Next Article in Journal
Peat-Based Organo-Mineral Fertilizer Improves Nitrogen Use Efficiency, Soil Quality, and Yield of Baby Corn (Zea mays L.)
Next Article in Special Issue
Estimation of Solar Radiation with Consideration of Terrestrial Losses at a Selected Location—A Review
Previous Article in Journal
The Convergence between Digital Industrialization and Industrial Digitalization and Export Technology Complexity: Evidence from China
Previous Article in Special Issue
Performance, Emission, and Spectroscopic Analysis of Diesel Engine Fuelled with Ternary Biofuel Blends
 
 
Font Type:
Arial Georgia Verdana
Font Size:
Aa Aa Aa
Line Spacing:
Column Width:
Background:
Article

Emission Reduction and Performance Enhancement of CI Engine Propelled by Neem Biodiesel-Neem Oil-Decanol-Diesel Blends at High Injection Pressure

1
Department of Mechanical Engineering, Birla Institute of Technology, Mesra, Ranchi 835215, India
2
Faculty of Engineering and Applied Science, Usha Martin University, Ranchi 835103, India
3
Department of Structural Engineering and Construction Management, Future University, New Cairo City 11835, Egypt
4
Department of Industrial Engineering, College of Engineering, King Saud University, Post Box 800, Riyadh 11421, Saudi Arabia
5
School of Engineering, Deakin University, 75 Pigdons Road, Waurn Ponds, VIC 3220, Australia
6
Department of Production and Industrial Engineering, Birla Institute of Technology, Mesra, Ranchi 835215, India
*
Authors to whom correspondence should be addressed.
Sustainability 2023, 15(11), 9084; https://doi.org/10.3390/su15119084
Submission received: 6 April 2023 / Revised: 19 May 2023 / Accepted: 26 May 2023 / Published: 5 June 2023
(This article belongs to the Special Issue The Sustainable Fuel Source for Future Development)

Abstract

Diesel emissions have resulted in air pollution, which is harmful to the sustaining of life. The concerns of energy security and poor air quality have propelled researchers to seek alternate and environment-friendly fuels for the transport sector, keeping diesel engines at the core. Thus, a quaternary blend (diesel-biodiesel-vegetable oil-alcohol) proves to be a promising key to address the above problems. This experimental work focuses aims on investigating the performance and emissions of a diesel engine powered with quaternary blends by changing the fuel injection pressure. The quaternary blend comprised of diesel, neem biodiesel, pure neem oil, and decanol was used to prepare quaternary blends of varied volumetric proportions. This study involves the testing of quaternary blends at varied fuel injection pressure (IP) ranging from 400–500 bar. The engine load varied from 10 Nm to 20 Nm, and the shaft speed was constant at 2000 rpm. It was evident from the outcomes that the least DBODec45 resulted in minimum carbon monoxide (CO) and un-burnt hydrocarbon (UHC) emissions, which were obtained to be 83.33% and 54.5% less than diesel at 500 bar and at a load of 10 Nm and 20 Nm, respectively. Moreover, the blend containing 45% of decanol led to the lowest NOx and smoke concentrations. The lowest brake-specific fuel consumption (BSFC) was achieved at 500 bar and 20 Nm for the same blend and was found to be 3.22% higher than diesel. Moreover, at the same IP and load, DBODec45 led to highest BTE, which was 3.26% lower than pure diesel.

Graphical Abstract

1. Introduction

The intensive use of diesel fuel in the transport sector has culminated in the exhaustion of petroleum reserves [1]. The rising energy demand of developed and developing countries has further accelerated the consumption of fossil fuel by diesel engines. This has further stressed the budgets of many crude-oil-importing countries; consequently, fuel prices are increasing at an unprecedented rate [2]. Besides the non-renewable nature of diesel fuel, it poses environmental threats due to the air pollution caused by engine exhaust. The use of clean fuels that result in low emissions can be a key factor in addressing the environmental concerns [3]. The exhaust gases of CI engines greatly contribute to increases in greenhouse gas emissions and climate change. Many respiratory health hazards are occurring frequently due to NOx, PM, and smoke emissions from engine exhaust. Coal-based thermal power plants are one of the major sources of emissions of CO2 in the atmosphere. The conferences of the United Nations Framework Convention on Climate Change (UNFCCC) have addressed restricting CO2 emissions so as to prevent a global rise in temperature below 2 degrees centigrade. The International Maritime Organization (IMO) is also striving to reduce carbon emissions by 40% by 2030 [4,5]. Therefore, in order to overcome the non-renewable and polluting nature of fossil fuels, researchers have focused on biodiesel as an alternate fuel for modern compression ignition engines.
Recent works have shown the tremendous potential of biodiesel as an alternative fuel for diesel engines, as it offers comparable engine performance and lower emissions than conventional fossil fuel. The source of biodiesel is renewable agricultural biomass, which includes edible oilseeds such as cashew nutshell [6]. In order to address the issues of food security, non-edible oils such as raphanus sativus are preferred over edible oilseeds [7]. Biodiesel is a fatty acid alkyl ester produced by trans-esterification of vegetable oil [8]. The fatty acid methyl ester and diesel fuel have similar fuel properties, thereby making it readily usable in CI engines [9]. In addition to these advantages, biodiesel offers more oxygen molecules for combustion, and it also possesses a higher cetane number than diesel, which favors complete and efficient combustion [10]. The chances of SOx emissions are eliminated due to the absence of sulfur molecules in biodiesel [11]. Biodiesel with no aromatics provides enhanced lubricating properties for the diesel engine compared to diesel fuel [12]. However, fueling of a diesel engine with biodiesel triggers certain technical constrains, such as choking of the fuel injector, gum formation, and filter plugging [13]. Additionally, the calorific value of biodiesel is less than diesel; thus, a lower amount of energy is released by it for the same quantity of fuel [14]. Biodiesel offers high viscosity, which deteriorates the spray characteristics of the air–fuel mixture [15]. Thus, it is preferable to include certain fuel additives in the biodiesel for smooth and efficient running of the engine. In this regard, many research works have suggested alcohol as a promising fuel additive for biodiesel blends.
Alcohols are extracted from various agricultural feedstocks such as bagasse, molasses, etc. As a fuel additive, alcohol offers various advantages such as improved blend ability, lower viscosity than biodiesel, and phase ability at lower temperatures. It has good miscibility with biodiesel, vegetable oils, and diesel. The higher alcohols offer a higher cetane number and energy density, low hygroscopic character, and enhanced ignition quality [16,17]. The inclusion of alcohol in diesel minimizes the chances of corrosion. The inclusion of alcohol in diesel–biodiesel blends can limit the flashpoint and vapor pressure to the desired levels. Meanwhile, it offers a few disadvantages; e.g., initiation of combustion becomes difficult due to the high flash point and self-ignition temperatures. The possible ignition delay results in a richer air–fuel mixture, which restrains combustion [18]. Therefore, the inclusion of alcohols in diesel–biodiesel blends should be limited up to certain permissible limits.
Initially, the studies were carried out on a CI engine fueled with binary blends comprised of biodiesel, alcohol, and diesel. For example, binary blends of raphanus sativus oil, methyl ester, and diesel used to fuel a diesel engine and gave an engine performance similar to that of pure diesel fuel and also emitted lower CO and UHC than diesel [19]. However, the necessary significant quantity of diesel was not reduced due to the limitations associated with alcohol. Thus, the study shifted to the inclusion of alcohols with biodiesel–diesel blends in the name of ternary blends (biodiesel-diesel-alcohol) [20]. The ternary blends further reduced the consumption of diesel as compared to the binary blends. The improvisation in the physical-chemical properties of ternary blends showed an enhanced performance and lower concentration of exhaust gases. Some recent studies have shown expansion of ternary blends to quaternary blends comprising diesel-biodiesel-vegetable oil-alcohol [21]. The addition of vegetable oil increased lubricity and thus reduced the engine wear significantly. Therefore, from the above works of literature, it can be deduced that quaternary blends can prove to be a sustainable substitute for conventional diesel binary and ternary blends.
Fuel scientists have generally focused on the study of combustion, performance, and emissions with binary, ternary, and quaternary blends. However, undergoing certain modifications in the engine can enhance the combustion process. Therefore, allowing changes in the fuel injection parameters of the CI engine can assist in achieving better performance and lower emissions. Karthic et al. [22] fueled a CI engine with binary fuels of syzygium cumini oil biodiesel–diesel and changed the IP from 200 to 260 bar. The study showed an increase in BTE by 16.66% for the 30% biodiesel blend and 17.85% for diesel. In the case of exhaust emissions, CO, UHC, and smoke concentrations decreased by 15.9%, 46.15%, and 28.7%, respectively. Saridemir et al. [23] used corn biodiesel–diesel blends at 210 and 230 bar and reported that CO and UHC decreased to 66.67% and 52.38% at 230 bar, whereas NOx emissions increased 22.45% at 230 bar, and BSFC was increased for lower IP. Abu et al. [24] increased the IP of a CI engine powered by palm biodiesel–diesel blends and noted considerable mitigation of CO and soot emissions at high IP, but NOx emission showed increased values. Agbulut et al. [25] employed cotton biodiesel–diesel blended fuels in a CI engine and increased the IP to 175, 190, 205, and up to 220 bar; the study showed a decrease in CO and UHC, whereas a slight increment in NOx was observed. The results showed that CO, UHC, and smoke concentrations were lowered at higher IPs up to 220 bar, but NOx levels increased; moreover, poor results were obtained for BTE and BSFC. The rising pollution has attracted many stern rules and regulations [26,27]. Therefore, this literature survey suggests that fuel injection pressure can be varied for different combinations of biodiesel–diesel in order to achieve better performance and lower emissions.
According to the above review, it is clear that the volumetric content of biodiesel used up to recent times has been unable to reduce the dependency on fossil fuels in the transportation sector. No significant work has been conducted involving the reduction of petroleum diesel usage of less than 50% diesel (by volume) in the blended fuels. Moreover, the most lacking discussion is related to the application of high IP in quaternary blends. Fuel injection pressure plays a vital role in the reduction of flue gases, with enhanced performance. Additionally, more investigation is required in the analysis of performance and exhaust emissions of diesel engines fueled with quaternary blends. The inclusion of higher alcohols such as decanol having a higher blend percentage in the quaternary blends needs more exploration, with the aim of reducing viscosity without affecting other physical-chemical properties. In order to fill this gap, the present work aims to mitigate the dependency on diesel. This research work is focused on testing quaternary blends in diesel engines, as these can act as a substitute to diesel and can offer exhaust emissions comparable to or lesser than that of diesel. The objective of the experiment is to evolve alternative and renewable fuel that can emit cleaner emissions than diesel by restricting the usage of fossil fuel below 50% so that the emissions can be reduced with optimum engine performance. In this regard, the work involves an in-depth analysis of the impact of increment in the IP on the performance and emissions of a diesel engine by powering it with quaternary blends. The quaternary blends were made by using neem biodiesel (B), neem oil (O), decanol (Dec), and diesel (D) in varied volumetric contents. Therefore, the blended samples were made by keeping the content of diesel and neem oil fixed at 40% and 5%, respectively and by changing the quantity of neem biodiesel and decanol. The tested quaternary blends are DBODec15 (D = 40%, B = 40%, O = 5%, and Dec = 15%), DBODec25 (D = 40%, B = 30%, O = 5%, and Dec = 25%), DBODec35 (D = 40%, B = 20%, O = 5%, and Dec = 35%), and DBODec45 (D = 40%, B = 10%, O = 5%, and Dec = 45%). The outcomes of the engine tests were validated with those of D100 and the blend containing 50% neem biodiesel and 50% diesel. In the present work, the engine load was made to change from 10 Nm to 20 Nm, the shaft speed was fixed at 2000 rpm throughout the experiment, and the fuel IP was increased from 400 bar to 500 bar.

2. Materials and Methods

2.1. Constituents of Quaternary Blends

The neem oil and NOME were purchased from SVM Agro Processor, Maharashtra, India. Diesel and decanol were purchased by Thermo Fischer Ltd., India, and IOCL, India, respectively. The fatty acid composition of neem biodiesel by GCMS in accordance with IS 548 standards is shown in Table 1. The parent fuel samples used to make quaternary blends are depicted in Figure 1.

2.2. Preparation of the Quaternary Fuel Blends

The quaternary blends were made by blending NOME, neem oil, decanol, and diesel in various volumetric proportions by splash blending and with the help of a magnetic stirrer. The various quaternary blends prepared are DBODec15, DBODec25, DBODec35, and DBODec45, in which diesel and neem oil contents were maintained at 40% and 5%, respectively. The decanol concentration was varied at 15%, 25%, 35%, and 45%, and the biodiesel quantity was increased to 10%, 20%, 30%, and 40%. The quaternary blends were maintained at the ambient temperature of 300 K; therefore, no phase separation was noticed for 95 h prior to their fueling in the CI engine. Each set of experiments required four (4) liters of quaternary blended sample to obtain a stable reading of the engine performance and exhaust emissions. The quaternary blends are depicted in Figure 2.

2.3. Testing of Physical-Chemical Properties of the Quaternary Blends

The fuel property tests of the different fuels were performed according to the ASTM D6751 standards. The fuel properties of constituent fuels and quaternary blends are given in Table 2 and Table 3, respectively.

2.4. Experimental Set-Up and Engine Specifications

The research was conducted on a CRDI CI engine, as shown in Figure 3a,b. The CRDI diesel engine was connected with Data Acquisition System (DAS)(Medhavi, Ambala, Haryana, India). The speed and load controllers were used to change the speed and load. An ECU (Electronic Control Unit) was incorporated with the engine and was used for the data exchange between the user and the software. The schematic diagram of the engine is depicted in Figure 4, and its product details are mentioned in Table 4. The details of the dynamometer are given in the Table 5. The engine working condition was recorded by sensors, and the concentration of exhaust emissions was measured by AVL exhaust machine (Modular Diagnostic System), depicted in Figure 5.

2.5. Uncertainty Analysis

In the realm of experimental research, it is inevitable to encounter errors during the process of recording measurements and data. Consequently, an uncertainty analysis was conducted to enhance the accuracy of the observations made on the test engine by addressing errors and deviations that may have occurred during the recording process [27,28,29,30]. Furthermore, prior to conducting the experiment, the test set-up, which included the engine, exhaust gas analyzer, and other equipment, underwent proper calibration to ensure accurate and reliable measurements. At the beginning of the experiment, the engine was operated using test fuels for a duration of twenty minutes, during which a series of three observations was made at predetermined time intervals. The uncertainty of the variables (Δx) was determined by Gaussian distribution Equation (1) in the permissible range of ±2 σ i . The values of uncertainty of the various measured devices and instruments of the experimental set-up were obtained by Equation (2), and their uncertainties (%) are provided in Table 6, where Ni represents the number of observations, and “σi” corresponds to the standard deviation. Equations (2) and (3) were employed to compute the uncertainties associated with the evaluated parameters, where K is the function of x1, x2, x3……xn, and x ¯ i is the quantity observations taken. The magnitude of ΔK is evaluated by the process of root mean square method of errors associated with the measured values.
Δ x = 2 σ i x ¯ i
K = f (x1, x2, x3, ……………. xn)
Δ K = K x 1 Δ x 1 2 + K x 2 Δ x 2 2 + K x 3 Δ x 3 2 + K x n Δ x n 2
The uncertainty (Koverall) was calculated as 13.2 % by Equation (4). This is in agreement with [21,28].
K overall = [ ( K BP ) 2   +   ( K BSFC ) 2   +   ( K BTE ) 2   +   ( K CO ) 2   +   ( K CO 2 ) 2   +   ( K UHC ) 2   +   ( K NO x ) 2   +   ( K Smoke ) 2 ] = [ ( 0.1 ) 2   +   ( 0.2 ) 2   +   ( 2.1 ) 2   +   ( 1.4 ) 2   +   ( 1.1 ) 2   +   ( 1.2 ) 2   +   ( 1.8 ) 2   +   ( 1.0 ) 2 ] = 3.64 %
Table 6. Uncertainties of measured parameters.
Table 6. Uncertainties of measured parameters.
InstrumentUncertainty (%)
Stopwatch±0.3
Speed Indicator±0.1
Pressure Sensor±0.3
Load Indicator±0.2
Temperature Sensor±0.1
AVL Gas Machine
CO±5.0
CO2±5.1
UHC±5.2
NOx±9.8
Smoke±1.0
BP±0.1
BTE±0.2
BSFC±0.2

3. Results and Discussion

3.1. Impact of IP on Engine Performance

3.1.1. BSFC

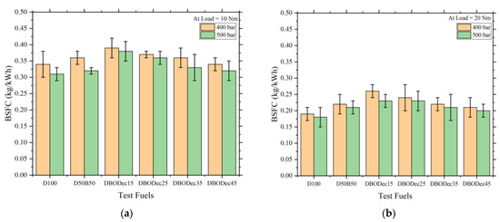
The effects of IP on the BSFC of a CRDI diesel engine at various loads are depicted in Figure 6a,b. The BSFC was reduced with an increment in IP at both the loads. The increase in the IP caused uniform fuel distribution and better combustion. The quaternary blends led to comparatively higher BSFC than diesel. This was because of the lower calorific value of the quaternary blends compared to diesel. However, contrary results were shown by the work of Saridemir et al. [23]. At 400 bar and 10 Nm, the minimum BSFC was noted for DBODec45, which was only 2.94% higher as compared to diesel. The highest decanol content in DBODec45 provided more oxygen molecules available for enhanced combustion. The highest BSFC was obtained for DBODec15, which was found to be 14.71% more than diesel. Similar trends were observed at higher IP and lower load, where the BSFC of DBODec45 and DBODec15 was found to be 3.22% and 22.58% higher than diesel. This was due to the increased viscosity and LCV of biodiesel and alcohol compared to diesel [31,32,33]. Moreover, at 400 bar IP and at 20 Nm, for example, the BSFC of DBODec15 and DBODec45 was found to be 36.84% and 10.52% higher than diesel. In addition, the BSFC of DBODec15 and DBODec45 was found to be 27.78% and 11.11% higher than diesel at an IP of 500 bar. Therefore, the reduction in BSFC can be attained by increasing the injection pressure and engine load. This was due to the more uniform spray formation and atomization achieved at higher injection pressure. It was also reported that the values of BSFC for quaternary blends are closer to diesel at lower load and lower IP. The variation in the IP led to lower fuel consumption at both the loads for all fuels. The percentage decrement was found to be minimum for DBODec15 and maximum for D50B50 at the 10 Nm load. However, at the 20 Nm load, the percentage decrement was found to be minimum for D100 and DBODec45, whereas the maximum decrement was obtained for DBODec15. Thus, the increment in IP showed more influence on D50B50 at the lower load and for DBODec15 at the higher load. Nevertheless, the decrement in BSFC due to an increase in the IP for DBODec45 and D100 was found to be the same, i.e., 0.01%, at the 20 Nm load. The higher oxygen content and improved viscosity of DBODec45 favored combustion similarly to diesel. However, BSFC was found to be reduced with an increase in blend proportion of decanol, which improvised combustion by providing more oxygen molecules available for combustion. For example, DBODec45 resulted in 13.1%, 7.2%, and 6.2% lower BSFC than DBODec15, DBODec25, and DBODec35, respectively, at higher IP and higher load. The addition of 45% of decanol in biodiesel-diesel blends proved to be promising in reducing BSFCs irrespective of injection pressure and loading conditions.

3.1.2. BTE

The effects of the variation of IP on the BTE of a CRDI diesel engine at both the loads are depicted in Figure 7a,b, respectively. The values of BTE for D100 were found to be highest among the fuels at both the injection pressures and loads. At 400 bar and 10 Nm load, the maximum and minimum BTE were observed for DBODec45 and DBODec15 and were found to be 8.93% and 23.47% less than D100, respectively. This was because of the low calorific value and high viscosity of biodiesel. In addition, the BTE of DBODec45 and DBODec15 was found to be 4.28% and 25.17% lower than diesel at an IP of 500 bar and load of 10 Nm. The higher load resulted in a rise in the ICT, thereby leading to efficient combustion and increased BTE. Due to the increased engine loads, the cylinders experienced higher temperatures, resulting in improved combustion. However, the opposite trend was reported by Yesilyurt et al. [28]. At a higher load of 20 Nm, a similar trend was noted; i.e., the BTE of DBODec15 and DBODec45 was found to be 17.18% and 5.33% lower than diesel at the IP of 400 bar, whereas the BTE of DBODec15 and DBODec45 was found to be 16.03% and 3.26% lower than diesel at the IP of 500 bar. It is evident that at a higher load and higher IP, BTE values of quaternary blends can be achieved closer to D100. The higher IP leads to better intermixing and uniform distribution of the air–fuel mixture in the engine cylinder. Moreover, the increase in the IP improves controlled combustion due to better spray properties and atomization effects. The effect of the increase in IP was found to be maximum for DBODec45, i.e., 8.48% at 10 Nm, and DBODec25, i.e., 5.62% at 20 Nm load. The BTE was further enhanced with the addition of a higher decanol content in the quaternary blends. For example, BTE for DBODec45 was found to be higher than DBODec15, DBODEc25, and DBODec35 by 13.1%, 7.2%, and 6.2%, respectively, at a higher IP and load. Furthermore, BTE for DBODec45 was found to be 0.78% more than D50B50 at enhanced IP and load. Thus, in order to obtain enhanced BTE value, a higher injection and load with a high volumetric proportion of decanol are suggested.

3.2. Exhaust Emissions

3.2.1. CO Emissions

The effect of changes in IP on CO emissions of CRDI diesel engines at both the loads are depicted in Figure 8a,b, respectively. The increment in the injection pressure led to a reduction in CO emissions. The concentration of CO was maximum for diesel for all IPs and loads. The quaternary fuels showed a decrement in CO emission at varied IPs and loads. At a lower IP and lower load, the lowest CO concentration among the quaternary blends was reported for DBODec45 and was obtained to be 71.42% less than D100. The highest oxygen content in the blend prevented partial combustion. However, the maximum CO emission among the quaternary blends was noted for DBODec15, which was 28.57% lesser than D100. This effect was due to the higher viscosity of DBODec15, which caused incomplete combustion. At 500 bar and 10 Nm load, DBODec45 and DBODec15 led with 83.33% and 33% less CO emissions than diesel, respectively. It was also reported from the experiments that the CO emission increased with the increase in load for most of the samples except D100 at 500 bar, and this increase was maximum for DBODec45. Similar outcomes were observed by Appavu et al. [21]. At 400 bar and 20 Nm, DBODec45 showed the least CO emission, which was found to be 55.4% lower than D100. At a higher IP and higher load, a similar trend was observed for the quaternary blends, where DBODec45 resulted in minimum CO emission, which was 66.7% lower than D100, and the maximum CO emission was shown by DBODec15, which was just 11.6% lower than D100. The effect of increment in the injection pressure was most effective in the case of diesel and DBODec45 at the 20 Nm load. This was because the atomization, spray formation, and combustion improved at high IP. These results are found to be in agreement with Saridemir et al. [23]. Moreover, DBODec45 shows behavior similar to that of D100. The CO emissions were reduced with the increase in decanol content at various IPs and loads. For example, DBODec15, DBODec25, and DBODec35 resulted in 59.8%, 50%, and 28.5% higher CO concentration than DBODec45. Moreover, the quaternary fuels led to lesser CO emission as compared to D50B50 at different loads; for example, DBODec45 resulted in a maximum CO reduction of 80% as compared to D50B50. The inclusion of decanol enhanced the oxygen content, which prevented partial combustion.

3.2.2. UHC Emissions

The influence of increment in IP on UHC concentrations of CRDI diesel engines at both the loads is depicted in Figure 9a,b, respectively. The UHC emission increases with an increase in the injection pressure at both loads. The highest value of UHC emission was obtained for diesel at different injection pressures and loads. Among the quaternary blends, a decreasing trend was observed for UHC emission as the volumetric content of decanol increased in the mixtures. The presence of decanol enhanced the oxygen molecules available for combustion, and thus, even the un-burnt fuel droplets were combusted. The highest and lowest UHC concentrations were observed for DBODec15 and DBODec45, which were found to be 23.68% and 44.73% less than diesel, respectively, at 400 bar and 10 Nm load. The high volumetric proportion of decanol offered a high calorific value, which released sufficient heat energy that favored the complete burning of the air–fuel mixture. Similarly, at 500 bar and 10 Nm load, the highest and lowest UHC concentrations were reported for DBODec15 and DBODec45, which were obtained as 12.5% and 42.5% less than diesel, respectively. The maximum reduction in UHC was reported at the lower IP of 400 bar for DBODec45 at 10 Nm load. However, at 400 bar and 20 Nm load, the highest UHC emission among the quaternary blends was reported for DBODec15, which was 15.2% less than diesel, and the lowest UHC concentration was reported for DBODec45, which was observed to be 54.5% less than diesel. However, this reduction in UHC was found to be 16.66% and 50.0% for DBODec15 and DBODec45, respectively, in comparison to diesel, at 500 bar and higher load. It is evident from Figure 9 that the mitigation of UHC can be attained by lowering the injection pressure at a constant engine load. The effect of increase in IP was found to be similar for D100 and DBODec45 at all loads. The increment in UHC emission for D100 and DBODec45 at 10 Nm load was found to be 2 ppm, whereas this increase was found to be 3 ppm at the higher load. The results are in agreement with the findings of Saridemir et al. [23]. The influence of variation in IP was highest for DBODec15 at the lower load and for DBODec35 at the higher load. At high IP, some fuel droplets impinge to the farthest location on the cylinder and thus are unable to combust. Thus, the addition of 45% of decanol proved to be a promising step in reducing UHC emission at all engine loads.

3.2.3. NOx Emissions

The effects of increment in IP on NOx emissions of a CRDI diesel engine at both the loads are depicted in Figure 10a,b, respectively. The NOx values increased at higher IP for all test fuel samples at both the loading conditions. The high-pressure fuel, due to higher IP, resulted in better atomization and distribution of the fuel droplets in the combustion chamber, which favored high combustion rates. Therefore, the ICT was increased, which triggered more NOx formation. The minimum concentration of NOx emissions was observed for diesel at all injection pressure and loads. The quaternary fuels led to higher NOx emissions as compared to diesel, and a similar finding was reported by Yesilyurt et al. [28]. The NOx emissions increased with increments in the decanol content in the quaternary mixtures. Thus, at 400 bar and a lower load, the least NOx was obtained by DBODec15 among the quaternary blends, which was just 30.26% higher than diesel, but maximum NOx was obtained for DBODec45, which was 51.6% higher than D100. The reduction in NOx emission shown by DBODec15 is due to a lesser oxygen content than DBODec45, which ultimately prevented abrupt combustion rates and a sharp rise in the in-cylinder temperature. Similarly, at higher IP and higher load, the NOx emissions for DBODec15 and DBODec45 were higher by 37.5% and 53.1% than D100. This was because of controlled combustion on account of the uniform heat distribution at higher loads, which maintained low ICT. These outcomes are in concordance with the results of Saridemir et al. [23]. At 400 bar and 20 Nm load, the minimum and maximum NOx emissions were obtained by DBODec15 and DBODec45, which were 19.4% and 78.8% higher than diesel, respectively. A similar trend was reported at 500 bar and 20 Nm, as DBODec15 and DBODec45 led with 20.4% and 60.0% higher NOx emissions than diesel. Therefore, in order to achieve low NOx emission, the CI engine can be operated at a low IP and high engine load. However, the increment in the NOx emissions with increase in IP at 20 Nm load for D100 and DBODec15 was comparable by 45 ppm and 56 ppm, respectively. The quaternary blends, except for DBODec15, showed higher NOx emission than D50B50 at both IPs and varied loads. For example, DBODec15 was observed to be 15.7% less than that of D50B50 at 400 bar and 20 Nm load. Therefore, the up to 15% inclusion of decanol in the quaternary blends can offer considerably a low NOx concentration at low IPs. This is because the addition of a low volume of decanol in the blends slightly increased the oxygen content, which caused controlled combustion and low ICT, thereby limiting the NOx formation.

3.2.4. Smoke Opacity

The effects of variation of IP on the smoke emissions of a CRDI diesel engine at both the loads are shown in Figure 11a,b, respectively. The smoke formation decreases with increment in injection pressure irrespective of loads. The increment in the injection pressure reduced the smoke emission because at high IP, intermixing and atomization were improved; moreover, the fuel distribution was uniform throughout the engine cylinder. However, the smoke opacity for quaternary blends was reduced with increments in the quantity of decanol. The highest concentration of smoke was noted for diesel at various injection pressure and loads. At lower IP and lower load, the maximum smoke amount was reported for DBODec15, and the minimum was obtained for DBODec45 among all quaternary blends, which were 33.2% and 83.3% less than diesel. The high volumetric content of decanol resulted in complete combustion, thereby reducing smoke emission. A similar trend was noted at higher injection pressure and 10 Nm load, where DBODec15 resulted in only 38.5% less smoke than D100, and DBODec45 resulted in 92.9% less smoke than D100. It was recorded that the smoke opacity increased at higher loads. This was due to increased injection quantity at higher loads. Similar outcomes were reported by Karthic et al. [22]. At 400 bar and 20 Nm load, the greatest amount of smoke was obtained for DBODec15, which was only 37.5% less than diesel, and the minimum was obtained for DBODec45, which was 77.2% less than diesel. Similarly, at high IP and high load, DBODec15 and DBODec45 led with 37.6% and 90.9% lower smoke opacity than D100. However, the decrement in smoke concentration with increase in injection pressure at both the loads was comparable for D100 and DBODec45. For example, with the increase in IP at 10 Nm load, the decrement in smoke for D100 and DBODec45 was 0.03% and 0.06%, respectively. However, the maximum deviation was observed for DBODec25, which was found to be 13.1%. Additionally, the smoke opacity of D50B50 was 20% higher than DBODec45. The quaternary blends offered a sufficient number of oxygen molecules for combustion, which favored cleaner combustion, resulting in lower smoke emission than diesel and D50B50. Therefore, the use of decanol as a fuel additive in proportions up to 45% can prove to be significant in reducing smoke opacity.

4. Limitations of the Research Work

The present work involved the use of biodiesel, alcohol, and vegetable oil in different volumetric contents with diesel fuel to power diesel engines. Although the research was based on renewable fuel alternatives to diesel, they still offer certain limitations. The use of biodiesel can lead to filter plugging and injector choking. The volumetric content of vegetable oil cannot be used beyond 5%, as it may increase the viscosity of the blend and deteriorate the quality of combustion. No significant method was applied to reduce the NOx emissions as compared to the one obtained from diesel. The application of quaternary blends involved advanced technological set-up and logistic challenges.

5. Conclusions and Future Scope

The present research work involved the analysis of performance and exhaust emissions of a CRDI diesel engine powered by quaternary blends. On the basis of the above work, it can be concluded that the novel quaternary blends containing a higher alcohol (decanol) content beyond 20–40%, i.e., 45%, can be used as a diesel engine fuel alternative to petroleum diesel. The method adopted, which involved the application of vegetable oil, biodiesel, and higher alcohol (decanol) in the successful and smooth running of a diesel engine, proved to be promising in restricting the dependency on fossil fuel (diesel) to below 50%, that is, up to 40%. The BSFC values of all the test fuels were lowered with an increase in the IP. D100 showed the lowest BSFC due to its highest calorific value. The minimum BSFC was obtained for DBODec45, which was 3.22% more than diesel, at 500 bar and 20 Nm. Therefore, it was observed that in order to obtain a significant reduction in BSFC, switching to a higher load and higher IP can be a promising measure. The impact of the increment in IP on BSFC was reported to be highest for D50B50 and DBODec15 at 10 Nm and 20 Nm, respectively. Moreover, the impact of changes in IP was found to be similar for D100 and DBODec45 at a 20 Nm load. Therefore, it is evident that at a higher load, DBODec45 behaves similarly to D100 in terms of BSFC. Additionally, the quaternary blends resulted in lower BSFC with a higher decanol content. The maximum BTE among the quaternary blends was observed for DBODec45, which was just 3.26% less than diesel, at 500 bar and 20 Nm. The least CO was obtained by DBODec45, which was found to be 83.33% less than diesel, at 500 bar and 10 Nm. The highest and lowest UHC values were observed by DBODec15 and DBODec45, which were recorded as 15.2% and 54.5% less than diesel at 500 bar and 20 Nm load. The increase in IP led to high NOx values for all fuels irrespective of the loads. The high injection pressure leads to high combustion rates, which enhance ICT, thereby increasing NOx emissions. The highest and lowest NOx were noted for DBODec15 and DBODec45 for all IPs and engine loads. Moreover, only DBODec15 showed lower NOx emission than D50B50. The variation in IP was found to influence D50B50 and DBODec15 the most at 10 Nm and 20 Nm, respectively. The lowest smoke emission was shown by DBODec45. Enhanced oxygen content at higher IP resulted in incomplete combustion. Therefore, to attain the minimum smoke opacity, higher IP and low engine load should be adopted. The increase in engine load caused higher smoke emissions due to the increment in the fuel demand at the higher loading condition. Moreover, the increment in smoke due to increased IP was comparable for D100 and DBODec45 at the 20 Nm load. Thus, D100 and DBODec45 offered similar characteristics regarding smoke reduction. DBODec45 showed a similar behavior to D100 under the effect of IP and load variations except for in the case of NOx emissions; however, DBODec45 behaved in a far superior way in terms of exhaust emissions, with minor compromise in the engine performance. The application of high fuel injection pressure and the use of quaternary blends has contributed significantly to mitigating exhaust emissions with simultaneous improvement in engine performance. The present work has contributed to the literature in the domain of emission control and alternate and renewable biofuels with modification in engine operations, which was achieved by varying the fuel injection pressure.

Scope of Future Work

These quaternary blends can act as alternative fuels to diesel. As research has no boundaries, the present work can be expanded with the application of ultra-high fuel injection pressure in the range of 1000–1200 bar. Moreover, the applicability of micro-algae biodiesel and bio-butanol can be explored in the quaternary blends, with higher volumetric content so as to completely eliminate the dependency on petroleum diesel fuel in future.

Author Contributions

Conceptualization, M.M.K., A.K.K., R.P.S., S.P. and S.M.M.H.; methodology, M.M.K., A.K.K., R.P.S., S.P. and S.M.M.H.; software, M.M.K., A.K.K., R.P.S. and S.M.M.H.; formal analysis, A.Z., A.K.K., S.M.M.H. and M.M.K.; investigation, A.M., A.E.R., AZ. and R.P.S.; resources, M.M.K., S.P. and S.M.M.H.; writing—original draft preparation, M.M.K., A.K.K., R.P.S., S.P. and S.M.M.H.; writing—review and editing, M.M.K., A.K.K., R.P.S., S.P. and S.M.M.H.; visualization, R.P.S., A.K.K., A.Z., A.E.R. and A.M.; supervision, R.P.S., A.K.K., A.Z., A.E.R. and A.M.; project administration, R.P.S., A.K.K., A.Z., A.E.R. and A.M.; funding acquisition, A.E.R. and A.M. All authors have read and agreed to the published version of the manuscript.

Funding

The authors extend their appreciation for King Saud University, Riyadh, Saudi Arabia, for funding this work through Researchers Supporting Project number (RSPD2023R711).

Institutional Review Board Statement

Not applicable.

Informed Consent Statement

Not applicable.

Data Availability Statement

No data were used to support this study.

Acknowledgments

The authors would like to express their gratitude to King Saud University, Riyadh, Saudi Arabia, and Birla Institute of Technology, Mesra, India for their valuable research support.

Conflicts of Interest

The authors declare no conflict of interest.

Nomenclature

CRDICommon Rail Direct Injection
CICompression Ignition
BPBrake Power
BTEBrake Thermal Efficiency
BSFCBrake Specific Fuel Consumption
LCVLower Calorific Value
ICTIn-cylinder Temperature
IPInjection Pressure
IOCLIndian Oil Corporation Limited
GCMS Gas Chromatography–Mass Spectrometry
UHCUn-burnt Hydrocarbon
NOxOxides of Nitrogen
SOxOxides of Sulphur
CO2Carbon dioxide
NOMENeem Oil Methyl Ester
CICompression Ignition
BNeem Biodiesel
OPure Neem Oil
DecDecanol
D100Pure Diesel
D50B5050% Diesel and 50% Biodiesel

References

  1. Shrivastava, P.; Verma, T.N.; Pugazhendhi, A. An experimental evaluation of engine performance and emisssion characteristics of CI engine operated with Roselle and Karanja biodiesel. Fuel 2019, 254, 115652. [Google Scholar] [CrossRef]
  2. Kpodar, K.; Imam, A. To pass (or not to pass) through international fuel price changes to domestic fuel prices in developing countries: What are the drivers? Energy Policy 2021, 149, 111999. [Google Scholar] [CrossRef]
  3. Liu, L.; Tang, Y.; Liu, D. Investigation of future low-carbon and zero-carbon fuels for marine engines from the view of thermal efficiency. Energy Rep. 2022, 8, 6150–6160. [Google Scholar] [CrossRef]
  4. Yousefi, A.; Guo, H.; Birouk, M. Split diesel injection effect on knocking of natural gas/diesel dual-fuel engine at high load conditions. Appl. Energy 2020, 279, 115828. [Google Scholar] [CrossRef]
  5. Liu, L.; Wu, Y.; Wang, Y.; Wu, J.; Fu, S. Exploration of environmentally friendly marine power technology-ammonia/diesel stratified injection. J. Clean. Prod. 2022, 380, 135014. [Google Scholar] [CrossRef]
  6. Sivakumar, S.; Venkatachalam, R.; Nedunchezhian, N.; Sivakumar, P.; Rajendran, P. Processing of cashew nut shell and feasibility of its oil as bio fuel in compression ignition engine. JCHPS Spec. Issue 2014, 4, 133–135. [Google Scholar]
  7. Chokkalingam, S.; Chandrasekaran, K.; Pandian, S.; Asir, O. Optimization of Performance and Emission Characteristics of Biodiesel from Non-Edible Raphanus sativus Oil with Nano-Additive. Theor. Found. Chem. Eng. 2022, 56, 1158–1170. [Google Scholar] [CrossRef]
  8. Marchetti, J.M.; Miguel, V.U.; Errazu, A.F. Possible methods for biodiesel production. Renew. Sustain. Energy Rev. 2007, 11, 1300–1311. [Google Scholar] [CrossRef]
  9. Moka, S.; Pande, M.; Rani, M.; Gakhar, R.; Sharma, M.; Rani, J.; Bhaskarwar, A.N. Alternative fuels: An overview of current trends and scope for future. Renew. Sustain. Energy Rev. 2014, 32, 697–712. [Google Scholar]
  10. Liu, H.; Ma, X.; Li, B.; Chen, L.; Wang, Z.; Wang, J. Combustion and emission characteristics of a direct injection diesel engine fueled with biodiesel and PODE/biodiesel fuel blends. Fuel 2017, 209, 62–68. [Google Scholar] [CrossRef]
  11. Dwivedi, G.; Jain, S.; Sharma, M.P. Impact analysis of biodiesel on engine performance—A review. Renew. Sustain. Energy Rev. 2011, 15, 4633–4641. [Google Scholar] [CrossRef]
  12. Muñoz, M.; Moreno, F.; Monné, C.; Morea, J.; Terradillos, J. Biodiesel improves lubricity of new low sulphur diesel fuels. Renew. Energy 2011, 36, 2918–2924. [Google Scholar] [CrossRef]
  13. Özener, O.; Yüksek, L.; Ergenç, A.T.; Özkan, M. Effects of soybean biodiesel on a DI diesel engine performance, emission and combustion characteristics. Fuel 2014, 115, 875–883. [Google Scholar] [CrossRef]
  14. Shameer, M.; Ramesh, K.; Sakthivel, R.; Purnachandran, R. Effects of fuel injection parameters on emission characteristics of diesel engines operating on various biodiesel: A review. Renew. Sustain. Energy Rev. 2017, 67, 1267–1281. [Google Scholar] [CrossRef]
  15. Hazar, H.; Aydin, H. Performance and emission evaluation of a CI engine fueled with preheated raw rapeseed oil (RRO)–diesel blends. Appl. Energy 2010, 87, 786–790. [Google Scholar] [CrossRef]
  16. Ashok, B.; Nanthagopal, K.; Darla, S.; Chyuan, O.H.; Ramesh, A.; Jacob, A.; Sahil, G.; Thiyagarajan, S.; Geo, V.E. Comparative assessment of hexanol and decanol as oxygenated additives with calophyllum inophyllum biodiesel. Energy 2019, 173, 494–510. [Google Scholar] [CrossRef]
  17. Al-Hassan, M.; Mujafet, H.; Al-Shannag, M. An Experimental Study on the Solubility of a Diesel-Ethanol Blend and on the Performance of a Diesel Engine Fueled with Diesel-Biodiesel-Ethanol Blends. Jordan J. Mech. Ind. Eng. 2012, 6, 147–153. [Google Scholar]
  18. Babu, V.; Murthy, M. Butanol and pentanol: The promising biofuels for CI engines—A review. Renew. Sustain. Energy Rev. 2017, 78, 1068–1088. [Google Scholar]
  19. Senthilkumar, C.; Ramesh, S.A.; Rajeshkumar, P.; Sivakumar, V.R.; Vijayakumar, B.; Sivakumar, P. Process parameter optimization and performance analysis of Raphanus sativus methyl ester in diesel engine. J Chem. Pharm. Sci. 2014, 9, 1718–1723. [Google Scholar]
  20. Nanthagopal, K.; Ashok, B.; Saravanan, B.; Pathy, M.R.; Sahil, G.; Ramesh, A.; Nabi, M.N.; Rasul, M.G. Study on decanol and Calophyllum Inophyllum biodiesel as ternary blends in CI engine. Fuel 2019, 239, 862–873. [Google Scholar] [CrossRef]
  21. Appavu, P.; Venu, H. Quaternary blends of diesel/biodiesel/vegetable oil/pentanol as a potential alternative feedstock for existing unmodified diesel engine: Performance, combustion and emission characteristics. Energy 2019, 186, 115856. [Google Scholar] [CrossRef]
  22. Karthic, S.V.; Kumar, M.S.; Nataraj, G.; Pradeep, P. An assessment on injection pressure and timing to reduce emissions on diesel engine powered by renewable fuel. J. Clean. Prod. 2020, 255, 120186. [Google Scholar] [CrossRef]
  23. Sarıdemir, S.; Gürel, A.E.; Ağbulut, Ü.; Bakan, F. Investigating the role of fuel injection pressure change on performance characteristics of a DI-CI engine fuelled with methyl ester. Fuel 2020, 271, 117634. [Google Scholar] [CrossRef]
  24. Abu-Hamdeh, N.H.; Bantan, R.A.; Alimoradi, A.; Pourhoseini, S.H. The effect of injection pressure on the thermal performance and emission characteristics of an oil burner operating on B20 palm oil biodiesel-diesel blend fuel. Fuel 2020, 278, 118174. [Google Scholar] [CrossRef]
  25. Ağbulut, Ü.; Ayyıldız, M.; Sarıdemir, S. Prediction of performance, combustion and emission characteristics for a CI engine at varying injection pressures. Energy 2020, 197, 117257. [Google Scholar] [CrossRef]
  26. Liu, L.; Peng, Y.; Zhang, W.; Ma, X. Concept of rapid and controllable combustion for high power-density diesel engines. Energy Convers. Manag. 2023, 276, 116529. [Google Scholar] [CrossRef]
  27. Seo, J.; Park, J.; Park, J.; Park, S. Emission factor development for light-duty vehicles based on real-world emissions using emission map-based simulation. Environ. Pollut. 2021, 270, 116081. [Google Scholar] [CrossRef]
  28. Yesilyurt, M.K.; Aydin, M.; Yilbasi, Z.; Arslan, M. Investigation on the structural effects of the addition of alcohols having various chain lengths into the vegetable oil-biodiesel-diesel fuel blends: An attempt for improving the performance, combustion, and exhaust emission characteristics of a compression ignition engine. Fuel 2020, 269, 117455. [Google Scholar]
  29. Damodharan, D.; Sathiyagnanam, A.P.; Rana, D.; Saravanan, S.; Kumar, B.R.; Sethuramasamyraja, B. Effective utilization of waste plastic oil in a direct injection diesel engine using high carbon alcohols as oxygenated additives for cleaner emissions. Energy Convers. Manag. 2018, 166, 81–97. [Google Scholar] [CrossRef]
  30. Damodharan, D.; Sathiyagnanam, A.P.; Rana, D.; Kumar, B.R.; Saravanan, S. Combined influence of injection timing and EGR on combustion, performance and emissions of DI diesel engine fueled with neat waste plastic oil. Energy Convers. Manag. 2018, 161, 294–305. [Google Scholar] [CrossRef]
  31. Hasnain, S.M.M.; Chatterjee, R.; Ranjan, P.; Kumar, G.; Sharma, S.; Kumar, A.; Salah, B.; Ullah, S.S. Performance, Emission, and Spectroscopic Analysis of Diesel Engine Fuelled with Ternary Biofuel Blends. Sustainability 2023, 15, 7415. [Google Scholar] [CrossRef]
  32. Hasnain, S.M.; Chatterjee, R.; Sharma, R.P. Spectroscopic Performance and Emission Analysis of Glycine max Biodiesel. J. Inst. Eng. India Ser. C 2020, 101, 587–594. [Google Scholar] [CrossRef]
  33. Hasnain, S.M.; Sharma, R.P. Evaluation of the Performance, Emission, and Spectroscopic Analysis of an Improved Soy Methyl Ester. RSC Adv. 2019, 9, 26880–26882. [Google Scholar] [CrossRef] [PubMed]
Figure 1. The parent test fuel samples.
Figure 1. The parent test fuel samples.
Sustainability 15 09084 g001
Figure 2. The different quaternary blended fuel samples.
Figure 2. The different quaternary blended fuel samples.
Sustainability 15 09084 g002
Figure 3. (a) The CRDI diesel engine set-up. (b) A closed view of CRDI diesel engine.
Figure 3. (a) The CRDI diesel engine set-up. (b) A closed view of CRDI diesel engine.
Sustainability 15 09084 g003
Figure 4. Schematic layout of the CRDI CI engine.
Figure 4. Schematic layout of the CRDI CI engine.
Sustainability 15 09084 g004
Figure 5. AVL exhaust machine.
Figure 5. AVL exhaust machine.
Sustainability 15 09084 g005
Figure 6. Variation in BSFC with respect to fuel blends at (a) 10 Nm and (b) 20 Nm.
Figure 6. Variation in BSFC with respect to fuel blends at (a) 10 Nm and (b) 20 Nm.
Sustainability 15 09084 g006
Figure 7. Variation in BTE with respect to fuel blends at (a) 10 Nm and (b) 20 Nm.
Figure 7. Variation in BTE with respect to fuel blends at (a) 10 Nm and (b) 20 Nm.
Sustainability 15 09084 g007
Figure 8. Variation in CO emissions with respect to fuel blends at (a) 10 Nm and (b) 20 Nm.
Figure 8. Variation in CO emissions with respect to fuel blends at (a) 10 Nm and (b) 20 Nm.
Sustainability 15 09084 g008
Figure 9. Variation in UHC emissions with respect to fuel blends at (a) 10 Nm and (b) 20 Nm.
Figure 9. Variation in UHC emissions with respect to fuel blends at (a) 10 Nm and (b) 20 Nm.
Sustainability 15 09084 g009
Figure 10. Variation in NOx emissions with respect to fuel blends at (a) 10 Nm (b) 20 Nm load.
Figure 10. Variation in NOx emissions with respect to fuel blends at (a) 10 Nm (b) 20 Nm load.
Sustainability 15 09084 g010
Figure 11. Variation in smoke opacity emissions with respect to fuel blends at (a) 10 Nm and (b) 20 Nm load.
Figure 11. Variation in smoke opacity emissions with respect to fuel blends at (a) 10 Nm and (b) 20 Nm load.
Sustainability 15 09084 g011
Table 1. Composition of fatty acid–neem biodiesel.
Table 1. Composition of fatty acid–neem biodiesel.
S. No.Fatty AcidStructureComposition (wt. %)
1.Palmitic Acid (C16:0)16.6
2.Oleic Acid (C18:1)36.4
3.Linoleic Acid (C18:2)32.7
4.G-Linolenic Acid(C18:3)1.0
5.Linolaidic Acid(C18:2)0.2
6.Gondoic Acid(C20:1)0.7
7.Linolenic Acid(C18:3)1.1
8.Palmitoleic Acid (C16:1)0.6
9.Heneicosylic Acid(C21:1)0.3
10.Behenic Acid(C22:0)0.2
11.Eicosatrienoic Acid(C20:3)0.2
12.Eicosapentaenoic Acid(C20:5)0.2
13.Myristic Acid(C14:0)0.2
14.Stearic Acid (C18:0)6.9
15.Arachidic Acid(C20:0)0.3
Table 2. The fuel properties of constituent fuels of quaternary blends.
Table 2. The fuel properties of constituent fuels of quaternary blends.
PropertiesMethodNeem BiodieselNeem OilDieselDecanol
Free Fatty Acid (Oleic Acid) (g/100 g)ASTM D67517.97---
Density (kg/m3) at 27 °CASTM D1298902914830828.9
Specific GravityASTM D67510.9020.9140.8030.828
Kinematic Viscosity (cSt) at 40 °CASTM D4453.940.12.76.5
Calorific Value (CV) (kJ/kg)ASTM D24039,434.238,00042,00041,820
Iodine Value (g/100 g)ASTM D675160.0297112.69-
Acid Value (mg KOH/g-oil)ASTM D675112.5430.8--
Cetane NumberASTM D97652514850
Moisture Content (g/100 g)ASTM D67510.0360.0030.02-
Flash Point (°C)ASTM D250014523070107.9
Flame/Fire Point (°C)ASTM D522216025380122
Cloud Point (°C)ASTM D6751919−12-
Cold Filter Plugging Point (°C)ASTM D675110.511−17-
Pour Point (°C)ASTM D93610−16-
Table 3. The fuel properties of the quaternary blends.
Table 3. The fuel properties of the quaternary blends.
PropertiesMethodD50B50DBODec15DBODec25DBODec35DBODec45
Density (kg/m3)ASTM D1298869644636628612
Specific GravityASTM D67510.8690.6440.6360.6280.612
Kinematic Viscosity (mm2/s)ASTM D4454.75.455.174.964.83
Calorific Value (kJ/Kg)ASTM D24040,670.439,110.739,863.540,385.240,729.6
Cetane NumberASTM D97650.349.249.850.751.4
Flash Point (°C)ASTM D5222105.9113.7110.0106.395.1
Cloud Point (°C)ASTM D67514.12.3−1.5−5.0−9.8
Pour Point (°C)ASTM D93−6.2−9.4−10.8−11.6−12.0
Table 4. Test engine specifications.
Table 4. Test engine specifications.
ParametersValue
BrandMahindra & Mahindra Jeeto Engine
Piston ShapeCylindrical
Compression Ratio18:1
Nozzle Diameter145 micron
Bore93.0–93.018 mm
Connecting Rod Length131 mm
Ambient Temperature298 Kelvin
Number of nozzle holes6
Stroke92 mm
Nozzle PositionInclined
Piston Dimension92.58–92.76 mm
Ambient Pressure1 atm
RPM1000–3000
Table 5. Dynamometer specifications.
Table 5. Dynamometer specifications.
DescriptionSpecifications
ManufacturerTechnomech
ModelTME-10
Maximum Power10 Brake Horse Power
Supply Voltage (V AC)250
Maximum Current (A)5
Energizing Coil Voltage (V) 45
Weight130 kg
Disclaimer/Publisher’s Note: The statements, opinions and data contained in all publications are solely those of the individual author(s) and contributor(s) and not of MDPI and/or the editor(s). MDPI and/or the editor(s) disclaim responsibility for any injury to people or property resulting from any ideas, methods, instructions or products referred to in the content.

Share and Cite

MDPI and ACS Style

Khan, M.M.; Kadian, A.K.; Sharma, R.P.; Hasnain, S.M.M.; Mohamed, A.; Ragab, A.E.; Zare, A.; Pandey, S. Emission Reduction and Performance Enhancement of CI Engine Propelled by Neem Biodiesel-Neem Oil-Decanol-Diesel Blends at High Injection Pressure. Sustainability 2023, 15, 9084. https://doi.org/10.3390/su15119084

AMA Style

Khan MM, Kadian AK, Sharma RP, Hasnain SMM, Mohamed A, Ragab AE, Zare A, Pandey S. Emission Reduction and Performance Enhancement of CI Engine Propelled by Neem Biodiesel-Neem Oil-Decanol-Diesel Blends at High Injection Pressure. Sustainability. 2023; 15(11):9084. https://doi.org/10.3390/su15119084

Chicago/Turabian Style

Khan, Md Modassir, Arun Kumar Kadian, Rabindra Prasad Sharma, S M Mozammil Hasnain, Ahmed Mohamed, Adham E. Ragab, Ali Zare, and Shatrudhan Pandey. 2023. "Emission Reduction and Performance Enhancement of CI Engine Propelled by Neem Biodiesel-Neem Oil-Decanol-Diesel Blends at High Injection Pressure" Sustainability 15, no. 11: 9084. https://doi.org/10.3390/su15119084

APA Style

Khan, M. M., Kadian, A. K., Sharma, R. P., Hasnain, S. M. M., Mohamed, A., Ragab, A. E., Zare, A., & Pandey, S. (2023). Emission Reduction and Performance Enhancement of CI Engine Propelled by Neem Biodiesel-Neem Oil-Decanol-Diesel Blends at High Injection Pressure. Sustainability, 15(11), 9084. https://doi.org/10.3390/su15119084

Note that from the first issue of 2016, this journal uses article numbers instead of page numbers. See further details here.

Article Metrics

Back to TopTop