Potential of Ornamental Trees to Remediate Trace Metal Contaminated Soils for Environmental Safety and Urban Green Space Development
Abstract
1. Introduction
2. Materials and Methods
2.1. Study Area and Climate
2.2. Sample Collection
2.3. Sample Analysis
2.4. Traffic Density (TD)
2.5. Statistical Anaylsis
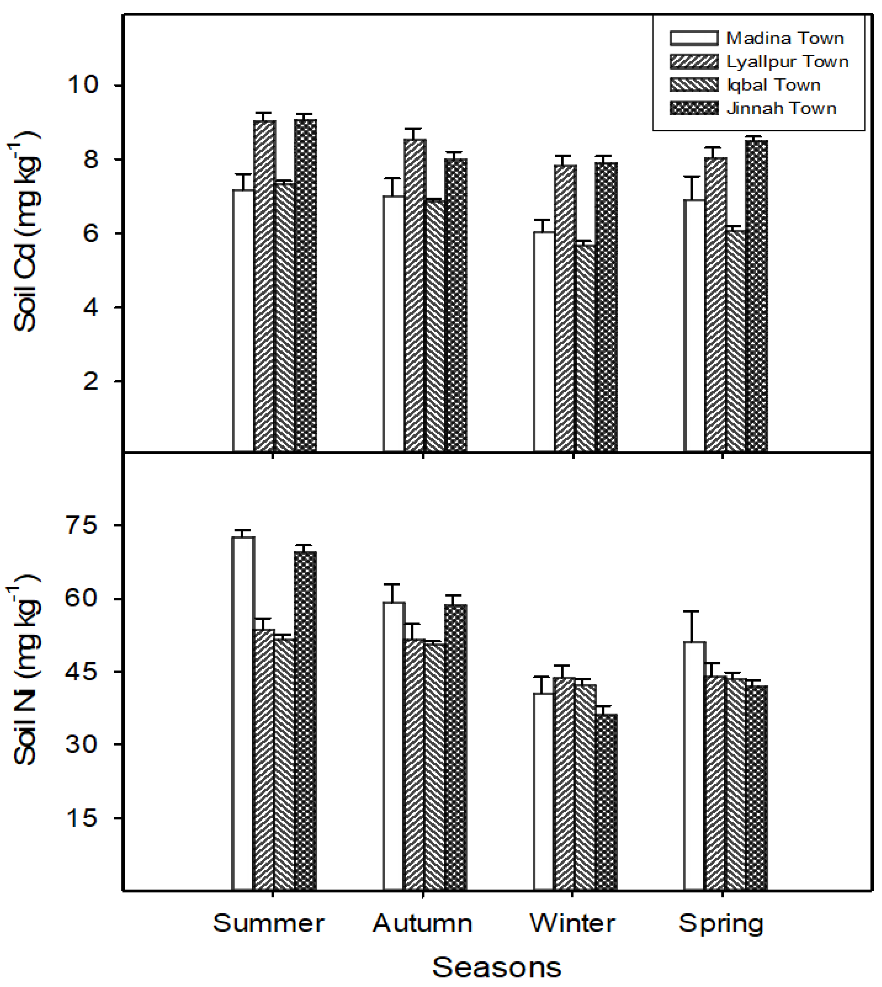
3. Results and Discussion
4. Conclusions
Author Contributions
Funding
Institutional Review Board Statement
Data Availability Statement
Acknowledgments
Conflicts of Interest
References
- Khan, S.; Cao, Q.; Zheng, Y.M.; Huang, Y.Z.; Zhu, Y.G. Health risks of heavy metals in contaminated soils and food crops irrigated with wastewater in Beijing, China. Environ. Pollut. 2008, 152, 686–692. [Google Scholar] [CrossRef]
- Zhang, M.-K.; Liu, Z.-Y.; Wang, H. Use of Single Extraction Methods to Predict Bioavailability of Heavy Metals in Polluted Soils to Rice. Commun. Soil Sci. Plant Anal. 2010, 41, 820–831. [Google Scholar] [CrossRef]
- Sankhla, M.S.; Kumari, M.; Nandan, M.; Kumar, R.; Agrawal, P. Heavy metals contamination in water and their hazardous effect on human health-a review. Int. J. Curr. Microbiol. Appl. Sci. 2016, 5, 759–766. [Google Scholar] [CrossRef]
- Zulfiqar, U.; Farooq, M.; Hussain, S.; Maqsood, M.; Hussain, M.; Ishfaq, M.; Ahmad, M.; Anjum, M.Z. Lead toxicity in plants: Impacts and remediation. J. Environ. Manage. 2019, 250, 109557. [Google Scholar] [CrossRef]
- Teschke, R. Aluminum, Arsenic, Beryllium, Cadmium, Chromium, Cobalt, Copper, Iron, Lead, Mercury, Molybdenum, Nickel, Platinum, Thallium, Titanium, Vanadium, and Zinc: Molecular Aspects in Experimental Liver Injury. Int. J. Mol. Sci. 2022, 23, 12213. [Google Scholar] [CrossRef] [PubMed]
- Wuana, R.A.; Okieimen, F.E. Heavy metals in contaminated soils a review of sources, chemistry, risks and best available strategies for remediation. Comm. Soil Sci. Plant Anal. 2011, 42, 111–122. [Google Scholar] [CrossRef]
- Rashid, I.; Murtaza, G.; Zahir, Z.A.; Farooq, M. Effect of humic and fulvic acid transformation on cadmium availability to wheat cultivars in sewage sludge amended soil. Environ. Sci. Pollut. Res. 2018, 25, 16071–16079. [Google Scholar] [CrossRef] [PubMed]
- Mondal, S.C.; Sarma, B.; Farooq, M.; Nath, D.J.; Gogoi, N. Cadmium bioavailability in acidic soils under bean cultivation: Role of soil additives. Int. J. Environ. Sci. Technol. 2020, 17, 153–160. [Google Scholar] [CrossRef]
- Hassan, M.U.; Chattha, M.U.; Khan, I.; Chattha, M.B.; Aamer, M.; Nawaz, M.; Ali, A.; Ullah-Khan, M.A.; Khan, T.A. Nickel toxicity in plants: Reasons, toxic effects, tolerance mechanisms, and remediation possibilities—A review. Environ. Sci. Pollu. Res. 2019, 26, 12673–12688. [Google Scholar] [CrossRef]
- Mujeeb, A.; Abideen, Z.; Aziz, I.; Sharif, N.; Hussain, M.I.; Qureshi, A.S.; Yang, H.H. Phytoremediation of potentially toxic elements from contaminated saline soils using Salvadora persica L.: Seasonal Evaluation. Plants 2023, 12, 598. [Google Scholar] [CrossRef]
- Hussain, B.; Ashraf, M.N.; Rahman, S.U.; Abbas, A.; Li, J.; Farooq, M. Cadmium stress in paddy fields: Effects of soil conditions and remediation strategies. Sci. Total. Environ. 2021, 754, 142188. [Google Scholar] [CrossRef] [PubMed]
- Khalid, N.; Masood, A.; Noman, A.; Aqeel, M.; Qasim, M. Study of the responses of two biomonitor plant species (Datura alba & Ricinus communis) to roadside air pollution. Chemosphere 2019, 235, 832–841. [Google Scholar] [CrossRef] [PubMed]
- Kim, K.H.; Kumar, P.; Szulejko, J.E.; Adelodun, J.E.; Junaid, A.A.; Uchimiya, M.F.; Chambers, M. Toward a better under-standing of the impact of mass transit air pollutants on human health. Chemosphere 2017, 174, 268–279. [Google Scholar] [CrossRef]
- Rocha, C.S.; Rocha, D.C.; Kochi, L.Y.; Carneiro, D.N.M.; dos Reis, M.V.; Gomes, M.P. Phytoremediation by ornamental plants: A beautiful and ecological alternative. Environ. Sci. Pollut. Res. Int. 2022, 29, 3336–3354. [Google Scholar] [CrossRef] [PubMed]
- Huybrechts, M.; Cuypers, A.; Deckers, J.; Iven, V.; Vandionant, S.; Jozefczak, M.; Hendrix, S. Cadmium and Plant Develop-ment: An Agony from Seed to Seed. Int. J. Mol. Sci. 2019, 20, 3971. [Google Scholar] [CrossRef]
- Liphadzi, M.S.; Kirkham, M.B. Chelate-Assisted Heavy Metal Removal by Sunflower to Improve Soil with Sludge. J. Crop Improv. 2006, 16, 153–172. [Google Scholar] [CrossRef]
- Mahdavi, A.; Khermandar, K.; Asbchin, S.A.; Tabaraki, R. Lead Accumulation Potential in Acacia victoria. Int. J. Phytoremediation 2013, 16, 582–592. [Google Scholar] [CrossRef]
- Khan, M.B. Cadmium in plants and polluted soils: Effects of soil factors, hyper-accumulation and amendments. Geoderma 2006, 137, 19–32. [Google Scholar]
- Zhao, H.; Guan, J.; Liang, Q.; Zhang, X.; Hu, H.; Zhang, J. Effects of cadmium stress on growth and physiological characteristics of sassafras seedlings. Sci. Rep. 2021, 11, 9913. [Google Scholar] [CrossRef]
- Godt, J.; Scheidig, F.; Grosse-Siestrup, C.; Esche, V.; Brandenburg, P.; Reich, A.; Groneberg, D.A. The toxicity of cadmium and resulting hazards for human health. J. Occup. Med. Toxicol. 2006, 1, 22. [Google Scholar] [CrossRef]
- Kubier, A.; Wilkin, R.T.; Pichler, T. Cadmium in soils and groundwater: A review. Appl. Geochem. 2019, 108, 104388. [Google Scholar] [CrossRef] [PubMed]
- Mizuno, T.; Nakahara, Y.; Fujimori, T.; Yoshida, H. Natural revegetation potential of Japanese wild thyme (Thymus quinquecostatus Celak.) on serpentine quarries. Ecol. Res. 2018, 33, 777–788. [Google Scholar] [CrossRef]
- Taiz, L.; Zeiger, E. Plant Physiology, 5th ed.; Sinauer Associates Inc.: Sunderland, MA, USA, 2010; pp. 1–23. [Google Scholar]
- Genchi, G.; Carocci, A.; Lauria, G.; Sinicropi, M.S.; Catalano, A. Nickel: Human Health and Environmental Toxicology. Int. J. Environ. Res. Public Health 2020, 17, 679. [Google Scholar] [CrossRef] [PubMed]
- Valivand, M.; Amooaghaie, R.; Ahadi, A. Interplay between hydrogen sulfide and calcium/calmodulin enhances systemic acquired acclimation and antioxidative defense against nickel toxicity in zucchini. Environ. Exp. Bot. 2019, 158, 40–50. [Google Scholar] [CrossRef]
- Sreekanth, T.V.M.; Nagajyothi, P.C.; Lee, K.D.; Prasad, T.N.V.K.V. Occurrence, physiological responses and toxicity of nickel in plants. Int. J. Environ. Sci. Technol. 2013, 10, 1129–1140. [Google Scholar] [CrossRef]
- Shahzad, B.; Tanveer, M.; Rehman, A.; Alam Cheema, S.; Fahad, S.; Rehman, S.; Sharma, A. Nickel; whether toxic or essential for plants and environment—A review. Plant Physiol. Biochem. 2018, 132, 641–651. [Google Scholar] [CrossRef]
- Yan, A.; Wang, Y.; Tan, S.N.; Yusof, M.L.M.; Ghosh, S.; Chen, Z. Phytoremediation: A Promising Approach for Revegetation of Heavy Metal-Polluted Land. Front. Plant Sci. 2020, 11, 359. [Google Scholar] [CrossRef]
- Luo, J.; Qi, S.; Gu, X.S.; Wang, J.; Xie, X. Evaluation of the phytoremediation effect and environmental risk in remediation processes under different cultivation systems. J. Clean. Prod. 2016, 119, 25–31. [Google Scholar] [CrossRef]
- Manzoor, M.; Gul, I.; Kallarhoff, J. Screening of indigenous ornamental species from different plant families for lead Accumulation Potential exposed to metal gradient in spiked soils. Soil Sed. Contam. 2018, 27, 439–453. [Google Scholar] [CrossRef]
- Yasin, G.; Rehman, R.; Yousaf, M.T.B. Phytoremediation potential of E. comaludensis and M. alba for copper, cadmium and lead absorption in urban areas of Faisalabad city, Pakistan. Int. J. Environ. Res. 2021, 15, 597–612. [Google Scholar] [CrossRef]
- Khan, A.H.A.; Kiyani, A.; Mirza, C.R.; Butt, T.A.; Barros, R.; Ali, B.; Iqbal, M.; Yousaf, S. Ornamental plants for the phytoremediation of heavy metals: Present knowledge and future perspectives. Environ. Res. 2021, 195, 110780. [Google Scholar] [CrossRef] [PubMed]
- Szwalec, A.; Mundała, P.; Kędzior, R. Monitoring and assessment of cadmium, lead, zinc and copper concentrations in arable roadside soils in terms of different traffic conditions. Environ. Monit. Assess. 2020, 192, 1–12. [Google Scholar] [CrossRef] [PubMed]
- Mensah, E.; Kyei-Baffour, N.; Ofori, E.; Obeng, G. Influence of human activities and land use on heavy metal concentrations in irrigated vegetables in Ghana and their health implications. In Appropriate Technologies for Environmental Protection in the Developing World: Selected Papers from ERTEP 2007, 17–19 July 2007, Ghana, Africa; Springer: Berlin/Heidelberg, Germany, 2009; pp. 9–14. [Google Scholar] [CrossRef]
- De-Silva, S.; Ball, A.S.; Huynh, I.; Reichman, S.M. Metal accumulation in roadside soil in Mellbourne, Australia: Effect of road age, traffic density and vehicular speed. Environ. Pollut. 2016, 208, 102–109. [Google Scholar] [CrossRef]
- Khalid, N.; Hussain, M.; Young, S.H. Lead concentrations in soils and some wild plant species along two busy roads in Pa-kistan. Bull. Environ. Contam. Toxicol. 2018, 100, 250–258. [Google Scholar] [CrossRef]
- Umer, S.; Hussain, M.; Arfan, M. Spatio-temporal variations of metals in urban roadside soils and ornamental plant species of Faisalabad metropolitan (Pakistan). Int. J. Environ. Sci. Technol. 2021, 19, 491–6498. [Google Scholar]
- Xu, D.; Shen, Z.; Dou, C.; Dou, Z.; Li, Y.; Gao, Y.; Sun, Q. Effects of soil properties on heavy metal bioavailability and accumulation in crop grains under different farmland use patterns. Sci. Rep. 2022, 12, 9211. [Google Scholar] [CrossRef]
- Ibrahim, A.T.A.; Omer, H.M. Seasonal variation of heavy metals accumulation in muscles of the African Catfish Clarias gariepinus and in River Nile water and sediments at Assiut Governorate, Egypt. J. Biol. Earth Sci. 2013, 3, 236–248. [Google Scholar]
- Kabata-Pendias, H.A.; Mukherjee, A.B. Trace Elements from Soil to Human; Springer: Berlin/Heidelberg, Germany, 2007; pp. 14–27. [Google Scholar] [CrossRef]
- Van der Ent, A.; Baker, A.J.M.; Reeves, R.D.; Pollard, A.J.; Schat, H. Hyperaccumulators of metal and metalloid trace elements: Facts and Fiction. Plant Soil. 2013, 362, 319–334. [Google Scholar] [CrossRef]
- Coakley, S.; Cabill, G.; Enright, A. Cd hyper-accumulation and translocation in Impatiens glandulifera: From foe to friend. Sustainability 2019, 11, 5018. [Google Scholar] [CrossRef]
- Chapman, D.F.; Caradus, J.R. Effects of improved, adapted white clover (Trifolium repens L.) germplasm on the productive properties of a hill pasture. New Zealand J. Agric. Res. 1997, 40, 207–221. [Google Scholar] [CrossRef]
- Islam, M.S.; Ahmad, M.K.; Raknuzzaman, M. Heavy metal pollution in surface water and sediment: A preliminary assessment of an urban river in a developing country. Ecol. Ind. 2015, 48, 282–291. [Google Scholar] [CrossRef]
- Rolli, N.M.; Gadi, S.B.; Giraddi, T.P. Bioindicators: Study on Uptake and Accumulation of Heavy Metals in Plant Leaves of State Highway Road, Bagalkot, India. J. Agric. Ecol. Res. Int. 2016, 6, 1–8. [Google Scholar] [CrossRef]
- Al-Shayeb, S.M.; Seaward, M. Heavy metal content of roadside soils along the ring road in Riyadh (Saudi Arabia). Asian J. Chem. 2001, 13, 407–423. [Google Scholar]
- Aydinalp, C.; Marinova, S. Lead in particulate deposits and in leaves of roadside plants in Turkey. Polish J. Environ. Studies 2004, 13, 233–235. [Google Scholar]
- Grigorates, T.; Martini, G. Brake wear particle emissions: A Review. Environ. Sci. Pollut. Res. 2014, 22, 2491–2504. [Google Scholar] [CrossRef] [PubMed]
- Amato, F. Vehicle Non-Exhaust Emissions Impact on Air Quality Problem for Public Health, 1st ed.; Elsevier: Amsterdam, The Netherlands, 2018; pp. 21–65. [Google Scholar]
- Iwegbue, C.; Bassey, F.; Tesi, G.; Nwajei, G.; Tsafe, A. Assessment of Heavy Metal Contamination in Soils around Cassava Processing Mills in Sub- Urban Areas of Delta State, Southern Nigeria. Niger. J. Basic Appl. Sci. 2013, 21, 96–104. [Google Scholar] [CrossRef]
- Hjortenkrans, D.S.T.; Bergback, B.G.; Haggerud, A.V. Metal emissions from brake linings and tires: Case studies of Stockholm, Sweden 1995/1998 and 2005. Environ. Sci. Technol. 2007, 41, 5224–5230. [Google Scholar] [CrossRef] [PubMed]
- Adamiec, E.; Jarosz-Krzemińska, E.; Wieszała, R. Heavy metals from non-exhaust vehicle emissions in urban and motorway road dusts. Environ. Monit. Assess. 2016, 188, 369. [Google Scholar] [CrossRef]
- Christoforidis, A.; Stamatis, H. Heavy metal contamination in street dust and roadside soil along the major national road in Kavala’s region. Greece. Geoderma 2009, 151, 257–263. [Google Scholar] [CrossRef]
- Naveed, N.H.; Batool, A.I.; Rehman, F.U.; Hameed, U. Leaves of roadside plants as bioindicator of traffic related lead pollution during different seasons in Sargodha Pakistan. Afr. J. Environ. Sci. Technol. 2010, 11, 770–774. [Google Scholar]
- Khan, S.; Khan, M.; Rehman, S. Lead and Cadmium Contamination of Different Roadside Soils and Plants in Peshawar City, Pakistan. Pedosphere 2011, 21, 351–357. [Google Scholar] [CrossRef]
- Badr, N.; Fawzy, M.; Al-Qahtani, K. Phytoremediation: An ecological solution to heavy metal polluted soil and evaluation of plant removal ability. World Appl. Sci. J. 2012, 16, 1292–1301. [Google Scholar]
- Pandey, V.C. Phytoremediation efficiency of Eichhornia crassipes in fly ash pond. Int. J. Phytorem. 2016, 18, 450–452. [Google Scholar] [CrossRef]
- Cheng, S. Heavy metals in plants and phytoremediation. Environ. Sci. Pollut. Res. 2003, 10, 335–340. [Google Scholar] [CrossRef]
- Sharma, P.K.; Agerwal, M.; Marshall, F.M. Heavy metal (Cu, Zn, Cd and Pb) contamination of vegetables in Urban India: A case study in Varanasi. Environ. Pollut. 2008, 154, 254–263. [Google Scholar] [CrossRef] [PubMed]
- Alexander, P.; Alloway, B.; Dourado, A. Genotypic variations in the accumulation of Cd, Cu, Pb and Zn exhibited by six commonly grown vegetables. Environ. Pollut. 2006, 144, 736–745. [Google Scholar] [CrossRef] [PubMed]

| Months | January | February | March | April | May | June | July | August | September | October | November | December |
|---|---|---|---|---|---|---|---|---|---|---|---|---|
| AHT (°C) | 21 | 23.8 | 29.5 | 36.4 | 41.7 | 44.3 | 42.5 | 40.2 | 38.7 | 35.4 | 28.6 | 23.3 |
| ALT (°C) | 8.3 | 10.4 | 14.9 | 22.1 | 28.5 | 32.3 | 33 | 30.8 | 26.9 | 22.5 | 16.5 | 11.2 |
| AH (%) | 47 | 50 | 46 | 29 | 20 | 22 | 35 | 43 | 39 | 30 | 29 | 32 |
| ALH (h/min) | 10/22 | 11/5 | 11/59 | 12/57 | 13/46 | 14/10 | 13/58 | 13/16 | 12/22 | 11/25 | 10/35 | 10/9 |
| Towns | Bio-Accumulation Factor in Plants | |||||||
|---|---|---|---|---|---|---|---|---|
| D. sissoo | C. erectus | B. nobilis | B. spectabilis | F. benjamina | A. scholaris | A. indica | W. filifera | |
| Jinnah town | 0.95 | 1.13 | 0.95 | 0.79 | 0.99 | 0.87 | 0.89 | 1.10 |
| Iqbal town | 1.29 | 1.34 | 1.24 | 0.81 | 1.18 | 1.09 | 0.94 | 1.15 |
| Lyallpur town | 0.99 | 1.02 | 0.94 | 0.92 | 0.96 | 0.87 | 0.71 | 0.91 |
| Madina town | 1.17 | 1.35 | 1.24 | 1.18 | 1.02 | 1.04 | 0.84 | 1.03 |
| Towns | Plants | |||||||
|---|---|---|---|---|---|---|---|---|
| D. sissoo | C. erectus | B. nobilis | B. spectabilis | F. benjamina | A. scholaris | A. indica | W. filifera | |
| Jinnah town | 0.76 | 0.61 | 0.49 | 0.91 | 0.55 | 0.72 | 0.67 | 0.52 |
| Iqbal town | 0.90 | 0.79 | 0.63 | 0.64 | 0.61 | 0.62 | 0.52 | 0.44 |
| Lyallpur town | 0.70 | 0.69 | 0.69 | 0.55 | 0.76 | 0.51 | 0.51 | 0.50 |
| Madina town | 0.93 | 0.73 | 0.79 | 0.57 | 0.74 | 0.66 | 0.58 | 0.47 |
| Plants | Jinnah Town | Iqbal Town | Lyallpur Town | Madina Town | Cd in Plant Species |
|---|---|---|---|---|---|
| C. erectus | 9.51 ± 0.12 | 8.74 ± 0.1 | 8.53 ± 0.04 | 9.2 ± 0.08 | 8.99 a ± 0.12 |
| D. sissoo | 8.0 ± 0.12 | 8.42 ± 0.11 | 8.29 ± 0.12 | 7.96 ± 0.11 | 8.17 ab ± 0.33 |
| B. nobilis | 8 ± 0.11 | 8.08 ± 0.21 | 7.9 ± 0.11 | 8.43 ± 0.14 | 8.1 ab ± 0.34 |
| W. filifera | 9.2 ± 0.45 | 7.49 ± 0.02 | 7.62 ± 0.12 | 6.99 ± 0.27 | 7.82 ab ± 0.11 |
| F. benjamina | 8.35 ± 0.23 | 7.67 ± 0.41 | 8.05 ± 0.11 | 6.92 ± 0.12 | 7.75 ab ± 0.41 |
| A. scholaris | 7.33 ± 0.11 | 7.12 ±0.23 | 7.33 ± 0.12 | 7.08 ± 0.13 | 7.21 bc ± 0.12 |
| B. spectabilis | 6.67 ±0.01 | 5.3 ± 0.12 | 7.76 ± 0.45 | 8.05 ± 0.37 | 6.94 bc± 0.33 |
| A. indica | 7.52 ±0.01 | 6.11 ±0.14 | 6 ± 0.12 | 5.71 ± 0.12 | 6.33 c ± 0.14 |
| Cd in towns | 8.07± 0.12 | 7.36 ± 0.11 | 7.68 ± 0.33 | 7.54 ± 0.12 |
| Plants | Jinnah Town | Iqbal Town | Lyallpur Town | Madina Town | Ni in Plant Species |
|---|---|---|---|---|---|
| D. sissoo | 39.25 ± 1.23 | 43.50 ± 1.02 | 34.08 ± 1.25 | 52.50 ± 2.10 | 42.33 a ± 0.12 |
| C. erectus | 31.58 ± 1.01 | 38.33 ± 1.01 | 33.42 ± 1.21 | 40.83 ± 1.21 | 36.04 b ± 0.12 |
| B. nobilis | 25.66 ± 1.02 | 30.66 ± 0.12 | 36.50 ± 2.11 | 44.21 ± 1.23 | 34.27 b ± 0.14 |
| B. spectabilis | 47.01 ± 1.01 | 31.08 ± 1.02 | 26.76 ± 1.01 | 32.01 ± 1.50 | 34.21 b ± 0.12 |
| F. benjamina | 28.66 ± 2.10 | 29.66 ± 2.10 | 37.01 ± 1.02 | 41.66 ± 3.56 | 34.25 b ± 0.11 |
| A. scholaris | 37.25 ± 1.20 | 30.33 ± 1.02 | 24.66 ± 2.31 | 37.25 ± 4.10 | 32.37 bc ± 0.12 |
| A. indica | 34.75 ± 1.41 | 25.25 ± 2.12 | 24.83 ± 2.10 | 32.42 ± 2.31 | 29.19 c ± 0.12 |
| W. filifera | 27.25 ± 1.01 | 21.25 ± 0.59 | 24.25 ± 2.15 | 26.42 ± 1.21 | 25.29 c ± 0.11 |
| Ni in towns | 33.92 ± 0.12 | 31.26 ±0.74 | 30.19 ± 2.41 | 38.41 ± 0.12 |
Disclaimer/Publisher’s Note: The statements, opinions and data contained in all publications are solely those of the individual author(s) and contributor(s) and not of MDPI and/or the editor(s). MDPI and/or the editor(s) disclaim responsibility for any injury to people or property resulting from any ideas, methods, instructions or products referred to in the content. |
© 2023 by the authors. Licensee MDPI, Basel, Switzerland. This article is an open access article distributed under the terms and conditions of the Creative Commons Attribution (CC BY) license (https://creativecommons.org/licenses/by/4.0/).
Share and Cite
Umer, S.; Abbas, Z.; Aziz, I.; Hanif, M.; Abideen, Z.; Mansoor, S.; Hamid, N.; Ali, M.A.; Al-Hemaid, F.M. Potential of Ornamental Trees to Remediate Trace Metal Contaminated Soils for Environmental Safety and Urban Green Space Development. Sustainability 2023, 15, 8963. https://doi.org/10.3390/su15118963
Umer S, Abbas Z, Aziz I, Hanif M, Abideen Z, Mansoor S, Hamid N, Ali MA, Al-Hemaid FM. Potential of Ornamental Trees to Remediate Trace Metal Contaminated Soils for Environmental Safety and Urban Green Space Development. Sustainability. 2023; 15(11):8963. https://doi.org/10.3390/su15118963
Chicago/Turabian StyleUmer, Shamim, Zaheer Abbas, Irfan Aziz, Maria Hanif, Zainul Abideen, Simeen Mansoor, Neelofar Hamid, Mohammad Ajmal Ali, and Fahad M. Al-Hemaid. 2023. "Potential of Ornamental Trees to Remediate Trace Metal Contaminated Soils for Environmental Safety and Urban Green Space Development" Sustainability 15, no. 11: 8963. https://doi.org/10.3390/su15118963
APA StyleUmer, S., Abbas, Z., Aziz, I., Hanif, M., Abideen, Z., Mansoor, S., Hamid, N., Ali, M. A., & Al-Hemaid, F. M. (2023). Potential of Ornamental Trees to Remediate Trace Metal Contaminated Soils for Environmental Safety and Urban Green Space Development. Sustainability, 15(11), 8963. https://doi.org/10.3390/su15118963

