Spatial and Temporal Divergence in the Coupling Coordination of Digital Economy, Environmental Regulation and Sustainable Development: An Experience Study in China
Abstract
1. Introduction
2. Literature Review
2.1. Digital Economy and Environmental Regulation
2.2. Digital Economy and Sustainable Development
2.3. Environmental Regulation and Sustainable Development
3. Research Design
3.1. Analysis of the Coupling and Coordination Mechanism of a Digital Economy, Environmental Regulation and Sustainable Development
3.2. Evaluation Index System Construction
3.3. Kernel Density Function
3.4. Coupling Coordination Degree Model
3.5. Spatial Autocorrelation
3.6. Data Sources
4. Results and Analysis
4.1. Kernel Density Distribution of Development Level of Each Subsystem
4.2. Analysis of Coupling Coordination Degree Results
4.2.1. Time Level
4.2.2. Spatial Dimension
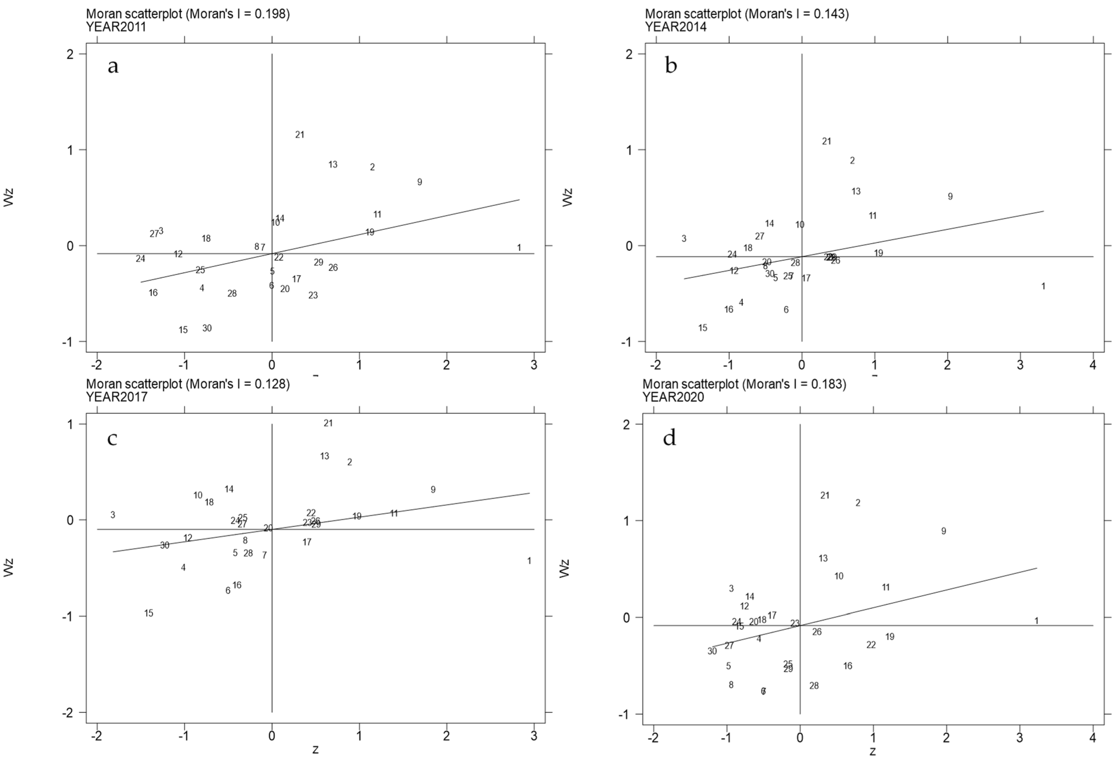
5. Spatial Autocorrelation
5.1. Global Spatial Autocorrelation
5.2. Local Spatial Autocorrelation
6. Discussion
6.1. Implications of the Study
6.1.1. Theoretical Implications
6.1.2. Practical Implications
7. Conclusions
8. Limitations and Prospects
Author Contributions
Funding
Institutional Review Board Statement
Informed Consent Statement
Data Availability Statement
Conflicts of Interest
References
- Kharrazi, A.; Qin, H.; Zhang, Y. Urban Big Data and Sustainable Development Goals: Challenges and Opportunities. Sustainability 2016, 8, 1293. [Google Scholar] [CrossRef]
- Li, L.; Lei, Y.; Pan, D. Study of CO2 Emissions in China’s Iron and Steel Industry Based on Economic Input–Output Life Cycle Assessment. Nat. Hazards 2015, 81, 957–970. [Google Scholar] [CrossRef]
- Wu, Y. A Model-Driven Analysis of the Relationship between Innovation and Growth in a Green Low-Carbon Economy Based on Open Public Data. Wirel. Commun. Mob. Comput. 2022, 2022, 1553726. [Google Scholar] [CrossRef]
- Pan, H.; Yang, J.; Zhou, H.; Zheng, X.; Hu, F. Global Value Chain Embeddedness, Digital Economy and Green Innovation—Evidence from Provincial-Level Regions in China. Front. Environ. Sci. 2022, 10, 1027130. [Google Scholar] [CrossRef]
- Fan, Y.; Long, S.; Zhang, R.; Ge, C.; Zhang, Y.; Zhang, Q. Effect Evaluation of Eco-Environmental Big Data Resource Integration and Data Sharing Construction. Wirel. Commun. Mob. Comput. 2022, 2022, 5496629. [Google Scholar] [CrossRef]
- Huang, J.; Du, D.; Hao, Y. The Driving Forces of the Change in China’s Energy Intensity: An Empirical Research Using DEA-Malmquist and Spatial Panel Estimations. Econ. Model. 2017, 65, 41–50. [Google Scholar] [CrossRef]
- Ding, C.; Liu, C.; Zheng, C.; Li, F. Digital Economy, Technological Innovation and High-Quality Economic Development: Based on Spatial Effect and Mediation Effect. Sustainability 2021, 14, 216. [Google Scholar] [CrossRef]
- Zhang, W.; Zhao, S.; Wan, X.; Yao, Y. Study on the Effect of Digital Economy on High-Quality Economic Development in China. PLoS ONE 2021, 16, e0257365. [Google Scholar] [CrossRef]
- Feng, S.; Chen, K. Impact of Environmental Information Disclosure Policy and Trade on Chinese Paper Industry Environmental Effects. Int. J. Environ. Res. Public Health 2022, 19, 11614. [Google Scholar] [CrossRef]
- Li, G.H.; Zhou, X.L. Can Promoting the Digital Economy Improve Environmental Pollution in China: A Quasi-Natural Experiment Based on the ‘Broadband China’ Strategy. Macroeconomics 2021, 7, 146–160. [Google Scholar]
- Hampton, S.; Strasser, C.; Tewksbury, J.; Gram, W.; Budden, A.; Batcheller, A.; Duke, C.; Porter, J. Big Data and the Future of Ecology. Front. Ecol. Environ. 2013, 11, 156–162. [Google Scholar] [CrossRef]
- Liu, W.L.; Wang, Y.B. Effect and Mechanism of Digital Economy Empowering Urban Green and High-Quality Development. South China J. Econ. 2022, 8, 73–91. [Google Scholar]
- Bolla, R.; Bruschi, R.; Davoli, F.; Cucchietti, F. Energy Efficiency in the Future Internet: A Survey of Existing Approaches and Trends in Energy-Aware Fixed Network Infrastructures. IEEE Commun. Surv. Tutorials 2011, 13, 223–244. [Google Scholar] [CrossRef]
- Li, R.; Rao, J.; Wan, L. The Digital Economy, Enterprise Digital Transformation, and Enterprise Innovation. Manag. Decis. Econ. 2022, 43, 2875–2886. [Google Scholar] [CrossRef]
- Xie, K.; Xia, Z.H.; Xiao, J.H. The Enterprise Realization Mechanism of Big Data Becoming a Real Production Factor: From the Product Innovation Perspective. China Ind. Econ. 2020, 5, 42–60. [Google Scholar]
- Bruntland, G. Our Common Future: UN World Commission on Environment and Development. Environment 1987, 29, 25–29. [Google Scholar]
- Roostaie, S.; Nawari, N.; Kibert, C. Sustainability and Resilience: A Review of Definitions, Relationships, and Their Integration into a Combined Building Assessment Framework. Build. Environ. 2019, 154, 132–144. [Google Scholar] [CrossRef]
- Wang, C.; Zhan, J.; Xin, Z. Comparative Analysis of Urban Ecological Management Models Incorporating Low-Carbon Transformation. Technol. Forecast. Soc. Chang. 2020, 159, 120190. [Google Scholar] [CrossRef]
- Bilgen, S.; Sarıkaya, I. Contribution of Efficient Energy Use on Economy, Environment, and Sustainability. Energy Sources Part B Econ. Plan. Policy 2016, 11, 1166–1172. [Google Scholar] [CrossRef]
- Vos, R. Defining Sustainability: A Conceptual Orientation. J. Chem. Technol. Biotechnol. 2007, 82, 334–339. [Google Scholar] [CrossRef]
- Zhou, L.; Zhou, C.; Che, L.; Wang, B. Spatio-Temporal Evolution and Influencing Factors of Urban Green Development Efficiency in China. J. Geogr. Sci. 2020, 30, 724–742. [Google Scholar] [CrossRef]
- Wang, L.; Chen, L.; Li, Y. Digital Economy and Urban Low-Carbon Sustainable Development: The Role of Innovation Factor Mobility in China. Environ. Sci. Pollut. Res. 2022, 29, 48539–48557. [Google Scholar] [CrossRef] [PubMed]
- Nambisan, S.; Wright, M.; Feldman, M. The Digital Transformation of Innovation and Entrepreneurship: Progress, Challenges and Key Themes. Res. Policy 2019, 48, 103773. [Google Scholar] [CrossRef]
- Tang, L.; Lu, B.; Tian, T. Spatial Correlation Network and Regional Differences for the Development of Digital Economy in China. Entropy 2021, 23, 1575. [Google Scholar] [CrossRef] [PubMed]
- Raff, Z.; Earnhart, D. The Effect of Environmental Enforcement on Labor: Environmental Workers and Production Workers. J. Regul. Econ. 2020, 57, 118–133. [Google Scholar] [CrossRef]
- Jing, W.J.; Sun, B.W. Digital Economy Promotes High-Quality Economic Development: A Theoretical Analysis Framework. Economist 2019, 2, 66–73. [Google Scholar]
- Zhou, S.F.; Chen, Y.H. Research on the Impact of Digital Economy on High-Quality Economic Development—From the Perspective of Service Industry Structure Upgrading. J. Ind. Technol. Econ. 2022, 41, 111–121. [Google Scholar]
- Yin, S.; Zhang, N.; Ullah, K.; Gao, S. Enhancing Digital Innovation for the Sustainable Transformation of Manufacturing Industry: A Pressure-State-Response System Framework to Perceptions of Digital Green Innovation and Its Performance for Green and Intelligent Manufacturing. Systems 2022, 10, 72. [Google Scholar] [CrossRef]
- Chen, S.R.; Chen, C.Z.; Chen, Y.H.; Wen, X.M.; Sun, Y. Research on the Digital Transformation of Ecological and Environmental Monitoring Oriented to the Modernization of Ecological and Environmental Governance. Environ. Prot. 2022, 50, 9–12. [Google Scholar]
- Chen, T.; Chen, G.; Chen, P.Y. Digital Transformation in China: Development History, Operation Mechanism and Prospect. Forum Sci. Technol. China 2022, 1, 139–149. [Google Scholar]
- Zhou, G.; Zhu, J.; Luo, S. The Impact of Fintech Innovation on Green Growth in China: Mediating Effect of Green Finance. Ecol. Econ. 2022, 193, 107308. [Google Scholar] [CrossRef]
- Chen, H.; Yang, Y.; Yang, M.; Huang, H. The Impact of Environmental Regulation on China’s Industrial Green Development and Its Heterogeneity. Front. Ecol. Evol. 2022, 10, 967550. [Google Scholar] [CrossRef]
- Lanz, B.; Wurlod, J.; Panzone, L.; Swanson, T. The Behavioral Effect of Pigovian Regulation: Evidence from a Field Experiment. J. Environ. Econ. Manag. 2018, 87, 190–205. [Google Scholar] [CrossRef]
- Dong, F.; Pan, Y.; Zhang, X.; Sun, Z. How to Evaluate Provincial Ecological Civilization Construction? The Case of Jiangsu Province, China. Int. J. Environ. Res. Public Health 2020, 17, 5334. [Google Scholar] [CrossRef]
- Rosca, E.; Reedy, J.; Bendul, J. Does Frugal Innovation Enable Sustainable Development? A Systematic Literature Review. Eur. J. Dev. Res. 2017, 30, 136–157. [Google Scholar] [CrossRef]
- Huang, X.R.; Guan, W.H.; Chen, M.X.; Hu, H.Y. Urbanization and Optimization of the Yangtze River Delta Urban Agglomeration. Sci. Geogr. Sin. 2021, 41, 64–73. [Google Scholar]
- Bu, X.N.; Zhao, L.H. Voluntary Environmental Regulations and Enterprise Pollution Emission: Based on the Empirical Test of Government Energy-Saving Procurement Policy. J. Financ. Econ. 2022, 48, 49–63. [Google Scholar]
- Li, D.S.; Gou, C.Y. The Impact of Environmental Regulation on Water Resource Utilization Efficiency in the Western China Based on the Heterogeneity of Industrial Sectors and Resource Dependence Perspectives. Sci. Geogr. Sin. 2021, 41, 2203–2212. [Google Scholar]
- Tamasiga, P.; Onyeaka, H.; Ouassou, E. Unlocking the Green Economy in African Countries: An Integrated Framework of FinTech as an Enabler of the Transition to Sustainability. Energies 2022, 15, 8658. [Google Scholar] [CrossRef]
- Liu, R.Z.; He, C. Study on the Threshold Effect of Environmental Regulation on Income Inequality of Urban Residents. China Soft Sci. 2021, 41–52. [Google Scholar]
- Qiao, B.; Shen, S.H. Study on Mechanism and Effect of Environmental Regulation on Housing Price. East China Econ. Manag. 2021, 35, 97–105. [Google Scholar]
- Yang, S.H.; Tong, M.H.; Zhang, X.Y. Environmental Pollution, Public Health Demand and Economic Development—Based on Regulation Effect and Threshold Effect. Zhejiang Soc. Sci. 2020, 12, 4–15+156. [Google Scholar]
- Zhao, T.; Zhang, Z.; Liang, S. Digital Economy, Entrepreneurship, and High-Quality Economic Development: Empirical Evidence from Urban China. Manag. World 2020, 36, 65–75. [Google Scholar]
- Silverman, B.W. Density Estimation for Statistics and Data Analysis, 1st ed.; Chapman and Hall: London, UK, 1986. [Google Scholar]
- Weng, G.M.; Tang, Y.B.; Pan, Y.; Mao, Y.Q. Spatiotemporal Evolution and Spatial Difference of Tourism-Ecology-Urbanization Coupling Coordination in Beijing-Tianjin-Hebei Urban Agglomeration. Econ. Geogr. 2021, 41, 196–204. [Google Scholar]
- Kong, L.; Li, J. Digital Economy Development and Green Economic Efficiency: Evidence from Province-Level Empirical Data in China. Sustainability 2022, 15, 3. [Google Scholar] [CrossRef]
- Luo, R.; Zhou, N. Dynamic Evolution, Spatial Differences, and Driving Factors of China’s Provincial Digital Economy. Sustainability 2022, 14, 9376. [Google Scholar] [CrossRef]
- Zhang, S.; Ma, X.; Cui, Q. Statistical Test on the Interaction Between Sustainable Development, Digital Economy and Economic Resilience. Stat. Decis. 2023, 5, 92–97. [Google Scholar]
- Song, X.; Tian, Z.; Ding, C.; Liu, C.; Wang, W.; Zhao, R.; Xing, Y. Digital Economy, Environmental Regulation, and Ecological Well-Being Performance: A Provincial Panel Data Analysis from China. Int. J. Environ. Res. Public Health 2022, 19, 11801. [Google Scholar] [CrossRef]




| Subsystem | Primary Indicators | Secondary Indicators | Indicator Properties |
|---|---|---|---|
| Digital economy | Internet output | Total telecom services per capita (billion CNY) | + |
| Internet penetration | Rate number of Internet broadband access users | + | |
| Number of employees in the Internet industry | Percentage of employed persons in urban units of the information transmission, software and information technology service industry (%) | + | |
| Number of Internet users | Number of cell phone users (units per 100 people) | + | |
| Digital Inclusive Finance Index | Peking University Digital Inclusive Finance Index | + | |
| Environmental regulation | Regulation cost | Industrial wastewater emissions (million tons) | - |
| Industrial sulfur dioxide emissions (million tons) | - | ||
| Industrial smoke (dust) emissions (million tons) | - | ||
| Sustainable development | Economy | GDP per capita (10,000 RMB/person) | + |
| Value added of tertiary industry (billion CNY) | + | ||
| Per capita disposable income of all residents (CNY) | + | ||
| Urbanization rate (%) | + | ||
| Ecology | Water consumption per capita (cubic meters) | - | |
| Industrial pollution control investment as a proportion of secondary industry output value | + | ||
| Forest coverage rate (%) | + | ||
| Park green space per capita (square meters) | + | ||
| Harmless domestic waste treatment rate (%) | + | ||
| Social | Urban registered unemployment rate (%) | - | |
| Number of urban basic medical insurance participants at the end of the year (million) | + | ||
| Number of medical and health institutions | + | ||
| Average number of students enrolled in higher education institutions per 100,000 population (persons) | + | ||
| Public library floor space per 10,000 population (square meters) | + | ||
| Public transportation vehicles per 10,000 people (standard units) | + |
| Coupling Coordination | [0, 0.2) | [0.2, 0.4) | [0.4, 0.6) | [0.6, 0.8) | [0.8, 1) |
|---|---|---|---|---|---|
| Type | Severe dissonance | Primary coordination | Moderate coordination | Good coordination | High quality coordination |
| Year | 2011 | 2012 | 2013 | 2014 | 2015 | 2016 | 2017 | 2018 | 2019 | 2020 |
|---|---|---|---|---|---|---|---|---|---|---|
| Moran’s I | 0.198 | 0.200 | 0.154 | 0.143 | 0.181 | 0.156 | 0.128 | 0.139 | 0.207 | 0.183 |
| p-Value | 0.027 | 0.023 | 0.052 | 0.063 | 0.036 | 0.054 | 0.087 | 0.073 | 0.023 | 0.032 |
Disclaimer/Publisher’s Note: The statements, opinions and data contained in all publications are solely those of the individual author(s) and contributor(s) and not of MDPI and/or the editor(s). MDPI and/or the editor(s) disclaim responsibility for any injury to people or property resulting from any ideas, methods, instructions or products referred to in the content. |
© 2023 by the authors. Licensee MDPI, Basel, Switzerland. This article is an open access article distributed under the terms and conditions of the Creative Commons Attribution (CC BY) license (https://creativecommons.org/licenses/by/4.0/).
Share and Cite
Cheng, Y.; Yang, J. Spatial and Temporal Divergence in the Coupling Coordination of Digital Economy, Environmental Regulation and Sustainable Development: An Experience Study in China. Sustainability 2023, 15, 9649. https://doi.org/10.3390/su15129649
Cheng Y, Yang J. Spatial and Temporal Divergence in the Coupling Coordination of Digital Economy, Environmental Regulation and Sustainable Development: An Experience Study in China. Sustainability. 2023; 15(12):9649. https://doi.org/10.3390/su15129649
Chicago/Turabian StyleCheng, Yunlong, and Jian Yang. 2023. "Spatial and Temporal Divergence in the Coupling Coordination of Digital Economy, Environmental Regulation and Sustainable Development: An Experience Study in China" Sustainability 15, no. 12: 9649. https://doi.org/10.3390/su15129649
APA StyleCheng, Y., & Yang, J. (2023). Spatial and Temporal Divergence in the Coupling Coordination of Digital Economy, Environmental Regulation and Sustainable Development: An Experience Study in China. Sustainability, 15(12), 9649. https://doi.org/10.3390/su15129649

