Influences of 13 Years New Conservation Management on Labile Soil Organic Carbon and Carbon Sequestration in Aggregates in Northeast China
Abstract
1. Introduction
2. Materials and Methods
2.1. Experimental Site
2.2. Field Experimental Treatment
2.3. Soil Sampling
2.4. Soil Aggregate Size Fractionation
- Ai: The percentage of each water stable aggregate
- Mi: The mass of each soil aggregate
- M: The total mass of soil
- n: The number of groups of soil aggregate
- xi: The average diameter of soil aggregate
- wi: The mass of soil aggregate
2.5. Soil Analysis
- C1: C fraction in soil with treatment
- C0: C fraction in soil without any treatment
- Mi: The percentage of different aggregates size class (%)
- Corg i: The contents of organic carbon in different aggregates size class (g·kg−1)
- Bd: The volume weight of soil (g·cm−3)
- H: The height of soil depth (cm)
2.6. Statistical Methods
3. Results
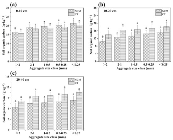
3.1. Soil Organic Carbon
3.2. Soil Organic Carbon Fractions
3.3. Soil Aggregate Distribution, Stabilty and Organic Carbon Storage
4. Discussion
4.1. The Influence of Tillage Management on Soil Organic Carbon and Labile Soil Organic Carbon Fractions
4.2. The Influence of Tillage Management on Aggregate-Size Distribution, Stabilty and Soil Aggregate Organic Carbon Storage
5. Conclusions
Author Contributions
Funding
Institutional Review Board Statement
Informed Consent Statement
Data Availability Statement
Acknowledgments
Conflicts of Interest
References
- Sun, X.; Xiang, P.; Cong, K. Research on early warning and control measures for arable land resource security. Land Use Policy 2023, 128, 106601. [Google Scholar] [CrossRef]
- Zhang, Y.; Li, X.; Gregorich, E.G.; McLaughlin, N.B.; Zhang, X.; Guo, Y.; Liang, A.; Fan, R.; Sun, B. No-tillage with continuous maize cropping enhances soil aggregation and organic carbon storage in Northeast China. Geoderma 2018, 330, 204–211. [Google Scholar] [CrossRef]
- Liu, Y.; Liu, X.; Liu, Z. Effects of climate change on paddy expansion and potential adaption strategies for sustainable agriculture development across Northeast China. Appl. Geogr. 2022, 141, 102667. [Google Scholar] [CrossRef]
- Han, C.; Song, M.; Tang, Q.; Wei, J.; He, X.; Collins, A.L. Post-farming land restoration schemes exhibit higher soil aggregate stability and organic carbon: Evidence in the Three Gorges Reservoir Area, China. Catena 2023, 227, 107099. [Google Scholar] [CrossRef]
- Uisso, A.M.; Tanrıvermiş, H. Driving factors and assessment of changes in the use of arable land in Tanzania. Land Use Policy 2021, 104, 105359. [Google Scholar] [CrossRef]
- Yan, D.; Wu, S.; Tang, Y.; Zhu, J.; Zhou, S.; Xu, Z. Arable land and water footprints for food consumption in China: From the perspective of urban and rural dietary change. Sci Total Env. 2022, 838 Pt 1, 155749. [Google Scholar] [CrossRef]
- Yu, X.; Qu, J.; Hu, S.; Xu, P.; Chen, Z.; Gao, J.; Ma, D. The effect of tillage methods on soil physical properties and maize yield in Eastern Inner Mongolia. Eur. J. Agron. 2023, 147, 126852. [Google Scholar] [CrossRef]
- Zhang, S.; Chen, X.; Jia, S.; Liang, A.; Zhang, X.; Yang, X.; Wei, S.; Sun, B.; Huang, D.; Zhou, G. The potential mechanism of long-term conservation tillage effects on maize yield in the black soil of Northeast China. Soil Tillage Res. 2015, 154, 84–90. [Google Scholar] [CrossRef]
- Maillard, É.; McConkey, B.G.; Luce, M.S.; Angers, D.A.; Fan, J. Crop rotation, tillage system, and precipitation regime effects on soil carbon stocks over 1 to 30 years in Saskatchewan, Canada. Soil Tillage Res. 2018, 177, 97–104. [Google Scholar] [CrossRef]
- Yao, Y.; Shen, X.; Wang, L.; Zhao, J.; Gong, L.; Wang, S.; Wu, L.; Li, G.; Xiu, W.; Zhang, G. Effects of tillage management on cbbL-carrying bacteria and soil organic carbon dynamics across aggregate size classes in the farmland of North China Plain. Ecol. Indic. 2023, 150, 110213. [Google Scholar] [CrossRef]
- Geraei, D.S.; Hojati, S.; Landi, A.; Cano, A.F. Total and labile forms of soil organic carbon as affected by land use change in southwestern Iran. Geoderma Reg. 2016, 7, 29–37. [Google Scholar] [CrossRef]
- Garcia-Franco, N.; Wiesmeier, M.; Colocho Hurtarte, L.C.; Fella, F.; Martínez-Mena, M.; Almagro, M.; Martínez, E.G.; Kögel-Knabner, I. Pruning residues incorporation and reduced tillage improve soil organic matter stabilization and structure of salt-affected soils in a semi-arid Citrus tree orchard. Soil Tillage Res. 2021, 213, 105129. [Google Scholar] [CrossRef]
- Six, J.; Elliott, E.T.; Paustian, K.; Doran, J.W. Aggregation and soil organic matter accumulation in cultivated and native grassland soils. Soil Sci. Soc. Am. J. 1998, 62, 1367–1377. [Google Scholar] [CrossRef]
- Sun, P.; Liu, H.; Feng, M.B.; Guo, L.; Zhai, Z.C.; Fang, Y.S.; Zhang, X.S.; Sharma, V.K. Nitrogen-sulfur co-doped industrial graphene as an efficient peroxymonosulfate activator: Singlet oxygen-dominated catalytic degradation of organic contaminants. Appl. Catal. B Environ. 2019, 251, 335–345. [Google Scholar] [CrossRef]
- Ghani, A.; Dexter, M.; Perrott, K.W. Hot-water extractable carbon in soils: A sensitive measurement for determining impacts of fertilisation, grazing and cultivation. Soil Biol. Biochem. 2003, 35, 1231–1243. [Google Scholar] [CrossRef]
- Cates, A.M.; Ruark, M.D.; Hedtcke, J.L.; Posner, J.L. Long-term tillage, rotation and perennialization effects on particulate and aggregate soil organic matter. Soil Tillage Res. 2016, 155, 371–380. [Google Scholar] [CrossRef]
- Lei, W.; Pan, Q.; Teng, P.; Yu, J.; Li, N. How does soil organic matter stabilize with soil and environmental variables along a black soil belt in Northeast China? An explanation using FTIR spectroscopy data. Catena 2023, 228, 107152. [Google Scholar] [CrossRef]
- Zhao, Z.; Dong, P.; Fu, B.; Wu, D.; Zhao, Z. Soil organic carbon distribution and factors affecting carbon accumulation in natural and plantation forests in tropical China. Ecol. Indic. 2023, 148, 110127. [Google Scholar] [CrossRef]
- Ramírez, P.B.; Calderón, F.J.; Fonte, S.J.; Bonilla, C.A. Environmental controls and long-term changes on carbon stocks under agricultural lands. Soil Tillage Res. 2019, 186, 310–321. [Google Scholar] [CrossRef]
- Hou, T.; Berry, T.D.; Singh, S.; Hughes, M.N.; Tong, Y.; Thanos Papanicolaou, A.N.; Wacha, K.M.; Wilson, C.G.; Chaubey, I.; Filley, T.R. Control of tillage disturbance on the chemistry and proportion of raindrop-liberated particles from soil aggregates. Geoderma 2018, 330, 19–29. [Google Scholar] [CrossRef]
- Xia, C.; Zhang, Y. Comparison of the use of Landsat 8, Sentinel-2, and Gaofen-2 images for mapping soil pH in Dehui, northeastern China. Ecol. Inform. 2022, 70, 101705. [Google Scholar] [CrossRef]
- Liu, D.; Wang, Z.; Zhang, B.; Song, K.; Li, X.; Li, J.; Li, F.; Duan, H. Spatial distribution of soil organic carbon and analysis of related factors in croplands of the black soil region, Northeast China. Agric. Ecosyst. Environ. 2006, 113, 73–81. [Google Scholar] [CrossRef]
- Nath, A.J.; Lal, R. Effects of Tillage Practices and Land Use Management on Soil Aggregates and Soil Organic Carbon in the North Appalachian Region, USA. Pedosphere 2017, 27, 172–176. [Google Scholar] [CrossRef]
- Zhang, X.; Shen, S.; Xue, S.; Hu, Y.; Wang, X. Long-term tillage and cropping systems affect soil organic carbon components and mineralization in aggregates in semiarid regions. Soil Tillage Res. 2023, 231, 105742. [Google Scholar] [CrossRef]
- Zhang, X.L.; Zhao, Y.Y.; Zhang, X.T.; Shi, X.P.; Shi, X.Y.; Li, F.M. Re-used mulching of plastic film is more profitable and environmentally friendly than new mulching. Soil Tillage Res. 2022, 216, 105256. [Google Scholar] [CrossRef]
- Vance, E.D.; Brookes, P.C.; Jenkinson, D.S. Microbial biomass measurements in forest soils: Determination of kC values and tests of hypotheses to explain the failure of the chloroform fumigation-incubation method in acid soils. Soil Biol. Biochem. 1987, 19, 689–696. [Google Scholar] [CrossRef]
- Wang, X.; Yu, D.; Wang, C.; Pan, Y.; Pan, J.; Shi, X. Variations in cropland soil organic carbon fractions in the black soil region of China. Soil Tillage Res. 2018, 184, 93–99. [Google Scholar] [CrossRef]
- Vieira, F.C.B.; Bayer, C.; Zanatta, J.A.; Dieckow, J.; Mielniczuk, J.; He, Z.L. Carbon management index based on physical fractionation of soil organic matter in an Acrisol under long-term no-till cropping systems. Soil Tillage Res. 2007, 96, 195–204. [Google Scholar] [CrossRef]
- Jones, D.; Willett, V. Experimental evaluation of methods to quantify dissolved organic nitrogen (DON) and dissolved organic carbon (DOC) in soil. Soil Biol. Biochem. 2006, 38, 991–999. [Google Scholar] [CrossRef]
- Janzen, H.H.; Campbell, C.A.; Brandt, S.A. Light-Fraction Organic Matter in Soils from Long-Term Crop Rotations. Soil Sci. Soc. Am. J. 1992, 56, 1799–1806. [Google Scholar] [CrossRef]
- Banger, K.; Toor, G.S.; Biswas, A.; Sidhu, S.S.; Sudhir, K. Soil organic carbon fractions after 16-years of applications of fertilizers and organic manure in a Typic Rhodalfs in semi-arid tropics. Nutr. Cycl. Agroecosystems 2009, 86, 391–399. [Google Scholar] [CrossRef]
- Wang, Q.; Wang, Y.; Wang, Q.; Liu, J. Impacts of 9 years of a new conservational agricultural management on soil organic carbon fractions. Soil Tillage Res. 2014, 143, 1–6. [Google Scholar] [CrossRef]
- Wright, A.L.; Hons, F.M.; Matocha, J.E., Jr. Tillage impacts on microbial biomass and soil carbon and nitrogen dynamics of corn and cotton rotations. Appl. Soil Ecol. 2005, 29, 85–92. [Google Scholar] [CrossRef]
- Blancocanqui, H.; Stone, L.R.; Schlegel, A.J.; Lyon, D.J.; Vigil, M.F.; Mikha, M.M.; Stahlman, P.W.; Rice, C.W. No-till induced increase in organic carbon reduces maximum bulk density of soils. Soil Sci. Soc. Am. J. 2009, 73, 1871–1879. [Google Scholar] [CrossRef]
- Qin, S.; Hu, C.; He, X.; Dong, W.; Cui, J.; Wang, Y. Soil organic carbon, nutrients and relevant enzyme activities in particle-size fractions under conservational versus traditional agricultural management. Appl. Soil Ecol. 2010, 45, 152–159. [Google Scholar] [CrossRef]
- Arshad, M.A.; Schnitzer, M.; Angers, D.A.; Ripmeester, J.A. Effects of till vs no-till on the quality of soil organic-matter. Soil Biol. Biochem. 1990, 22, 595–599. [Google Scholar]
- Mayer, M.; Krause, H.-M.; Fliessbach, A.; Mäder, P.; Steffens, M. Fertilizer quality and labile soil organic matter fractions are vital for organic carbon sequestration in temperate arable soils within a long-term trial in Switzerland. Geoderma 2022, 426, 116080. [Google Scholar] [CrossRef]
- Steffens, M.; Kölbl, A.; Kögel-Knabner, I. Alteration of soil organic matter pools and aggregation in semi-arid steppe topsoils as driven by organic matter input. Eur. J. Soil Sci. 2009, 60, 198–212. [Google Scholar] [CrossRef]
- Dossou-Yovo, E.R.; Brüggemann, N.; Ampofo, E.; Igue, A.M.; Jesse, N.; Huat, J.; Agbossou, E.K. Combining no-tillage, rice straw mulch and nitrogen fertilizer application to increase the soil carbon balance of upland rice field in northern Benin. Soil Tillage Res. 2016, 163, 152–159. [Google Scholar] [CrossRef]
- Zhang, X.; Wang, J.; Feng, X.; Yang, H.; Li, Y.; Yakov, K.; Liu, S.; Li, F.-M. Effects of tillage on soil organic carbon and crop yield under straw return. Agric. Ecosyst. Environ. 2023, 354, 108543. [Google Scholar] [CrossRef]
- Laudicina, V.A.; Novara, A.; Barbera, V.; Egli, M.; Badalucco, L. Long-Term Tillage and Cropping System Effects on Chemical and Biochemical Characteristics of Soil Organic Matter in a Mediterranean Semiarid Environment. Land Degrad. Dev. 2015, 26, 45–53. [Google Scholar] [CrossRef]
- Chen, H.; Hou, R.; Gong, Y.; Li, H.; Fan, M.; Kuzyakov, Y. Effects of 11 years of conservation tillage on soil organic matter fractions in wheat monoculture in Loess Plateau of China. Soil Tillage Res. 2009, 106, 85–94. [Google Scholar] [CrossRef]
- Shrestha, B.M.; Singh, B.R.; Sitaula, B.K.; Lal, R.; Bajracharya, R.M. Soil Aggregate- and Particle-Associated Organic Carbon under Different Land Uses in Nepal. Soil Sci. Soc. Am. J. 2007, 71, 1194. [Google Scholar] [CrossRef]
- Polláková, N.; Šimanský, V.; Kravka, M. The influence of soil organic matter fractions on aggregates stabilization in agricultural and forest soils of selected Slovak and Czech hilly lands. J. Soils Sediments 2017, 18, 2790–2800. [Google Scholar] [CrossRef]
- Jastrow, J.D. Soil aggregate formation and the accrual of particulate and mineral-associated organic matter. Soil Biol. Biochem. 1996, 28, 665–676. [Google Scholar] [CrossRef]
- Piazza, G.; Pellegrino, E.; Moscatelli, M.C.; Ercoli, L. Long-term conservation tillage and nitrogen fertilization effects on soil aggregate distribution, nutrient stocks and enzymatic activities in bulk soil and occluded microaggregates. Soil Tillage Res. 2020, 196, 104482. [Google Scholar] [CrossRef]





| Management | MBC | EOC | WSOC | LFOC |
|---|---|---|---|---|
| (mg·kg−1) | (mg·kg−1) | (mg·kg−1) | (mg·kg−1) | |
| NCM | 331.0 | 1155 | 259.3 | 3749 |
| CT | 262.3 | 1083 | 232.5 | 2159 |
| Soil Depths | Treatments | Macroaggregate (%) | Microaggregate (%) |
|---|---|---|---|
| >0.25 mm | <0.25 mm | ||
| 0–10 cm | NCM | 49.6 a | 50.4 b |
| CT | 37.1 b | 62.9 a | |
| 10–20 cm | NCM | 41.2 a | 58.8 a |
| CT | 43.7 a | 56.3 a | |
| 20–40 cm | NCM | 34.2 a | 65.8 a |
| CT | 30.8 a | 69.2 a |
| Soil Depths | Treatments | MWD |
|---|---|---|
| 0–10 cm | NCM | 0.48 a |
| CT | 0.41 b | |
| 10–20 cm | NCM | 0.42 a |
| CT | 0.43 a | |
| 20–40 cm | NCM | 0.40 a |
| CT | 0.38 a |
| Soil Depths | Treatments | Soil Aggregates | ||||
|---|---|---|---|---|---|---|
| >2 mm | 2–1 mm | 1–0.5 mm | 0.5–0.25 mm | <0.25 mm | ||
| 0–10 cm | NCM | 57.3 ± 1.5 a | 51.8 ± 1.4 a | 620.4 ± 78.1 a | 551.6 ± 66.2 a | 1346.7 ± 157.9 b |
| CT | 32.2 ± 0.4 a | 29.3 ± 1.1 a | 474.5 ± 4.7 b | 402.5 ± 1.8 a | 1654.3 ± 1.6 a | |
| 10–20 cm | NCM | 24.0 ± 3.9 a | 19.9 ± 5.0 a | 382.8 ± 14.6 b | 341.5 ± 13.1 b | 1209.6 ± 41.6 a |
| CT | 38.1 ± 2.2 a | 34.5 ± 1.3 a | 516.6 ± 4.1 a | 438.1 ± 4.9 a | 1281.1 ± 75.5 a | |
| 20–40 cm | NCM | 24.9 ± 6.2 a | 26.6 ± 4.2 a | 370.7 ± 55.0 a | 314.4 ± 46.7 a | 1471.4 ± 120.6 b |
| CT | 30.0 ± 0.8 a | 26.5 ± 0.2 a | 430.0 ± 2.0 a | 364.6 ± 12.8 a | 1988.6 ± 16.5 a | |
Disclaimer/Publisher’s Note: The statements, opinions and data contained in all publications are solely those of the individual author(s) and contributor(s) and not of MDPI and/or the editor(s). MDPI and/or the editor(s) disclaim responsibility for any injury to people or property resulting from any ideas, methods, instructions or products referred to in the content. |
© 2023 by the authors. Licensee MDPI, Basel, Switzerland. This article is an open access article distributed under the terms and conditions of the Creative Commons Attribution (CC BY) license (https://creativecommons.org/licenses/by/4.0/).
Share and Cite
Yang, Y.; Kang, Z.; Xu, G.; Cui, Z.; Yu, Y.; Wang, Y.; Lu, Y. Influences of 13 Years New Conservation Management on Labile Soil Organic Carbon and Carbon Sequestration in Aggregates in Northeast China. Sustainability 2023, 15, 8570. https://doi.org/10.3390/su15118570
Yang Y, Kang Z, Xu G, Cui Z, Yu Y, Wang Y, Lu Y. Influences of 13 Years New Conservation Management on Labile Soil Organic Carbon and Carbon Sequestration in Aggregates in Northeast China. Sustainability. 2023; 15(11):8570. https://doi.org/10.3390/su15118570
Chicago/Turabian StyleYang, Yang, Zhichao Kang, Guanghui Xu, Zhengwu Cui, Yong Yu, Yang Wang, and Yongzheng Lu. 2023. "Influences of 13 Years New Conservation Management on Labile Soil Organic Carbon and Carbon Sequestration in Aggregates in Northeast China" Sustainability 15, no. 11: 8570. https://doi.org/10.3390/su15118570
APA StyleYang, Y., Kang, Z., Xu, G., Cui, Z., Yu, Y., Wang, Y., & Lu, Y. (2023). Influences of 13 Years New Conservation Management on Labile Soil Organic Carbon and Carbon Sequestration in Aggregates in Northeast China. Sustainability, 15(11), 8570. https://doi.org/10.3390/su15118570
