Next Article in Journal
Assessing the Energy-Saving Potential and Visual Comfort of Electrochromic Smart Windows in Office Buildings: A Case Study in Dhahran, Saudi Arabia
Previous Article in Journal
Rooftop Solar PV Policy Assessment of Global Best Practices and Lessons Learned for the Kingdom of Saudi Arabia
 
 
Font Type:
Arial Georgia Verdana
Font Size:
Aa Aa Aa
Line Spacing:
Column Width:
Background:
Article

Research on Urban Road Traffic Network Pinning Control Based on Feedback Control

College of Transportation, Shandong University of Science and Technology, Qingdao 266590, China
*
Author to whom correspondence should be addressed.
Sustainability 2023, 15(12), 9631; https://doi.org/10.3390/su15129631
Submission received: 18 May 2023 / Revised: 10 June 2023 / Accepted: 12 June 2023 / Published: 15 June 2023

Abstract

:
The development and application of pinning control methods create conditions for traffic area control, and the objective of possessing global control of the road network is achieved by controlling a small number of intersections in the road network. Based on this, an urban road network pinning control strategy is designed in this paper. Firstly, this paper establishes the state equation of the urban road traffic network according to the characteristics of traffic flow, and proposes an associated state equation for road sections and key intersections. Secondly, by adjusting the signal timing scheme of key intersections as the target of pinning control, it can restrain the road network to achieve the state with the minimum difference between the actual flow and the desired flow on each road section. At the same time, considering the dynamic nature of traffic flow and the fact that the flow rate on the road section changes continuously, a feedback control mechanism is established in order to determine the threshold value at which each road section enters the congestion state. In addition, when the flow rate of a road section exceeds its threshold value to reach the congestion state, the signal timing scheme of the key intersection needs to be adjusted again to ensure that the flow rate on the road section is always lower than the threshold value at which it enters the congestion state. The results show that the average delay time and average stopping time of the road network are reduced by 35.03s and 18.37s, respectively, compared with the original control scheme, proving that the control strategy can effectively reduce congestion and improve the operational efficiency of the road network.

1. Introduction

The significant growth in the number of motor vehicles worldwide has led to an increasing demand for travel, and the urban road network needs to be expanded in order to meet the travel demand. However, considering the limitation of land, it is unrealistic to build roads without limitation. In order to meet the travel demand of motor vehicles, many scholars have conducted research on the sustainable development of transportation [1,2], transportation infrastructure [3,4], new technologies [5], artificial intelligence [6,7], and transportation demand management [8]. However, considering the restrictive situation in terms of land use, laws and regulations, traffic safety issues and traffic congestion are still urgent challenges in many countries.
The research of existing traffic control methods has risen from single-point control and arterial control to area control. SCOOT [9] and SCATS [10] were the first adaptive control systems proposed. However, the SCATS system does not use traffic models, which limits the process of optimizing signal timing and does not fit well with the dynamic characteristics of traffic flow; meanwhile, SCOOT uses accurate mathematical models to determine the appropriate control strategy, which leads to long simulation periods, creating a conflict between real-time and reliability.
Subsequent scholars have studied the methods used to control road traffic networks from different perspectives. Urban traffic response control is a more typical basis for developing traffic signal control strategies. Febbraro [11] and Chiou [12] et al. proposed an optimal control scheme for traffic signals based on traffic response demand as a way to reduce vehicle queue length and improve the toughness of urban road networks. On this basis, some scholars have started to improve the research on TUC methods. Dino [13] and Manolis [14] introduced a quadratic planning approach and a local drive-based approach for hybrid studies with TCU, respectively. Kouvelas et al. [15] proposed a hybrid signal control strategy that integrates TUC and DB strategies, since the DB method is only applicable to unsaturated traffic conditions and the TUC method is applicable to saturated traffic conditions. Therefore, this paper mixes the two methods to improve the control of the network.
Godfrey [16] first proposed the role of macro fundamental maps in traffic network analysis. In recent years, Ekbatani [17], Aboudolas [18], Zhang [19] and Knoop [20] et al. have conducted extensive studies on traffic networks using MFD theory. Yang et al. [21] proposed a fuzzy RBF neural network PID-based regional boundary control method for traffic networks. Li et al. [22] proposed a traffic flow transfer model considering MFD constraints and investigated its relationship with network traffic attributes. Wang et al. [23] proposed a multi-region model that can achieve consistent state feedback without considering the differences in congestion conditions and equilibrium in each sub-region control method. Li et al. [24] proposed a model-free adaptive control strategy for urban road traffic networks based on dynamic linearization techniques and predictive control, considering perimeter control. Based on regional traffic control, Liu et al. [25] combined macroscopic fundamental graph theory with perimeter and boundary flow control methods to achieve a combined strategy of traction control and active control.
Meanwhile, with the development of intelligent transportation, more and more advanced machine learning techniques are being applied to regional traffic control methods [26,27].
However, while most of the existing control methods consider control efficiency, few consider the control cost and further consider the control cost in combination with the control efficiency. Therefore, this paper studies an urban road traffic network control method based on traction control from this perspective. The basic idea of pinning control is to suppress the spatiotemporal chaotic behavior of the whole network by applying constant input control to some nodes in the network [28]. In 2002, Wang et al. [29] first introduced pinning control into the synchronization control of scale-free dynamic networks, and the research results showed that the whole network could reach the synchronization state after applying control to some nodes in the network.
In recent years, pinning control methods have been applied in different fields. Li et al. [30] designed a pinning controller that saves control costs and resources while guaranteeing the horizontal performance of complex networks. Jia et al. [31], by designing the starting conditions of different control signals, investigated the sufficient conditions for achieving network synchronization with a minimum control cost via the application of drives to some nodes under the dynamic pinning control strategy; this was performed in order to solve the pinning synchronization problem in response to the whole network. Lu et al. [32] investigated the stability of Boolean control networks under pinning control, verified the stability of the network using the Warshall algorithm, and also calculated the minimum set of pinning control nodes in the present time. Wang et al. [33] considered pinning control and adaptive pinning control to study the time synchronization of BAM networks with time-varying delays. Applying the pinning control mechanism to some nodes enabled the network to derive new sufficient conditions and achieve time synchronization, verifying the effectiveness and feasibility of the network to achieve synchronization under pinning control. Andoh et al. [34] proposed a hierarchical pinning control method that made the number of pinning nodes smaller by selecting the most appropriate pinning nodes, while enabling the multi-agent system to reach consensus; they applied it to vehicle platooning. In 2018, Wang et al. [35] considered the dynamic performance of the traffic network in order to construct a complex traffic network model and demonstrated that the complex traffic network can fulfil the synchronization criteria through tethered control by studying the degree of the network and the selection of control nodes under the energy index of a single node. Zheng et al. [36] applied the theory of traction control to control urban traffic networks by constructing controllers with road sections as units, so that the flow in the network could reach an equilibrium state. The urban road also has a typical small-world effect and a scale-free effect, so this paper introduces pinning control for the study.
The main contribution of this paper is that it proposes a pinning control scheme that considers feedback, by changing the green letter ratio of each phase at key intersections and achieving the objective of changing the flow rate of each road section according to the correlation between key intersections and each road section, so that the road network as a whole reaches a new stable state. The traffic congestion is relieved with a smaller control cost and the operational efficiency of the road network is improved.
The specific contributions of this work are as follows:
(1)
The state equation of the urban road traffic network is constructed considering the mobility of traffic flow, and the correlation model between the road section flow and the key intersections in the road network is established by introducing parameters such as the saturation flow rate, correlation degree and turning ratio.
(2)
A pinning control strategy is proposed in order to adjust the signal timing of key intersections by judging the operation status of the traffic flow in each section of the road network so that all sections of the road network are in a smooth state.
(3)
The simulation of the pinning control strategy and the method are carried out on the regional road network of Xin’an Street, and the results show that the proposed strategy can effectively reduce the delay and queuing time in the road network.

2. Urban Road Traffic Network State Equation

The traffic flow on each road section in the urban road traffic network is time-sensitive and dynamic, and the traffic on the road section reaches a new state in the next cycle according to the coupling between the road sections. The specific state-change process of the road section can be described as follows: the road traffic flow in the k + 1th cycle of road section j is equal to the road traffic flow in the kth cycle plus the flow into road section j from other road sections, and the subtraction of the number of vehicles flowing onto other related road sections from road section j . The variation in the road segment flow is shown in Equation (1).
q j ( k + 1 ) = q j ( k ) + e j i n ( k ) e j o u t ( k )
where q j ( k + 1 ) denotes the number of vehicles on roadway j at time k + 1 , q j ( k ) denotes the number of vehicles on roadway j at time k , e j i n ( k ) denotes the number of vehicles flowing into roadway j between time k and time k + 1, and e j o u t ( k ) denotes the number of vehicles flowing out of roadway j between time k and time k + 1 .
According to the topology of the road network and the flow characteristics of the traffic flow of the road section, the following can be derived from the number of vehicles flowing into and out of the road section j , respectively:
e j i n ( k ) = i = 1 φ i j s i g i j
e j o u t ( k ) = l = 1 φ j l s j g j l
φ i j in Equation (2) and φ j l in Equation (3) denote the turn ratio from section i to section j and from section j to section l , respectively; s i and s j denote the saturation flow rate of section i and section j , respectively; and g i j and g j l denote the green light time from section i to section j and from section j to section l , respectively.
The controlled inflow to and outflow from section j for the adjacent sections of section j receiving the corresponding intersection are illustrated in Figure 1.

3. Urban Road Traffic Network Pinning Control Strategy

3.1. Parameter Determination

3.1.1. Saturated Flow Rate

The saturation flow rate is generally inversely proportional to the saturation headway, defining the saturation headway as h 0 , in seconds, and the number of lanes in the roadway as m 0 . Then, the saturation flow rate of the section can be obtained, as shown in Equation (4).
s = m 0 1 h 0

3.1.2. Degree of Association

Considering that the more distant road sections from the critical intersection are less associated with the critical intersection, the less they are influenced by the control of the critical intersection. Therefore, the inverse of the number of road sections passed by the road section to reach the critical intersection is used as the weight in order to define the size of the degree of influence of the critical intersection on each road section. In addition, the degree of control of key intersections on road sections is not only influenced by distance, but also by direction, so this paper defines the weight value of the road section flow into key intersections as negative, and the weight value of the road section flow out of key intersections as positive.
The degree of association λ j l is defined as follows:
λ j l = 1 m ,   flow   out   critical   intersections 1 m ,   flows   into   critical   intersections 0 ,   does   not   correlate   with   key   intersections
where m indicates the number of road segments in the shortest path of road segment j to the critical intersection. When the traffic in section j flows into the critical intersection at phase l of the critical intersection, the section is positively correlated with the critical intersection; when the traffic in section j flows out of the critical intersection at phase l of the critical intersection, the section is negatively correlated with the critical intersection at that phase; if the traffic in section j is not correlated with the critical intersection at phase l of the critical intersection, then its correlation degree is 0.

3.1.3. Steering Ratio

There are multiple paths for the traffic in road section j to reach the critical intersection. In this paper, we take the shortest path via which the road section can reach the critical intersection as the moving path of the traffic, and take the product of the turning ratio of the traffic of road section j passing through each intersection on this path as the final turning ratio of the traffic of road section j flowing into the critical intersection.

3.2. Pinning Control Strategy

When considering the pinning control strategy, only the critical intersections are considered to reduce the control cost. In this paper, we assume that the road network presents a non-ideal steady state in the region under the existing signal timing scheme. Considering that the best state of road network operational efficiency is the state in which the traffic on all sections of the road network is close to the ideal value, then the flow into and out of each road section affected by the signal timing of the key intersection can be considered as a state variable, and the flow in and out of the road section through other intersections can be considered as a quantitative consideration. Then, we can derive the association between road sections and key intersections in the road network, as shown in Equation (6).
q j ( k + 1 ) = q j ( k ) + l = 1 m s j ω j l φ j l g l
where q j ( k + 1 ) denotes the traffic flow of roadway j in the k + 1 th cycle, q j ( k ) denotes the traffic flow of roadway j in the k th signal cycle, s j denotes the saturation flow rate of roadway j , λ j l denotes the degree of association between the roadway and intersection in the l th phase, φ j l denotes the product of the turning ratio of the minimum path through which roadway j flows into and out of the critical intersection in the l th phase, and g l denotes the green light time in the l th phase.
By extending the relationship between section j and the critical intersection to the state equation of association between all sections of the road network and the critical intersection, the following can be obtained:
Q ( k + 1 ) = Q ( k ) + S n B n m G m
Q ( k + 1 ) = q 1 ( k + 1 ) , q 2 ( k + 1 ) , , q n ( k + 1 ) T
Q ( k ) = q 1 ( k ) , q 2 ( k ) , , q n ( k ) T
S n = s 1 , s 2 , , s n T
B = λ 11 φ 11 λ 1 m φ 1 m λ n 1 φ n 1 λ n m φ n m
G m = g 1 , g 2 , g m T
where Q ( k + 1 ) denotes the matrix of the number of vehicles on each road segment of the road network during the k + 1 th signal cycle of the critical intersection, Q ( k ) denotes the matrix of the number of vehicles on each road segment of the road network during the k th signal cycle of the critical intersection, S n denotes the saturation flow rate of each road segment of the road network, B denotes the correlation matrix of each road segment at each phase of the critical intersection, and G m denotes the green light time at each phase of the critical intersection.

3.3. Design of Pinning Control Method

Since the actual state of the road network may be that some sections have too much traffic, thus causing congestion, while some sections have little traffic, causing the poor utilization of road resources, it is necessary to adjust the operation of the entire region; it is most important to adjust the congested sections that are directly connected to key nodes as well as other congested sections, and control the diversion of traffic from congested sections to other sections with a low traffic volume in order to ensure the balance of the entire road network.
The main objective of the pinning control in this paper is to change the traffic flow on congested road sections and reduce the delays in the road network. It is ensured that the utilization of the roads reaches a good state, i.e., the network is guaranteed not to generate congestion, while the utilization of the road sections in the network is not too low; therefore, the traffic flow on the road sections reaches a desirable state. At present, the utilization rate of road sections is usually expressed by the spatial occupancy rate; this is according to Yang via the study of the dynamic spatial occupancy rate. Assuming that the vehicle occupancy of the road has a strong randomness, the spatial occupancy rate is maintained in the interval of 0.2–0.3, which is the best traffic network operation state. Therefore, in this paper, a road section that has a traffic volume and a spatial occupancy rate of 0.25 is chosen as the desired flow.
Considering the complex topology of the nodes and road sections contained in the regional road network, it is too costly to control all road sections and nodes, and according to the characteristics of the urban road network, it is known that the more important key intersections play a higher role in the network and have a more significant influence on the rest of the road sections in the network; therefore, a regional road network control scheme based on the pinning control strategy is proposed. The central idea of the pinning control strategy is as follows: for the regional road network within the study area, the key intersections of high importance are first identified, and on this basis, the control of the key intersections is considered; at the same time, by coupling the key intersections and each road segment to pinning the traffic on each road segment in the network, the road segment traffic can reach a desired stable state.
From the state equation of the road network, it can be seen that the traffic flow of each road section in each cycle changes according to the signal timing of the key intersection, the turning ratio of the road section and the saturation flow rate. In this paper, it is assumed that the turning ratio and saturation rate of each road section will not change, so the optimal control scheme for key intersections involves changing the signal timing of key intersections to achieve the goal of converging the traffic volume of each road section in the study area network to the desired value.
Therefore, the pinning control strategy in this paper can be described as follows: the traffic flow of each road section in the k th cycle is obtained, and the desired traffic flow of each road section in the ideal state is determined according to the length of each road section and the number of lanes. Under the condition that the cycle length of the key intersection remains unchanged, the optimal signal timing scheme is obtained by adjusting the green time of each phase of the key intersection in order to optimize the traffic flow on all road sections in the k + 1 th cycle, so that it converges to the desired traffic flow in the ideal state.

3.4. Pinning Control Strategy Considering Feedback Control

The traffic flow operation status of each road section in the urban road network is divided into three main states:
  • Unobstructed status
The traffic flow on the road segment is much less than the road capacity of the road network, and the vehicles are able to keep the whole process smooth.
  • Transition status
The traffic flow on the road section exceeds its road capacity, but it is still below the maximum carrying capacity of the road section when the traffic state starts to be affected and gradually shifts to a congested state.
  • Congestion status
The traffic flow on the road section has exceeded the maximum carrying capacity of the road section when the efficiency of the road network is seriously affected; the entire traffic flow will produce congestion until the final “lock-up”.
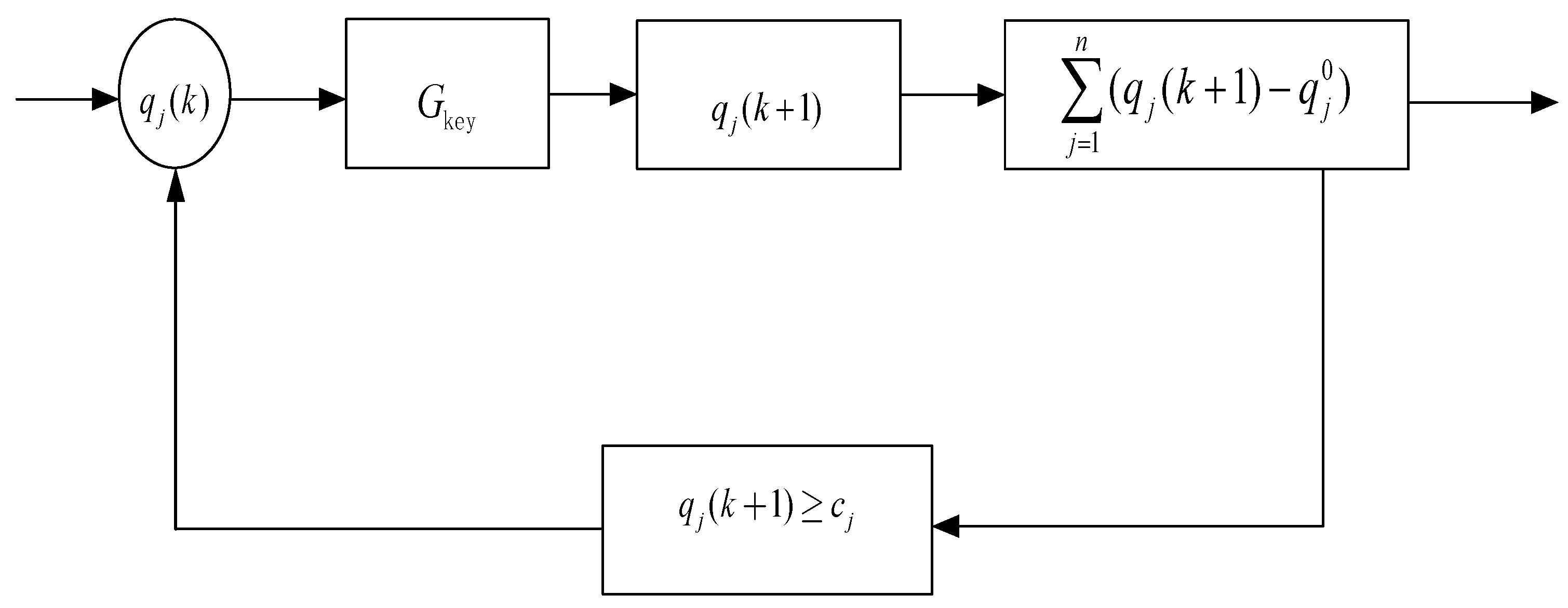
According to the operating characteristics of urban road networks and the optimal signal timing under the existing conditions, the traffic on the road section does not remain in a specific state, but rather the traffic on the road section is in a constant state of operation. The number of vehicles on each road section also changes, so this paper considers the feedback mechanism of traction control. That is, this paper runs the state of the transition state as a feedback threshold in order to adjust the signal timing, that is, when the traffic in the roadway reaches the threshold, the key intersection timing will be further adjusted to ensure that the entire region is in a smooth state.
The details of the feedback mechanism for pinning control are presented in Figure 2:
By optimizing the road network with the objective of minimizing the difference between the target flow and the desired flow, the optimal signal timing for a critical intersection can be obtained, and the continued flow of traffic in the road network on the basis of the optimal signal timing will occur in two cases.
Situation 1:
q j ( k + 1 ) < c j
On the basis of the optimal signal timing at key intersections, the traffic of each road section is always kept smaller than its capacity, i.e., if the road network as a whole remains in a smooth state, then the area continues to operate using this signal timing scheme.
Situation 2:
q j ( k + 1 ) c j
The road network has a section of flow that exceeds its capacity, which means that the road network will transition to congestion when the road flow is not controlled; the congestion will further spread, affecting other sections of traffic, and thus affecting the operational efficiency of the entire network. At this point, the key intersection signal timing needs to be considered in order to make further adjustments; the adjustment goal is to reduce the number of vehicles in the congested section in order to reach the smooth state, and at the same time, to ensure that there is a difference between the actual flow and the target flow on the basis of the adjustment of the square of the minimum.
When the road network sections reach the congestion threshold, a pinning control strategy is developed by considering the feedback mechanism in order to determine whether the actual flow in each section converges to the desired flow; as such, the following model is established:
min Z = j = 1 n ( q j ( k + 1 ) q j 0 )
s.t.
q j ( k + 1 ) c j
g min g g max
where q j 0 is the desired flow on roadway j . The constraint ensures that the sum of the green times at each phase of the critical intersection is constant and lies between the minimum and maximum green times.
By considering the feedback control, a pinning control strategy is imposed on the key intersections of the urban road network via the following process:
Step 1: Inputting the known parameters: the road network topology, key intersection cycle duration and phase distribution, steering ratio between road segments, and traffic in each road segment in the initial cycle;
Step 2: Adjusting the green light duration of each phase of the critical intersection in the k + 1 th cycle to determine the optimal timing of the critical intersection with the objective of minimizing the sum of the squares of the differences between the actual and desired flows on the roadway;
Step 3: Defining the capacity of each road section as the flow threshold. When the road section flow exceeds this threshold, the road network will transition to a congested state, affecting the operational efficiency of the entire regional road network; therefore, when the road section flow reaches this response threshold, Step 2 is moved to.

4. Simulation Analysis

In order to verify the feasibility and effectiveness of the above pinning control strategy, this paper takes a part of the road network in Xin’an Street, Huangdao District, Qingdao City, as an example for simulation verification. The topology of this regional network is shown in Figure 3.
The road information obtained for the region includes the flow rate of each road section, the signal timing scheme of each intersection, the key intersections, the turning ratio and weights of each road section relative to the key intersections, the parameters related to the road network topology, etc. The headway of the single lane of each road section is taken as 3 s, so its saturation flow rate is set as 1/3 pcu/h.
Considering the characteristics of the road network, this paper integrates the capacity of the road, the number of lanes, the length of the road section and the mutual influence of factors between the nodes from both global and local perspectives, and finally determines Intersection 83 as the key intersection in the region.
After the simulation area was determined, the traffic signal phases and timing of each intersection in the area were investigated using the manual survey method. At the same time, the traffic volume at each road section at a certain time of the weekday in an evening peak was investigated using the floating vehicle method, using ordinary cabs as the test vehicles.
The actual existing signal timing scheme for the critical intersection is shown in Table 1. The subsequent control scheme does not change the cycle duration of the critical intersection, but only changes the green signal ratio of each phase.
The actual traffic flow of each internal road section was obtained from the survey, and the corresponding expected flow was determined based on the actual number of lanes and length of each road section, as shown below (Table 2):
The actual flow and the threshold values for congestion on each road segment in the road network are shown in Figure 4.
As can be seen in Figure 4, the regional traffic generally does not reach the desired flow state of the best road network operational efficiency; on the contrary, there are some sections with very few vehicles, but some sections with too many vehicles. This shows that the traffic has exceeded the threshold value, resulting in congestion; as the flow in the regional sections of L3, L14, L20, L24, L26 exceeds the threshold value of congestion, the section enters a slow congestion state. Therefore, it is necessary to adjust the number of vehicles in each section of the road network to reduce the flow of congested sections and try to ensure that each section converges to its desired flow.
According to the algorithm flow of the pinning control strategy, the existing conditions of the road network (actual traffic flow, key intersection signal timing scheme, turning ratio of each intersection, coupling strength, section number, etc.) and the calculated desired traffic flow are input as relevant parameters, and the optimal key intersection signal timing can be calculated to meet the target state; at the same time, considering the feedback mechanism, when the section exceeds its congestion threshold, the signal timing is further adjusted. Five critical intersection signal timing schemes can be derived from the simulation, as shown in Table 3:
Figure 5 shows the variation in the flow rate of each section for each signal timing scheme obtained from the regulation and its comparison with the original and desired flow rates.
From the above figure, we can see that the first road section to reach the congestion threshold under the T1 scheme is L20, the first to reach the congestion threshold under the adjusted T2 scheme is road section L22, the first to reach the congestion threshold under the T3 scheme is road section L26, the first to reach the congestion threshold under the T4 scheme is L22, and the first to reach the congestion threshold under the T5 scheme is road section L29. Combined with the analysis of the road network structure topology diagram, it can be seen that the first to reach the congestion threshold under the feedback control condition in each scenario is the road section that is directly connected to the critical intersection or the road section near the critical intersection. The analysis shows that this is because the road sections directly connected to the key intersections are under the strong control of the key intersections; generally, the closer the road sections are to the key intersections, the stronger the control of key intersections have over them. In this case, changing the signal timing scheme of the key intersection has the greatest impact on the traffic of the road sections directly connected to the key intersection and it is more closely connected to the key intersection, and the corresponding change in traffic is higher. Therefore, when the road section directly connected to the key intersection is congested, by adjusting the signal timing of the key intersection, the traffic flow on the congested roadways directly connected to critical intersections is quickly reduced, and on top of that, the congestion on the roadways further away from critical intersections is further reduced. At the same time, when the road section directly connected to the critical intersection under the adjustment scheme increases, the traffic volume of this road section also increases rapidly to the critical value of congestion. Therefore, the road sections directly connected to and more closely linked with key intersections and key intersections should be the key monitoring objects in the road network.
The quantitative parameters, such as the turning ratio at each intersection and the signal timing of non-critical intersections, are input in this road network. Considering that the control scheme under the optimization scheme is a multi-time varying signal control, Vissim and Python are used to implement the signal control program under the optimization scheme in this paper. Firstly, the Vissim4.3 software is used to construct the topology of the simulated road network, set up the phase and timing scheme of each intersection, and input the original traffic flow obtained from the survey and the allocation of the steering ratio; secondly, on the basis of the completed Vissim configuration, python is used for the secondary development of Vissim in order to write the optimized control scheme implementation program. According to this control program, the simulation time is taken as 3600s, and the operation on the road network is simulated. Based on the simulation results, the original timing control scheme and the optimized feedback control scheme are compared and analyzed by selecting the delay time and stop time as the evaluation index (Table 4).
At the same time, because the above-mentioned key intersections and the road sections directly connected to the key intersections should be the key monitoring objects in the road network, this paper makes a specific comparative analysis of the variation in the delay in the road sections L22, L24, L26 and L30, which are directly connected to the key intersections.
For example, Table 5 shows the delays in the original control scheme, as well those as in the optimized pinning control scheme for the sections directly connected to the critical intersections. Figure 6 shows the change in the delay time of road sections L22, L24, L26 and L30, which are directly connected with the key intersections for 12 cycle times.
By analyzing the delay of some road sections, it can be found that in the first few cycles of the simulation, the delay of the road sections under the optimized feedback control and the delay of the road sections under the original timing control are not significantly different, and even the delay of the original timing control scheme is lower than the delay of the optimized feedback control scheme. This is because the simulation time is from the time the roadway traffic starts to run the simulation. The traffic flow on the roadway belongs to an incremental process from nothing to something, and it takes time to accumulate vehicles to generate delays; meanwhile, the optimized feedback control scheme also takes some time to adjust the traffic flow on the roadway.
For road sections L24 and L26 (Figure 5b,c), from the fifth cycle onwards, the delays at these two road sections under the optimized feedback drafting control scheme are significantly reduced compared to the original timing control scheme. Combined with the analysis of the original traffic flow of the road sections, we can know that the road sections L24 and L26 belong to the congestion state. The main purpose of the draft control is to reduce traffic congestion and balance the traffic flow of the entire road network, so for the congested road sections, the signal timing under the draft control scheme can divert the traffic to other sections with a relatively low traffic flow; therefore the delay time of section L24 and section L26 are significantly reduced.
For the delay time of road section L22 and road section L30 (Figure 5a,d), the optimized feedback drafting control scheme does not improve significantly compared with the original control scheme, and even the delay time under the original control scheme appears lower. This is because the original flow rates of road L22 and road L30 are relatively small, similar to the initial flow rate of road L22, which is 42 pcu, but its corresponding desired flow rate is 48 pcu; the initial flow rate of road L30 is 48 pcu, and the desired flow rate is 90 pcu. Both initial flow rates are less than the desired flow rate. In the drafting control scheme, in order to achieve the control target, the flow rate of the congested road will flow into an area in which the flow is smaller or even does not reach the desired flow. The less traffic on the roadway, the less delay it will generate; therefore, it will appear that, for the roadway with less initial flow in the optimized feedback traction control scheme, the delay time will be improved compared to the original control scheme.

5. Conclusions

In this paper, an urban road network pinning control method is designed for key intersections by combining the characteristics of road networks. Firstly, an urban road network pinning control model is established based on the general complex dynamic network state equation and its pinning control model. T The correlation between intersections and road segments is considered in the model, and introduces the degree of coupling and turning ratio to describe the interaction of traffic between key intersections and road segments. The degree of association is the reciprocal of the number of road sections between the road section and the key intersection, and whether the traffic flowing through the key intersection flows into and out of the road section as the coupling between the road section and the key intersection; the turning ratio is the product of the turning ratio of all intersections out of the shortest path when the traffic flows from the key intersection into and out of the road section. The parameter takes into account the effect of control at key intersections on road sections so that the growth of distance is decreased, and further proves that the road sections directly connected with key intersections should be the focus of monitoring in the paper.
The actual flow rate on each road segment is optimized to be close to the desired flow rate by applying drafting control to the critical intersection and adjusting its signal timing, where the road segment is closer to the critical intersection. With the objective of minimizing the squared difference between the actual flow and the desired flow on each road section, the most appropriate signal timing is derived by satisfying the constraints of the minimum and maximum green time for each phase and that the flow on each road section is less than the congestion threshold. At the same time, 1.5 times of the desired flow rate is taken as the threshold value, and when the traffic volume of a road section reaches this threshold value, feedback is required for a new round of adjusting the signal timing of the key intersection drafting control scheme. Finally, the simulation analysis combined with the actual road network shows that the proposed drafting control scheme reduces the average delay time and the average stopping time of the road network by 35.03 s and 18.35 s, respectively, compared with the original control scheme, and the congestion of the road sections directly connected to the critical intersections is greatly improved. To a certain extent, the congestion of the road network is alleviated and the operational efficiency of the road network is improved.
However, the method proposed in this paper has many shortcomings, and further improvements can be made in future studies. In this paper, only one key node is selected to control the control area, and the scale of the road network and the number of control nodes are not studied. Since the simulation area selected in this paper is a very small area of the road network, the control method is relatively feasible, and the number of control nodes selected and the control effect need to be further studied when the road network area is expanded. In addition, with the advancement of intelligent transportation and driverless technology, the information between vehicles and traffic control devices will be interoperable, and the traffic signals and traffic control devices in the road network area can be considered for advance planning based on the travel information of vehicles in the future to fundamentally alleviate the traffic congestion.
A relevant model that can be used to solve these issues more efficiently should also be the focus of our next research. Currently, different advanced optimization algorithms are applied in many fields to solve different complex problems. For example, in the literature, [37] confronts the optimization multi-objective problem and proposes a learning-based algorithm, while incorporating a learning automaton mechanism that can adjust the learning strategy in time to cope with different problem characteristics. Further research [38] tackles the transportation problem and proposes an adaptive multiplicative memory algorithm for the complexity of the scheduling problem of the CDT truck gate service, which helps to develop an efficient and correct operation plan. The research in [39] and [40] addresses the berth scheduling problem of shipping containers, and proposes an island-based meta-heuristic algorithm and a new modal algorithm with deterministic parameter control to solve the optimal scheduling method obtained in order to minimize the service cost of the terminal, respectively. The research in [41] proposes a scenario-based genetic algorithm to solve the computational complexity of the proposed model, which saves a lot of computation time compared with the traditional genetic algorithm. In the research of [42], for the medical rescue problem, the NSGA-II algorithm and the multi-objective particle swarm optimization algorithm are used to solve the mixed-integer linear programming model established in the paper, and the optimal route for each rescue vehicle is solved in the shortest time. From the above applications of different advanced algorithms, we can see that suitable advanced algorithms can solve a series of decision problems quickly and efficiently to a large extent. Therefore, in future research, we can consider using some advanced algorithms to establish the best traffic control solutions with a lower cost and a higher efficiency.

Author Contributions

G.G. was responsible for the overall design of the experiment and the writing of manuscripts; W.L. was responsible for the experimental guidance and revision of the manuscript; Q.W. was responsible for the data collection and analysis. All authors have read and agreed to the published version of the manuscript.

Funding

This research received no external funding.

Institutional Review Board Statement

Not applicable.

Informed Consent Statement

Not applicable.

Data Availability Statement

Not applicable.

Conflicts of Interest

The authors declare no conflict of interest.

References

  1. Greene, D.L.; Wegener, M. Sustainable transport. Transp. Geogr. 1997, 5, 177–190. [Google Scholar] [CrossRef]
  2. Richardson, B.C. Sustainable transport: Analysis frameworks. Transp. Geogr. 2005, 13, 29–39. [Google Scholar] [CrossRef]
  3. Ogryzek, M.; Klimach, A.; Niekurzak, D.; Pietkiewicz, M. Using Cartographic Documents to Provide Geoinformation on the Rights to Real Estate—Taking Poland as an Example. ISPRS Int. J. Geo-Inf. 2019, 8, 530. [Google Scholar] [CrossRef] [Green Version]
  4. Torslov, N. Traffic in Copenhagen 2009; Copenhagen Traffic Department: Copenhagen, Denmark, 2010. [Google Scholar]
  5. Goldman, T.; Gorham, R. Zrównoważony transport miejski: Cztery innowacyjne kierunki. Techno. Soc. 2006, 28, 261–273. [Google Scholar]
  6. Abduljabbar, R.; Dia, H.; Liyanage, S.; Bagloee, S.A. Applications of artificial intelligence in transport: An overview. Sustainability 2019, 11, 189. [Google Scholar] [CrossRef] [Green Version]
  7. Miles, J.; Walker, A. The potential application of artificial intelligence in transport. IEE Proc. Intell. Transp. Syst. 2006, 153, 183–198. [Google Scholar] [CrossRef]
  8. Ferguson, E. Planowanie, rozwój i wdrażanie zarządzania popytem na transport. J. Am. Plan. Assoc. 1990, 56, 442–456. [Google Scholar] [CrossRef]
  9. Hunt, P.B.; Robertson, D.I.; Bretherton, R.D. The SCOOT on-line traffic signal optimization technique (Glasgow). Traffic Eng. Control 1982, 23, 190–192. [Google Scholar]
  10. Lowrie, P.R. SCATS: The Sydney co-ordinated adaptive traffic system—Principles, methodology, algorithms. In Proceedings of the International Conference on Road Traffic Signalling, London, UK, 30 March–1 April 1982. [Google Scholar]
  11. Febbraro, A.D.; Giglio, D.; Sacco, N.A. Deterministic and Stochastic Petri Net Model for Traffic-Responsive Signaling Control in Urban Areas. IEEE Trans. Intell. Transp. Syst. 2016, 17, 1–15. [Google Scholar] [CrossRef]
  12. Chiou, S.W. A traffic—Responsive signal control to enhance road network resilience with hazmat transportation in multiple periods. Reliab. Eng. Syst. Saf. 2018, 175, 105–118. [Google Scholar]
  13. Dinopoulou, V. Application and Evaluation of the Signal Traffic Control Strategy TUC in Chania. J. Intell. Transp. Syst. 2005, 9, 133–143. [Google Scholar] [CrossRef]
  14. Manolis, D.; Diakaki, C.; Papamichail, I.; Papageorgiou, M. Simulation investigations of the coordinated traffic-responsive signal control strategy TUC with actuation at the local junction level. Eur. Transp. Res. Rev. 2018, 10, 25. [Google Scholar] [CrossRef] [Green Version]
  15. Kouvelas, A.; Aboudolas, K.; Papageorgiou, M.; Kosatopoulos, E.B. A Hybrid Strategy for Real-Time Traffic Signal Control of Urban Road Networks. IEEE Trans. Intell. Transp. Syst. 2011, 12, 884–894. [Google Scholar] [CrossRef] [Green Version]
  16. Godfrey, J.W. The mechanism of a road network. Traffic Eng. Control 1969, 11, 323–327. [Google Scholar]
  17. Keyvan-Ekbatani, M.; Kouvelas, A.; Papamichail, I.; Papageorgiou, M. Exploiting the fundamental diagram of urban networks for feedback-based gating. Transp. Res. Part B Methodol. 2012, 46, 1393–1403. [Google Scholar] [CrossRef]
  18. Aboudolas, K.; Geroliminis, N. Perimeter and boundary flow control in multi-reservoir heterogeneous networks. Transp. Res. Part B Methodol. 2013, 55, 265–281. [Google Scholar] [CrossRef] [Green Version]
  19. Zhang, L.; Garoni, T.M.; Gier, J.D. A comparative study of Macroscopic Fundamental Diagrams of arterial road networks governed by adaptive traffic signal systems. Transp. Res. Part B 2013, 49, 1–23. [Google Scholar] [CrossRef] [Green Version]
  20. Knoop, V.L.; Hoogendoorn, S.P.; Van, W.C. Routing Strategies Based on Macroscopic Fundamental Diagram. Transp. Res. Rec. 2018, 2315, 1–10. [Google Scholar] [CrossRef] [Green Version]
  21. Yang, X.; Chen, J.; Yan, M.; He, Z.; Qin, Z.; Zhao, J. Regional Boundary Control of Traffic Network Based on MFD and FR-PID. J. Adv. Transp. 2021, 2021, 9730813. [Google Scholar] [CrossRef]
  22. Li, J.Y.; Xie, N.K.; Zhang, K.H.; Guo, F.C.; Simon, H.; Chen, X.Q. Network-scale traffic prediction via knowledge transfer and regional MFD analysis. Transp. Res. Part C Emerg. Technol. 2022, 141, 103719. [Google Scholar] [CrossRef]
  23. Wang, L.; Li, M.; He, Z.H.; Zhang, L.Y.; Li, Z.X. Multi-region state consistent collaborative control based on MFD in traffic Network. J. Transp. Syst. Eng. Inf. Technol. 2019, 19, 81. [Google Scholar]
  24. Li, Z.X.; Jin, S.T.; Xu, C.Y. Model-Free Adaptive Predictive Control for an Urban Road Traffic Network via Perimeter Control. IEEE Access 2019, 7, 172489–172495. [Google Scholar] [CrossRef]
  25. Liu, L.; Gao, C.Q.; Mao, J.N.; Lu, W.K.; Chen, Y.T. The Theoretical Concept and Method System of Traffic Congestion Control of Urban Road Network with Intelligent Transportation Systems. In Proceedings of the Sixth International Conference on Transportation Engineering, Chengdu, China, 20–22 September 2020. [Google Scholar]
  26. Guo, M.Y.; Wang, P.; Chan, C.Y.; Askary, S. A Reinforcement Learning Approach for Intelligent Traffic Signal Control at Urban Intersections. In Proceedings of the 2019 IEEE Intelligent Transportation Systems Conference (ITSC), Auckland, New Zealand, 27–30 October 2019. [Google Scholar]
  27. Zeng, J.; Hu, J.; Zhang, Y. Training Reinforcement Learning Agent for Traffic Signal Control under Different Traffic Conditions. In Proceedings of the 2019 IEEE Intelligent Transportation Systems Conference ITSC, Auckland, New Zealand, 27–30 October 2019. [Google Scholar]
  28. Hu, G.; Qu, Z.L. Controlling spatiotemporal chaos in coupled map lattice systems. Phys. Rev. Lett. 1994, 72, 68. [Google Scholar]
  29. Wang, X.F.; Chen, G.R. Pinning control of scale-free dynamical networks. Phys. A 2002, 310, 521–531. [Google Scholar] [CrossRef]
  30. Li, Y.; Yang, Z.; Xia, D.; Mei, J. Finite-Time synchronization for complex networks via guaranteed cost intermittent pinning quantized control. In Proceedings of the 2021 33rd Chinese Control and Decision Conference (CCDC), Kunming, China, 22–24 May 2021; pp. 5321–5326. [Google Scholar]
  31. Jia, Q.; Bram, A.K.; Han, Z. Synchronization of drive-response networks with event-based pinning control. Neural Comput. Appl. 2021, 33, 8649–8658. [Google Scholar] [CrossRef]
  32. Lu, J.; Liu, R.; Lou, J.; Liu, Y. Pinning stabilization of Boolean control networks via a minimum number of controllers. IEEE Trans. Cybern. 2019, 51, 373–381. [Google Scholar] [CrossRef]
  33. Wang, S.; Zhang, Z.; Lin, C.; Chen, J. Fixed-time synchronization for complex-valued BAM neural networks with time-varying delays via pinning control and adaptive pinning control. Chaos Solitons Fractals 2021, 153, 111583. [Google Scholar] [CrossRef]
  34. Andoh, S.; Kobayashi, K.; Yamashita, Y. Hierarchical pinning control for consensus of multi-agent systems and its application to vehicle platooning. In Proceedings of the 2020 IEEE/SICE International Symposium on System Integration (SII), Honolulu, HI, USA, 12–15 January 2020. [Google Scholar]
  35. Wang, D.; Che, W.W.; Yu, H. Adaptive pinning synchronization of complex networks with negative weights and its application in traffic road network. Int. J. Control Autom. Syst. 2018, 16, 782–790. [Google Scholar] [CrossRef]
  36. Zheng, L.; Zhang, Y.B.; Ding, T. Study on Pinning Control Methods of Urban Road Traffic Network. In Proceedings of the 19th COTA International Conference of Transportation Professionals, Nanjing, China, 6–8 July 2019; pp. 3262–3273. [Google Scholar]
  37. Zhao, H.; Zhang, C. An online-learning-based evolutionary many-objective algorithm. Inf. Sci. 2020, 509, 1–21. [Google Scholar] [CrossRef]
  38. Dulebenets, M.A. An Adaptive Polyploid Memetic Algorithm for scheduling trucks at a cross-docking terminal. Inf. Sci. 2021, 565, 390–421. [Google Scholar] [CrossRef]
  39. Kavoosi, M.; Dulebenets, M.A.; Abioye, O. Berth scheduling at marine container terminals: A universal island-based metaheuristic approach. Marit. Bus. Rev. 2020, 5, 30–66. [Google Scholar] [CrossRef]
  40. Dulebenets, M.A. A novel memetic algorithm with a deterministic parameter control for efficient berth scheduling at marine container terminals. Marit. Bus. Rev. 2017, 2, 302–330. [Google Scholar] [CrossRef] [Green Version]
  41. Gholizadeh, H.; Fazlollahtabar, H.; Fathollahi-Fard, A.M. Preventive maintenance for the flexible flow shop scheduling under uncertainty: A waste-to-energy system. Environ. Sci. Pollut. Res. 2021; online ahead of print. [Google Scholar] [CrossRef]
  42. Rabbani, M.; Oladzad-Abbasabady, N.; Akbarian-Saravi, N. Ambulance routing in disaster response considering variable patient condition: NSGA-II and MOPSO algorithms. J. Ind. Manag. Optim. 2022, 18, 1035–1062. [Google Scholar] [CrossRef]
Figure 1. Schematic diagram of vehicle inflow and outflow in section j .
Figure 1. Schematic diagram of vehicle inflow and outflow in section j .
Sustainability 15 09631 g001
Figure 2. Road network pinning control feedback mechanism.
Figure 2. Road network pinning control feedback mechanism.
Sustainability 15 09631 g002
Figure 3. Simulation network topology structure diagram.
Figure 3. Simulation network topology structure diagram.
Sustainability 15 09631 g003
Figure 4. Line graph of actual flow and critical value of congestion in each section of road network.
Figure 4. Line graph of actual flow and critical value of congestion in each section of road network.
Sustainability 15 09631 g004
Figure 5. Flow variation in each section under different signal timing schemes: (a) T1 timing scheme, (b) T2 timing scheme, (c) T3 timing scheme, (d) T4 timing scheme, and (e) T5 timing scheme.
Figure 5. Flow variation in each section under different signal timing schemes: (a) T1 timing scheme, (b) T2 timing scheme, (c) T3 timing scheme, (d) T4 timing scheme, and (e) T5 timing scheme.
Sustainability 15 09631 g005aSustainability 15 09631 g005b
Figure 6. Delays of road segments under different control schemes: (a) delays for route L22, (b) delays for route L24, (c) delays for route L26 and (d) delays for route L30.
Figure 6. Delays of road segments under different control schemes: (a) delays for route L22, (b) delays for route L24, (c) delays for route L26 and (d) delays for route L30.
Sustainability 15 09631 g006aSustainability 15 09631 g006b
Table 1. Timing plan for key intersection signals.
Table 1. Timing plan for key intersection signals.
PhasesDirectionsGreen Light TimeYellow Light TimeCycle Time
Phase 1Straight east–west42 s3 s131 s
Phase 2Turn left east–west26 s3 s
Phase 3South27 s3 s
Phase 4North24 s3 s
Table 2. Data table of actual and expected flow of each section of road network.
Table 2. Data table of actual and expected flow of each section of road network.
Section NumberActual Traffic (pcu)Desired Traffic (pcu)Section NumberActual Traffic (pcu)Desired Traffic (pcu)Section NumberActual Tr5affic (pcu)Desired Traffic (pcu)
L18087L132518L259082
L28187L144018L2613882
L38852L153730L272433
L47552L163230L282333
L53048L176054L295460
L63648L186554L304860
L71832L196359L31812
L82032L209259L32512
L93040L213532L331640
L104540L224232L342440
L112218L238888
L122518L2415888
Table 3. Timing scheme of key intersection signal under feedback pinning control.
Table 3. Timing scheme of key intersection signal under feedback pinning control.
Key Intersection Timing SchemePhase 1/sPhase 2/sPhase 3/sPhase 4/s
T149302020
T243312520
T329294120
T448302021
T535224121
Table 4. Performance comparison between original scheme and feedback pinning control scheme.
Table 4. Performance comparison between original scheme and feedback pinning control scheme.
ProgramOriginal Control SchemeOptimized Control SolutionsPerformance Comparison
Average delay time (s)254.31219.28−35.03
Average parking time (s)218.04199.65−18.39
Table 5. Delays of road segments under different control schemes.
Table 5. Delays of road segments under different control schemes.
Periodicity123456789101112
L22Original control scheme/s121828324042463822192832
Optimized control solutions/s121828303532283336202730
L24Original control scheme/s3650586572881001281101089582
Optimized control solutions/s304960626880869092667260
L26Original control scheme/s202550625768836580898682
Optimized control solutions25315260465706172758077
L30Original control scheme/s121315223021162225302630
Optimized control solutions/s202120162425273026172319
Disclaimer/Publisher’s Note: The statements, opinions and data contained in all publications are solely those of the individual author(s) and contributor(s) and not of MDPI and/or the editor(s). MDPI and/or the editor(s) disclaim responsibility for any injury to people or property resulting from any ideas, methods, instructions or products referred to in the content.

Share and Cite

MDPI and ACS Style

Gong, G.; Lv, W.; Wang, Q. Research on Urban Road Traffic Network Pinning Control Based on Feedback Control. Sustainability 2023, 15, 9631. https://doi.org/10.3390/su15129631

AMA Style

Gong G, Lv W, Wang Q. Research on Urban Road Traffic Network Pinning Control Based on Feedback Control. Sustainability. 2023; 15(12):9631. https://doi.org/10.3390/su15129631

Chicago/Turabian Style

Gong, Guimin, Wenhong Lv, and Qi Wang. 2023. "Research on Urban Road Traffic Network Pinning Control Based on Feedback Control" Sustainability 15, no. 12: 9631. https://doi.org/10.3390/su15129631

APA Style

Gong, G., Lv, W., & Wang, Q. (2023). Research on Urban Road Traffic Network Pinning Control Based on Feedback Control. Sustainability, 15(12), 9631. https://doi.org/10.3390/su15129631

Note that from the first issue of 2016, this journal uses article numbers instead of page numbers. See further details here.

Article Metrics

Back to TopTop