Women Entrepreneurs Who Break through in Reward-Based Crowdfunding: The Influence of Entrepreneurial Orientation
Abstract
1. Introduction
2. Theory and Hypotheses
2.1. Social Identity Theory in Entrepreneurship
2.2. EO and Crowdfunding Performance
2.3. Baseline Relationship between Women Entrepreneurs and Crowdfunding Performance
2.4. The Moderating Effects of the Entrepreneur Orientation
2.4.1. Autonomy
2.4.2. Competitive Aggressiveness
2.4.3. Innovativeness
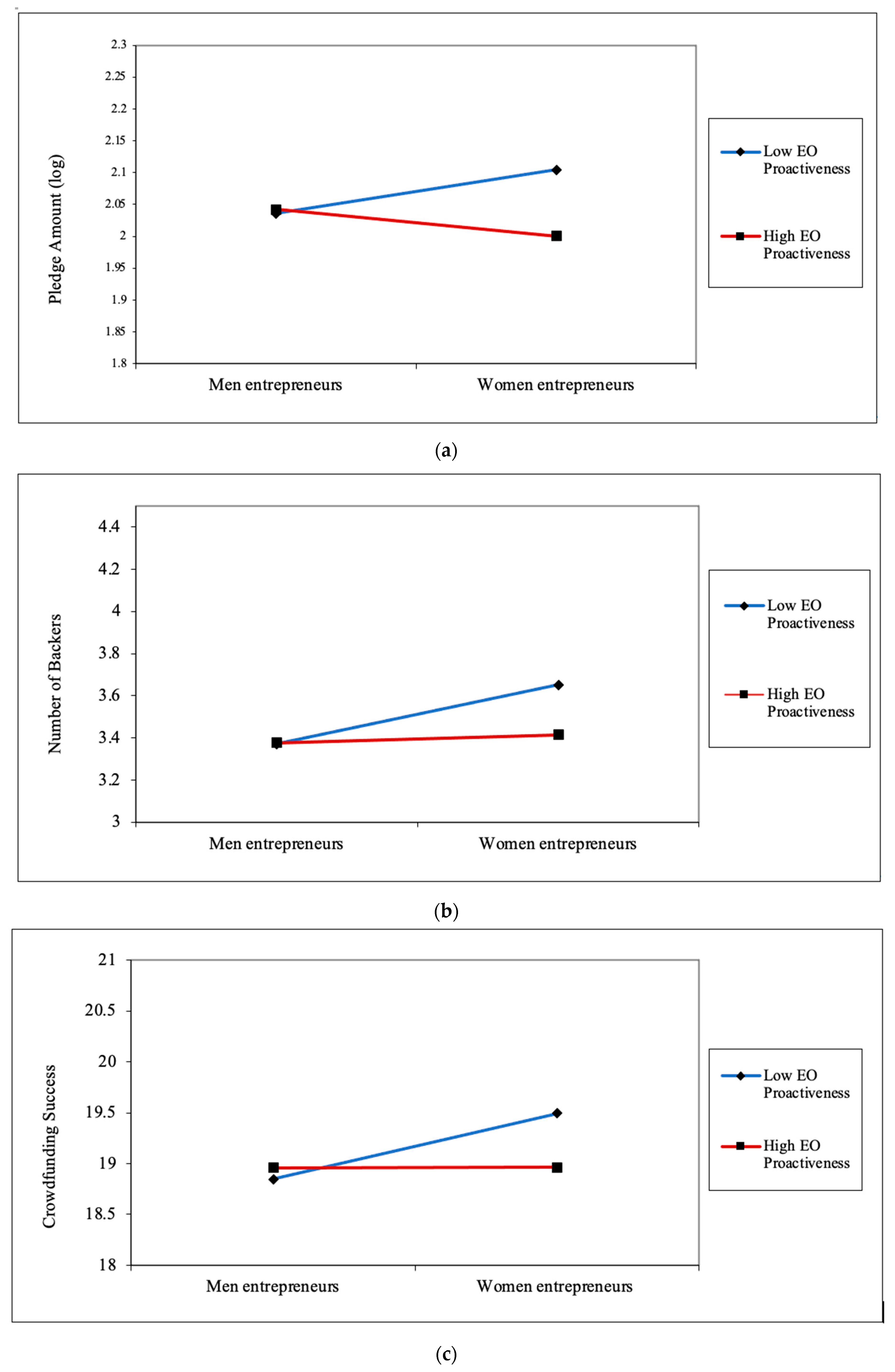
2.4.4. Proactiveness
2.4.5. Risk-Taking
3. Data and Methodology
3.1. Sample
3.2. Measures
3.2.1. Dependent Variables
3.2.2. Independent Variable
3.2.3. Moderate Variables
3.2.4. Control Variables
4. Results
4.1. Descriptive Statistics and Correlations
4.2. Regression Analysis
5. Discussion and Contributions
5.1. Theoretical Contributions
5.2. Practical Implications
5.3. Avenues for Future Research
Author Contributions
Funding
Institutional Review Board Statement
Informed Consent Statement
Data Availability Statement
Conflicts of Interest
References
- Balachandra, L.; Briggs, T.; Eddleston, K.; Brush, C. Don’t Pitch Like a Girl!: How Gender Stereotypes Influence Investor Decisions. Entrep. Theory Pract. 2017, 43, 116–137. [Google Scholar]
- Cozarenco, A.; Szafarz, A. Gender biases in bank lending: Lessons from microcredit in France. J. Bus. Ethics 2015, 147, 631–650. [Google Scholar] [CrossRef]
- Malmström, M.; Johansson, J.; Wincent, J. Gender Stereotypes and Venture Support Decisions: How Governmental Venture Capitalists Socially Construct Entrepreneurs’ Potential. Entrep. Theory Pract. 2017, 41, 833–860. [Google Scholar] [CrossRef]
- Becker-Blease, J.R.; Sohl, J.E. Do women-owned businesses have equal access to angel capital? J. Bus. Ventur. 2007, 22, 503–521. [Google Scholar] [CrossRef]
- Malmström, M.; Voitkane, A.; Johansson, J.; Wincent, J. What do they think and what do they say? Gender bias, entrepreneurial attitude in writing and venture capitalists’ funding decisions. J. Bus. Ventur. Insights 2020, 13, e00154. [Google Scholar] [CrossRef]
- Raman, R.; Subramaniam, N.; Nair, V.K.; Shivdas, A.; Achuthan, K.; Nedungadi, P. Women Entrepreneurship and Sustainable Development: Bibliometric Analysis and Emerging Research Trends. Sustainability 2022, 14, 9160. [Google Scholar] [CrossRef]
- Alsos, G.A.; Ljunggren, E. The Role of Gender in Entrepreneur–Investor Relationships: A Signaling Theory Approach. Entrep. Theory Pract. 2017, 41, 567–590. [Google Scholar]
- Marlow, S.; Swail, J. Gender, risk and finance: Why can’t a woman be more like a man? Entrep. Reg. Dev. 2014, 26, 80–96. [Google Scholar] [CrossRef]
- Fischer, E.M.; Reuber, A.; Dyke, L.S. A theoretical overview and extension of research on sex, gender, and entrepreneurship. J. Bus. Ventur. 1993, 8, 151–168. [Google Scholar] [CrossRef]
- Godwin, L.N.; Stevens, C.E.; Brenner, N.L. Forced to play by the rules? Theorizing how mixed–sex founding teams benefit women entrepreneurs in male–dominated contexts. Entrep. Theory Pract. 2006, 30, 623–642. [Google Scholar]
- Miller, D. The Correlates of Entrepreneurship in Three Types of Firms. Manag. Sci. 1983, 29, 770–791. [Google Scholar] [CrossRef]
- Child, J. Organizational Structure, Environment and Performance: The Role of Strategic Choice. Sociology 1972, 6, 1–22. [Google Scholar] [CrossRef]
- Covin, J.G.; Wales, W.J. Crafting High-Impact Entrepreneurial Orientation Research: Some Suggested Guidelines. Entrep. Theory Pract. 2018, 43, 3–18. [Google Scholar] [CrossRef]
- Lumpkin, G.T.; Dess, G.G. The Role of Entrepreneurial Orientation in Stimulating Effective Corporate Entrepreneurship. AMP. 2005, 19, 147–156. [Google Scholar]
- Arabeche, Z.; Soudani, A.; Brahmi, M.; Aldieri, L.; Vinci, C.P.; Abdelli, M.E.A. Entrepreneurial Orientation, Organizational Culture and Business Performance in SMEs: Evidence from Emerging Economy. Sustainability 2022, 14, 5160. [Google Scholar] [CrossRef]
- Zahra, S.A. Predictors and financial outcomes of corporate entrepreneurship: An exploratory study. J. Bus. Ventur. 1991, 6, 259–285. [Google Scholar] [CrossRef]
- Dawson, C.; Henley, A. “Push” versus “pull” entrepreneurship: An ambiguous distinction? Int. J. Entrep. Behav. Res. 2012, 18, 697–719. [Google Scholar] [CrossRef]
- Gupta, V.K.; Goktan, A.B.; Gunay, G. Gender differences in evaluation of new business opportunity: A stereotype threat perspective. J. Bus. Ventur. 2014, 29, 273–288. [Google Scholar] [CrossRef]
- Buttner, E.; Rosen, B. Bank loan officers’ perceptions of the characteristics of men, women, and successful entrepreneurs. J. Bus. Ventur. 1988, 3, 249–258. [Google Scholar]
- Johnson, M.A.; Stevenson, R.M.; Letwin, C.R. A woman’s place is in the… startup! Crowdfunder judgments, implicit bias, and the stereotype content model. J. Bus. Ventur. 2018, 33, 813–831. [Google Scholar] [CrossRef]
- Tajfel, H. Introduction à la Psychologie Sociale; Moscovici, S., Ed.; La Catgorisation Sociale [Social Categorization]; Larousse: Paris, France, 1972; Volume 1, pp. 272–302. [Google Scholar]
- Tajfel, H.; Turner, J.C.; Austin, W.G.; Worchel, S. An integrative theory of intergroup conflict. In Organizational Identity: A Reader; Oxford University Press: Oxford, UK, 1979; Volume 56, pp. 33–47. [Google Scholar]
- Sieger, P.; Gruber, M.; Fauchart, E.; Zellweger, T. Measuring the social identity of entrepreneurs: Scale development and international validation. J. Bus. Ventur. 2016, 31, 542–572. [Google Scholar] [CrossRef]
- Turner, J.C.; Hogg, M.A.; Oakes, P.J.; Reicher, S.D.; Wetherell, M.S. Rediscovering the Social Group: A Self-Categorization Theory; Basil Blackwell: Oxford, UK, 1989. [Google Scholar]
- Amini, M.; Ekström, M.; Ellingsen, T.; Johannesson, M.; Strömsten, F. Does gender diversity promote nonconformity? Manag. Sci. 2017, 63, 1085–1096. [Google Scholar] [CrossRef]
- Hughes, K.D.; Jennings, J.E.; Brush, C.; Carter, S.; Welter, F. Extending Women’s Entrepreneurship Research in New Directions. Entrep. Theory Pract. 2012, 36, 429–442. [Google Scholar] [CrossRef]
- Gorgievski, M.J.; Stephan, U. Advancing the Psychology of Entrepreneurship: A Review of the Psychological Literature and an Introduction. Appl. Psychol. 2016, 65, 437–468. [Google Scholar] [CrossRef]
- Huang, L.; Pearce, J.L. Managing the unknowable: The effectiveness of early-stage investor gut feel in entrepreneurial investment decisions. Adm. Sci. Q. 2015, 604, 534–670. [Google Scholar] [CrossRef]
- Terjesen, S.; Bosma, N.; Stam, E. Advancing Public Policy for High-Growth, Female, and Social Entrepreneurs. Public Adm. Rev. 2015, 76, 230–239. [Google Scholar] [CrossRef]
- Terjesen, S.; Hessels, J.; Li, D. Comparative International Entrepreneurship: A Review and Research Agenda. J. Manag. 2013, 42, 299–344. [Google Scholar] [CrossRef]
- Jennings, J.E.; Brush, C.G. Research on Women Entrepreneurs: Challenges to (and from) the Broader Entrepreneurship Literature? Acad. Manag. Ann. 2013, 7, 663–715. [Google Scholar] [CrossRef]
- Abrams, D.; Hogg, M.A. Comments on the motivational status of self-esteem in social identity and intergroup discrimination. Eur. J. Soc. Psychol. 1988, 18, 317–334. [Google Scholar] [CrossRef]
- Fauchart, E.; Gruber, M. Darwinians, communitarians, and missionaries: The role of founder identity in entrepreneurship. Acad. Manag. J. 2011, 54, 935–957. [Google Scholar] [CrossRef]
- Hoang, H.; Gimeno, J. Becoming a founder: How founder role identity affects entrepreneurial transitions and persistence in founding. J. Bus. Ventur. 2010, 25, 41–53. [Google Scholar] [CrossRef]
- Navis, C.; Glynn, M.A. Legitimate Distinctiveness and The Entrepreneurial Identity: Influence on Investor Judgments of New Venture Plausibility. Acad. Manag. Rev. 2011, 36, 479–499. [Google Scholar]
- Miller, D.; Breton–Miller, I.L. Governance, Social Identity, and Entrepreneurial Orientation in Closely Held Public Companies. Entrep. Theory Pract. 2011, 35, 1051–1076. [Google Scholar] [CrossRef]
- Ellemers, N.; Spears, R.; Doosje, B. Self and social identity. Annu. Rev. Psychol. 2002, 53, 161–186. [Google Scholar] [CrossRef] [PubMed]
- Hogg, M.A.; Hardie, E.A. Prototypicality, conformity and depersonalized attraction: A self-categorization analysis of group cohesiveness. Br. J. Soc. Psychol. 1992, 31, 41–56. [Google Scholar] [CrossRef]
- Simon, B.; Loewy, M.; Stürmer, S.; Weber, U.; Freytag, P.; Habig, C.; Kampmeier, C.; Spahlinger, P. Collective identification and social movement participation. J. Personal. Soc. Psychol. 1998, 74, 646. [Google Scholar] [CrossRef]
- Schumpeter, J.A. (Ed.) The Theory of Economic Development: An Inquiry into Profits, Capital, Credit, Interest, and the Business Cycle; First published in German in 1911; Havard University Press: Cambridge, MA, USA, 1934. [Google Scholar]
- Anglin, A.H.; Short, J.C.; Drover, W.; Stevenson, R.M.; McKenny, A.F.; Allison, T.H. The power of positivity? The influence of positive psychological capital language on crowdfunding performance. J. Bus. Ventur. 2018, 33, 470–492. [Google Scholar] [CrossRef]
- Connelly, B.L.; Certo, S.T.; Ireland, R.D.; Reutzel, C.R. Signaling theory: A review and assessment. J. Manag. 2010, 37, 39–67. [Google Scholar] [CrossRef]
- Courtney, C.; Dutta, S.; Li, Y. Resolving Information Asymmetry: Signaling, Endorsement, and Crowdfunding Success. Entrep. Theory Pract. 2016, 41, 265–290. [Google Scholar] [CrossRef]
- Plummer, L.A.; Allison, T.H.; Connelly, B.L. Better Together? Signaling Interactions in New Venture Pursuit of Initial External Capital. Acad. Manag. J. 2016, 59, 1585–1604. [Google Scholar] [CrossRef]
- Shevchenko, A.; Pan, X.; Calic, G. Exploring the effect of environmental orientation on financial decisions of businesses at the bottom of the pyramid: Evidence from the microlending context. Bus. Strategy Environ. 2020, 29, 1876–1886. [Google Scholar] [CrossRef]
- Calic, G.; Arseneault, R.; Ghasemaghaei, M. The dark side of Machiavellian rhetoric: Signaling in reward-based crowdfunding performance. J. Bus. Ethics 2021, 1–22. [Google Scholar] [CrossRef]
- Colombo, M.G.; Franzoni, C.; Rossi–Lamastra, C. Internal Social Capital and the Attraction of Early Contributions in Crowdfunding. Entrep. Theory Pract. 2015, 39, 75–100. [Google Scholar] [CrossRef]
- Kuppuswamy, V.; Bayus, B.L. Does my contribution to your crowdfunding project matter? J. Bus. Ventur. 2017, 32, 72–89. [Google Scholar] [CrossRef]
- Stiglitz, J.E. The Contributions of the Economics of Information to Twentieth Century Economics. Q. J. Econ. 2000, 115, 1441–1478. [Google Scholar] [CrossRef]
- Meyer, G.D.; Heppard, K.A. Entrepreneurship as Strategy; SAGE Publications: New York, NY, USA, 2000. [Google Scholar]
- Todorovic, Z.W.; Todorovic, D.; Ma, J. Corporate entrepreneurship and entrepreneurial orientation in corporate environment: A discussion. Acad. Entrep. J. 2015, 21, 82–92. [Google Scholar]
- Vozikis, G.S.; Bruton, G.D.; Prasad, D.; Merikas, A.A. Linking corporate entrepreneurship to financial theory through additional Value creation. Entrep. Theory Pract. 1999, 24, 33–43. [Google Scholar] [CrossRef]
- Zahra, S.A.; Garvis, D.M. International corporate entrepreneurship and firm performance: The moderating effect of international environmental hostility. J. Bus. Ventur. 2000, 15, 469–492. [Google Scholar] [CrossRef]
- Arzubiaga, U.; Kotlar, J.; De Massis, A.; Maseda, A.; Iturralde, T. Entrepreneurial orientation and innovation in family SMEs: Unveiling the (actual) impact of the Board of Directors. J. Bus. Ventur. 2018, 33, 455–469. [Google Scholar] [CrossRef]
- Calic, G.; Shevchenko, A. How signal intensity of behavioral orientations affects crowdfunding performance: The role of entrepreneurial orientation in crowdfunding business ventures. J. Bus. Res. 2020, 115, 204–220. [Google Scholar] [CrossRef]
- Covin, J.G.; Wales, W.J. The Measurement of Entrepreneurial Orientation. Entrep. Theory Pract. 2012, 36, 677–702. [Google Scholar] [CrossRef]
- Short, J.C.; Broberg, J.C.; Cogliser, C.C.; Brigham, K.H. Construct Validation Using Computer-Aided Text Analysis (CATA): An Illustration Using Entrepreneurial Orientation. Organ. Res. Methods 2010, 13, 320–347. [Google Scholar] [CrossRef]
- McKenny, A.F.; Short, J.C.; Ketchen, D.J., Jr.; Payne, G.T.; Moss, T.W. Strategic entrepreneurial orientation: Configurations, performance, and the effects of industry and time. Strat. Entrep. J. 2018, 12, 504–521. [Google Scholar] [CrossRef]
- Moss, T.W.; Neubaum, D.O.; Meyskens, M. The Effect of Virtuous and Entrepreneurial Orientations on Microfinance Lending and Repayment: A Signaling Theory Perspective. Entrep. Theory Pract. 2015, 39, 27–52. [Google Scholar] [CrossRef]
- Ryu, S.; Kim, Y.-G. Money Is Not Everything: A Typology of Crowdfunding Project Creators. J. Strat. Inf. Syst. 2018, 27, 350–368. [Google Scholar] [CrossRef]
- Saebi, T.; Foss, N.J.; Linder, S. Social Entrepreneurship Research: Past Achievements and Future Promises. J. Manag. 2018, 45, 70–95. [Google Scholar] [CrossRef]
- Crittenden, V.L.; Crittenden, W.F.; Ajjan, H. Empowering women micro-entrepreneurs in emerging economies: The role of information communications technology. J. Bus. Res. 2019, 98, 191–203. [Google Scholar] [CrossRef]
- Nair, S.R. The link between women entrepreneurship, innovation and stakeholder engagement: A review. J. Bus. Res. 2019, 119, 283–290. [Google Scholar] [CrossRef]
- Groza, M.P.; Groza, M.D.; Barral, L.M. Women backing women: The role of crowdfunding in empowering female consumer-investors and entrepreneurs. J. Bus. Res. 2020, 117, 432–442. [Google Scholar] [CrossRef]
- Ullah, S.; Zhou, Y. Gender, Anonymity and Team: What Determines Crowdfunding Success on Kickstarter. J. Risk Financ. Manag. 2020, 13, 80. [Google Scholar] [CrossRef]
- Battaglia, F.; Manganiello, M.; Ricci, O. Is Equity Crowdfunding the Land of Promise for Female Entrepreneurship? PuntOorg Int. J. 2021, 6, 12–36. [Google Scholar]
- Bapna, S.; Ganco, M. Gender gaps in equity crowdfunding: Evidence from a randomized field experiment. Manag. Sci. 2021, 67, 2679–2710. [Google Scholar] [CrossRef]
- Malaga, R.; Mamonov, S.; Rosenblum, J. Gender difference in equity crowdfunding: An exploratory analysis. Int. J. Gender Entrep. 2018, 10, 332–343. [Google Scholar] [CrossRef]
- Mohammadi, A.; Shafi, A. Gender differences in the contribution patterns of equity-crowdfunding investors. Small Bus. Econ. 2018, 50, 275–287. [Google Scholar] [CrossRef]
- Taeuscher, K.; Bouncken, R.B.; Pesch, R. Gaining legitimacy by being different: Optimal distinctiveness in crowdfunding platforms. Acad. Manag. J. 2021, 64, 149–179. [Google Scholar] [CrossRef]
- Calic, G.; Mosakowski, E. Kicking off social entrepreneurship: How a sustainability orientation influences crowdfunding success. J. Manag. Stud. 2016, 53, 738–767. [Google Scholar] [CrossRef]
- Andreoni, J. Impure Altruism and Donations to Public Goods: A Theory of Warm-Glow Giving. Econ. J. 1990, 100, 464–477. [Google Scholar] [CrossRef]
- DellaVigna, S.; Pope, D. What Motivates Effort? Evidence and Expert Forecasts. Rev. Econ. Stud. 2017, 85, 1029–1069. [Google Scholar] [CrossRef]
- Ireland, R.D.; Hitt, M.A.; Sirmon, D.G. A Model of Strategic Entrepreneurship: The Construct and Its Dimensions. J. Manag. 2003, 29, 963–989. [Google Scholar]
- Lumpkin, G.; Cogliser, C.C.; Schneider, D.R. Understanding and Measuring Autonomy: An Entrepreneurial Orientation Perspective. Entrep. Theory Pract. 2009, 33, 47–69. [Google Scholar] [CrossRef]
- Lumpkin, G.T.; Dess, G.G. Clarifying the Entrepreneurial Orientation Construct and Linking it to Performance. Acad. Manag. Rev. 1996, 21, 135–172. [Google Scholar] [CrossRef]
- Zahra, S.A. Environment, corporate entrepreneurship, and financial performance: A taxonomic approach. J. Bus. Ventur. 1993, 8, 319–340. [Google Scholar] [CrossRef]
- Covin, J.G.; Green, K.M.; Slevin, D.P. Strategic Process Effects on the Entrepreneurial Orientation–Sales Growth Rate Relationship. Entrep. Theory Pract. 2006, 30, 57–81. [Google Scholar] [CrossRef]
- Burgelman, R.A. Strategy Is Destiny: How Strategy-Making Shapes a Company’s Future; Free Press: New York, NY, USA, 2001. [Google Scholar]
- Mollick, E. The dynamics of crowdfunding: An exploratory study. J. Bus. Ventur. 2014, 29, 1–16. [Google Scholar] [CrossRef]
- Abele, A.E. The dynamics of masculine-agentic and feminine-communal traits: Findings from a prospective study. J. Pers. Soc. Psychol. 2003, 85, 768–776. [Google Scholar] [CrossRef] [PubMed]
- Heilman, M.E. Sex bias in work settings: The lack of fit model. Res. Organ. Behav. 1983, 5, 269–298. [Google Scholar]
- Heilman, M.E. Gender stereotypes and workplace bias. Res. Organ. Behav. 2012, 32, 113–135. [Google Scholar] [CrossRef]
- D’aveni, R.A. Hypercompetition, Simon and Schuster; Free Press: New York, NY, USA, 2010. [Google Scholar]
- West, G.P.; Bamford, C.E.; Marsden, J.W. Contrasting entrepreneurial economic development in emerging latin american economies: Applications and extensions of resource-based theory. Entrep. Theory Pract. 2008, 32, 15–36. [Google Scholar] [CrossRef]
- Andrevski, G.; Ferrier, W.J. Does it pay to compete aggressively? Contingent roles of internal and external resources. J. Manag. 2016, 45, 620–644. [Google Scholar] [CrossRef]
- Ferrier, W.J. Navigating the competitive landscape: The drivers and consequences of competitive aggressiveness. Acad. Manag. J. 2001, 44, 858–877. [Google Scholar] [CrossRef]
- Anderson, N.; Potočnik, K.; Zhou, J. Innovation and Creativity in Organizations: A state-of-the-science review, prospective commentary, and guiding framework. J. Manag. 2014, 40, 1297–1333. [Google Scholar] [CrossRef]
- Oldham, G.R.; Cummings, A. Employee creativity: Personal and contextual factors at work. Acad. Manag. J. 1996, 39, 607–634. [Google Scholar] [CrossRef]
- Rauch, A.; Wiklund, J.; Lumpkin, G.; Frese, M. Entrepreneurial orientation and business performance: An assessment of past research and suggestions for the future. Entrep. Theory Pract. 2009, 33, 761–787. [Google Scholar] [CrossRef]
- Yousaf, Z.; Shakaki, O.; Isac, N.; Cretu, A.; Hrebenciuc, A. Towards Crowdfunding Performance through Crowdfunding Digital Platforms: Investigation of Social Capital and Innovation Performance in Emerging Economies. Sustainability 2022, 14, 9495. [Google Scholar] [CrossRef]
- Davis, B.C.; Hmieleski, K.M.; Webb, J.W.; Coombs, J.E. Funders’ positive affective reactions to entrepreneurs’ crowdfunding pitches: The influence of perceived product creativity and entrepreneurial passion. J. Bus. Ventur. 2017, 32, 90–106. [Google Scholar] [CrossRef]
- Lumpkin, G.T.; Dess, G.G. Linking two dimensions of entrepreneurial orientation to firm performance: The moderating role of environment and industry life cycle. J. Bus. Ventur. 2001, 16, 429–451. [Google Scholar] [CrossRef]
- Zahra, S.A. Corporate entrepreneurship and financial performance: The case of management leveraged buyouts. J. Bus. Ventur. 1995, 10, 225–247. [Google Scholar] [CrossRef]
- Qin, F.; Wright, M.; Gao, J. Are ‘sea turtles’ slower? Returnee entrepreneurs, venture resources and speed of entrepreneurial entry. J. Bus. Ventur. 2017, 32, 694–706. [Google Scholar] [CrossRef]
- Miles, R.; Snow, C. Organizational Strategy, Structure, and Process; McGraw-Hill: New York, NY, USA, 1978. [Google Scholar]
- Palich, L.E.; Ray Bagby, D. Using cognitive theory to explain entrepreneurial risk-taking: Challenging conventional wisdom. J. Bus. Ventur. 1995, 10, 425–438. [Google Scholar] [CrossRef]
- Jackson, K.M.; Trochim, W.M.K. Concept mapping as an alternative approach for the analysis of open-ended survey responses. Organ. Res. Methods 2002, 5, 307–336. [Google Scholar] [CrossRef]
- Wang, W.; Chen, W.; Zhu, K.; Wang, H. Emphasizing the entrepreneur or the idea? The impact of text content emphasis on investment decisions in crowdfunding. Decis. Support Syst. 2020, 136, 113341. [Google Scholar] [CrossRef]
- McKenny, A.F.; Short, J.C.; Payne, G.T. Using computer-aided text analysis to elevate constructs: An illustration using psychological capital. Organ. Res. Methods 2013, 16, 152–184. [Google Scholar] [CrossRef]
- Tausczik, Y.R.; Pennebaker, J.W. TThe psychological meaning of words: LIWC and computerized text analysis methods. J. Lang. Soc. Psychol. 2010, 29, 24–54. [Google Scholar] [CrossRef]
- Hunt, R.A. Entrepreneurial orientation and the fate of corporate acquisitions. J. Bus. Res. 2020, 122, 241–255. [Google Scholar] [CrossRef]
- Watson, A.; Dada, O.; Wright, O.; Perrigot, R. Entrepreneurial orientation rhetoric in franchise organizations: The impact of national culture. Entrep. Theory Pract. 2017, 43, 751–772. [Google Scholar] [CrossRef]
- Wolfe, M.T.; Shepherd, D.A. “Bouncing back” from a loss: Entrepreneurial orientation, emotions, and failure narratives. Entrep. Theory Pract. 2015, 39, 675–700. [Google Scholar] [CrossRef]
- Krippendorff, K. Reliability in content analysis: Some common misconceptions and recommendations. Hum. Commun. Res. 2004, 30, 411–433. [Google Scholar] [CrossRef]
- McKenny, A.F.; Aguinis, H.; Short, J.C.; Anglin, A.H. What Doesn’t Get Measured Does Exist: Improving the Accuracy of Computer-Aided Text Analysis. J. Manag. 2016, 44, 2909–2933. [Google Scholar] [CrossRef]
- Chan, C.S.R.; Parhankangas, A. Crowdfunding Innovative Ideas: How Incremental and Radical Innovativeness Influence Funding Outcomes. Entrep. Theory Pract. 2016, 41, 237–263. [Google Scholar] [CrossRef]
- Moss, T.W.; Renko, M.; Block, E.; Meyskens, M. Funding the story of hybrid ventures: Crowdfunder lending preferences and linguistic hybridity. J. Bus. Ventur. 2018, 33, 643–659. [Google Scholar] [CrossRef]
- Mollick, E.; Nanda, R. Wisdom or madness? Comparing crowds with expert evaluation in funding the arts. Manag. Sci. 2016, 62, 1533–1553. [Google Scholar] [CrossRef]
- Larrimore, L.; Jiang, L.; Larrimore, J.; Markowitz, D.; Gorski, S. Peer to Peer lending: The relationship between language features, trustworthiness, and persuasion success. J. Appl. Commun. Res. 2011, 39, 19–37. [Google Scholar] [CrossRef]
- Parhankangas, A.; Renko, M. Linguistic style and crowdfunding success among social and commercial entrepreneurs. J. Bus. Ventur. 2017, 32, 215–236. [Google Scholar] [CrossRef]




| Category | Variable | Description |
|---|---|---|
| Dependent variables | Pledge amount | Pledge amount in U.S. dollars |
| Number of Backers | Backers count | |
| Success | Pledge status | |
| Independent variable | Entrepreneur gender | Women entrepreneur |
| Moderate variables | EO autonomy | Signal intensity of EO autonomy |
| EO competitive aggressiveness | Signal intensity of EO competitive aggressiveness | |
| EO innovativeness | Signal intensity of EO innovativeness | |
| EO proactiveness | Signal intensity of EO proactiveness | |
| EO risk-taking | Signal intensity of EO risk-taking | |
| Control variables | Facebook connection | Is a Facebook connection presented? |
| External websites | Is any external website presented? | |
| Video | Is an introduction video presented? | |
| ProjectWeLove | Is it a ProjectWeLove? | |
| Duration | Pledge duration day | |
| Number of updates | Number of updates | |
| Number of comments | Number of comments | |
| Number of reward levels | Number of pledge levels | |
| Number of words | Number of words used | |
| Funding goal | Funding goal ($) | |
| Geography: USA | Geography: USA | |
| Geography: Canada | Geography: Canada | |
| Geography: Latin America | Geography: Latin America | |
| Geography: Europe | Geography: Europe | |
| Geography: Asia | Geography: Asia | |
| Geography: Oceania | Geography: Oceania |
| Variable | The Mean of Woman-Led Campaigns | The Mean of Man-Led Campaigns | F-Statistic a |
|---|---|---|---|
| Pledge amount ($) | 26,331.46 | 18,372.94 | 3.18 + |
| Number of Backers | 358.03 | 161.47 | 22.50 *** |
| Success | 0.39 | 0.24 | 69.00 *** |
| EO autonomy | 0.18 | 0.09 | 69.53 *** |
| EO competitive aggressiveness | 0.20 | 0.11 | 50.96 *** |
| EO innovativeness | 0.59 | 0.44 | 41.25 *** |
| EO proactiveness | 1.55 | 1.13 | 133.63 *** |
| EO risk-taking | 0.16 | 0.07 | 118.85 *** |
| Facebook connection | 0.30 | 0.37 | 11.79 ** |
| External websites | 0.73 | 0.74 | 0.14 ns |
| Video | 0.80 | 0.81 | 0.18 ns |
| ProjectWeLove | 0.13 | 0.09 | 10.87 ** |
| Duration | 35.76 | 35.92 | 0.10 ns |
| Number of updates | 6.10 | 4.60 | 16.83 *** |
| Number of comments | 83.55 | 47.52 | 5.47 * |
| Number of reward levels | 6.79 | 6.44 | 3.95 * |
| Number of words | 715.61 | 745.64 | 1.33 ns |
| Funding goal ($) | 55,177.77 | 69,669.57 | 0.29 ns |
| Geography: USA | 0.70 | 0.68 | 1.64 ns |
| Geography: Canada | 0.04 | 0.05 | 3.00 + |
| Geography: Latin America | 0.00 | 0.01 | 2.64 ns |
| Geography: Europe | 0.16 | 0.20 | 6.85 ** |
| Geography: Asia | 0.05 | 0.02 | 17.76 *** |
| Geography: Oceania | 0.03 | 0.03 | 0.00 ns |
| Variable | Mean | S.D. | 1 | 2 | 3 | 4 | 5 | 6 | 7 | 8 | 9 | 10 | 11 | 12 | |
|---|---|---|---|---|---|---|---|---|---|---|---|---|---|---|---|
| 1 | Pledge amount | 9223.37 | 9223.37 | 1 | |||||||||||
| 2 | Number of Backers | 187.81 | 1010.76 | 0.65 ** | 1 | ||||||||||
| 3 | Success | 0.26 | 0.44 | 0.25 ** | 0.26 ** | 1 | |||||||||
| 4 | EO autonomy | 0.11 | 0.26 | 0.15 ** | 0.26 ** | 0.07 ** | 1 | ||||||||
| 5 | EO competitive aggressiveness | 0.12 | 0.30 | 0.00 | −0.01 | 0.00 | −0.01 | 1 | |||||||
| 6 | EO innovativeness | 0.46 | 0.58 | 0.00 | −0.02 | −0.01 | −0.03 * | 0.10 ** | 1 | ||||||
| 7 | EO proactiveness | 1.18 | 0.91 | −0.04 * | −0.06 ** | −0.07 ** | −0.05 ** | 0.09 ** | 0.16 ** | 1 | |||||
| 8 | EO risk-taking | 0.08 | 0.21 | 0.15 ** | 0.25 ** | 0.07 ** | 0.28 ** | 0.02 | −0.02 | −0.05 ** | 1 | ||||
| 9 | Entrepreneur gender | 0.13 | 0.34 | 0.03 | 0.07 ** | 0.13 ** | 0.12 ** | 0.09 ** | 0.09 ** | 0.16 ** | 0.15 ** | 1 | |||
| 10 | Facebook connection | 0.36 | 0.48 | 0.01 | 0.02 | −0.01 | −0.02 | −0.02 | 0.03 | 0.00 | −0.02 | −0.05 ** | 1 | ||
| 11 | External websites | 0.74 | 0.44 | 0.07 ** | 0.07 ** | 0.13 ** | −0.01 | 0.00 | 0.02 | 0.01 | −0.01 | −0.01 | 0.09 ** | 1 | |
| 12 | Video | 0.81 | 0.39 | 0.08 ** | 0.06 ** | 0.08 ** | 0.00 | 0.01 | 0.05 ** | −0.01 | 0.01 | −0.01 | 0.05 ** | 0.22 ** | 1 |
| 13 | ProjectWeLove | 0.10 | 0.29 | 0.24 ** | 0.21 ** | 0.32 ** | 0.05 ** | −0.02 | 0.03 * | −0.02 | 0.04 ** | 0.05 ** | 0.02 | 0.13 ** | 0.13 ** |
| 14 | Duration | 35.90 | 12.92 | 0.01 | −0.02 | −0.11 ** | 0.02 | 0.03 * | −0.01 | 0.00 | −0.01 | 0.00 | −0.07 ** | −0.06 ** | −0.02 |
| 15 | Number of updates | 4.80 | 8.88 | 0.36 ** | 0.33 ** | 0.60 ** | 0.08 ** | −0.03 | 0.00 | −0.06 ** | 0.09 ** | 0.06 ** | 0.06 ** | 0.19 ** | 0.16 ** |
| 16 | Number of comments | 52.35 | 375.21 | 0.82 ** | 0.56 ** | 0.23 ** | 0.16 ** | 0.00 | −0.01 | −0.04 ** | 0.17 ** | 0.03 * | 0.00 | 0.05 ** | 0.06 ** |
| 17 | Number of reward levels | 6.49 | 4.23 | 0.14 ** | 0.14 ** | 0.22 ** | 0.00 | −0.01 | 0.05 ** | −0.02 | 0.03 * | 0.03 * | 0.08 ** | 0.22 ** | 0.29 ** |
| 18 | Number of words | 741.61 | 633.20 | 0.16 ** | 0.12 ** | 0.16 ** | 0.01 | 0.00 | 0.02 | −0.05 ** | 0.03 | −0.02 | 0.04 ** | 0.19 ** | 0.23 ** |
| 19 | Funding goal | 9223.37 | 9223.37 | 0.07 ** | 0.02 | −0.05 ** | −0.01 | 0.00 | 0.00 | 0.02 | −0.01 | −0.01 | −0.01 | −0.02 | −0.01 |
| 20 | Geography: USA | 0.68 | 0.47 | 0.03 * | 0.01 | −0.04 ** | −0.02 | 0.03 * | 0.05 ** | 0.04 ** | −0.01 | 0.02 | 0.08 ** | 0.08 ** | 0.17 ** |
| 21 | Geography: Canada | 0.05 | 0.22 | −0.02 | −0.02 | −0.01 | 0.01 | 0.01 | −0.01 | −0.01 | 0.02 | −0.02 | −0.02 | −0.02 | −0.04 ** |
| 22 | Geography: Latin America | 0.01 | 0.10 | −0.02 | −0.02 | −0.03 * | −0.02 | −0.03 * | −0.05 ** | −0.08 ** | −0.02 | −0.02 | −0.02 | −0.05 ** | −0.06 ** |
| 23 | Geography: Europe | 0.19 | 0.40 | −0.03 * | −0.03 * | −0.03 | −0.01 | −0.05 ** | −0.03 * | −0.02 | −0.02 | −0.04 ** | −0.06 ** | −0.06 ** | −0.16 ** |
| 24 | Geography: Asia | 0.02 | 0.15 | 0.02 | 0.01 | 0.11 ** | 0.01 | 0.03 * | 0.01 | 0.00 | 0.01 | 0.06 ** | −0.06 ** | −0.03 * | 0.03 * |
| 25 | Geography: Oceania | 0.03 | 0.17 | −0.01 | 0.00 | −0.02 | 0.01 | 0.02 | 0.00 | 0.02 | 0.00 | 0.00 | 0.01 | −0.02 | −0.05 ** |
| 13 | 14 | 15 | 16 | 17 | 18 | 19 | 20 | 21 | 22 | 23 | 24 | 25 | |||
| 13 | ProjectWeLove | 1 | |||||||||||||
| 14 | Duration | −0.04 ** | 1 | ||||||||||||
| 15 | Number of updates | 0.34 ** | −0.06 ** | 1 | |||||||||||
| 16 | Number of comments | 0.14 ** | 0.00 | 0.36 ** | 1 | ||||||||||
| 17 | Number of reward levels | 0.23 ** | −0.07 ** | 0.33 ** | 0.11 ** | 1 | |||||||||
| 18 | Number of words | 0.17 ** | −0.03 * | 0.29 ** | 0.12 ** | 0.39 ** | 1 | ||||||||
| 19 | Funding goal | −0.02 | 0.05 ** | −0.01 | 0.00 | −0.03 * | −0.01 | 1 | |||||||
| 20 | Geography: USA | 0.03 * | −0.03 | 0.02 | 0.02 | 0.11 ** | 0.02 | 0.00 | 1 | ||||||
| 21 | Geography: Canada | −0.01 | 0.03 | −0.01 | −0.01 | −0.03 | 0.01 | 0.01 | −0.33 ** | 1 | |||||
| 22 | Geography: Latin America | −0.03 | 0.03 * | −0.04 ** | −0.01 | −0.06 ** | −0.04 ** | −0.01 | −0.15 ** | −0.02 | 1 | ||||
| 23 | Geography: Europe | −0.03 * | 0.01 | −0.06 ** | −0.03 * | −0.10 ** | −0.02 | 0.01 | −0.71 ** | −0.11 ** | −0.05 ** | 1 | |||
| 24 | Geography: Asia | −0.02 * | 0.01 | 0.02 | 0.02 | −0.03 | 0.00 | −0.01 | −0.22 ** | −0.03 * | −0.02 | −0.07 ** | 1 | ||
| 25 | Geography: Oceania | −0.03 * | 0.00 | −0.02 | 0.02 | −0.03* | −0.01 | 0.00 | −0.25 ** | −0.04 ** | −0.02 | −0.08 ** | −0.03 | 1 |
| Model (1): OLS | Model (2): Negative Binomial Model | Model (3): Binary Logistic Model | |||||||
|---|---|---|---|---|---|---|---|---|---|
| Pledge Amount (Logged) | Number of Backers (Logged) | Success | |||||||
| (a) Control Only | (b) Direct Effect | (c) Full Model | (a) Control Only | (b) Direct Effect | (c) Full Model | (a) Control Only | (b) Direct Effect | (c) Full Model | |
| Constant | 2.17 (0.13) *** | 2.12 (0.13) *** | 2.06 (0.13) *** | 5.23 (0.13) *** | 4.04 (0.13) *** | 3.46 (0.14) *** | 19.49 (3531.84) | 19.28 (3532.36) | 19.05 (3464.56) |
| Facebook connection | −0.05 (0.03) | −0.05 (0.03) | −0.05 (0.03) | −0.17 (0.03) *** | −0.04 (0.03) | −0.04 (0.03) | −0.48 (0.12) *** | −0.44 (0.12) *** | −0.42 (0.12) *** |
| External websites | 0.27 (0.03) *** | 0.28 (0.03) *** | 0.27 (0.03) *** | 0.43 (0.03) *** | 0.23 (0.03) *** | 0.22 (0.03) *** | 0.20 (0.13) | 0.23 (0.14) | 0.23 (0.14) |
| Video | 0.69 (0.04) *** | 0.69 (0.04) *** | 0.68 (0.04) *** | 0.12 (0.04) * | 0.49 (0.04) *** | 0.54 (0.04) *** | −0.21 (0.15) | −0.22 (0.15) | −0.25 (0.15) |
| ProjectWeLove | 0.54 (0.05) *** | 0.54 (0.05) *** | 0.54 (0.05) *** | 0.75 (0.05) *** | 0.65 (0.05) *** | 0.65 (0.05) *** | 1.00 (0.18) *** | 1.00 (0.18) *** | 1.05 (0.18) *** |
| Duration | −0.05 (0.01) *** | −0.05 (0.01) *** | −0.05(0.01) *** | −0.17 (0.02) *** | −0.08 (0.02) *** | −0.08 (0.02) *** | −0.09 (0.06) | −0.09 (0.06) | −0.09 (0.06) |
| Number of updates | 0.43 (0.02) *** | 0.43 (0.02) *** | 0.42 (0.02) *** | 0.96 (0.03) *** | 1.02 (0.03) *** | 1.01 (0.03) *** | 2.76 (0.13) *** | 2.79 (0.13) *** | 2.76 (0.13) *** |
| Number of comments | 0.08 (0.02) *** | 0.08 (0.02) *** | 0.07 (0.02) *** | 1.09 (0.06) *** | 1.04 (0.05) *** | 1.02 (0.05) *** | 9.61 (0.95) *** | 9.75 (0.96) *** | 9.72 (0.97) *** |
| Number of reward levels | 0.26 (0.02) *** | 0.26 (0.02) *** | 0.26 (0.02) *** | 0.24 (0.02) *** | 0.29 (0.02) *** | 0.28 (0.02) *** | 0.10 (0.07) | 0.10 (0.07) | 0.11 (0.07) |
| Number of words | 0.17 (0.02) *** | 0.17 (0.02) *** | 0.17 (0.02) *** | 0.22 (0.02) *** | 0.14 (0.02) *** | 0.15 (0.02) *** | −0.01 (0.07) | 0.00 (0.07) | −0.01 (0.07) |
| Funding goal (logged) | 0.03 (0.02) | 0.03 (0.02) | 0.03 (0.02) | −0.13 (0.01) *** | 0.07 (0.01) *** | 0.07 (0.02) *** | −1.34 (0.07) *** | −1.35 (0.07) | −1.37 (0.07) |
| Geography: USA | −0.05 (0.12) | −0.02 (0.12) | 0.05 (0.12) | −1.64 (0.13) *** | −0.83 (0.13) *** | −0.34 (0.13) * | −20.07 (3531.84) | −20.06 (3532.36) | −19.83 (3464.56) |
| Geography: Canada | −0.26 (0.14) | −0.23 (0.14) | −0.15 (0.14) | −2.20 (0.14) *** | −1.22 (0.15) *** | −0.68 (0.15) *** | −19.99 (3531.84) | −19.93 (3532.36) | −19.72 (3464.56) |
| Geography: Latin America | −0.95 (0.18) *** | −0.93 (0.18) *** | −0.84 (0.18) *** | −2.71(0.20) *** | −1.68 (0.20) *** | −1.15 (0.20) *** | −19.89 (3531.84) | −19.87 (3532.36) | −19.58 (3464.56) |
| Geography: Europe | −0.21 (0.13) | −0.18 (0.13) | −0.11 (0.13) | −1.84 (0.13) *** | −1.14 (0.13) *** | −0.63 (0.14) *** | −19.80 (3531.84) | −19.74 (3532.36) | −19.46 (3464.56) |
| Geography: Asia | 0.50 (0.15) *** | 0.52 (0.15) *** | 0.58 (0.15) *** | −1.27 (0.16) *** | −0.36 (0.16) *** | 0.18 (0.16) | −18.72 (3531.84) | −18.80 (3532.36) | −18.52 (3464.56) |
| Geography: Oceania | −0.17 (0.15) | −0.13 (0.15) | −0.05 (0.15) | −1.83 (0.15) *** | −0.88 (0.16) *** | −0.36 (0.16) * | −20.05 (3531.84) | −19.99 (3532.36) | −19.75 (3464.56) |
| Entrepreneur gender | 0.10 (0.04) * | 0.14 (0.04) *** | 0.41 (0.05) *** | 0.36 (0.05) *** | 0.95 (0.14) *** | 1.08 (0.15) *** | |||
| EO autonomy | 0.02 (0.01) | −0.01 (0.02) | 0.06 (0.02) *** | −0.07 (0.02) *** | 0.11 (0.07) | 0.01 (0.08) | |||
| EO competitive aggressiveness | −0.02 (0.01) | 0.00 (0.02) | −0.08 (0.01) *** | −0.04 (0.02) * | 0.07 (0.05) | 0.12 (0.06) * | |||
| EO innovativeness | 0.01 (0.01) | 0.03 (0.02) | −0.05 (0.02) * | −0.03 (0.02) | −0.05 (0.06) | −0.04 (0.07) | |||
| EO proactiveness | −0.03 (0.01) | 0.01 (0.02) | −0.07 (0.01) *** | 0.00 (0.02) | −0.09 (0.06) | 0.09 (0.05) | |||
| EO risk-taking | 0.00 (0.02) | −0.05 (0.02) * | 0.23 (0.02) *** | −0.06 (0.02) *** | −0.10 (0.07) | −0.09 (0.08) | |||
| EO autonomy × Entrepreneur gender | 0.03 (0.03) | 0.12 (0.04) * | 0.73 (0.20) *** | ||||||
| EO competitive aggressiveness × Entrepreneur gender | −0.03 (0.03) | −0.04 (0.03) | −0.03 (0.12) | ||||||
| EO innovativeness × Entrepreneur gender | −0.03 (0.03) | −0.01 (0.04) | 0.11 (0.12) | ||||||
| EO proactiveness × Entrepreneur gender | −0.16 (0.04) *** | −0.36 (0.04) *** | −0.94 (0.16) *** | ||||||
| EO risk-taking × Entrepreneur gender | 0.09 (0.04) * | 0.50 (0.04) *** | −0.06 (0.15) | ||||||
| R2 | 0.494 | 0.495 | 0.5 | 0.721 | 0.728 | 0.737 | |||
| AIC | 50,758.846 | 49,298.624 | 48,886.420 | ||||||
| BIC | 50,869.975 | 49,448.975 | 49,069.456 | ||||||
| Hypothesis | Results |
|---|---|
| H1: In reward-based crowdfunding, women entrepreneurs are more likely than men to obtain financial backing. | Supported |
| H2a: The relationship between a woman entrepreneur and reward-based crowdfunding performance is stronger when the entrepreneur has a high degree of autonomy than when she does not. | Partially Supported |
| H2b: The relationship between a woman entrepreneur and reward-based crowdfunding performance is stronger when the entrepreneur has a high degree of competitive aggressiveness than when she does not. | Not Supported Contrary to the null (Insignificant) |
| H2c: The relationship between a woman entrepreneur and reward-based crowdfunding performance is stronger when the entrepreneur has a high degree of innovation than when she does not. | Not Supported Contrary to the null (Insignificant) |
| H2d: The relationship between a woman entrepreneur and reward-based crowdfunding performance is stronger when the entrepreneur is highly proactive than when she is not. | Not Supported Contrary to the null (Significant) |
| H2e: The relationship between a woman entrepreneur and reward-based crowdfunding performance is stronger when the entrepreneur is highly risk-taking than when she is not. | Partially Supported |
Disclaimer/Publisher’s Note: The statements, opinions and data contained in all publications are solely those of the individual author(s) and contributor(s) and not of MDPI and/or the editor(s). MDPI and/or the editor(s) disclaim responsibility for any injury to people or property resulting from any ideas, methods, instructions or products referred to in the content. |
© 2023 by the authors. Licensee MDPI, Basel, Switzerland. This article is an open access article distributed under the terms and conditions of the Creative Commons Attribution (CC BY) license (https://creativecommons.org/licenses/by/4.0/).
Share and Cite
Zhao, K.; Wang, H.; Wang, W. Women Entrepreneurs Who Break through in Reward-Based Crowdfunding: The Influence of Entrepreneurial Orientation. Sustainability 2023, 15, 9276. https://doi.org/10.3390/su15129276
Zhao K, Wang H, Wang W. Women Entrepreneurs Who Break through in Reward-Based Crowdfunding: The Influence of Entrepreneurial Orientation. Sustainability. 2023; 15(12):9276. https://doi.org/10.3390/su15129276
Chicago/Turabian StyleZhao, Ke, Hongwei Wang, and Wei Wang. 2023. "Women Entrepreneurs Who Break through in Reward-Based Crowdfunding: The Influence of Entrepreneurial Orientation" Sustainability 15, no. 12: 9276. https://doi.org/10.3390/su15129276
APA StyleZhao, K., Wang, H., & Wang, W. (2023). Women Entrepreneurs Who Break through in Reward-Based Crowdfunding: The Influence of Entrepreneurial Orientation. Sustainability, 15(12), 9276. https://doi.org/10.3390/su15129276

