Next Article in Journal
Distributed Control Algorithm for DC Microgrid Using Higher-Order Multi-Agent System
Next Article in Special Issue
Study on the Style Design and Anchoring Mechanism of Enlarged Head Anchors
Previous Article in Journal
Sustainable Cruise Tourism: Systematic Literature Review and Future Research Areas
Previous Article in Special Issue
The Influences of Vacuum–Surcharge Preloading on Pore Water Pressure and the Settlement of a Soft Foundation
 
 
Font Type:
Arial Georgia Verdana
Font Size:
Aa Aa Aa
Line Spacing:
Column Width:
Background:
Article

Evolution and Parametric Analysis of Concrete Temperature Field Induced by Electric Heating Curing in Winter

1
School of Civil Engineering, Shandong Jianzhu University, Jinan 250101, China
2
Key Laboratory of Building Structural Retrofitting and Underground Space Engineering, Ministry of Education, Shandong Jianzhu University, Jinan 250101, China
3
School of Civil Engineering, Shenyang Jianzhu University, Shenyang 110000, China
4
China Railway 14th Bureau Group 2nd Engineering Co., Ltd., Tai’an 271000, China
5
Science and Technology Service Platform, Shandong Academy of Sciences, Qilu University of Technology, Jinan 250353, China
6
State Key Laboratory of Hydraulic Engineering Simulation and Safety, Tianjin University, Tianjin 300072, China
*
Authors to whom correspondence should be addressed.
Sustainability 2023, 15(10), 8337; https://doi.org/10.3390/su15108337
Submission received: 28 March 2023 / Revised: 10 May 2023 / Accepted: 17 May 2023 / Published: 20 May 2023
(This article belongs to the Special Issue Analysis and Modeling for Sustainable Geotechnical Engineering)

Abstract

Electric heat treatment is a widely used concrete curing method during the winter. Through direct and indirect heat exchange, the electric heating system tracks and controls the temperature of the heating medium based on a positive temperature coefficient (PTC) effect. In this study, to standardize the application of this treatment in the winter curing of concrete, the thermal energy conversion of an electric heating system and the heat-transfer characteristics of concrete have been studied. Based on the theoretical derivation, a calculation model of the relationship between the thermal energy of the electric heating system and the temperature of the concrete is established. The model is verified using the concrete heating and curing test results. The numerical analysis program COMSOL is used to analyze the effects of various factors on the concrete temperature field, including the electric heating power (e.g., the surface temperature of the electric heating system), concrete casting temperature, thermal conductivity, and heat release coefficient. The results show that decreasing the surface exothermic coefficient and increasing the heating temperature will significantly increase the peak temperature of the concrete. When the heat source temperature increases by 20 °C, the peak temperature could increase by approximately 13 °C. When the heating stops, the concrete volume increases temporarily, particularly in the region where the heating cable is buried. Consequently, an excessive heating power increase may cause cracks on the concrete surface. Compared with the factors of thermal conductivity and surface exothermic coefficient, the ambient temperature has the most significant effect on the concrete cooling rate when the heating stops. When the ambient temperature decreases by −20 °C, the cooling rate of concrete increases by 0.72 °C/h. The role of concrete insulation materials needs to be strengthened to reduce cooling rates during power outages and form removal. The findings from the study provide industry practitioners with a comprehensive guide regarding the specific applications of the electric heating system in early-age concrete curing.

1. Introduction

The resistivity of materials with a positive temperature coefficient (PTC) either remains unchanged or barely changes within a specific temperature range. The resistivity of the material increases rapidly to 103–109 times its initial value when the temperature exceeds a specific threshold [1]. Based on the energy control features of PTC materials, the electric heating materials automatically limit the temperature during heating by adjusting output power in accordance with changes in system temperature [2,3]. The heating core of a self-limiting temperature electric heating system consists of a polymer-conductive composite material made of a polymer matrix doped with conductive materials such as carbon black or graphite to form a heating element [4,5], as shown in Figure 1a. The polymer-conductive composite material is structurally made up of two copper wires as parallel electrodes. A potential drop occurs between the electrodes while conducting electricity, and current flows through the electric heating cable to generate heat. When the temperature of the accompanying medium is low, the polymer contracts due to heat, compressing the carbon black space to create a conductive path; consequently, the resistance decreases and the electric heating cable produces a higher output power [6]. When the temperature of the tracing body gradually increases, the polymer expands due to heat, compressing the carbon black space. Thus, the conductive path is reduced, the resistance increases sharply, and the output power of the electric tracing cable decreases. In contrast, when the temperature of the tracing body is high, the polymer expands sharply, the conductive path formed by carbon black is almost cut off, and the output power is close to zero. The heating principle of a self-limiting temperature electric heating cable is shown in Figure 1b.
Electric heating materials and systems are widely used in concrete maintenance projects in extremely cold locations. Many infrastructure projects and large-scale industrial and civilian buildings take several years to complete, and winter construction has become a necessary construction method in order to speed up the construction process and turn the entire year into an effective construction period [7]. However, during the winter, concrete has its own special and complex properties [8,9]. When the curing temperature is low, the strength of freshly poured concrete will increase slowly. When the temperature drops below 0 °C, the strength of concrete almost stops growing due to the freezing of water, and the volume expands. In addition, due to the cooling of concrete, shrinkage stress is generated, and when this stress exceeds the tensile strength, the structure will crack. According to available statistics, such cracks account for more than 70% of all cracks. This will reduce the safety and durability of the structure, increase the risk of water leakage in underground structures, increase the operation and maintenance costs of urban infrastructure, and hinder sustainable urban development [10]. Therefore, winter construction must adopt reasonable and effective curing methods while ensuring the construction period and obtaining economic benefits in order to avoid concrete failing to reach the designed strength due to improper construction methods, expanding and cracking, affecting the durability of the structure, reducing its service life, and even reducing its bearing capacity and causing it to fail [11,12], resulting in a large number of economic losses and adverse social impacts.
Extensive research has been conducted on controlling the concrete temperature. On the basis of the heat balance equation, studies have been conducted on the selection of heat-tracing material specifications and the arrangement of structural measures, which are also used in winter concrete curing of floor slabs [13,14,15,16], grouting of prefabricated concrete connections in winter [17,18], concrete curing of subway stations in high-cold areas [19], and pouring and curing in mass concrete [20]. The studies have achieved good results in terms of temperature and concrete quality control. Further studies have been conducted on the temperature field and strength development of concrete based on the temperature change characteristics of the heating material after electrification. Despite these engineering applications and related research, not many studies have been conducted on the energy control characteristics of self-limiting temperature heating with regard to the effect of rapid temperature changes on the performance of concrete. Concrete deforms due to thermal expansion and contraction of the material, which cause the thermal expansion coefficient and the amplitude of the temperature to rise and fall [21]. However, the concentrated heating of the self-limiting temperature electric heating system induces a large temperature gradient between the heating system and the nearly concrete, which causes uneven concrete temperature fields, uneven local chemical reactions, and asynchronous hydration, resulting in inconsistent material properties [22,23,24]. Rapid temperature changes in temperature-limiting heating materials often result in concrete deformation and damage, which have a significant impact on the application and promotion of heating systems in winter concrete projects [25].
On the basis of experimental results, a heat transfer calculation model for the electric heating of concrete was developed. Numerical simulations were used to examine the characteristics of the energy conversion between the electric heating system and concrete as well as the distribution change law of the concrete temperature field. Therefore, an assumption is made for the mechanism of an electric heating system based on the heat transfer of concrete. Based on the theoretical and technical findings, design optimization techniques for heating and curing, structural measures, and innovative engineering applications for winter concrete curing are improved.

2. Test Overview

2.1. Test Materials

The test uses a low-temperature, self-limiting heating cable with a rated power of 25 W/m. C40 commercial concrete is produced using Shenyang Dunshi Brand PO 42.5 Portland cement [26,27], stones with particle sizes of 5–40 mm, and sand with a fineness modulus of 3.15. A high-performance poly-carboxylate-acid-based water-reducing agent was used in this study. The concrete slump was 100 mm, the air content was 4.6%, the initial setting time was 20 h, and the final setting time was 32 h. The proportions of concrete are listed in Table 1.

2.2. Test Method

Specimen: The influence of the ambient temperature Ta was most significant on the component surface up to a depth of 20 cm [28]. Regions >20 cm from the surface of the specimen were less affected. Meanwhile, the cross profile of 0.8 m × 0.8 m is a common dimension of a concrete column. Therefore, to further study the influence of the electric heating system on the temperature field of the concrete members, the test adopts a concrete column with a size of 0.8 m × 0.8 m × 1.5 m (Figure 2).
A heating cable was placed on each side of the column, as shown in Figure 2 and Figure 3 a. The length, power, and cross-sectional dimensions were selected based on the stable temperature of the concrete specimen after hydration. After the hydration, the temperatures of the specimens remained constant. Based on the third type of boundary condition, the heat dissipation of the concrete specimen and the heating provided by the heating cable maintained a balance after hydration, which satisfied Equation (1). The length of the heating cable was determined based on the dimensions of the concrete specimen and the principle of uniform arrangement. The heating cables were buried 25 mm below the surface of the concrete column, which was the thickness of the reinforced protective layer of the concrete specimen, and the vertical layout of the heating cables was 725 mm on all four sides. Subsequently, the power of the heating cable was determined using Equation (1). Thus, the specifications of the heating cables can be determined. The temperature provided by the heating cable corresponds to its power.
β s A ( T 2 T ) + P L = 0 ,
where P is the heat energy provided by the electric heating cable per unit length (kW/m); L is the length of the electric heating cable, m; βs is the equivalent convective heat release coefficient; A is a solid surface in the air (m2); T is the temperature of the fluid around the boundary surface (°C); and T2 is the surface temperature of the concrete (°C).
Test system: To consider the effect of curing temperature on concrete strength, a relationship between the compressive strength and equivalent age te is shown in Equation (2). A heating process was designed based on the theory of equivalent ages [29,30]. The concrete casting temperature was set at approximately 15 °C. The concrete specimen was designed to reach the target peak temperature of 50 °C in approximately 30 h. The continuous heating by the heating cable lasted 72 h, and the compressive strength of the C40 concrete (e.g., the compressive strength of the concrete under a standard 28-day curing period is 40 MPa) reached 32 MPa, which is 80% of the final strength. In the test, the temperature increase rate of the concrete column was controlled at 2 °C/h, and the temperature drop rate was controlled within 0.5 °C/h~1 °C/h.
f c ( t e ) = [ exp s ( 1 672 / t e t 0 ) ] f c 28 ,
where fc(te) is the compressive strength of concrete at the equivalent age te, MPa, and s is the shape coefficient, which depends on the type of cement. For normal-hardening cement, s = 0.271 [31], and t0 is the initial setting time (h).
In order to reduce the influence of heat dissipation and low ambient temperature on the concrete’s age growth, the wood formwork coated with a PVC plastic film and cotton quilt with a thickness of 20 mm was used as the insulation layer for the concrete column, which is a common measure used in concrete curing construction in winter. To ensure the insulation effect, in the process of plastic film enclosure, the joints are pasted with wide tape to form a closed space. The quilt is tightly wrapped around the specimen by steel wire at the middle and lower parts of the specimen. Meanwhile, a temperature sensor is arranged between the plastic film and the quilt to monitor the insulation effect. The electric heating cable used in the test was self-limiting (Figure 3). The nominal power of the selected electric heating cable was generally approximately 10–35 W/m, and the temperature provided corresponded to the power. The parameters of the self-limiting heating cables are listed in Table 2.
Available literature [32,33] has shown that metal casing vibrating string sensors are more reliable than resistance strain gauges and other material sensors in field monitoring of early-age concrete strain and temperature fields because they are more robust and have lower temperature sensitivity. An FS-NM15 built-in temperature strain sensor manufactured by Jiangxi Feishang Technology Co., Ltd. (Nanchang, China) (Figure 3a) with a temperature measurement error of ±0.5 °C and a test range of −20–80 °C was used in the test. To ensure the accuracy of the sensors, all the sensors are tested for accuracy before installation. The mercury thermometer and vibrating string sensors were used to test constant-temperature water together, and the measurement deviations between the two types of sensors were compared to determine whether the vibrating string sensor could be adopted in the test. Sensors exceeding the standard error range were regarded as unreliable and were not used in this study.
The data acquisition equipment consists of two sets of vibrating string acquisition instruments (TFL-F-10xx series) with 64 channels (Figure 3a), a controlling computer, and a wireless transmitter. The acquisition instrument adopts a remote wireless mode for data transmission, and the system accuracy meets the requirements of the specification [34].
Layout of measuring points: The heat of hydration on the surface of the structure is easily lost; therefore, a temperature gradient mainly appears within 20 cm of the surface. Furthermore, the thermal conductivity of concrete and the temperature gradient at the center of the structures were smaller. Therefore, in accordance with the “Technical Specifications for Temperature Measurement and Control of Mass Concrete” (GB/T 51028-2015) [34] and the temperature distribution of the specimen, two temperature monitoring groups were set in the test, namely the upper monitoring group and the middle monitoring group, as shown in Figure 1. Comparing the results of the two monitoring groups, the distributions of the temperature fields of the zone with the heating cable and the zone far away from the heating cable could be studied. The temperature of the concrete column was monitored at the center points 1 and 4, edge points 2 and 5, and corner points 3 and 6 near the heating zone, and the data acquisition frequency was 0.5 h.

3. Results and Analysis

Figure 4 shows the relationship between the temperature and concrete age as affected by the conversion of electric heating energy measured during the test. The temperature variation law of concrete is characterized by an initial rapid temperature rise, followed by a slow and steady decline, and a final rapid decline. The inflection point of the different temperature variation stages is consistent with time mode when the concrete hydration heat release ends and the electric heating cable stops supplying power. The rapid heating stage was sufficient for the cement hydration heat release. The cement hydration heat release was almost complete when the inflection point between the rapid temperature rise and steady temperature drop was reached, and the concrete temperature primarily depended on the heat energy provided by the electric heating cable to maintain a slow temperature drop. The concrete enters a rapid cooling stage when the power-tracing cable is cut off and the electric-tracing cable stops supplying heat. In addition, for the middle monitoring group, the outermost corner of the concrete column section, where the temperature is highest, experiences the fastest temperature increase as a result of the electric heating system. The temperature curve had an obvious inflection point after electric heating failed, and the temperature dropped rapidly.
Comparing measurements at points 2 and 5 on the edge and 3 and 6 on the corner, as shown in Figure 5, the effect of the electric heating cable on the temperature of the concrete medium is clearly observed. The maximum temperatures at measuring points 2 and 3, affected by the electric heating cable, were higher than those at the other measuring points; however, once the hydration heat release was complete, the temperature in the concrete heating stage remained relatively stable.
Figure 6 shows a comparison curve of the concrete temperature T and deformation (e.g., horizontal strain, ε), which is affected by the energy conversion through the heating cable, as measured experimentally. As shown in Figure 6, regardless of the presence of a heating cable at the measurement point, the temperature variation and volume deformation of the concrete were essentially synchronized. During the heating stage, the volume increases. When the heat of hydration ends, only the heating tape is used, and the volume shrinks rapidly, which is consistent with the inflection point of the temperature variation trend. During the temperature drop stage, when the heating cable stopped heating, the volume of concrete temporarily increased, particularly at the monitoring points where the heating cables were buried, reaching 17% of the maximum concrete expansion and then continuing to shrink.
The monitoring points in the concrete insulation layer are compared with the ambient temperature variation curve, as shown in Figure 7. The figure shows that the temperature in the quilt develops over time, and the entire temperature evolution is roughly divided into three stages: heating, relative stability, and cooling. During heating, from 0 to 26 h after the concrete was poured, the temperature curve increased owing to the exothermic behavior of cement hydration. In the relatively stable stage after the hydration, after the heat release was nearly complete, although the heat release was influenced by heat tracing, the temperature curve fluctuated with the variation in ambient temperature owing to the influence of the daily ambient temperature. In the cooling stage, after 72 h, the power supply to the heating cable was stopped, and the temperature decreased continuously and changed significantly with the ambient temperature.
The key data for the monitoring points in the test column are listed in Table 3. It can be observed that the overall pouring temperature of the concrete column is approximately 15 °C, the monitoring points at the corners are affected by the heating cable, and the initial temperature T0 is higher than at other points. During the heating stage, the overall temperature rise rate HR was stable at 2 °C/h; the time for each monitoring point to reach the highest temperature and the peak temperature Tp gradually increased from the upper and lower ends to the middle. Among them, the corners of Section III were densely arranged because of the dense heating cables; thus, Tp was the highest. In the relatively stable stage, the cooling rate CR of each point remained at 0.06–0.18 °C/h, and the CR of the corner point was the slowest owing to the influence of the heat tracing. In the cooling stage, the inflection point value of the temperature drop gradually decreased from the top layer to the bottom layer, and the CR was approximately 0.5 °C/h.
Therefore, as a heat-tracing system, a heating cable provides the necessary heat for the hydration of concrete during the heating process, accelerates the hydration of the cement, shortens the time required to end the hydration of the cement, and promotes concrete strengthening, which also causes the concrete to be hydrated. Owing to variations in temperature and deformation, particularly when the heating cable is out of power, the concrete experiences a large temperature gradient, which causes a large expansion of the concrete during the cold shrinkage stage.

4. Electric Heating Energy Conversion and Concrete Heat Transfer Model Based on Early Age Temperature Test

4.1. Calculation Model

Based on the early-age concrete temperature test, the rapid increase in the early-age concrete temperature is related to cement hydration, whose rate is related to the internal temperature history of the concrete. To determine the effects of different temperature histories on the degree of cement hydration, the equivalent age [35], or the time required for concrete cured at 20 °C to reach maturity at a certain actual curing temperature, was introduced in this study (see Equation (3)).
t e = 0 t e E a R ( 1 293 1 273 + T ) d t ,
where te is the equivalent age; T is the curing temperature (°C); R is the gas constant (8.314 J/(mol K)); Ea is the concrete activation energy (J/mol); when T ≥ 20 °C, Ea = 33.5; when T < 20 °C, Ea = 33.5 + 1.47 (20 − T).
The electric heat tracing system realizes the transfer of energy to the heat transfer medium. Based on the law of thermodynamics, the energy provided by the electric heating system is equal to the energy absorbed by the temperature rise minus the net heat inflow from the outside and the internal heat of hydration (see Equation (4)).
Q L = ρ c d T d t x ( λ T x ) Q m ,
where QL is the heat energy provided by the electric heating system (QL = PL, where P is the heat energy produced by the electric heating cable per unit length (kW/m); L is the length of the electric heating cable (m)); ρ is the density of the concrete (kg/m3); c is the specific heat of the concrete (kJ/kg·°C); λ is the thermal conductivity of concrete (kJ/(m·h·°C)); t is the time of the process (h); and Qm is the heat released by cement hydration.

4.2. Conditions of Determination

Numerous solutions satisfy the temperature control equation. Therefore, for specific problems, specific descriptive conditions are provided and expressed in mathematical form to obtain specific solutions. Under the conditions of known geometric shapes and physical properties of objects, the definite solution conditions are primarily the initial and boundary conditions.
(1)
Initial conditions
For early-age concrete, the temperature of the object at the beginning of heat conduction is the initial condition. Therefore, the concrete casting temperature was set to the initial temperature (Equation (5)), which is as follows:
T(x,y,z,0) = T0,
where T0 is the initial temperature, e.g., concrete casting temperature (°C).
The initial temperature of the electric heating system was the surface temperature of the electric heating cable when the concrete was placed in the mold.
(2)
Boundary conditions
Two types of boundary conditions are considered in the electric heating energy conversion and concrete heat transfer models.
(a) When the concrete is in contact with an electric heating cable at the provided temperature, the contact surface of the heated medium is equal to the known electric heating cable temperature. Thus, the boundary condition in this situation could be the first type of boundary condition. Additionally, for the first type of boundary condition, the temperature distribution at the boundary of the heat-conducting object at any instant is a known function of time; see Equation (6). On the other hand, when the electric heating cable stops heating, the contact between concrete and the heating cable becomes the fourth type of boundary condition of direct contact between two solids (see Equation (7)), where the temperature and heat flow on the contact surface are continuous.
T ( t ) = f ( t )
T 1 = T 2
(b) The boundary conditions of the concrete members are the third type of boundary condition, which represents the coupling of certain heat transfer methods (heat conduction, convection, and radiation) between the boundary of the heat-conducting object and the environment (see Equation (8)).
λ ( T n A ) = h ( T s T )
where T is the temperature of the fluid around the boundary surface (°C); h is the convective heat transfer coefficient (kJ/(m2·h·°C)); and Ts is the boundary surface temperature (°C).

5. Electric Heating Energy Conversion and Concrete Temperature Field Simulation

The temperature field of the electric heating system and the heated medium was simulated, as shown in Figure 8, using the calculation model of Equation (2) and the numerical analysis software COMSOL in conjunction with the temperature field test data of the concrete test column. In this numerical investigation, the COMSOL analysis module “solid heat transfer” was used. The governing equation of the module is modified according to Equation (4). To simulate the hydration degree of concrete at different temperatures, the effective age te (see Equation (3)) was added to the model by defining a coefficient-type partial differential equation (PDE). Consequently, the coupling effect between the effective age and the heat transfer physical field was realized, and a temperature field simulation of the test specimen was obtained.

5.1. Model Establishment

Based on the test results of the concrete specimen, a three-dimensional numerical model of the same concrete column was established. Figure 8 is a profile of the three-dimensional numerical model of the concrete specimen, with the length × width × height of 0.8 m × 0.8 m × 1.5 m. To consider the influence of existing components on the performance of the concrete specimen during the heating curing process, the height of the concrete foundation under the columns was set at 0.5 m. In the numerical model, the mesh type was selected as a tetrahedral mesh. Due to the setting of the electric heating cable, the element scale of numerical models varies greatly. Thus, to meet the requirements of analysis accuracy, the mesh size was divided by the refinement mesh. Meanwhile, the adaptive mesh refinement was selected in the program during the calculation process, which could increase the mesh density and the location of the mesh elements until the relative change of energy between refinements is less than the allowable value [36]. The number of elements in the whole model was 22,460.
At the initial time of calculation, the initial condition of the model is determined according to the actual situation of the temperature field test of the concrete specimen: the concrete temperature T0 when casting into the formwork is 288 K (15 °C). In addition, the boundary conditions of the model need to be determined. In the process of heat transfer analysis, the boundary conditions refer to the heat conduction interaction between the surface of the structure and the surrounding medium.
There are two kinds of surface contact for the concrete specimen in this test: the outer surface of the concrete and the contact surface between the concrete column and the heating cable. In this test, the external surface of the concrete column is not in direct contact with the air. To simulate the insulation measures taken in the actual winter curing process, a layer of insulation is wrapped around the surface of the concrete. This kind of boundary condition can be regarded as the third type of boundary condition by selecting an appropriate equivalent heat release coefficient βt, which is listed in Table 4.
As for the contact between the concrete specimen and the accompanying zone, it is actually the fourth type of boundary condition for the direct contact between the two solids. However, due to the phased heating method adopted in the test, it was not possible to determine the temperature variation rule of the heating cable after it stopped heating. Therefore, the boundary conditions of this contact were set as the third type of boundary condition in the numerical model. By controlling the heat transfer coefficient, the heat exchange mode between the heating cable and the concrete specimen was equivalent. The equivalent heat release coefficients of the above two boundary conditions in the numerical model are listed in Table 4.

5.2. Model Validation

The numerical model was compared with the test data to calibrate the numerical model (Figure 8), which met the accuracy requirements of the numerical investigation. The relevant parameters are listed in Table 5. Based on previous research and available literature, the numerical calculation method based on equivalent age proposed in this study has higher accuracy than the traditional numerical calculation method [21,37], which does not consider the influence of hydration heat on the heat transfer parameters of concrete. As for a traditional model, it is established by the traditional numerical calculation method, which does not consider the influence of the hydration reaction on the heat transfer parameters of concrete. In practice, the physical state, permeability coefficient, and thermal conductivity of concrete will vary during the hydration process. The changes in these parameters have a certain functional relationship with the equivalent age of concrete. Thus, the calculation results obtained from the traditional model using the fixed heat transfer parameters have a certain gap with the temperature field evolution during the actual heat transfer process.
In order to highlight the performance of the numerical calculation method based on the equivalent age proposed in this study, the calculation results obtained by the traditional numerical model are compared, as shown in Figure 9. As shown in Figure 9, compared with the traditional temperature field model, the model proposed in this study is in good agreement with the measured values. Especially during the heating period of the embedded heat system, the temperature variations of both the calculated value and the measured value are roughly the same. After the embedded heat system stopped heating, the calculated temperature obtained from the proposed model was slightly higher than the measured temperature. The main reason for the deviation in the calculation results of the proposed model is the equivalent accuracy of the heat transfer coefficient of the outer insulation layer of the concrete specimen. The uniformity and compactness of the insulation layer on the outside of the concrete specimen will have a certain influence on the temperature field distribution of the specimen, while a uniform equivalent heat transfer coefficient was adopted in the model without considering the deviation caused by the installation of the insulation layer.
As shown in Figure 9, the calculated results of the traditional model differ greatly from the test results. Since the traditional model does not consider the effect of the equivalent age of each point inside the specimen, the heat generated by the hydration reaction deviates significantly from the actual situation. The peak value of the temperature calculated by the traditional model is relatively small, and the temperature drop rate after the peak is slower.
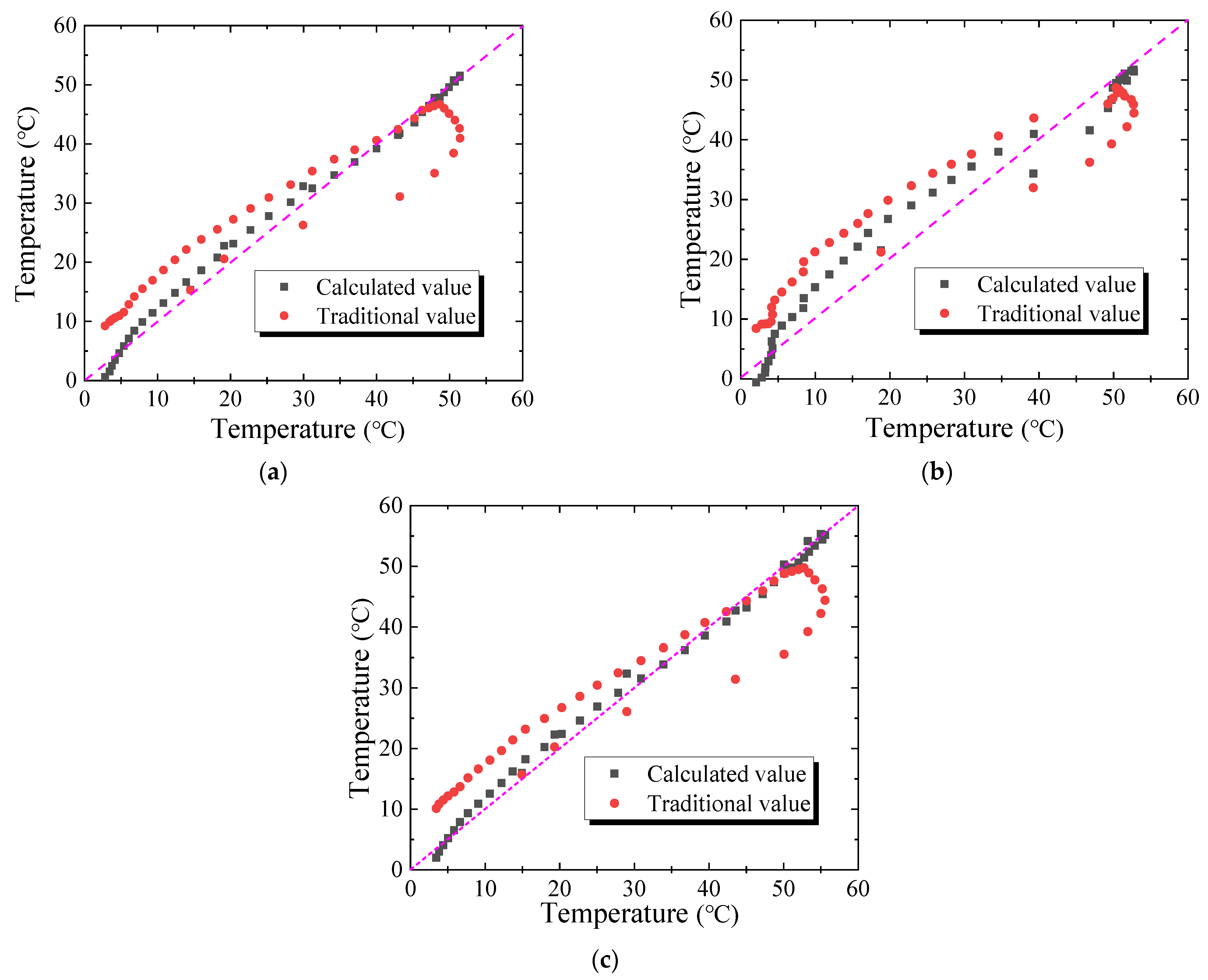
Figure 10 shows the accuracy curves of the calculated value and the traditional value. By comparing the temperature variation values from the beginning of casting to 200 h after casting, the accuracy curves indicate that the calculated values are in good agreement with the test values and the traditional values show great deviation, especially at high temperatures. In addition, the agreement between the test values and the calculated results is relatively high for the middle and edge parts of the specimen, with a deviation of approximately ±5 °C. However, the calculated values from the corner parts of the specimen are more scattered, with a temperature deviation of approximately ±10 °C.
From the comparative analysis, it can be seen that considering the influence of equivalent age at different locations on hydration heat, early thermodynamic parameters of concrete, etc., the accuracy of the calculation of the proposed model is higher than that of the traditional model. Additionally, the calculation accuracy of the proposed model can meet the requirements of a subsequent numerical investigation.
The temperature contours of the middle cross-section of the concrete column under different curing times are shown in Figure 11. As shown in Figure 11, during the heating period of the embedded heating cable (0–72 h), a high-temperature zone appears near the heating cable. The highest temperature was observed in the corner area where the four heating cables met, and the temperature distribution in the central area of the concrete was uniform. When the heating stopped, the temperature around the heating cable decreased rapidly under the influence of the ambient temperature. The cross section shows a circular temperature distribution that gradually decreases from the middle to the periphery. During this period, the minimum temperature region was at the four corners of the cross-section. The temperature difference between the center and the corners is 6 °C. The temperature distribution in the numerical investigation was consistent with the experimental results. Thus, based on the above comparisons, the accuracy of the finite element model in predicting the temperature field evolution of concrete was verified.

5.3. Parameter Sensitivity Analysis

Taking the concrete column measuring points 2 (without heating cable) and 5 (with heating cable) as the test objects, models based on the basic parameters in Table 6 were established, and the effects of heat, environment, and materials on the temperature field were compared.

5.3.1. Influence of Heating Time of the Electric Heating Cable on the Temperature Field

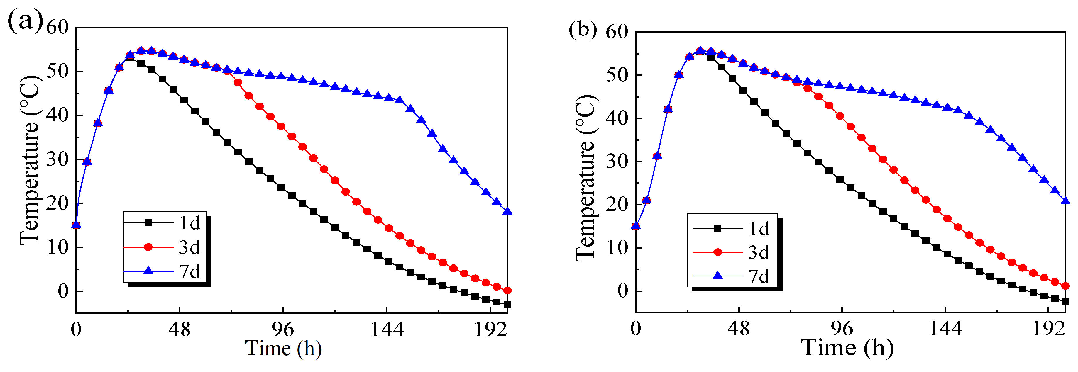
The heating time of an electric heating cable is a primary factor that influences the concrete’s curing progress and temperature field evolution. According to previous research, when a cable is continuously heated for three days, the compressive strength of the concrete reaches 70% of its final strength. In addition, the peak temperature appeared at 30 h; thereafter, the temperature was maintained using an electric heating system. Thus, heating times of 1, 3, and 7 d were selected to compare the temperature variations after heating was stopped. The temperature variation in the concrete column at measurement points 2 and 5 is shown in Figure 12. It can be observed from the figure that in the heating stage, for the same proportion of concrete, the water-cement ratio was the same and the heat release of cement hydration was the same; therefore, the heating time had no effect on the temperature field. In the relatively stable temperature stage, the cooling curve of each point for concrete shows a wave-like downward trend with an increase in heating time, and the variation trend is consistent. However, different power outages on the heating cable will cause different rapid cooling times for concrete. In the cooling phase after a power outage, the longer the heating time, the higher the cooling rate. In particular, at the corner point, the temperature dropped sharply after the power supply stopped on the companion belt.

5.3.2. Influence of the Surface Temperature of the Electric Heating System on the Temperature Field of Concrete

The self-limiting temperature heating cables are usually divided into high, medium, and low levels according to the temperature and power. The temperature provided by the electric heating system ranged from 45 to 135 °C, and the electric heating power ranged from 10 to 60 W/m. Thus, the commonly used temperatures of the electric heating systems of 45, 65, and 85 °C were selected for this study. The temperature variations at concrete measurement points 2 and 5 are shown in Figure 13. It can be observed that the higher the heat-source temperature, the greater the heating rate and the higher the peak temperature in the rapid heating stage, regardless of whether the measuring point is near the self-limiting temperature-heating cable. When the temperature was relatively stable, it was clearly observed that the higher the heat source temperature, the faster the hydration process. After the hydration was nearly complete, the temperature in the stable phase became more stable under the influence of the heat released from electric tracing. As the temperature of the heat source increased, the cooling rate at each point in the concrete decreased. In the cooling stage after a power outage, the higher the heat source temperature, the higher the cooling rate. In particular, at Point 2, the temperature decreased during the power outage. For the concrete components of the embedded electric heating cable, the heating cable and cement hydration together contributed to the temperature increase in the concrete, particularly after the hydration heat was almost released, which mainly depended on the temperature to maintain a relatively stable temperature.

5.3.3. Influence of Concrete Casting Temperature on the Temperature Field of Concrete with an Embedded Heat Source

The temperature distributions at measuring points 2 and 5 of the concrete column for the concrete casting temperatures of 5, 10, and 15 °C are shown in Figure 14. It can be observed from the figure that during the rapid temperature rise stage, whether or not it is near the heating zone, the pouring temperatures at the center, edge, and corner points of the concrete column directly affect the peak concrete temperature. The higher the pouring temperature, the faster the concrete temperature increases and the higher the peak temperature. In the slow concrete temperature decrease stage, the higher the pouring temperature, the faster the temperature decrease. In the rapid cooling stage after the power outage, the cooling rate exhibited a weak dependence on the pouring temperature. The influence of the concrete casting temperature on the temperature field of the concrete was analyzed from the perspective of concrete temperature control. It can be observed that the peak temperature of the concrete is equal to the sum of the pouring temperature and the hydration temperature increase. Since the temperature in the stable stage is affected by the ambient temperature and structural form, which are generally difficult to control, only the pouring and maximum temperatures can be controlled; thus, the pouring temperature is crucial to the temperature field of concrete.

5.3.4. Influence of Thermal Conductivity on Temperature Field of Embedded Heat Source Concrete

Thermal conductivity is an important parameter that characterizes the ability of a material to conduct heat. Under the same conditions, the greater the thermal conductivity, the greater the heat exchange. Figure 15 shows the temperature distributions at measuring points 2 and 5 of the concrete column for the thermal conductivities of 8, 10, and 12 kJ/(m·h·K). Regardless of whether the monitoring point was near the self-limiting temperature-heating cable, in the rapid heating stage, the higher the thermal conductivity, the higher the heating rate and peak temperature. In the relatively stable temperature stage, the cooling rate at the edges and corners of the concrete section increased with increasing thermal conductivity. During the cooling stage of a power outage, the greater the thermal conductivity, the greater the cooling rate.

5.3.5. The influence of Ambient Temperature on the Temperature Field of the Embedded Heat Source

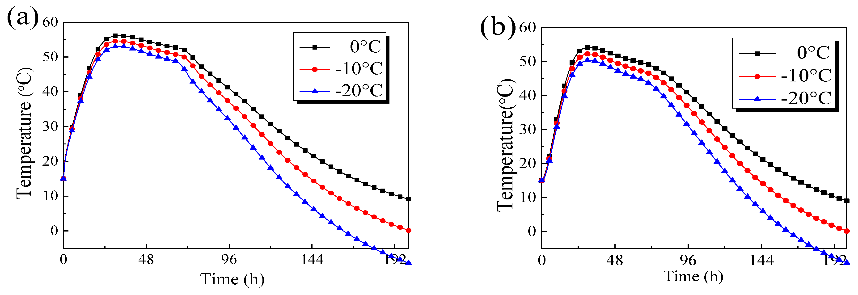
According to the first law of thermodynamics, for an instant, the increase in the rate of thermal and mechanical energy storage in the control volume must be equal to the rate of heat and mechanical energy entering the control volume minus the rate of heat and mechanical energy leaving the control volume and the rate of heat generation in the control volume. Therefore, convection and radiation heat transfer on the surfaces of concrete components with embedded electric heating cables must be considered. Figure 16 shows the temperature distribution patterns of the concrete column at measuring points 2 and 5, for ambient temperatures of −20, −10, and 0 °C. Regardless of whether the monitoring point was near the self-limiting temperature-heating cable, in the rapid heating stage, the lower the ambient temperature, the smaller the heating rate, and the lower the temperature peak point. In the relatively stable stage, the cooling rate of the concrete decreased with a decrease in ambient temperature. In the cooling stage after a power failure, the lower the ambient temperature, the greater the cooling rate. In particular, at the corner point, the temperature decreases sharply during a power outage.

5.3.6. Influence of Surface Heat Release Coefficient on Temperature Field of Embedded Heat Source

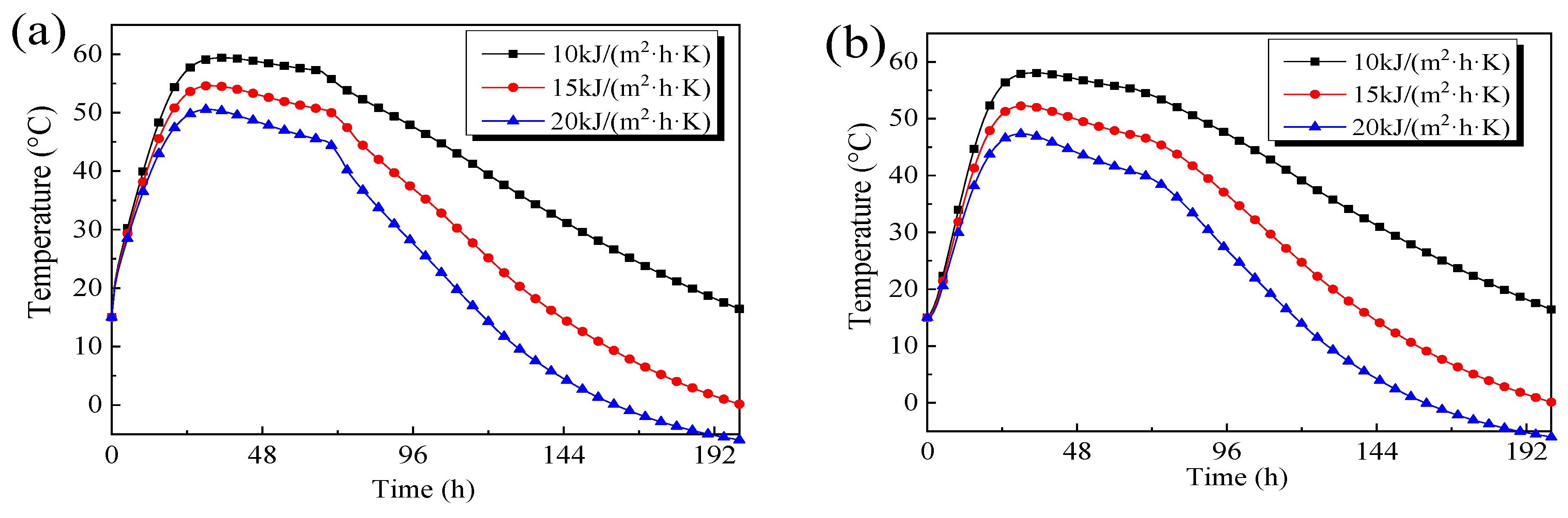
Figure 17 shows the temperature variation law at measuring points 2 and 5 of the concrete column when the surface equivalent heat release coefficient is 10, 15, or 20 kJ/(m2·h·K). The figure shows that irrespective of the distance of the monitoring point from the tropical zone, the influence of the equivalent heat release coefficient on the temperature field is as follows: in the rapid heating stage, the smaller the equivalent heat release coefficient, the higher the heating rate, and the higher the peak temperature. When the temperature was relatively stable, a smaller equivalent heat release coefficient resulted in faster hydration. When the hydration was nearly complete, the temperature was more stable, and the cooling rate at each point was lower owing to a lower surface heat release. In the cooling stage after a tropical blackout, the smaller the equivalent heat release coefficient, the smaller the cooling rate at each point.
Based on the above results, the temperature variation at measuring point 5 of the concrete column is considered an example (see Table 7). A simplified model was established based on the basic parameters listed in Table 7 to compare the influence of changing the relevant parameters on the temperature field of the concrete. As shown in Table 7, increasing the heat source temperature, concrete casting temperature, thermal conductivity, and ambient temperature while reducing the surface heat release coefficient increases the peak temperature of the concrete. Increasing the thermal conductivity, reducing the ambient temperature, and increasing the surface heat release coefficient are the main factors that improve the cooling rate of concrete after a power outage.

6. Conclusions

In order to adapt to the more complex winter construction technology and environment and in view of the shortcomings of existing research, this study conducted experimental and numerical simulations on the energy conversion of electric heating systems and heat transfer in concrete internal environments. A calculation method for the energy conversion of an electric heating system and the heat transfer of concrete with an embedded heat source was developed. The theoretical and technical principles for optimizing the design methods and construction measures for heating maintenance and innovation in winter concrete and engineering applications are established in this study. The following conclusions were reached.
  • After hydration, the temperature can still drop slowly and steadily under the influence of the heat from the electric belt, and the rate of decrease is 0.12–0.18 °C/h. The concrete surface temperature was higher than the center temperature, but the temperature difference between the two was minimal, within 4 °C. The proposed heat transfer calculation model effectively considered the heat release from the electric heating cable and the heat release from cement hydration in the calculation area.
  • The numerical simulation analyzed the variation law of the temperature field distribution and found that increasing the surface temperature of the electric heating system can significantly increase the peak temperature of the concrete and have an impact on the rate of cooling during the temperature stabilization phase. When the heat source temperature increases by 20 °C, the peak temperature may increase by about 13 °C.
  • When the heating system was turned off, the concrete volume merely increased. When the heating stopped, the ambient temperature had the greatest impact on the concrete cooling rate in comparison to thermal conductivity and surface exothermic coefficient. When the ambient temperature decreases by −20 °C, the cooling rate of concrete increases by 0.72 °C/h.
  • The power of the electric heating cable cannot be increased arbitrarily, and the insulation effect of the insulation layer must be increased to reduce the volume deformation of concrete and the appearance of cracks on the concrete surface. After switching off the power supply and removing the formwork, the concrete surface was covered with an insulation material to enhance insulation.
Although the above conclusions were drawn, this study still has limitations. This study did not consider a variety of heating cable arrangements, heating system types, or the composition of the material. In addition, the durability and strength of concrete after curing were not further studied. To further investigate the winter concrete heat transfer characteristics of the electric heating system, the influence of the power and energy conversion of different electric heating cables on the concrete temperature field can be evaluated, and the heat transfer equation can be optimized through comparison. Meanwhile, the thermo-fluid-mechanical coupling analysis will be investigated in a further study.

Author Contributions

Conceptualization, J.H., L.L. and C.Z.; methodology, J.H. and L.L.; software, J.H. and T.L.; writing—original draft preparation, J.H., L.L. and Y.Z.; writing—review and editing, L.L., C.Z. and H.W.; investigation, C.Z. and F.L.; data curation, H.W. and D.L.; language editing, Y.Z. funding acquisition, J.H., L.L., C.Z. and Y.Z. All authors have read and agreed to the published version of the manuscript.

Funding

This research work is supported by the Doctoral Research Fund of Shandong Jianzhu University (Grant No. X19080Z).

Institutional Review Board Statement

Not applicable.

Informed Consent Statement

Not applicable.

Data Availability Statement

All data, models, or code generated or used during the study are available from the corresponding author by request.

Acknowledgments

All of these financial supports are gratefully acknowledged. The authors also wish to thank Shandong Jianzhu University and Shenyang Jianzhu University for providing access to the test devices and software.

Conflicts of Interest

No potential conflict of interest were reported by the authors.

References

  1. Wang, R.J.; Pan, Y.H.; Cheng, W.L. A dimensionless study on thermal control of positive temperature coefficient (PTC) materials. Int. Commun. Heat Mass Transf. 2021, 120, 104987. [Google Scholar] [CrossRef]
  2. Wang, R.J.; Pan, Y.H.; Cheng, W.L. Study on dynamic thermal control performance of positive temperature coefficient (PTC) material based on a novel heat transfer model considering internal heat transfer. Appl. Therm. Eng. 2020, 165, 114452. [Google Scholar] [CrossRef]
  3. Li, Y.; Asare, E.; Porwal, H.; Barbieri, E.; Goutianos, S.; Evans, J.; Newton, M.; Busfield, J.J.C.; Peijs, T.; Zhang, H.; et al. The effect of conductive network on positive temperature coefficient behaviour in conductive polymer composites. Compos. Part A Appl. Sci. Manuf. 2020, 139, 106074. [Google Scholar] [CrossRef]
  4. Deng, H.; Lin, L.; Ji, M.Z.; Zhang, S.M.; Yang, M.B.; Fu, Q. Progress on the morphological control of conductive network in conductive polymer composites and the use as electroactive multifunctional materials. Prog. Polym. Sci. 2014, 39, 627–655. [Google Scholar] [CrossRef]
  5. Al-Oqla, F.M.; Sapuan, S.M.; Anwer, T.; Jawaid, M.; Hogue, M.E. Natural fiber reinforced conductive polymer composites as functional materials: A review. Synth. Met. 2015, 206, 42–54. [Google Scholar] [CrossRef]
  6. Pang, H.; Xu, L.; Yan, D.X.; Li, Z.M. Conductive polymer composites with segregated structures. Prog. Polym. Sci. 2014, 39, 1908–1933. [Google Scholar] [CrossRef]
  7. Han, J.Y.; Wang, J.; Cheng, C.; Zhang, C.Z.; Liang, E.B.; Wang, Z.K.; Song, J.J.; Leem, J. Mechanical response and parametric analysis of a deep excavation structure overlying an existing subway station: A case study of the Beijing subway station expansion. Front. Earth Sci. 2023, 10, 1079837. [Google Scholar] [CrossRef]
  8. Wang, F.; Tan, T.L.; Fan, Y.; Song, J.; Liang, C.P.; Zhang, A.; Chen, J.L. Optimum selection of temperature control measures for combined intake tower in alpine region during construction period. Case Stud. Constr. Mater. 2023, 18, e01883. [Google Scholar] [CrossRef]
  9. Mei, Y.; Zhao, L.J.; Nong, X.Z.; Yang, T.; Zhang, X.Y.; Wang, R.; Wang, X.Y. Field test study on early strain development law of mass concrete in cold weather. Case Stud. Constr. Mater. 2022, 17, e01455. [Google Scholar] [CrossRef]
  10. Wang, J.B.; Niu, D.T.; Wang, Y.; Wang, B. Durability performance of brine-exposed shotcrete in salt lake environment. Constr. Build. Mater. 2018, 188, 520–536. [Google Scholar] [CrossRef]
  11. Chen, E.; Berrocal, C.G.; Lofgren, I.; Lundgren, K. Correlation between concrete cracks and corrosion characteristics of steel reinforcement in pre-cracked plain and fibre-reinforced concrete beams. Mater. Struct. 2020, 53, 33. [Google Scholar] [CrossRef]
  12. Albitar, M.; Mohamed Ali, M.S.; Visintin, P. Evaluation of tension-stiffening, crack spacing and crack width of geopolymer concretes. Constr. Build. Mater. 2018, 160, 408–414. [Google Scholar] [CrossRef]
  13. Yao, Y.; An, K.; Geng, Y.B. Application of electric tracing in winter construction of concrete. Constr. Technol. 2017, 46 (Suppl. S2), 580–582. [Google Scholar]
  14. Zhang, Y.; Zhao, L.; Yang, J.A.; Wang, L.M. Electric tracing curing technique for cast-in-place concrete in winter. Archit. Technol. 2017, 48, 576–579. [Google Scholar]
  15. Gong, Y.B.; Huang, Z.G.; Xie, X.D.; Li, Z.H. Study and application of superhigh composite floor slab thermal insulation winter construction scheme. Archit. Technol. 2020, 51, 485–488. [Google Scholar]
  16. Tong, L.; Shen, H.Q.; Liu, H. Research on technology of electric tracing method in curing concrete in winter construction. Low Temp. Archit. Technol. 2018, 40, 150–153. [Google Scholar]
  17. Sun, L.C.; Zhan, C.Z.; Wang, B. Applied analysis on heat preservation in grouting of assembled concrete wind power tower. Spec. Struct. 2020, 37, 103–106. [Google Scholar]
  18. Alzaza, A.; Ohenoja, K.; Langas, I.; Arntsen, B.; Poikelispaa, M.; Illikainen, M. Low-temperature (−10 °C) curing of Portland cement paste—Synergetic effects of chloride-free antifreeze admixture, C–S–H seeds, and room-temperature pre-curing. Cem. Concr. Compos. 2022, 125, 104319. [Google Scholar] [CrossRef]
  19. Wang, S.Y.; Li, D. Insulation technology of subway station concrete construction in winter in different cold areas. Zhong Guo Gao Xin Ke Ji 2020, 70, 64–66. [Google Scholar]
  20. Lu, X.; Chen, B.; Tian, B.; Li, Y.; Lv, C.; Xiong, B. A new method for hydraulic mass concrete temperature control: Design and experiment. Constr. Build. Mater. 2021, 302, 124167. [Google Scholar] [CrossRef]
  21. Schackow, A.; Effting, C.; Gomes, I.R.; Patruni, I.Z.; Vicenzi, F.; Kramel, C. Temperature variation in concrete samples due to cement hydration. Appl. Therm. Eng. 2016, 103, 1362–1369. [Google Scholar] [CrossRef]
  22. Li, H.; He, Y.; Xu, Q.; Deng, J.; Li, W.; Wei, Y. Detection and segmentation of loess landslides via satellite images: A two-phase framework. Landslides 2022, 19, 673–686. [Google Scholar] [CrossRef]
  23. Yin, Q.; Wu, J.; Zhu, C.; Wang, Q.; Xie, J. The role of multiple heating and water cooling cycles on physical and mechanical responses of granite rocks. Geomech. Geophys. Geo-Energy Geo-Resour. 2021, 7, 69. [Google Scholar] [CrossRef]
  24. Yin, Q.; Wu, J.; Jiang, Z.; Zhu, C.; Su, H.; Jing, H.; Gu, X. Investigating the effect of water quenching cycles on mechanical behaviors for granites after conventional triaxial compression. Geomech. Geophys. Geo-Energy Geo-Resour. 2022, 8, 77. [Google Scholar] [CrossRef]
  25. Lim, C.K.; Kim, J.K.; Seo, T.S. Prediction of concrete adiabatic temperature rise characteristic by semi-adiabatic temperature rise test and FEM analysis. Constr. Build. Mater. 2016, 125, 679–689. [Google Scholar] [CrossRef]
  26. Han, J.Y.; Wang, J.; Jia, D.F.; Yan, F.S.; Zhao, Y.; Bai, X.Y.; Yan, N.; Yang, G.; Liu, D. Construction technologies and mechanical effects of the pipe-jacking crossing anchor-cable group in soft stratum. Front. Earth Sci. 2023, 10, 1019801. [Google Scholar] [CrossRef]
  27. Shaker, F.; Rashad, A.; Allam, M. Properties of concrete incorporating locally produced Portland limestone cement. Ain Shams Eng. J. 2018, 9, 2301–2309. [Google Scholar] [CrossRef]
  28. Zhu, B. Thermal Stresses and Temperature Control of Mass Concrete; China WaterPower Press: Beijing, China, 2012. [Google Scholar]
  29. Kanstad, T.; Hammer, T.A.; Bjontegaard, Ø.; Sellevold, E.J. Mechanical properties of young concrete: Part I: Experimental results to test methods and temperature effects. Mater. Struct. 2003, 36, 218–225. [Google Scholar]
  30. Kanstad, T.; Hammer, T.A.; Bjontegaard, Ø.; Sellevold, E.J. Mechanical properties of young concrete: Part II: Determination of model parameters and test program proposals. Mater. Struct. 2003, 36, 226–230. [Google Scholar]
  31. Shao, Y.; Lynsdale, C.J.; Lawrence, C.D.; Sharp, J. Deterioration of heat-cured mortars due to the combined effect of delayed ettringite formation and freeze/thaw cycles. Cem. Concr. Res. 1997, 27, 1761–1771. [Google Scholar] [CrossRef]
  32. Azenha, M.; Faria, R.; Ferreira, D. Identification of early-age concrete temperatures and strains: Monitoring and numerical simulation. Cem. Concr. Compos. 2009, 31, 369–378. [Google Scholar] [CrossRef]
  33. Chen, C.S.; Yan, D.H.; Chen, Z.Q.; Tu, G.Y.; Tian, Z.C. Technique research of vibrational chord strain gauge to concrete. China J. Highw. Transp. 2004, 17, 33–37. [Google Scholar]
  34. Ministry of Housing and Urban-Rural Development of the People’s Republic of China. GB/T 51028-2015; Technical Code for Temperature Measurement and Control of Mass Concrete. China Architecture & Building Press: Beijing, China, 2015.
  35. Hansen, P.F.; Pedersen, E.J. Maturity computer for controlling curing and hardening of concrete. Nord. Betong 1977, 1, 21–25. [Google Scholar]
  36. Stebel, M.; Kubiczek, K.; Rodriguez, G.R.; Palacz, M.; Garelli, L.; Melka, B.; Haida, M.; Bodys, J.; Nowak, A.J.; Lasek, P. Thermal analysis of 8.5 MVA disk-type power transformer cooled by biodegradable ester oil working in ONAN mode by using advanced EMAG-CFD-CFD coupling. Int. J. Electr. Power Energy Syst. 2021, 136, 107737. [Google Scholar] [CrossRef]
  37. Liu, G.C. Numerical simulation and analysis of the temperature effects on the fission of concrete. Therm. Sci. 2019, 23, 2713–2720. [Google Scholar] [CrossRef]
Figure 1. Self-limiting temperature electric heating cable. (a) The profile of the self-limiting temperature electric heating cable; (b) Heating principle of self-limiting temperature electric heating cable.
Figure 1. Self-limiting temperature electric heating cable. (a) The profile of the self-limiting temperature electric heating cable; (b) Heating principle of self-limiting temperature electric heating cable.
Sustainability 15 08337 g001
Figure 2. Schematic of temperature layout monitoring point.
Figure 2. Schematic of temperature layout monitoring point.
Sustainability 15 08337 g002
Figure 3. Installation process of the heat curing of the concrete test. (a) Before specimen casting; (b) Heat preservation and heating curing; (c) Concrete specimen.
Figure 3. Installation process of the heat curing of the concrete test. (a) Before specimen casting; (b) Heat preservation and heating curing; (c) Concrete specimen.
Sustainability 15 08337 g003
Figure 4. Temperature variation with age. (a) Measuring points 1, 2, and 3; (b) measuring points 4, 5, and 6.
Figure 4. Temperature variation with age. (a) Measuring points 1, 2, and 3; (b) measuring points 4, 5, and 6.
Sustainability 15 08337 g004
Figure 5. Temperature variation with age. (a) Measuring points 2, and 5; (b) Measuring points 3 and 6.
Figure 5. Temperature variation with age. (a) Measuring points 2, and 5; (b) Measuring points 3 and 6.
Sustainability 15 08337 g005
Figure 6. Comparison curve of concrete temperature and deformation. (a) Measuring points 2; (b) Measuring points 5.
Figure 6. Comparison curve of concrete temperature and deformation. (a) Measuring points 2; (b) Measuring points 5.
Sustainability 15 08337 g006
Figure 7. Curve of temperature variations of the concrete column in the quilt.
Figure 7. Curve of temperature variations of the concrete column in the quilt.
Sustainability 15 08337 g007
Figure 8. Numerical model. (a) Profile of numerical model; (b) mesh of the numerical model.
Figure 8. Numerical model. (a) Profile of numerical model; (b) mesh of the numerical model.
Sustainability 15 08337 g008
Figure 9. Curve of the comparison test value, calculated value, and traditional value. (a) measuring point 5; (b) measuring point 6; (c) measuring point 4.
Figure 9. Curve of the comparison test value, calculated value, and traditional value. (a) measuring point 5; (b) measuring point 6; (c) measuring point 4.
Sustainability 15 08337 g009
Figure 10. Accuracy curves of calculated value and traditional value. (a) measuring point 5; (b) measuring point 6; (c) measuring point 4.
Figure 10. Accuracy curves of calculated value and traditional value. (a) measuring point 5; (b) measuring point 6; (c) measuring point 4.
Sustainability 15 08337 g010
Figure 11. Temperature contours of the middle cross section of the concrete column. (a) t = 24 h; (b) t = 72 h; (c) t = 96 h.
Figure 11. Temperature contours of the middle cross section of the concrete column. (a) t = 24 h; (b) t = 72 h; (c) t = 96 h.
Sustainability 15 08337 g011
Figure 12. Temperature field of concrete column varying with heating time. (a) Point 2; (b) Point 5.
Figure 12. Temperature field of concrete column varying with heating time. (a) Point 2; (b) Point 5.
Sustainability 15 08337 g012
Figure 13. Concrete column temperature field variation for different heat source temperatures. (a) Point 2; (b) Point 5.
Figure 13. Concrete column temperature field variation for different heat source temperatures. (a) Point 2; (b) Point 5.
Sustainability 15 08337 g013
Figure 14. Concrete column temperature field variation for different casting temperatures. (a) Point 2; (b) Point 5.
Figure 14. Concrete column temperature field variation for different casting temperatures. (a) Point 2; (b) Point 5.
Sustainability 15 08337 g014
Figure 15. Concrete column temperature field variation at different thermal conductivities. (a) Point 2; (b) Point 5.
Figure 15. Concrete column temperature field variation at different thermal conductivities. (a) Point 2; (b) Point 5.
Sustainability 15 08337 g015
Figure 16. Concrete column temperature field variation at different ambient temperatures. (a) Point 2; (b) Point 5.
Figure 16. Concrete column temperature field variation at different ambient temperatures. (a) Point 2; (b) Point 5.
Sustainability 15 08337 g016
Figure 17. Curve of temperature field varying with surface exothermic coefficient. (a) Point 2; (b) Point 5.
Figure 17. Curve of temperature field varying with surface exothermic coefficient. (a) Point 2; (b) Point 5.
Sustainability 15 08337 g017
Table 1. Proportioning of concrete.
Table 1. Proportioning of concrete.
ComponentWater Cement (w/c)
Ratio
Cement
(kg/m3)
Sand
(kg/m3)
Stone
(kg/m3)
Water
(kg/m3)
Water Reducing Agent
(kg/m3)
0.4239067312221650.2
Table 2. Parameters of the self-limiting heating cables.
Table 2. Parameters of the self-limiting heating cables.
Power (W/L)Length (m)Width (mm)Thickness (mm)Voltage (V)Maximum Surface Maintenance Temperature (°C)
25159222065 ± 5
Table 3. Main data of monitoring points for the concrete column.
Table 3. Main data of monitoring points for the concrete column.
Measuring PointsT0 (°C)HR
(°C/h)
Time to Tp (h)Tp (°C)CR in Plateau Phase (°C/h)tp (h)Ti (°C)CR (°C/h)
114.8123454.130.163850.50.5
215.75234.555.060.1537.552.060.5
322.9423157.190.1141500.4
414.5235.555.560.1336.551.310.5
514.51.83151.50.144148.360.64
618.8112752.810.074546.944.5
T0 is the initial temperature; HR is the heating rate; Tp is the peak temperature; CR is the cooling rate; tp is the duration of the plateau phase; Ti is the temperature at the cooling inflection point.
Table 4. Equivalent heat release coefficients of concrete contact.
Table 4. Equivalent heat release coefficients of concrete contact.
Contact PositionEquivalent Heat Release Coefficient (KJ/(m2·h·K))Calculation Time (h)
0–7272–200
Outer surface of the concreteβt18.3
Contact surface between the concrete column and the heating cableβt2418.60
Table 5. Parameters required for heat transfer.
Table 5. Parameters required for heat transfer.
ParameterDensityλSpecific Heat Capacity cCable Power Per Unit Length
unitkg·m−3kJ·(m·h·K)−1kJ·(kg·K)−1kW/m
value250090.9725
Table 6. Parameters of concrete model.
Table 6. Parameters of concrete model.
ParametersBasic Model ParametersGroup 1 Comparison ParametersGroup 2 Comparison Parameters
th (d)317
Ts (°C)654585
concrete casting temperature T0 (°C)15510
thermal conductivity λ (kJ/(m·h·K))10812
ambient temperature Ta (°C)−100−20
surface heat release coefficient (kJ/(m2·h·K))151020
th represents heating time, and Ts represents surface temperature of the electric heating system.
Table 7. Effect of key parameters on the temperature field.
Table 7. Effect of key parameters on the temperature field.
ParametersBasic ParametersComparison ParametersHR (°C/h)Tp (°C)Relatively Stable Phase CR (°C/h)Concrete Cooling Rate at the Moment of Power Outage (°C/h)
heating time (d)31−0.3
7+0.3
surface temperature of the electric heating system (°C)6545−0.35−13.21+0.07−0.08
85+0.17+12.83−0.09+0.08
concrete casting temperature (°C)105−0.91
15+1.34
thermal conductivity kJ/(m·h·K)108−0.1−1.2−0.06−0.61
12+0.03+1+0.12
ambient temperature Ta (°C)−100+1.64−0.1
−20−1.63+0.72
surface heat release coefficient kJ/(m2·h·K)1510+0.16+5.07−0.05−0.11
20−0.15−4.34+0.02+0.62
Note: “∼” in the table represents a small change of less than 0.01.
Disclaimer/Publisher’s Note: The statements, opinions and data contained in all publications are solely those of the individual author(s) and contributor(s) and not of MDPI and/or the editor(s). MDPI and/or the editor(s) disclaim responsibility for any injury to people or property resulting from any ideas, methods, instructions or products referred to in the content.

Share and Cite

MDPI and ACS Style

Han, J.; Liu, L.; Zuo, C.; Wang, H.; Lin, F.; Zhao, Y.; Li, T.; Liu, D. Evolution and Parametric Analysis of Concrete Temperature Field Induced by Electric Heating Curing in Winter. Sustainability 2023, 15, 8337. https://doi.org/10.3390/su15108337

AMA Style

Han J, Liu L, Zuo C, Wang H, Lin F, Zhao Y, Li T, Liu D. Evolution and Parametric Analysis of Concrete Temperature Field Induced by Electric Heating Curing in Winter. Sustainability. 2023; 15(10):8337. https://doi.org/10.3390/su15108337

Chicago/Turabian Style

Han, Jianyong, Lin Liu, Congbing Zuo, Haoshuang Wang, Fenglai Lin, Yue Zhao, Tianliang Li, and Dong Liu. 2023. "Evolution and Parametric Analysis of Concrete Temperature Field Induced by Electric Heating Curing in Winter" Sustainability 15, no. 10: 8337. https://doi.org/10.3390/su15108337

APA Style

Han, J., Liu, L., Zuo, C., Wang, H., Lin, F., Zhao, Y., Li, T., & Liu, D. (2023). Evolution and Parametric Analysis of Concrete Temperature Field Induced by Electric Heating Curing in Winter. Sustainability, 15(10), 8337. https://doi.org/10.3390/su15108337

Note that from the first issue of 2016, this journal uses article numbers instead of page numbers. See further details here.

Article Metrics

Back to TopTop