Comparative Spatial Vitality Evaluation of Traditional Settlements Based on SUF: Taking Anren Ancient Town’s Urban Design as an Example
Abstract
1. Introduction
1.1. Challenges of Traditional Settlements
1.2. Traditional Settlements Research in China
- (1)
- How can we form the vitality evaluation framework and initiate the urban design proposal in a traditional settlement based on SUF theory?
- (2)
- To what extent can the proposed urban design improve the existing traditional settlement?
2. Literature Review of Sustainable Urban Form
2.1. The Connotation of Sustainable Urban Form (SUF)
2.2. Spatial Vitality Creation and Evaluation
2.3. Research Framework Based on SUF

3. Anren Ancient Town Analysis and Urban Design Proposal
3.1. Anren Ancient Town Settlement
- (1)
- The streamline route is relatively chaotic and has poor accessibility.
- (2)
- The current land use is relatively monotonous, with low diversity and overall vitality. The number of supporting facilities, such as themed hotels, service centres and theme parks, is insufficient.
- (3)
- The current architectural form has a weak sense of connection, and there are significant differences in style and appearance. For example, the scenic spots lack integration, scenic areas are relatively isolated, and links between scenic spots and commercial streets are weak.
3.2. Urban Design Strategies and Proposals Based on SUF
- (1)
- Compact layout—improved accessibility; the overall proposal continues the texture of the West Sichuan Forest tissues (Figure 3a), enhances land use efficiency in the main functional area, and presents a “compact centre” spatial agglomeration pattern based on retaining the original water system’s green space. Additionally, the “Linpan” settlement space on the southwest side is tightly developed internally to improve the space utilisation rate. It ultimately forms a locally dispersed spatial distribution pattern with a compact centre.
- (2)
- Function mixing—diversity improvement; the functions within the venue focus on multiple types of mixed land, especially the design of three spatial clusters around the vitality core: “Immersion Manor”, “Creative Garden”, and “Lehuo Garden”, covering various types of auxiliary functions (Figure 3b), such as exhibitions, hotels, leisure, entertainment, and so on. In terms of the premise of respecting and inheriting the spatial structure of the Western Sichuan forest tray, it enhances the functional mix within the forest tray, and adds various functions such as farmhouse entertainment, shared kitchens, and characteristic homestays.
- (3)
- Diversity of forms—improvement of diversity; the architecture and spatial morphological design proposal are diverse. The buildings on the south and north sides continue the texture of the mansion, while the central facilities assume the core functions of the plot (Figure 3c). Spatial and symbolic images are extracted and redesigned based on the local characteristic texture and material cultural forms. The main architectural form is the courtyard style (Figure 4a). While shaping the form, the design also pays attention to controlling the alignment rate of the buildings on the plot, forming a relatively continuous street interface, paying attention to the node design of landmark buildings, and enhancing the memory space of the place.
4. Data and Analysis Methods
4.1. Data Acquisition
4.2. Analysis Methods
5. Spatial Vitality before and after Analysis Results
5.1. Space Syntax—Accessibility Analysis
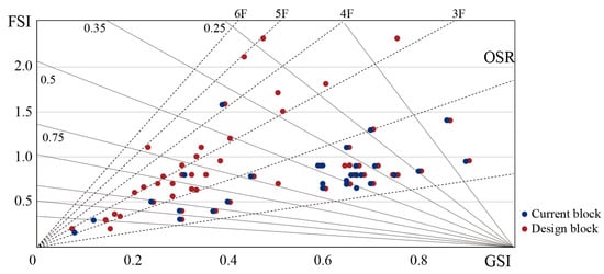
5.2. Spacemate—Analysis of Building Density and Form
5.3. MXI—Functional Mix Analysis
5.4. Comparative Analysis of the Vitality Evaluation
6. Discussion and Conclusions
6.1. Discussion
- (1)
- The accessibility of a settlement space should consider comprehensive transportation factors, such as vehicles, pedestrians, water, etc. In the design proposal, the “slow” life experience of the settlement space is enhanced by creating a comprehensive transportation system with all elements, such as a slow-moving ecological system, and a “water bus” cruise system. In general, in the process of shaping spatial accessibility, it is not only important to focus on the impact of a single “road traffic” attribute on spatial vitality [74], but also to use a multi-dimensional “traffic” system as a medium for spatial intervention to strengthen the connection between various elements of space. However, it should avoid excessive growth and be in line with the actual development condition.
- (2)
- Building density and form are essential indicators of spatial vitality. On the level of building density, it is advocated to activate spatial vitality through appropriate building density. In some cities and places in China, many copy-and-paste styles from Europe and America have been introduced to attract people’s attention. Although this increases the diversity of urban forms, it substantially destroys local culture. The proposal discussed encourages the carrying out of relevant planning and design under the concept of ecological civilisation, respects the existing landscape texture and natural background [75], conducts intensive and appropriate development based on local conditions, and promotes spatial integration. At the same time, on the overall form level, attention should be paid to the guidance of regional culture and style characteristics [76]. It needs to exhaustively investigate existing buildings’ architectural vocabulary and cultural symbols, refine the cultural representation of space, shape buildings and spatial forms based on localisation [77], and highlight the construction of “characteristic towns” under the guidance of local culture.
- (3)
- The degree of functional mixing is also an essential factor in creating vital urban settlements. The analysis results of the functional mixing degree indicate a significant correlation between spatial vitality and functional mixing degree, which is also consistent with relevant research [62]. The abundant functional mixing degree guides spatial element aggregation, strengthening spatial coordination, functional adaptability, and transportation accessibility. From the perspective of sustainable urban morphology, functional mixing requires the deep cultivation of regional culture, cultivation of relevant cultural and creative industries, and promotion of localised development. At the same time, considering the principle of proximity [78], attention must be paid to the relationship between overall planning and the current situation, and the design of single elements must be replaced with an integrated and comprehensive regional coordination design orientation, thereby promoting the vitality of the settlement space.
6.2. Conclusions
6.3. Limitation
Author Contributions
Funding
Institutional Review Board Statement
Informed Consent Statement
Data Availability Statement
Conflicts of Interest
References
- Gu, X.; Xie, B.; Zhang, Z.; Guo, H. Rural multifunction in Shanghai suburbs: Evaluation and spatial characteristics based on villages. Habitat Int. 2019, 92, 102041. [Google Scholar] [CrossRef]
- Hao, P.; Sliuzas, R.; Geertman, S. The development and redevelopment of urban villages in Shenzhen. Habitat Int. 2011, 35, 214–224. [Google Scholar] [CrossRef]
- Aguilar, A.G.; Ward, P.M.; Smith, C.B. Globalization, Regional Development, and Mega-City Expansion in Latin America: Analyzing Mexico City’s Peri-Urban Hinterland. Cities 2003, 20, 3–21. [Google Scholar] [CrossRef]
- Ford, A.; Carr, A.; Mildwaters, N.; Fonotti, D.; Jackmond, G. Promoting Cultural Heritage for Sustainable Tourism Development: Samoa; New Zealand Institute for Pacific Research: Auckland, New Zealand, 2019; ISBN 0473482819. [Google Scholar]
- Palmer, C.G.; Fry, A.; Libala, N.; Ralekhetla, M.; Mtati, N.; Weaver, M.; Mtintsilana, Z.; Scherman, P.-A. Engaging society and building participatory governance in a rural landscape restoration context. Anthropocene 2022, 37, 100320. [Google Scholar] [CrossRef]
- Ristić, D.; Vukoičić, D.; Milinčić, M. Tourism and sustainable development of rural settlements in protected areas–Example NP Kopaonik (Serbia). Land Use Policy 2019, 89, 104231. [Google Scholar] [CrossRef]
- Xu, J.; Yang, M.; Hou, C.; Lu, Z.; Liu, D. Distribution of rural tourism development in geographical space: A case study of 323 traditional villages in Shaanxi, China. Eur. J. Remote Sens. 2021, 54, 318–333. [Google Scholar] [CrossRef]
- Yarrow, T. Building on the Past: Exploring the Intersections between Energy, Environment and Authenticity through an Ethnographic Study of Renovation. In Proceedings of the 2nd International Conference on Preservation, Maintenance and Rehabilitation of Historic Buildings and Structures, Porto, Portugal, 22–24 July 2015; pp. 22–24. [Google Scholar]
- Philokyprou, M.; Michael, A. Environmental Sustainability in the Conservation of Vernacular Architecture. The Case of Rural and Urban Traditional Settlements in Cyprus. Int. J. Arch. Herit. 2021, 15, 1741–1763. [Google Scholar] [CrossRef]
- Saleh, M.A.E. The Integration of Tradition and Modernity: A Search for an Urban and Architectural Identity in Arriyadh, the Capital of Saudi Arabia. Habitat Int. 1998, 22, 571–589. [Google Scholar] [CrossRef]
- Frey, H. Designing the City: Towards a More Sustainable Urban Form; Taylor & Francis: New York, NY, USA, 2003; ISBN 1135814058. [Google Scholar]
- Chen, X.; Xie, W.; Li, H. The spatial evolution process, characteristics and driving factors of traditional villages from the perspective of the cultural ecosystem: A case study of Chengkan Village. Habitat Int. 2020, 104, 102250. [Google Scholar] [CrossRef]
- Al, S.; Shan, P.C.H.; Juhre, C.; Valin, I.; Wang, C. (Eds.) Villages in the City: A Guide to South China’s Informal Settlements; Hong Kong University Press: Hong Kong, China, 2014; Volume 1, ISBN 9888208233. [Google Scholar]
- Hakim, B.S. Generative processes for revitalizing historic towns or heritage districts. Urban Des. Int. 2007, 12, 87–99. [Google Scholar] [CrossRef]
- Chen, K.; Liu, J.; Xiao, L. Research on Strategies of Urban Design of Tourist Towns Basing on Humanism: Taking the Urban Design of Lulang Tourist Town of Tibet as an Example. Ecol. Econ. 2017, 33, 6. [Google Scholar]
- Chen, J.; Pellegrini, P.; Yang, Z.; Wang, H. Strategies for Sustainable Urban Renewal: Community-Scale GIS-Based Analysis for Densification Decision Making. Sustainability 2023, 15, 7901. [Google Scholar] [CrossRef]
- Ministry of Commerce of The People’s Republic of China. Opinions of the State Council on Implementing the Rural Revitalization Strategy; Ministry of Commerce of The People’s Republic of China: Beijing, China, 2018.
- The State Council of the People’s Republic of China. The State Council Guiding Opinions of the National Development and Reform Commission on Accelerating the Construction of Small (Urban) Towns with Beautiful Characteristics; The State Council of the People’s Republic of China: Beijing, China, 2016.
- National Development and Reform Commission. Several Opinions of the National Development and Reform Commission on Standardizing and Promoting the Construction of Characteristic Towns and Small Towns; National Development and Reform Commission: Beijing, China, 2017.
- Yang, X.; Pu, F. Spatial Cognitive Modeling of the Site Selection for Traditional Rural Settlements: A Case Study of Kengzi Village, Southern China. J. Urban Plan. Dev. 2020, 146, 05020026. [Google Scholar] [CrossRef]
- Dong, T.; Jiao, L.; Xu, G.; Yang, L.; Liu, J. Towards sustainability? Analyzing changing urban form patterns in the United States, Europe, and China. Sci. Total Environ. 2019, 671, 632–643. [Google Scholar] [CrossRef] [PubMed]
- Jalaladdini, S.; Oktay, D. Urban Public Spaces and Vitality: A Socio-Spatial Analysis in the Streets of Cypriot Towns. Procedia-Soc. Behav. Sci. 2012, 35, 664–674. [Google Scholar] [CrossRef]
- Bibri, S.E. Data-driven smart sustainable cities of the future: An evidence synthesis approach to a comprehensive state-of-the-art literature review. Sustain. Future 2021, 3, 100047. [Google Scholar] [CrossRef]
- Hu, J.; Ren, L.J.; Yun, Y. Review of Foreign Studies on Sustainable Urban Form from the Perspective of Healthy Cities. Urban Plan. Int. 2021, 36, 11. [Google Scholar]
- Wang, Y. Compact Growth: Urban Form, Density, and Sustainability. Urban Plan. Int. 2017, 32, 1. [Google Scholar] [CrossRef]
- Duan, J.; Ji, S. Method of Problem-Oriented Comprehensive Urban Design. City Plan. Rev. 2015, 7, 57–63. [Google Scholar]
- Masnavi, M.R.; Gharai, F.; Hajibandeh, M. Exploring urban resilience thinking for its application in urban planning: A review of literature. Int. J. Environ. Sci. Technol. 2018, 16, 567–582. [Google Scholar] [CrossRef]
- Milder, J. Sustainable Urban Form. In Sustainable Urban Environments: An Ecosystem Approach; Springer: Dordrecht, The Netherlands, 2011; pp. 263–284. [Google Scholar]
- Holden, E. Ecological footprints and sustainable urban form. J. Hous. Built Environ. 2004, 19, 91–109. [Google Scholar] [CrossRef]
- Jabareen, Y.R. Sustainable Urban Forms: Their Typologies, Models, and Concepts. J. Plan. Educ. Res. 2006, 26, 38–52. [Google Scholar] [CrossRef]
- Lynch, K. Good City Form; The MIT Press: Cambridge, MA, USA, 1984. [Google Scholar]
- Wentz, E.A.; York, A.M.; Alberti, M.; Conrow, L.; Fischer, H.; Inostroza, L.; Jantz, C.; Pickett, S.T.; Seto, K.C.; Taubenböck, H. Six fundamental aspects for conceptualizing multidimensional urban form: A spatial mapping perspective. Landsc. Urban Plan. 2018, 179, 55–62. [Google Scholar] [CrossRef]
- Jones, C.; Leishman, C.; MacDonald, C. Sustainable Urban Form and Residential Development Viability. Environ. Plan. A 2009, 41, 1667–1690. [Google Scholar] [CrossRef]
- Dorst, H.; van der Jagt, A.; Raven, R.; Runhaar, H. Urban greening through nature-based solutions—Key characteristics of an emerging concept. Sustain. Cities Soc. 2019, 49, 101620. [Google Scholar] [CrossRef]
- Mobaraki, A.; Vehbi, B.O. A Conceptual Model for Assessing the Relationship between Urban Morphology and Sustainable Urban Form. Sustainability 2022, 14, 2884. [Google Scholar] [CrossRef]
- Moroke, T.; Schoeman, C.; Schoeman, I. Developing a neighbourhood sustainability assessment model: An approach to sustainable urban development. Sustain. Cities Soc. 2019, 48, 101433. [Google Scholar] [CrossRef]
- Dadashpoor, H.; Azizi, P.; Moghadasi, M. Analyzing spatial patterns, driving forces and predicting future growth scenarios for supporting sustainable urban growth: Evidence from Tabriz metropolitan area, Iran. Sustain. Cities Soc. 2019, 47, 101502. [Google Scholar] [CrossRef]
- Wu, Y.; Yuan, J. Is There a Regulation in the Expansion of Urban Spatial Structure? Empirical Study from the Main Urban Area in Zhengzhou, China. Sustainability 2022, 14, 2883. [Google Scholar] [CrossRef]
- Korkmaz, C.; Balaban, O. Sustainability of urban regeneration in Turkey: Assessing the performance of the North Ankara Urban Regeneration Project. Habitat Int. 2020, 95, 102081. [Google Scholar] [CrossRef]
- Hu, J.; Ren, L.J.; Liu, L.; Liu, D.; Yun, Y. Model Construction of Zhengzhou Urban Form Evolution Based on the Factor Analysis. J. Guilin Univ. Technol. 2018, 38, 263–268. [Google Scholar]
- Huang, J.; Cui, Y.; Chang, H.; Obracht-Prondzyńska, H.; Kamrowska-Zaluska, D.; Li, L. A city is not a tree: A multi-city study on street network and urban life. Landsc. Urban Plan. 2022, 226, 104469. [Google Scholar] [CrossRef]
- Vythoulka, A.; Delegou, E.T.; Caradimas, C.; Moropoulou, A. Protection and Revealing of Traditional Settlements and Cultural Assets, as a Tool for Sustainable Development: The Case of Kythera Island in Greece. Land 2021, 10, 1324. [Google Scholar] [CrossRef]
- Long, Y.; Ye, Y. Humanistic Scale Urban Form: Measurement, Effect Assessment, and Planning and Design Responses. South Archit. 2016, 6, 7. [Google Scholar]
- Liu, M.; Jiang, Y.; He, J. Quantitative Evaluation on Street Vitality: A Case Study of Zhoujiadu Community in Shanghai. Sustainability 2021, 13, 3027. [Google Scholar] [CrossRef]
- Carmona, M.; Tiesdell, S.; Health, T.; Oc, T. Public Places, Urban Spaces: The Dimensions of Urban Design; Architectural Press: New York, NY, USA, 2010. [Google Scholar]
- Liu, Q.; Liao, Z.; Wu, Y.; Degefu, D.M.; Zhang, Y. Cultural Sustainability and Vitality of Chinese Vernacular Architecture: A Pedigree for the Spatial Art of Traditional Villages in Jiangnan Region. Sustainability 2019, 11, 6898. [Google Scholar] [CrossRef]
- Xiang, L.; Tian, Y.; Pan, Y. Study on landscape evaluation and optimization strategy of Central Park in Qingkou Town. Sci. Rep. 2022, 12, 1978. [Google Scholar] [CrossRef]
- Liu, H.; Li, X. Understanding the Driving Factors for Urban Human Settlement Vitality at Street Level: A Case Study of Dalian, China. Land 2022, 11, 646. [Google Scholar] [CrossRef]
- Eizenberg, E.; Jabareen, Y. Social Sustainability: A New Conceptual Framework. Sustainability 2017, 9, 68. [Google Scholar] [CrossRef]
- Chen, J.; Pellegrini, P.; Wang, H.; Ma, G. Sustainable Urban Form Based Old Community Regeneration–Taking Jing’anli Community in Tianjin as an Example. Int. J. Arch. Arts Appl. 2022, 8, 72–81. [Google Scholar] [CrossRef]
- Chen, J.; Pellegrini, P.; Xu, Y.; Ma, G.; Wang, H.; An, Y.; Shi, Y.; Feng, X. Evaluating Residents’ Satisfaction before and after Regeneration. The Case of a High-Density Resettlement Neighbourhood in Suzhou, China. Cogent Soc. Sci. 2022, 8, 2144137. [Google Scholar] [CrossRef]
- Chen, J.; Pellegrini, P.; Wang, H. Comparative Residents’ Satisfaction Evaluation for Socially Sustainable Regeneration—The Case of Two High-Density Communities in Suzhou. Land 2022, 11, 1483. [Google Scholar] [CrossRef]
- Chan, H.K.; Sun, X.; Chung, S.-H. When should fuzzy analytic hierarchy process be used instead of analytic hierarchy process? Decis. Support Syst. 2019, 125, 113114. [Google Scholar] [CrossRef]
- Ameyaw, E.E.; Hu, Y.; Shan, M.; Chan, A.P.C.; Le, Y. Application of Delphi Method in Construction Engineering and Management Research: A Quantitative Perspective. J. Civ. Eng. Manag. 2016, 22, 991–1000. [Google Scholar] [CrossRef]
- Shahraiyni, H.T.; Sodoudi, S. Statistical Modeling Approaches for PM10 Prediction in Urban Areas; A Review of 21st-Century Studies. Atmosphere 2016, 7, 15. [Google Scholar] [CrossRef]
- Shafabakhsh, G.A.; Famili, A.; Bahadori, M.S. GIS-based spatial analysis of urban traffic accidents: Case study in Mashhad, Iran. J. Traffic Transp. Eng. 2017, 4, 290–299. [Google Scholar] [CrossRef]
- Long, Y.; Tang, J. Large-Scale Quantitative Measurement of the Quality of Urban Street Space: The Research Progress. City Plan. Rev. 2019, 43, 8. [Google Scholar]
- Ye, Y.; Zhuang, Y.; Zhang, L. Designing Urban Spatial Vitality from Morphological Perspective—A Study Based on Quantified Urban Morphology and Activities’ Testing. Urban Plan. Int. 2016, 1, 26–33. [Google Scholar]
- Tang, L.; Lin, Y.; Li, S.; Li, S.; Li, J.; Ren, F.; Wu, C. Exploring the Influence of Urban Form on Urban Vibrancy in Shenzhen Based on Mobile Phone Data. Sustainability 2018, 10, 4565. [Google Scholar] [CrossRef]
- Xing, Z.; Guo, W.; Liu, J.; Xu, S. Toward the Sustainable Development of the Old Community: Proposing a Conceptual Framework Based on Meaning Change for Space Redesign of Old Communities and Conducting Design Practices. Sustainability 2022, 14, 4755. [Google Scholar] [CrossRef]
- Bramley, G.; Power, S. Urban form and social sustainability: The role of density and housing type. Environ. Plan. B Urban Anal. City Sci. 2009, 36, 30–48. [Google Scholar] [CrossRef]
- Ye, Y.; Zhuang, Y. A Hypothesis of Urban Morphogenesis and Urban Vitality in Newly Built-up Areas: Analyses Based on Street Accessibility, Building Density and Functional Mixture. Urban Plan. Int. 2017, 32, 43–49. [Google Scholar] [CrossRef]
- Xia, C.; Zhang, A.; Yeh, A.G.O. The Varying Relationships between Multidimensional Urban Form and Urban Vitality in Chinese Megacities: Insights from a Comparative Analysis. Ann. Am. Assoc. Geogr. 2021, 112, 141–166. [Google Scholar] [CrossRef]
- Huang, J.; Cui, Y.; Li, L.; Guo, M.; Ho, H.C.; Lu, Y.; Webster, C. Re-examining Jane Jacobs’ doctrine using new urban data in Hong Kong. Environ. Plan. B Urban Anal. City Sci. 2023, 50, 76–93. [Google Scholar] [CrossRef]
- Chen, J.; Tian, W.; Xu, K.; Pellegrini, P. Testing Small-Scale Vitality Measurement Based on 5D Model Assessment with Multi-Source Data: A Resettlement Community Case in Suzhou. ISPRS Int. J. Geo-Inf. 2022, 11, 626. [Google Scholar] [CrossRef]
- Zhu, M.; Dong, J.; Gao, Y. The Research on Temporal–Spatial Distribution and Morphological Characteristics of Ancient Settlements in the Songhua River Basin. Sustainability 2019, 11, 932. [Google Scholar] [CrossRef]
- Huang, J.; Obracht-Prondzynska, H.; Kamrowska-Zaluska, D.; Sun, Y.; Li, L. The image of the city on social media: A comparative study using “Big Data” and “Small Data” methods in the Tri-City Region in Poland. Landsc. Urban Plan. 2021, 206, 103977. [Google Scholar] [CrossRef]
- Ye, Y. The New Potentials of Urban Design in the Context of New Urban Science. J. Hum. Settl. West China 2019, 34, 9. [Google Scholar]
- Chen, C. Evaluation Methods and Optimization Strategies for Low-Carbon-Oriented Urban Road Network Structures: A Case Study of Shanghai. Sustainability 2023, 15, 5803. [Google Scholar] [CrossRef]
- Cooper, C.H.; Chiaradia, A.J. sDNA: 3-d spatial network analysis for GIS, CAD, Command Line & Python. Softwarex 2020, 12, 100525. [Google Scholar] [CrossRef]
- Ye, Y.; van Nes, A. Quantitative tools in urban morphology: Combining space syntax, spacematrix and mixed-use index in a GIS framework. Urban Morphol. 2014, 18, 97–118. [Google Scholar] [CrossRef]
- Bernardi, E.; Carlucci, S.; Cornaro, C.; Bohne, R.A. An Analysis of the Most Adopted Rating Systems for Assessing the Environmental Impact of Buildings. Sustainability 2017, 9, 1226. [Google Scholar] [CrossRef]
- Kotharkar, R.; Bahadure, P.; Sarda, N. Measuring Compact Urban Form: A Case of Nagpur City, India. Sustainability 2014, 6, 4246–4272. [Google Scholar] [CrossRef]
- Zhang, N. A Preliminary Study of Slow Traffic System to Activate the Vitality of Historic Districts Take Wuhan Tanhualin Historic District as an example. IOP Conf. Ser. Earth Environ. Sci. 2021, 647, 012206. [Google Scholar] [CrossRef]
- Cucari, N.; Wankowicz, E.; De Falco, S.E. Rural tourism and Albergo Diffuso: A case study for sustainable land-use planning. Land Use Policy 2019, 82, 105–119. [Google Scholar] [CrossRef]
- Min, Z.; Li, Q. Restoration and Regeneration of Traditional Villages’ Culture under Rural Governance: A Case Study of Zhentou Village in Ji’ an County. J. Landsc. Res. 2017, 9, 113–116. [Google Scholar]
- Zordan, M.; Talamini, G.; Villani, C. The Association between Ground Floor Features and Public Open Space Face-to-Face Interactions: Evidence from Nantou Village, Shenzhen. Int. J. Environ. Res. Public Health 2019, 16, 4934. [Google Scholar] [CrossRef]
- Cruz, S.S.; Costa, J.P.T.A.; De Sousa, S.; Pinho, P. Urban Resilience and Spatial Dynamics. In Resilience Thinking in Urban Planning; Springer: Dordrecht, The Netherlands, 2012; pp. 53–69. [Google Scholar] [CrossRef]
- Oktay, D. Urban design for sustainability: A study on the Turkish city. Int. J. Sustain. Dev. World Ecol. 2004, 11, 24–35. [Google Scholar] [CrossRef]
- Akbar, N.; Abubakar, I.R.; Bouregh, A.S. Fostering Urban Sustainability through the Ecological Wisdom of Traditional Settlements. Sustainability 2020, 12, 10033. [Google Scholar] [CrossRef]
- Zarin, S.Z.; Niroomand, M.; Heidari, A.A. Physical and Social Aspects of Vitality Case Study: Traditional Street and Modern Street in Tehran. Procedia-Soc. Behav. Sci. 2015, 170, 659–668. [Google Scholar] [CrossRef]








| Item | Usage | Contents | Source |
|---|---|---|---|
| Road Data | Road accessibility analysis | Draw a road axis map based on the road trend. | Satellite map; the master plan of urban design. |
| Building Indicator | Form matrix analysis | Building floors, built-up area and building type data. | Field survey; urban design architectural composition. |
| Function area | Functional Mix Analysis | Internal functional area data of the building. | Field survey; urban design function analysis chart. |
| Measurement Method | Equation | Meaning |
|---|---|---|
| Road Accessibility (RA) | RA = NQPDAn in sDNA | NQPDAn is an indicator in sDNA that calculates global accessibility, reflecting the accessibility level of roads based on its numerical value. |
| Building Form and Construction Intensity (BC) | BC = L:Form | F is the single-storey building area, L is the number of building floors, Fx is the total building area, Ax is the plot area, and Bx is the floor area of the building. Form is the architectural form, and different architectural forms can reflect the construction intensity and density [71]. |
| Functional Mix (FM) | Pw is the percentage of working places, Pc is the percentage of commercial places, Pr is the percentage of living places, Sw, Sc and Sr refer to the work, residence, and business areas, and S refers to the total area. | |
| Vitality (V) | V = RA + BC + PM | The road accessibility, building form, construction intensity, and functional mix are superimposed. |
| Form Element Evaluation | Street Accessibility | Building Density and Morphology | Function Mixing Degree | Superimposed Result | |
|---|---|---|---|---|---|
| Current urban space | High | 7.32% | 0.00% | 0.00% | 0.00% |
| Middle | 87.80% | 1.05% | 17.07% | 6.10% | |
| Low | 4.88% | 98.95% | 82.93% | 93.90% | |
| Urban design proposal | High | 14.81% | 5.56% | 1.85% | 6.48% |
| Middle | 72.22% | 3.70% | 33.33% | 8.33% | |
| Low | 12.96% | 90.74% | 64.81% | 85.19% |
Disclaimer/Publisher’s Note: The statements, opinions and data contained in all publications are solely those of the individual author(s) and contributor(s) and not of MDPI and/or the editor(s). MDPI and/or the editor(s) disclaim responsibility for any injury to people or property resulting from any ideas, methods, instructions or products referred to in the content. |
© 2023 by the authors. Licensee MDPI, Basel, Switzerland. This article is an open access article distributed under the terms and conditions of the Creative Commons Attribution (CC BY) license (https://creativecommons.org/licenses/by/4.0/).
Share and Cite
Chen, J.; Wang, H.; Yang, Z.; Li, P.; Ma, G.; Zhao, X. Comparative Spatial Vitality Evaluation of Traditional Settlements Based on SUF: Taking Anren Ancient Town’s Urban Design as an Example. Sustainability 2023, 15, 8178. https://doi.org/10.3390/su15108178
Chen J, Wang H, Yang Z, Li P, Ma G, Zhao X. Comparative Spatial Vitality Evaluation of Traditional Settlements Based on SUF: Taking Anren Ancient Town’s Urban Design as an Example. Sustainability. 2023; 15(10):8178. https://doi.org/10.3390/su15108178
Chicago/Turabian StyleChen, Jinliu, Haoqi Wang, Zhuo Yang, Pengcheng Li, Geng Ma, and Xiaoxin Zhao. 2023. "Comparative Spatial Vitality Evaluation of Traditional Settlements Based on SUF: Taking Anren Ancient Town’s Urban Design as an Example" Sustainability 15, no. 10: 8178. https://doi.org/10.3390/su15108178
APA StyleChen, J., Wang, H., Yang, Z., Li, P., Ma, G., & Zhao, X. (2023). Comparative Spatial Vitality Evaluation of Traditional Settlements Based on SUF: Taking Anren Ancient Town’s Urban Design as an Example. Sustainability, 15(10), 8178. https://doi.org/10.3390/su15108178

