. Behav. 2016, 54, 170–179. [Google Scholar] [CrossRef]
- Landers, R.N.; Bauer, K.N.; Callan, R.C.; Armstrong, M.B. Psychological theory and the gamification of learning. In Gamification in Education and Business; Reiners, T., Wood, L.C., Eds.; Springer International Publishing: Cham, Switzerland, 2015; pp. 165–186. [Google Scholar]
- Hew, K.F.; Huang, B.; Chu, K.W.S.; Chiu, D.K.; Lo, C.K. Engaging Asian students through game mechanics: Findings from two experiment studies. Comput. Educ. 2016, 92, 221–236. [Google Scholar] [CrossRef]
- Warschauer, M. Information literacy in the laptop classroom. Teach. Coll. Rec. 2008, 109, 2511–2540. [Google Scholar] [CrossRef]
- Hamari, J.; Koivisto, J.; Sarsa, H. Does gamification work? A literature review of empirical studies on gamification. In Proceedings of the 47th Hawaii International Conference on System Sciences, Waikoloa, HI, USA, 6–9 January 2014. [Google Scholar]
- Nation, I.S.P. Learning Vocabulary in Another Language; Cambridge University Press: Cambridge, UK, 2001. [Google Scholar]
- Stoller, F.L. Establishing a theoretical foundation for project-based learning in second and foreign language contexts. In Project-Based Second and Foreign Language Education: Past, Present, and Future; Beckett, G.H., Miller, P.C., Eds.; Information Age Publishing: Greenwich, CT, USA, 2006; pp. 19–40. [Google Scholar]
- Peterson, M. Computer Games and Language Learning; Palgrave Macmillan: New York, NY, USA, 2013. [Google Scholar]
- Song, F.; Hooper, L.; Loke, Y.K. Publication bias: What is it? How do we measure it? How do we avoid it? Open Access J. Clin. Trials. 2013, 5, 71–81. [Google Scholar] [CrossRef]
- Bower, M. Technology-mediated learning theory. Br. J. Educ. Technol. 2019, 50, 1035–1048. [Google Scholar] [CrossRef]


| Elements | Description | |
|---|---|---|
| Performance/measurement | 1. Acknowledgement | Rewards learners for specific tasks, e.g., badges for completed problems. |
| 2. Level | Hierarchical system providing new advantages as learners progress. | |
| 3. Progression | Guides users about their advancement in the environment. | |
| 4. Point | Basic feedback method, usually through scores or experience points. | |
| 5. Stats | Visual information about the learner’s performance or overall environment. | |
| Ecological | 1. Chance | Involves uncertainty in outcomes. |
| 2. Imposed Choice | Requires users to make decisions for progress. | |
| 3. Economy | Represents transactions within the environment. | |
| 4. Rarity | Involves limited resources to stimulate specific goals. | |
| 5. Time Pressure | Applies time constraints but can disengage users. | |
| Social | 1. Competition | Involves user challenges to attain common goals. |
| 2. Cooperation | Encourages collaboration towards shared objectives. | |
| 3. Reputation | Relates to social status titles within a community. | |
| 4. Social Pressure | Reflects the influence of social interactions on behavior. | |
| Personal | 1. Novelty | Updates within the environment to maintain user engagement. |
| 2. Objectives | Goals providing a purpose for task completion. | |
| 3. Puzzle | Cognitive challenges within the environment. | |
| 4. Renovation | Opportunities for learners to redo tasks. | |
| 5. Sensation | Enhances the experience using sensory stimulation. Lack of these may lead to demotivation. | |
| Fictional | 1. Narrative | Describes event sequences, influenced by user decisions. |
| 2. Storytelling | Conveys the environment’s story, supporting the narrative. |
| Category | Variables |
|---|---|
| 1. Publication Type | (1) journal article (2) MA thesis |
| 2. Experimental Design | (1) quasi-experimental (2) pre-experimental |
| 3. School Level | (1) primary school (2) secondary school (3) university |
| 4. Technology Use | (1) used (2) not used |
| 5. Gaming Element | (1) avatar/character (2) point/score (3) leaderboard/scoreboard (4) feedback (5) level (6) collaboration (7) mission/challenge (8) story/fiction (9) badge/reward |
| 6. Grade | Raw data |
| 7. Number of Participants | Raw data |
| 8. Weeks | Raw data |
| 9. Sessions | Raw data |
| 10. Sessions per Weeks | Raw data |
| 11. Number of Gaming Elements | Raw data |
| 12. Dependent Variables | (1) listening (2) speaking (3) reading (4) writing (5) vocabulary (6) achievement |
| Moderator | Effect Size and 95% Confidence Interval | Heterogeneity | |||||||||
|---|---|---|---|---|---|---|---|---|---|---|---|
| N | k | g | SE | 95% CI | Z | p | Q | df | p | ||
| Publication Type | Journal Article | 324 | 7 | 0.298 | 0.180 | −0.055~0.650 | 1.657 | 0.098 | 6.426 | 1 | 0.011 * |
| Thesis | 286 | 4 | 0.799 | 0.083 | 0.638~0.961 | 9.682 | 0.000 | ||||
| Experimental Design | Quasi-experimental | 462 | 10 | 0.475 | 0.161 | 0.160~0.790 | 2.953 | 0.003 | 2.953 | 1 | 0.103 |
| Pre-experimental | 148 | 1 | 0.778 | 0.093 | 0.595~0.961 | 8.325 | 0.000 | ||||
| School Level | Primary | 270 | 4 | 0.801 | 0.094 | 0.616~0.986 | 8.484 | 0.000 | 5.589 | 2 | 0.061 |
| Secondary | 46 | 1 | 0.624 | 0.297 | 0.042~1.207 | 2.102 | 0.036 | ||||
| Tertiary | 294 | 6 | 0.270 | 0.205 | −0.132~0.672 | 1.316 | 0.180 | ||||
| Technology Use | Yes | 410 | 9 | 0.383 | 0.149 | 0.091~0.674 | 2.572 | 0.010 | 4.171 | 1 | 0.041 * |
| No | 200 | 2 | 0.932 | 0.224 | 0.494~1.370 | 4.171 | 0.000 | ||||
| Moderator | Effect Size and 95% Confidence Interval | Heterogeneity | |||||||||
|---|---|---|---|---|---|---|---|---|---|---|---|
| N | k | g | SE | 95% CI | Z | p | Q | df | p | ||
| Avatar/ Character | Yes | 276 | 4 | 0.679 | 0.197 | 0.292~1.065 | 3.441 | 0.001 | 0.931 | 1 | 0.335 |
| No | 334 | 7 | 0.415 | 0.189 | 0.044~0.786 | 2.193 | 0.028 | ||||
| Point/ Score | Yes | 370 | 8 | 0.340 | 0.161 | 0.025~0.655 | 2.117 | 0.034 | 6.235 | 1 | 0.013 * |
| No | 240 | 3 | 0.840 | 0.119 | 0.606~1.073 | 7.055 | 0.000 | ||||
| Leaderboard/ Scoreboard | Yes | 536 | 8 | 0.565 | 0.166 | 0.241~0.890 | 3.412 | 0.001 | 0.660 | 1 | 0.417 |
| No | 74 | 3 | 0.337 | 0.227 | −0.109 ~0.782 | 1.482 | 0.138 | ||||
| Feedback | Yes | 116 | 3 | 0.426 | 0.185 | 0.064~0.788 | 2.306 | 0.021 | 0.218 | 1 | 0.640 |
| No | 494 | 8 | 0.545 | 0.176 | 0.201~0.889 | 3.014 | 0.002 | ||||
| Level | Yes | 368 | 4 | 0.502 | 0.252 | 0.008~0.996 | 1.992 | 0.046 | 0.010 | 1 | 0.921 |
| No | 242 | 7 | 0.532 | 0.169 | 0.204~0.860 | 3.177 | 0.001 | ||||
| Collaboration | Yes | 270 | 4 | 0.591 | 0.147 | 0.303~0.879 | 4.027 | 0.000 | 0.091 | 1 | 0.763 |
| No | 340 | 7 | 0.510 | 0.227 | 0.065~0.954 | 2.247 | 0.025 | ||||
| Mission/ Challenge | Yes | 294 | 6 | 0.496 | 0.256 | −0.006~0.998 | 1.936 | 0.053 | 0.210 | 1 | 0.647 |
| No | 316 | 5 | 0.625 | 0.119 | 0.392~0.858 | 5.248 | 0.000 | ||||
| Story/ Fiction | Yes | 244 | 4 | 0.713 | 0.211 | 0.300~1.125 | 3.385 | 0.001 | 1.196 | 1 | 0.274 |
| No | 366 | 7 | 0.413 | 0.175 | 0.070~0.757 | 2.359 | 0.018 | ||||
| Badge/ Reward | Yes | 246 | 3 | 0.832 | 0.134 | 0.569~1.094 | 6.207 | 0.000 | 5.088 | 1 | 0.024 * |
| No | 364 | 8 | 0.351 | 0.165 | 0.027~0.676 | 2.125 | 0.034 | ||||
| Variable | b | SE | 95% CI | Z | p |
|---|---|---|---|---|---|
| Intercept | −13.8558 | 44.5029 | −101.0800~73.3683 | −0.3113 | 0.756 |
| Grade | 0.0115 | 0.3317 | −0.6387~0.6616 | −0.0345 | 0.973 |
| No. of participants | 0.0034 | 0.0313 | −0.0579~0.0648 | 0.1098 | 0.913 |
| Weeks | 1.1266 | 3.2314 | −5.2069~7.4601 | 0.3486 | 0.747 |
| Sessions | −0.7337 | 2.1939 | −5.0336~3.5662 | −0.3344 | 0.738 |
| Sessions per week | 9.1047 | 28.205 | −45.8144~64.0238 | 0.3249 | 0.745 |
| No. of gaming elements | 0.1789 | 0.2491 | −0.3093~0.6672 | 0.7183 | 0.473 |
| Moderator | Effect Size and 95% Confidence Interval | Heterogeneity | |||||||||
|---|---|---|---|---|---|---|---|---|---|---|---|
| N | k | g | SE | 95% CI | Z | p | Q | df | p | ||
| DV1 | Receptive | 449 | 7 | 0.522 | 0.192 | 0.145~0.899 | 2.714 | 0.007 | 0.020 | 1 | 0.888 |
| Productive | 161 | 4 | 0.559 | 0.183 | 0.201~0.918 | 3.061 | 0.002 | ||||
| DV2 | Spoken | 178 | 2 | 0.760 | 0.090 | 0.583~0.937 | 8.400 | 0.000 | 2.087 | 1 | 0.149 |
| Written | 432 | 9 | 0.473 | 0.177 | 0.127~0.819 | 2.679 | 0.007 | ||||
| DV3 | Listening | 148 | 1 | 0.778 | 0.093 | 0.595~0.961 | 8.325 | 0.000 | 23.885 | 5 | 0.000 * |
| Speaking | 30 | 1 | 0.490 | 0.361 | −0.217~1.197 | 1.358 | 0.175 | ||||
| Reading | 87 | 1 | −0.256 | 0.213 | −0.674~0.162 | −1.199 | 0.231 | ||||
| Writing | 131 | 3 | 0.527 | 0.261 | 0.015~1.039 | 2.018 | 0.044 | ||||
| Vocabulary | 138 | 3 | 0.875 | 0.198 | 0.486~1.263 | 4.413 | 0.000 | ||||
| Achievement | 76 | 2 | 0.274 | 0.226 | −0.169 ~0.717 | 1.210 | 0.226 | ||||
Disclaimer/Publisher’s Note: The statements, opinions and data contained in all publications are solely those of the individual author(s) and contributor(s) and not of MDPI and/or the editor(s). MDPI and/or the editor(s) disclaim responsibility for any injury to people or property resulting from any ideas, methods, instructions or products referred to in the content. |
© 2023 by the authors. Licensee MDPI, Basel, Switzerland. This article is an open access article distributed under the terms and conditions of the Creative Commons Attribution (CC BY) license (https://creativecommons.org/licenses/by/4.0/).
Share and Cite
Lee, J.-Y.; Baek, M. Effects of Gamification on Students’ English Language Proficiency: A Meta-Analysis on Research in South Korea. Sustainability 2023, 15, 11325. https://doi.org/10.3390/su151411325
Lee J-Y, Baek M. Effects of Gamification on Students’ English Language Proficiency: A Meta-Analysis on Research in South Korea. Sustainability. 2023; 15(14):11325. https://doi.org/10.3390/su151411325
Chicago/Turabian StyleLee, Je-Young, and Minkyung Baek. 2023. "Effects of Gamification on Students’ English Language Proficiency: A Meta-Analysis on Research in South Korea" Sustainability 15, no. 14: 11325. https://doi.org/10.3390/su151411325
APA StyleLee, J.-Y., & Baek, M. (2023). Effects of Gamification on Students’ English Language Proficiency: A Meta-Analysis on Research in South Korea. Sustainability, 15(14), 11325. https://doi.org/10.3390/su151411325

