The Impacts of China’s Resident Tourism Subsidy Policy on the Economy and Air Pollution Emissions
Abstract
1. Introduction
2. Methods
2.1. CGE Model
2.2. Tourism Module
2.3. Emission Inventory
2.4. Resident Tourism Subsidy Scenarios
3. National and Sectoral Economic Impacts
4. Air Pollution Emission Impacts
4.1. National Air Pollution Emission Changes
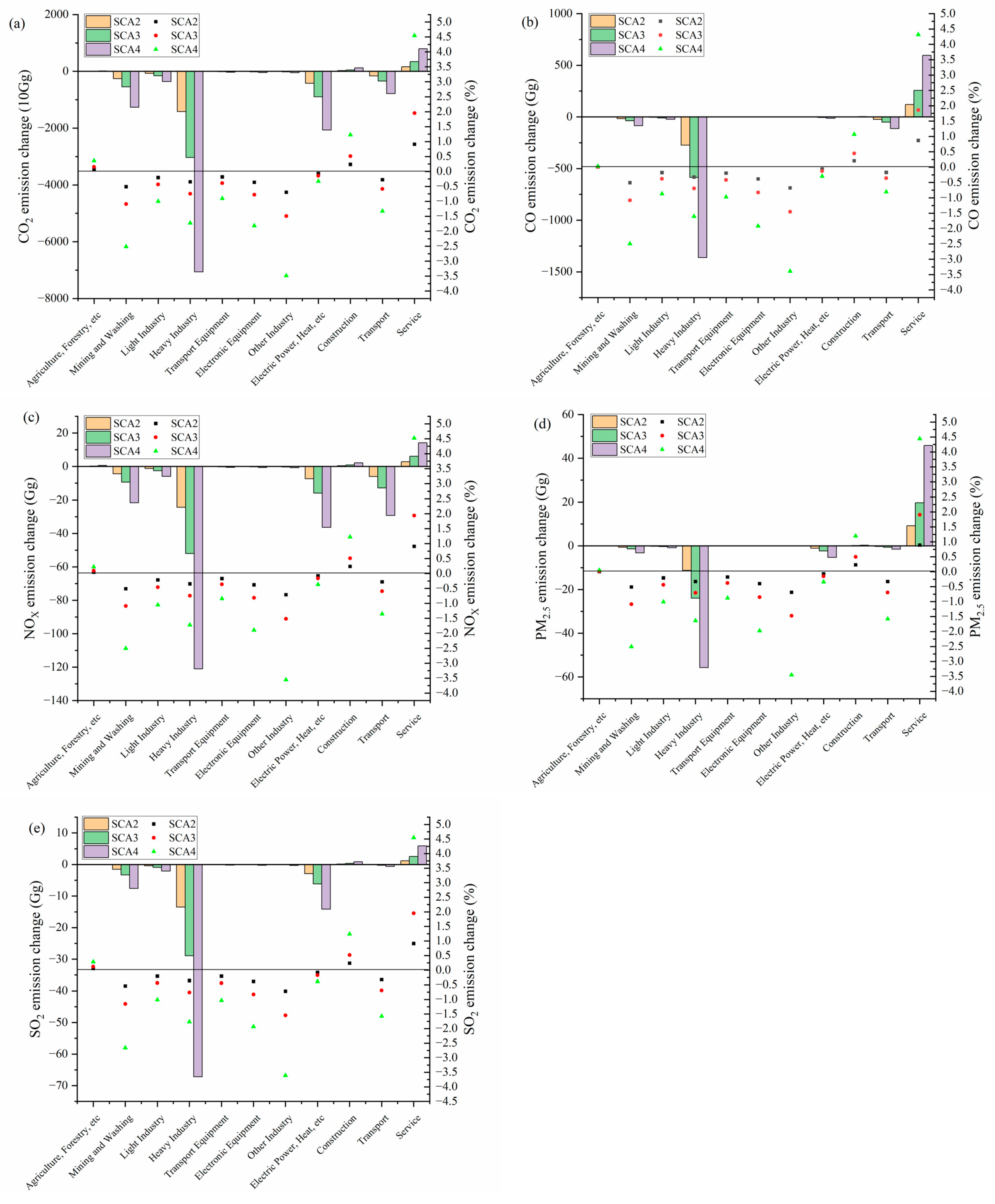
4.2. Sectoral Emission Changes
4.3. Provincial Emission Changes
5. Discussion
6. Conclusions
Supplementary Materials
Author Contributions
Funding
Institutional Review Board Statement
Informed Consent Statement
Data Availability Statement
Conflicts of Interest
References
- Newell, P.; Mulvaney, D. The political economy of the ‘just transition’. Geogr. J. 2013, 179, 132–140. [Google Scholar] [CrossRef]
- Evans, G.; Phelan, L. Transition to a post-carbon society: Linking environmental justice and just transition discourses. Energy Policy 2016, 99, 329–339. [Google Scholar] [CrossRef]
- Dalglish, C.; Leslie, A.; Brophy, K.; Macgregor, G. Justice, development and the land: The social context of Scotland’s energy transition. Landsc. Res. 2018, 43, 517–528. [Google Scholar] [CrossRef]
- Snell, D. ‘Just transition’? Conceptual challenges meet stark reality in a ‘transitioning’ coal region in Australia. Globalizations 2018, 15, 550–564. [Google Scholar] [CrossRef]
- Cock, J. Resistance to coal inequalities and the possibilities of a just transition in South Africa. Dev. South. Afr. 2019, 36, 860–873. [Google Scholar] [CrossRef]
- Harrahill, K.; Douglas, O. Framework development for ‘just transition’ in coal producing jurisdictions. Energy Policy 2019, 134, 110990. [Google Scholar] [CrossRef]
- Cha, J.M. A just transition for whom? Politics, contestation, and social identity in the disruption of coal in the Powder River Basin. Energy Res. Soc. Sci. 2020, 69, 101657. [Google Scholar] [CrossRef]
- Moodie, J.; Tapia, C.; Löfving, L.; Gassen, N.S.; Cedergren, E. Towards a Territorially Just Climate Transition—Assessing the Swedish EU Territorial Just Transition Plan Development Process. Sustainability 2021, 13, 7505. [Google Scholar] [CrossRef]
- Wu, P.; Shi, P. An estimation of energy consumption and CO2 emissions in tourism sector of China. J. Geogr. Sci. 2011, 21, 733–745. [Google Scholar] [CrossRef]
- Wang, K.; Li, J.; Xi, J. Linking between Carbon Dioxide Emission and Tourism Economic Growth in China. Tour. Trib. 2014, 29, 24–33. [Google Scholar]
- Yu, X.; Tian, G.; Sun, X.; Lai, C. Contribution of Tourism to National Economy Based on Input-output Model. World Sci.-Tech. R D 2014, 36, 432–438. [Google Scholar]
- Shi, P.H. On the Evaluation of Regional Development of China’s Tourism Employment. Tour. Trib. 2003, 18, 45–51. [Google Scholar]
- Li, L.; Li, J.; Tang, L.; Wang, S. Balancing Tourism’s Economic Benefit and CO2 Emissions: An Insight from Input–Output and Tourism Satellite Account Analysis. Sustainability 2019, 11, 1052. [Google Scholar] [CrossRef]
- Williams, G. Economic Impacts from Development of the Coastal Town in Queensland on Tourism and Regional Economy. Resources 2016, 5, 48. [Google Scholar] [CrossRef]
- Kronenberg, K.; Fuchs, M.; Lexhagen, M. A multi-period perspective on tourism’s economic contribution—A regional input-output analysis for Sweden. Tour. Rev. 2018, 73, 94–110. [Google Scholar] [CrossRef]
- Cadarso, M.; Gómez, N.; López, L.A.; Tobarra, M.-Á. Calculating tourism’s carbon footprint: Measuring the impact of investments. J. Clean. Prod. 2016, 111, 529–537. [Google Scholar] [CrossRef]
- Camelia, S.; Razvan, S.M.; Zelia, B.; Ana-Irina, D. An Input-Output Approach of CO2 Emissions in Tourism Sector in Post-Communist Romania. In Proceedings of the International Conference Emerging Markets Queries in Finance and Business, Târgu Mureș, Romania, 24–27 October 2012. [Google Scholar]
- Zhou, D.; Yanagida, J.F.; Chakravorty, U.; Leung, P. Estimating economic impacts from tourism. Ann. Tour. Res. 1997, 24, 76–89. [Google Scholar] [CrossRef]
- Berrittella, M.; Bigano, A.; Roson, R.; Tol, R.S. A general equilibrium analysis of climate change impacts on tourism. Tour. Manag. 2006, 27, 913–924. [Google Scholar] [CrossRef]
- Dwyer, L. Computable General Equilibrium Modelling: An Important Tool for Tourism Policy Analysis. Tour. Hosp. Manag.-Croat. 2015, 21, 111–126. [Google Scholar] [CrossRef]
- Blake, A.; Durbarry, R.; Eugenio-Martin, J.L.; Gooroochurn, N.; Hay, B.; Lennon, J.; Sinclair, M.T.; Sugiyarto, G.; Yeoman, I. Integrating forecasting and CGE models: The case of tourism in Scotland. Tour. Manag. 2006, 27, 292–305. [Google Scholar] [CrossRef]
- Inchausti-Sintes, F. Tourism: Economic growth, employment and Dutch Disease. Ann. Tour. Res. 2015, 54, 172–189. [Google Scholar] [CrossRef]
- Ihalanayake, R. Economic effects of tourism tax changes in Australia: Empirical evidence from a computable general equilibrium model. Tour. Econ. 2012, 18, 181–202. [Google Scholar] [CrossRef]
- Meng, X.; Siriwardana, M.; Pham, T. A CGE assessment of Singapore’s tourism policies. Tour. Manag. 2013, 34, 25–36. [Google Scholar] [CrossRef]
- Ponjan, P.; Thirawat, N. Impacts of Thailand’s tourism tax cut: A CGE analysis. Ann. Tour. Res. 2016, 61, 45–62. [Google Scholar] [CrossRef]
- Gilliland, T.E.; Sanchirico, J.N.; Taylor, J.E. Market-driven bioeconomic general equilibrium impacts of tourism on resource-dependent local economies: A case from the western Philippines. J. Environ. Manag. 2020, 271, 110968. [Google Scholar] [CrossRef]
- Njoya, E.T.; Seetaram, N. Tourism Contribution to Poverty Alleviation in Kenya: A Dynamic Computable General Equilibrium Analysis. J. Travel Res. 2018, 57, 513–524. [Google Scholar] [CrossRef]
- Li, S.; Blake, A.; Cooper, C. Modelling the economic impact of international tourism on the Chinese economy: A CGE analysis of the Beijing 2008 Olympics. Tour. Econ. 2011, 17, 279–303. [Google Scholar] [CrossRef]
- Li, S.; Liu, A.; Song, H. Does tourism support supply-side structural reform in China? Tour. Manag. 2018, 71, 305–314. [Google Scholar] [CrossRef]
- Zhang, J.; Zhang, Y. Carbon tax, tourism CO2 emissions and economic welfare. Ann. Tour. Res. 2018, 69, 18–30. [Google Scholar] [CrossRef]
- Zhang, J.; Zhang, Y. Chinese tourism economic change under carbon tax scenarios. Curr. Issues Tour. 2020, 23, 836–851. [Google Scholar] [CrossRef]
- Schubert, S.F.; Brida, J.G. Dynamic effects of subsidizing the tourism sector. Tour. Econ. 2008, 14, 57–80. [Google Scholar] [CrossRef]
- Meng, X. Is a Tourism Subsidy the Best Response to the Global Financial Crisis? A Short-run CGE Simulation for Singapore. Asia Pac. J. Tour. Res. 2014, 19, 325–341. [Google Scholar] [CrossRef]
- Meng, S.; Pham, T.; Dwyer, L.; Grant, B. Carbon Price Impacts on the Chinese Tourism Industry. J. Travel Res. 2020, 60, 370–383. [Google Scholar] [CrossRef]
- Bergman, L. A System of Computable General Equilibrium Models for A Small Open-Economy. Math. Model. 1982, 3, 421–435. [Google Scholar] [CrossRef]
- Zhang, X. Principles of Computable General Equilibrium (CGE) Modeling and Programming; Gezhi Publishing House: Shanghai, China, 2010. [Google Scholar]
- Lfgren, H.; Harris, R.L.; Robinson, S. A Standard Computable General Equilibrium (CGE) Model in GAMS; TMD Discussion Papers; International Food Policy Research Institute (IFPRI): Washington, DC, USA, 2001. [Google Scholar]
- Hu, X.; Sun, Y.; Liu, J.; Meng, J.; Wang, X.; Yang, H.; Xu, J.; Yi, K.; Xiang, S.; Li, Y.; et al. The impact of environmental protection tax on sectoral and spatial distribution of air pollution emissions in China. Environ. Res. Lett. 2019, 14, 054013. [Google Scholar] [CrossRef]
- Yang, Q.; Hu, X.; Wang, Y.; Liu, Y.; Liu, J.; Ma, J.; Wang, X.; Wan, Y.; Hu, J.; Zhang, Z.; et al. Comparison of the impact of China’s railway investment and road investment on the economy and air pollution emissions. J. Clean. Prod. 2021, 293, 126100. [Google Scholar] [CrossRef]
- Liu, S. Ten Years Prospect of China’s Economic Growth: Forming a New Normal of Growth in the Process of Reform; China CITIC Press: Beijing, China, 2014. [Google Scholar]
- Zhang, Y.; Ji, X.-R.; Wang, M. Just transition in climate regime: Concept development and governance progress. Progress. Inquisitiones Mutat. Clim. 2021, 17, 245–254. [Google Scholar]
- Jin, C. The Impact of China's Transportation Infrastructure on the National Economy. Master’s Thesis, Beijing Jiaotong University, Beijing, China, 2019. [Google Scholar]





| GDP | EV | Investment | |
|---|---|---|---|
| SCA1 | 823 | 299 | 270 |
| SCA2 | 827 (0.41%) | 303 (1.6%) | 270 (0.032%) |
| SCA3 | 831 (0.90%) | 306 (2.5%) | 270 (0.071%) |
| SCA4 | 841 (2.1%) | 313 (4.8%) | 270 (0.181%) |
| Industry (CNY Million) | Labor | Capital | ||||
|---|---|---|---|---|---|---|
| SCA2 | SCA3 | SCA4 | SCA2 | SCA3 | SCA4 | |
| Agriculture, Forestry, etc. | −24.3 | −52.0 | −120.7 | 4.6 | 9.7 | 21.7 |
| Mining and Washing | −27.7 | −59.1 | −137.0 | −141.7 | −303.7 | −710.1 |
| Light Industry | −17.2 | −36.5 | −83.1 | −77.4 | −166.7 | −395.0 |
| Heavy Industry | −55.4 | −117.9 | −271.2 | −336.8 | −724.5 | −1709.1 |
| Transport Equipment | −7.1 | −15.1 | −34.6 | −13.1 | −28.3 | −67.9 |
| Electronic Equipment | −16.0 | −34.1 | −78.3 | −112.1 | −240.6 | −564.7 |
| Other Industry | −4.5 | −9.5 | −21.9 | −42.6 | −91.8 | −217.3 |
| Electric Power, Heat, etc. | −3.7 | −8.0 | −18.2 | −10.5 | −23.2 | −58.1 |
| Construction | −4.2 | −8.6 | −18.2 | 44.8 | 95.6 | 221.6 |
| Transport | −32.1 | −68.2 | −156.2 | −149.4 | −319.2 | −740.8 |
| Other Service | 192.1 | 408.9 | 939.3 | 836.8 | 1780.3 | 4084.6 |
| (a) | |||||
|---|---|---|---|---|---|
| CO2 | CO | NOX | PM2.5 | SO2 | |
| SCA1 | 12164 | 125 | 21 | 6.43 | 8.20 |
| SCA2 | 12,142 (−0.18%) | 125 (−0.16%) | 21 (−0.19%) | 6.43 (−0.07%) | 8.18 (−0.21%) |
| SCA3 | 12,117 (−0.38%) | 124 (−0.35%) | 21 (−0.40%) | 6.42 (−0.14%) | 8.16 (−0.45%) |
| SCA4 | 12,056 (−0.88%) | 124 (−0.81%) | 21 (−0.93%) | 6.41 (−0.32%) | 8.11 (−1.04%) |
| (b) | |||||
| SCA2 | −95.01 | −0.891 | −0.176 | −0.0184 | −0.0755 |
| SCA3 | −95.35 | −0.894 | −0.177 | −0.0185 | −0.0758 |
| SCA4 | −96.21 | −0.902 | −0.179 | −0.0186 | −0.0767 |
Disclaimer/Publisher’s Note: The statements, opinions and data contained in all publications are solely those of the individual author(s) and contributor(s) and not of MDPI and/or the editor(s). MDPI and/or the editor(s) disclaim responsibility for any injury to people or property resulting from any ideas, methods, instructions or products referred to in the content. |
© 2023 by the authors. Licensee MDPI, Basel, Switzerland. This article is an open access article distributed under the terms and conditions of the Creative Commons Attribution (CC BY) license (https://creativecommons.org/licenses/by/4.0/).
Share and Cite
Zheng, L.; Liu, J.; Yang, Q.; Wang, Y.; Liu, Y.; Hu, X.; Hu, J.; Wan, Y.; Wang, X.; Ma, J.; et al. The Impacts of China’s Resident Tourism Subsidy Policy on the Economy and Air Pollution Emissions. Sustainability 2023, 15, 8351. https://doi.org/10.3390/su15108351
Zheng L, Liu J, Yang Q, Wang Y, Liu Y, Hu X, Hu J, Wan Y, Wang X, Ma J, et al. The Impacts of China’s Resident Tourism Subsidy Policy on the Economy and Air Pollution Emissions. Sustainability. 2023; 15(10):8351. https://doi.org/10.3390/su15108351
Chicago/Turabian StyleZheng, Leyi, Junfeng Liu, Qiong Yang, Yuqing Wang, Ying Liu, Xiurong Hu, Jianying Hu, Yi Wan, Xuejun Wang, Jianmin Ma, and et al. 2023. "The Impacts of China’s Resident Tourism Subsidy Policy on the Economy and Air Pollution Emissions" Sustainability 15, no. 10: 8351. https://doi.org/10.3390/su15108351
APA StyleZheng, L., Liu, J., Yang, Q., Wang, Y., Liu, Y., Hu, X., Hu, J., Wan, Y., Wang, X., Ma, J., Wang, X., & Tao, S. (2023). The Impacts of China’s Resident Tourism Subsidy Policy on the Economy and Air Pollution Emissions. Sustainability, 15(10), 8351. https://doi.org/10.3390/su15108351
