Unravelling the Release Kinetics of Exchangeable Magnesium in Acid Soil of Nilgiris
Abstract
1. Introduction
2. Materials and Methods
2.1. Climate and Location
2.2. Soil Collection and Analysis
2.3. Soil Chemical Parameters
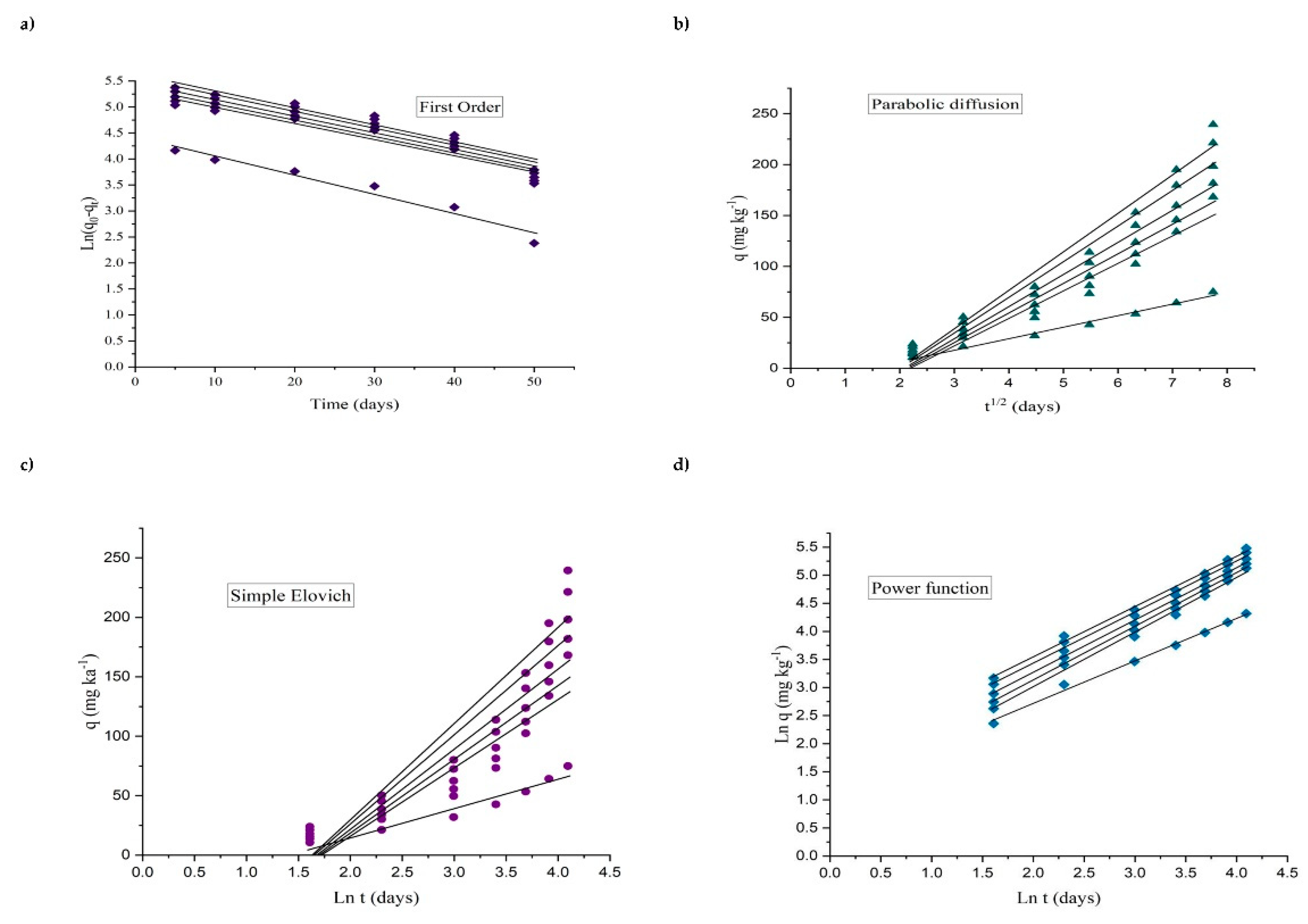
2.4. Kinetic Models
2.5. Statistical Analysis
3. Results
Kinetics of Magnesium Release
4. Discussion
Depiction of Magnesium Release by Kinetic Models
5. Conclusions
Author Contributions
Funding
Institutional Review Board Statement
Informed Consent Statement
Data Availability Statement
Acknowledgments
Conflicts of Interest
References
- Farhat, N.; Elkhouni, A.; Zorrig, W.; Smaoui, A.; Abdelly, C.; Rabhi, M. Effects of magnesium deficiency on photosynthesis and carbohydrate partitioning. Acta Physiol. Plant. 2016, 38, 145. [Google Scholar] [CrossRef]
- Rude, R.K.; Gruber, H.E. Magnesium deficiency and osteoporosis: Animal and human observations. J. Nutr. Biochem. 2004, 15, 710–716. [Google Scholar] [CrossRef] [PubMed]
- de Baaij, J.H.F.; Hoenderop, J.G.J.; Bindels, R.J.M. Magnesium dalam Manusia: Implikasi untuk Kesehatan dan Penyakit. Ulas. Fisiol. 2015, 95, 1–46. [Google Scholar]
- Cakmak, I.; Hengeler, C.; Marschner, H. Changes in phloem export of sucrose in leaves in response to phosphorus, potassium and magnesium deficiency in bean plants. J. Exp. Bot. 1994, 45, 1251–1257. [Google Scholar] [CrossRef]
- Mohebbi, S.; Mahler, R.L. The effect of soil pH on wheat and lentils grown on an agriculturally acidified northern Idaho soil under greenhouse conditions. Commun. Soil Sci. Plant Anal. 1989, 20, 359–381. [Google Scholar] [CrossRef]
- Aggangan, N.S.; Dell, B.; Malajczuk, N. Effects of soil pH on the ectomycorrhizal response of Eucalyptus urophylla seedlings. New Phytol. 1996, 134, 539–546. [Google Scholar] [CrossRef]
- Zhu, M.; Jiang, X.; Ji, G. Experimental investigation on aluminum release from haplic acrisols in southeastern China. Appl. Geochem. 2004, 19, 981–990. [Google Scholar] [CrossRef]
- Nguyen, B.T.; Do, T.K.; Tran, T.; Van Dang, M.K.; Dell, C.J.; Luu, P.V.; Vo, Q.T.V. High soil Mn and Al, as well as low leaf P concentration, may explain for low natural rubber productivity on a tropical acid soil in Vietnam. J. Plant Nutr. 2018, 41, 903–914. [Google Scholar] [CrossRef]
- Wang, J.; Zhang, H.; Xu, F.; Xu, F.; Zhang, K.; Zhang, Y. The antagonism of aluminum against fluoride-induced oxidative stress and c-Fos overexpression in rat testes. Toxicol. Mech. Methods 2014, 24, 136–141. [Google Scholar] [CrossRef]
- Schachtschabel, P. Das pflanzenverfügbare Magnesium des Boden und seine Bestimmung. Z. Pflanz. Düngung Bodenkd. 1954, 67, 9–23. [Google Scholar] [CrossRef]
- Grzebisz, W. Magnesium–food and human health. J. Elem. 2011, 16, 299–323. [Google Scholar] [CrossRef]
- Gransee, A.; Führs, H. Magnesium mobility in soils as a challenge for soil and plant analysis, magnesium fertilization and root uptake under adverse growth conditions. Plant Soil 2013, 368, 5–21. [Google Scholar] [CrossRef]
- Chan, K.Y.; Davey, B.G.; Geering, H.R. Adsorption of magnesium and calcium by a soil with variable charge. Soil Sci. Soc. Am. J. 1979, 43, 301–304. [Google Scholar] [CrossRef]
- Hailes, K.J.; Aitken, R.L.; Menzies, N.W. Magnesium in tropical and subtropical soils from north-eastern Australia. II. Response by glasshouse-grown maize to applied magnesium. Soil Res. 1997, 35, 629–642. [Google Scholar] [CrossRef]
- Sumner, M.E.; Farina, P.M.W.; Hurst, V.J. Magnesium fixation—A possible cause of negative yield responses to lime applications. Commun. Soil Sci. Plant Anal. 1978, 9, 995–1007. [Google Scholar] [CrossRef]
- Metson, A.J.I. Some factors governing the availability of soil magnesium: A review. N. Z. J. Exp. Agric. 1974, 2, 277–319. [Google Scholar] [CrossRef]
- Schubert, S.; Schubert, E.; Mengel, K. Effect of low pH of the root medium on proton release, growth, and nutrient uptake of field beans (Vicia faba). Plant Soil 1990, 124, 239–244. [Google Scholar] [CrossRef]
- Mayland, H.F.; Wilkinson, S.R. Soil factors affecting magnesium availability in plant-animal systems: A review. J. Anim. Sci. 1989, 67, 3437–3444. [Google Scholar] [CrossRef]
- Lakshmi, P.V.; Singh, S.K.; Pramanick, B.; Kumar, M.; Laik, R.; Kumari, A.; Shukla, A.K.; Abdel Latef, A.A.H.; Ali, O.M.; Hossain, A. Long-term Zinc fertilization in calcareous soils improves wheat (Triticum aestivum L.) productivity and soil zinc status in the rice–wheat cropping system. Agronomy 2021, 11, 1306. [Google Scholar] [CrossRef]
- Pramanick, B.; Brahmachari, K.; Ghosh, A.; Zodape, S.T. Effect of seaweed saps derived from two marine algae Kappaphycus and Gracilaria on growth and yield improvement of blackgram. Indian J. Geo-Marine Sci. 2016, 45, 789–794. [Google Scholar]
- Sun, O.J.; Payn, T.W. Magnesium nutrition and photosynthesis in Pinus radiata: Clonal variation and influence of potassium. Tree Physiol. 1999, 19, 535–540. [Google Scholar] [CrossRef] [PubMed]
- Ridolfi, M.; Garrec, J.P. Consequences of an excess Al and a deficiency in Ca and Mg for stomatal functioning and net carbon assimilation of beech leaves. Ann. For. Sci. 2000, 57, 209–218. [Google Scholar] [CrossRef]
- Graeff, S.; Steffens, D.; Schubert, S. Use of reflectance measurements for the early detection of N, P, Mg, and Fe deficiencies in Zea mays L. J. Plant Nutr. Soil Sci. 2001, 164, 445–450. [Google Scholar] [CrossRef]
- Hermans, C.; Johnson, G.N.; Strasser, R.J.; Verbruggen, N. Physiological characterisation of magnesium deficiency in sugar beet: Acclimation to low magnesium differentially affects photosystems I and II. Planta 2004, 220, 344–355. [Google Scholar] [CrossRef] [PubMed]
- Papenfuß, K.H.; Schlichtin, E. Bestimmende Faktoren des Mg-Haushaltes von Boden in der Bundesrepublik Deutschland. Magnes.-Bull. 1979, 1, 12–14. [Google Scholar]
- Van der Pol, F.; Traore, B. Soil nutrient depletion by agricultural production in Southern Mali. Fertil. Res. 1993, 36, 79–90. [Google Scholar]
- Härdter, R. Magnesium–The forgotten macronutrient. In Proceedings of the IFAFADINAP Regional Fertilizer Conference for Asia and the Pacific, Bali, Indonesia, 29 November–2 December 1992. [Google Scholar]
- Martin, H.W.; Sparks, D.L. Kinetics of nonexchangeable potassium release from two coastal plain soils. Soil Sci. Soc. Am. J. 1983, 47, 883–887. [Google Scholar] [CrossRef]
- Viji, R.; Prasanna, P.R. Assessment of water holding capacity of major soil series of Lalgudi, Trichy, India. J. Environ. Res. Dev. 2012, 7, 393–398. [Google Scholar]
- Piper, C.S. Soil and Plant Analysis; Hans Publishers: Bombay, India, 1966. [Google Scholar]
- Holtan, H.N. USDAHL-74 Revised Model of Watershed Hydrology: A United States Contribution to the International Hydrological Decade; Agricultural Research Service, US Department of Agriculture: Washington, DC, USA, 1975.
- Thomas, G.W. Soil pH and soil acidity. In Methods of Soil Analysis: Part 3 Chemical Methods; John Wiley & Sons, Inc.: Hoboken, NJ, USA, 1996; Volume 5, pp. 475–490. [Google Scholar]
- Schwarzenbech, G.; Biedermann, W.; Bangerter, F. Komplexone VI. Neue einfache Titriermethoden zur Bestimmung der Wasserhärte. Helv. Chin. Acta. 1946, 29, 811. [Google Scholar] [CrossRef]
- Nelson, D.W.; Sommers, L.E. Total carbon, organic carbon, and organic matter. In Methods of Soil Analysis: Part 3 Chemical Methods; John Wiley & Sons, Inc.: Hoboken, NJ, USA, 1996; Volume 5, pp. 961–1010. [Google Scholar]
- Bremner, J.M. Nitrogen-total. In Methods of Soil Analysis: Part 3 Chemical Methods; John Wiley & Sons, Inc.: Hoboken, NJ, USA, 1996; Volume 5, pp. 1085–1121. [Google Scholar]
- Bray, R.H.; Kurtz, L.T. Determination of total, organic, and available forms of phosphorus in soils. Soil Sci. 1945, 59, 39–45. [Google Scholar] [CrossRef]
- Lindsay, W.L.; Norvell, W.A. Development of a DTPA soil test for zinc, iron, manganese, and copper. Soil Sci. Soc. Am. J. 1978, 42, 421–428. [Google Scholar] [CrossRef]
- Wang, Y.; Chen, X.; Whalen, J.K.; Cao, Y.; Quan, Z.; Lu, C.; Shi, Y. Kinetics of inorganic and organic phosphorus release influenced by low molecular weight organic acids in calcareous, neutral and acidic soils. J. Plant Nutr. Soil Sci. 2015, 178, 555–566. [Google Scholar] [CrossRef]
- Taghipour, M.; Jalali, M. Effect of low-molecular-weight organic acids on kinetics release and fractionation of phosphorus in some calcareous soils of western Iran. Environ. Monit. Assess. 2013, 185, 5471–5482. [Google Scholar] [CrossRef]
- Jalali, M.; Ahmadi Mohammad Zinli, N. Kinetics of phosphorus release from calcareous soils under different land use in Iran. J. Plant Nutr. Soil Sci. 2011, 174, 38–46. [Google Scholar] [CrossRef]
- Kuo, S.; Lotse, E.G. Kinetics of phosphate adsorption and desorption by lake sediments. Soil Sci. Soc. Am. J. 1974, 38, 50–54. [Google Scholar] [CrossRef]
- Havlin, J.L.; Westfall, D.G.; Olsen, S.R. Mathematical models for potassium release kinetics in calcareous soils. Soil Sci. Soc. Am. J. 1985, 49, 371–376. [Google Scholar] [CrossRef]
- Zhang, H.; Bloom, P.R. Dissolution kinetics of hornblende in organic acid solutions. Soil Sci. Soc. Am. J. 1999, 63, 815–822. [Google Scholar] [CrossRef]
- Acosta-Vigil, A.; London, D.; Dewers, T.A.; Morgan, G.B. Dissolution of corundum and andalusite in H2O-saturated haplogranitic melts at 800 °C and 200 MPa: Constraints on diffusivities and the generation of peraluminous melts. J. Petrol. 2002, 43, 1885–1908. [Google Scholar] [CrossRef]
- Canzano, S.; Iovino, P.; Leone, V.; Salvestrini, S.; Capasso, S. Use and misuse of sorption kinetic data: A common mistake that should be avoided. Adsorpt. Sci. Technol. 2012, 30, 217–225. [Google Scholar] [CrossRef]
- Freund, T. Diffusion and gas sorption rates obeying the elovich equation. J. Chem. Phys. 1957, 26, 713. [Google Scholar] [CrossRef]
- He, Z.L.; Yao, H.; Calvert, D.V.; Stoffella, P.J.; Yang, X.E.; Chen, G.; Lloyd, G.M. Dissolution characteristics of central Florida phosphate rock in an acidic sandy soil. Plant Soil 2005, 273, 157–166. [Google Scholar] [CrossRef]
- Ding, Z.; Yin, Z.; Hu, H.; Chen, Q. Dissolution kinetics of zinc silicate (hemimorphite) in ammoniacal solution. Hydrometallurgy 2010, 104, 201–206. [Google Scholar] [CrossRef]
- Chien, S.H.; Clayton, W.R. Application of Elovich equation to the kinetics of phosphate release and sorption in soils. Soil Sci. Soc. Am. J. 1980, 44, 265–268. [Google Scholar] [CrossRef]
- Dang, Y.P.; Dalal, R.C.; Edwards, D.G.; Tiller, K.G. Kinetics of zinc desorption from Vertisols. Soil Sci. Soc. Am. J. 1994, 58, 1392–1399. [Google Scholar] [CrossRef]
- Al-Obaidi, M.A.; Abdulkareem, A.W.; Al-Hadedy, A.A. Kinetic of Calcium and Magnesium released from calcareous soils irrigated by different water quality. J. Tikrit 2012, 4, 145–156. [Google Scholar]
- Jamal, A. Potassium Kinetics in Some Iraqi Soils. Masters’ Thesis, College of Agriculture, Baghdad University, Baghdad, Iraq, 1996. [Google Scholar]
- Senbayram, M.; Gransee, A.; Wahle, V.; Thiel, H. Role of magnesium fertilisers in agriculture: Plant–soil continuum. Crop. Pasture Sci. 2015, 66, 1219–1229. [Google Scholar] [CrossRef]
- Härdter, R.; Rex, M.; Orlovius, K. Effects of different Mg fertilizer sources on the magnesium availability in soils. Nutr. Cycl. Agroecosyst. 2005, 70, 249–259. [Google Scholar] [CrossRef]
- Heming, S.D.; Hollis, J.F. Magnesium availability from kieserite and calcined magnesite on five soils of different pH. Soil Use Manag. 1995, 11, 105–109. [Google Scholar] [CrossRef]
- Simard, R.R.; Zizka, J.; De Kimpe, C.R. Release of potassium and magnesium from soil fractions and its kinetics. Soil Sci. Soc. Am. J. 1992, 56, 1421–1428. [Google Scholar] [CrossRef]
- Abed, M.A.K.; Al-Asadi, R.M.S. The kinetic behavior of the magnesium ion release in different soils salinity and texture. Euphrates J. Agric. Sci. 2018, 10, 215–228. [Google Scholar]




| Soil Properties | Soil |
|---|---|
| Texture | Sandy loam |
| Bulk density (Mg m−3) | 1.32 |
| pH | 5.24 |
| EC (dS m−1) | 0.29 |
| OC (%) | 6.36 |
| Total N (%) | 0.17 |
| Total P (%) | 0.16 |
| Total K (%) | 0.25 |
| Total Mg (mg kg −1) | 1912 |
| Avail. N (kg ha −1) | 282 |
| Avail. P (kg ha −1) | 55 |
| Avail. K (kg ha −1) | 442 |
| Exch. Ca (mg kg−1) | 18 |
| Exch. Mg (mg kg−1) | 10.5 |
| Available S (mg kg−1) | 13.7 |
| DTPA Extractable Fe (mg kg−1) | 100 |
| DTPA Extractable Mn (mg kg−1) | 2.56 |
| DTPA Extractable Zn (mg kg−1) | 2.26 |
| DTPA Extractable Cu (mg kg−1) | 2.49 |
| Levels of Mg(kg ha−1) | Cumulative Mg Released after 60 Days from Different Sources | ||
|---|---|---|---|
| Epsom Salt (MgSO4·7H2O) (mg kg−1) | Magnesite(MgCO3) (mg kg−1) | Dolomite [CaMg(CO3)2] (mg kg−1) | |
| 0 | 74.97 | 75.02 | 75.5 |
| 10 | 168.19 | 108.4 | 101.1 |
| 20 | 181.77 | 113.7 | 107.8 |
| 30 | 198.2 | 120 | 113 |
| 40 | 221.27 | 126.3 | 119.4 |
| 50 | 239.37 a | 133 b | 127.7 b |
| Sources | Levels of Mg (kg ha−1) | First Order | Elovich | Power Function | Parabolic Diffusion | ||||
|---|---|---|---|---|---|---|---|---|---|
| a (mg kg−1) | b (mg kg−1 d−1) | a (mg kg−1) | b (mg kg−1 d−1) | a (mg kg−1) | b (mg kg−1 d−1) | a (mg kg−1) | b (mg kg−1 d−1) | ||
| MgSO4·7H2O | 0 | 4.901 | −0.063 | −34.871 | 24.674 | 1.204 | 0.757 | −16.420 | 11.341 |
| 10 | 6.040 | −0.071 | −98.950 | 57.460 | 1.070 | 0.972 | −58.970 | 26.980 | |
| 20 | 6.120 | −0.072 | −105.410 | 61.990 | 1.227 | 0.954 | −61.980 | 29.060 | |
| 30 | 6.220 | −0.073 | −113.000 | 67.350 | 1.409 | 0.932 | −65.630 | 31.530 | |
| 40 | 6.397 | −0.074 | −123.630 | 74.950 | 1.620 | 0.908 | −70.540 | 35.010 | |
| 50 | 6.424 | −0.075 | −132.090 | 80.910 | 1.757 | 0.895 | −74.560 | 37.750 | |
| MgCO3 | 0 | 4.903 | −0.063 | −34.920 | 24.690 | 1.203 | 0.757 | −16.460 | 11.350 |
| 10 | 5.451 | −0.066 | −59.280 | 36.710 | 1.024 | 0.883 | −32.990 | 17.100 | |
| 20 | 5.505 | −0.067 | −61.940 | 38.410 | 1.069 | 0.883 | −34.380 | 17.880 | |
| 30 | 5.572 | −0.067 | −65.700 | 40.630 | 1.110 | 0.889 | −36.540 | 18.910 | |
| 40 | 5.626 | −0.068 | −67.750 | 42.420 | 1.235 | 0.867 | −37.300 | 19.740 | |
| 50 | 5.696 | −0.068 | −71.740 | 44.630 | 1.260 | 0.872 | −39.880 | 20.800 | |
| CaMg(CO3)2 | 0 | 4.913 | −0.063 | −35.218 | 24.828 | 1.200 | 0.759 | −16.690 | 11.420 |
| 10 | 5.362 | −0.065 | −53.644 | 33.550 | 1.026 | 0.859 | −29.810 | 15.660 | |
| 20 | 5.447 | −0.066 | −58.668 | 36.256 | 1.012 | 0.882 | −32.830 | 16.910 | |
| 30 | 5.508 | −0.067 | −62.226 | 38.201 | 1.011 | 0.895 | −34.960 | 17.810 | |
| 40 | 5.577 | −0.067 | −65.740 | 40.237 | 1.055 | 0.896 | −37.140 | 18.770 | |
| 50 | 5.660 | −0.068 | −70.725 | 43.068 | 1.077 | 0.907 | −40.060 | 20.090 | |
| Sources | Conc. of Levels (kg ha−1) | First Order | Elovich | Power Function | Parabollic Diffusion |
|---|---|---|---|---|---|
| r2 | r2 | r2 | r2 | ||
| MgSO4·7H2O | 0 | 0.791 | 0.932 | 0.994 | 0.988 |
| 10 | 0.671 | 0.857 | 0.993 | 0.949 | |
| 20 | 0.671 | 0.865 | 0.993 | 0.953 | |
| 30 | 0.670 | 0.869 | 0.994 | 0.956 | |
| 40 | 0.669 | 0.877 | 0.994 | 0.960 | |
| 50 | 0.668 | 0.881 | 0.994 | 0.963 | |
| MgCO3 | 0 | 0.790 | 0.932 | 0.994 | 0.988 |
| 10 | 0.721 | 0.889 | 0.994 | 0.968 | |
| 20 | 0.714 | 0.892 | 0.995 | 0.969 | |
| 30 | 0.711 | 0.892 | 0.995 | 0.970 | |
| 40 | 0.705 | 0.892 | 0.996 | 0.970 | |
| 50 | 0.700 | 0.887 | 0.995 | 0.966 | |
| CaMg(CO3)2 | 0 | 0.787 | 0.931 | 0.994 | 0.988 |
| 10 | 0.710 | 0.879 | 0.993 | 0.961 | |
| 20 | 0.713 | 0.883 | 0.995 | 0.964 | |
| 30 | 0.710 | 0.886 | 0.996 | 0.966 | |
| 40 | 0.701 | 0.881 | 0.996 | 0.963 | |
| 50 | 0.694 | 0.882 | 0.996 | 0.963 |
Disclaimer/Publisher’s Note: The statements, opinions and data contained in all publications are solely those of the individual author(s) and contributor(s) and not of MDPI and/or the editor(s). MDPI and/or the editor(s) disclaim responsibility for any injury to people or property resulting from any ideas, methods, instructions or products referred to in the content. |
© 2023 by the authors. Licensee MDPI, Basel, Switzerland. This article is an open access article distributed under the terms and conditions of the Creative Commons Attribution (CC BY) license (https://creativecommons.org/licenses/by/4.0/).
Share and Cite
Dash, M.; Thiyageshwari, S.; Selvi, D.; Anandham, R.; Rajan, K.; Maduraimuthu, D.; Singh, S.K.; Muthumani, J.; Singh, S.; Pramanick, B. Unravelling the Release Kinetics of Exchangeable Magnesium in Acid Soil of Nilgiris. Sustainability 2023, 15, 9848. https://doi.org/10.3390/su15129848
Dash M, Thiyageshwari S, Selvi D, Anandham R, Rajan K, Maduraimuthu D, Singh SK, Muthumani J, Singh S, Pramanick B. Unravelling the Release Kinetics of Exchangeable Magnesium in Acid Soil of Nilgiris. Sustainability. 2023; 15(12):9848. https://doi.org/10.3390/su15129848
Chicago/Turabian StyleDash, Munmun, Subramanium Thiyageshwari, Duraisamy Selvi, Rangasamy Anandham, Karuppusamy Rajan, Djanaguiraman Maduraimuthu, Santosh Kumar Singh, Jagadesh Muthumani, Shivvendra Singh, and Biswajit Pramanick. 2023. "Unravelling the Release Kinetics of Exchangeable Magnesium in Acid Soil of Nilgiris" Sustainability 15, no. 12: 9848. https://doi.org/10.3390/su15129848
APA StyleDash, M., Thiyageshwari, S., Selvi, D., Anandham, R., Rajan, K., Maduraimuthu, D., Singh, S. K., Muthumani, J., Singh, S., & Pramanick, B. (2023). Unravelling the Release Kinetics of Exchangeable Magnesium in Acid Soil of Nilgiris. Sustainability, 15(12), 9848. https://doi.org/10.3390/su15129848

