Next Article in Journal
A Meta-Regression Analysis of Hunters’ Valuations of Recreational Hunting
Next Article in Special Issue
Static and Dynamic Load Transfer Behaviors of the Composite Foundation Reinforced by the Geosynthetic-Encased Stone Column
Previous Article in Journal
Design Thinking Approach for Increasing Innovative Action in Universities: ICT’s Mediating Effect
Previous Article in Special Issue
Influence of Thermal Behavior on the Safety Performance of the Pit Enclosure near Railway Foundations under Solar Radiation
 
 
Font Type:
Arial Georgia Verdana
Font Size:
Aa Aa Aa
Line Spacing:
Column Width:
Background:
Article

Experiments and Modeling of the Attenuation of the Dynamic Elastic Modulus of Saturated Red Clay under Cyclic Loading

1
College of Civil Engineering, Fuzhou University, Fuzhou 350116, China
2
College of Civil Engineering, Xiamen University Tan Kah Kee College, Zhangzhou 363105, China
3
National Engineering Laboratory for Surface Transportation Weather Impacts Prevention, Broadvision Engineering Consultants, Kunming 650041, China
*
Author to whom correspondence should be addressed.
Sustainability 2023, 15(1), 26; https://doi.org/10.3390/su15010026
Submission received: 13 October 2022 / Revised: 14 November 2022 / Accepted: 21 November 2022 / Published: 20 December 2022

Abstract

Due to the long-term effect of cyclic traffic loads, the accumulated deformation of red clay subgrades is increasing, strength is decreasing, and problems such as uneven settlement are occurring. In order to improve the stability and durability of red clay subgrade, this paper analyzes the effects of cyclic stress ratios and compactness on the development of the dynamic elastic modulus of saturated red clay. This is achieved through dynamic triaxial tests on red clay in the Qingyuan County, Zhejiang Province, China. The results show that the saturated red clay has an attenuation threshold cyclic stress ratio under cyclic loading. The attenuation threshold cyclic stress ratio prediction models were constructed based on the confining pressure and compactness, respectively. By introducing the concept of a relative cyclic stress ratio, the prediction model of the dynamic elastic modulus of saturated red clay (as based on cyclic vibration times and close cyclic stress ratio) is constructed. The model realizes the prediction of the dynamic elastic modulus of red clay under arbitrary cyclic vibration times via the initial cyclic stress ratio, compactness, and other parameters. It provides a theoretical basis for rationally evaluating the dynamic stability of red clay subgrade under cyclic loading.

1. Introduction

As a special soil, red clay is widely distributed in southern China, among which Guizhou, Yunnan, and Guangxi are the most typical; and for which Sichuan, Anhui, Hunan, Hubei, and southeast coast are also included. As the red clay possesses “water absorption and expansion, water loss and shrinkage” subgrade engineering characteristics, in the road foundation project the long-term role of the traffic cycle load leads to red clay road foundation settlement, cracking, slippage, and other engineering disasters. This is even in addition to excessive settlement, uneven settlement, and other problems. This also directly limits the application of red clay in road engineering, thereby restricting the implementation of the concept of green sustainable development.
In the environment of environmental protection and sustainable development—to ensure the performance of red clay while realizing its potential ecological value, as well as to improve the stability and durability of red clay subgrade—it is necessary to study the attenuation law of the dynamic elastic modulus of red clay. Currently, the research on the dynamic elastic modulus of soils under cyclic loading at home and abroad is primarily concentrated in clay, residual soil, sandy cobble soil, etc.; however, the research on red clay, specifically, is relatively less so. The most widely used method is to analyze the attenuation law of the dynamic elastic modulus of red clay using indoor dynamic triaxial tests. It has been found that the dynamic elastic modulus of remodeled red clay increases with the increase in compactness and confining pressure [1,2,3], and that increasing the compactness and the confining pressure can significantly improve the deformation resistance of red clay [3]. This dynamic elastic modulus of remodeled red clay is exponentially proportional to the dynamic stress [3]. The effect of compactness on the dynamic elastic modulus of red clay is, in fact, more significant than that of moisture [4,5,6].
In regard to compacted red clay, the dynamic elastic modulus tends to stabilize at fewer cyclic vibrations when the dynamic stress is minor; moreover, at higher dynamic stress, the dynamic elastic modulus decreases rapidly with cyclic pulses and then tends to stabilize [5,6,7,8,9,10,11]. Tang [12], Cai [13], Lei [14], and Liu [15] found that there was a critical cyclic stress ratio for the development of the dynamic elastic modulus of cohesive soils under cyclic loading. Mu [5,16], Yang [9], Zhang [17], Zhang [18], Liu [6,19], Chen [20], and others confirmed that red clay is the same. When the cyclic stress ratio is greater than the critical cyclic stress ratio, the cumulative deformation develops rapidly with the cyclic vibration times. The deformation curve transitions from stable to destructive, and the soil sample is finally destroyed. Therefore, determining the critical cyclic stress ratio of red clay under different working conditions is the key to judging the cumulative deformation development type and dynamic elastic modulus attenuation law of red clay under cyclic loading.
Currently, there are two main methods used to predict the dynamic elastic modulus of soil. The first one is to establish the constitutive model of soil. This is due to the fact that it is not only difficult to calculate the attenuation of the dynamic elastic modulus by the constitutive model, but also as it has a significant large deviation from the actual data and through its weak applicability. The second is an empirical fitting method, but there are few studies on the dynamic elastic modulus prediction model of red clay. Wu [3,21] proposed a model considering the cyclic stress ratio, average initial consolidation pressure, initial consolidation stress ratio, and cyclic vibration times, with more complicated model parameters. Long [22] evaluated the effects of confining pressure, consolidation stress ratio, and vibration frequency on the dynamic parameters of red clay. They then obtained the fitting parameters for the dynamic stress-–strain relationship of red clay.
In summary, this paper conducted GDS dynamic triaxial tests on red clay in the Qingyuan County, Zhejiang Province in order to study the development of the dynamic elastic modulus with cyclic vibration times in saturated red clay under different compaction degrees, different cyclic stress ratios, and different confining pressures. It defined the attenuation threshold cyclic stress ratio and proposed a prediction model of the attenuation threshold cyclic stress ratio based on confining pressures and compaction degrees. By introducing the concept of the cyclic stress ratio, the dynamic elastic modulus prediction model of saturated red clay is constructed. The model realizes the prediction of the dynamic elastic modulus of red clay under arbitrary cyclic vibration times by initial cyclic stress ratios, compactness, and other parameters. It provides a theoretical basis for rationally evaluating the dynamic stability of red clay subgrade under cyclic loading, as well as to provide a research basis for future research on new types of subgrades in order to adapt to complex environmental conditions.

2. Materials and Methods

2.1. Material Parameters

The red clay used for the test was taken from Qingyuan County, Zhejiang Province. The on-site red clay was brick red and clumped significantly; the air-dried red clay was primarily loose and reddish brown, as shown in Figure 1. Indoor tests on the physical parameters of red clay were carried out according to the test methods detailed in the Geotechnical Test Method Standard [23]; the results of which are shown in Table 1.
As can be seen from Table 1, the liquid limit of the test soil is 60.1%, which is a high liquid limit special soil.

2.2. Test Parameters

The tests were conducted with an Eldyn standard dynamic triaxial test system, as shown in Figure 2.
The test specimens were cylindrical, 50 mm in diameter, and 100 mm in height; further, they were formed by layered compaction, as can be seen in Figure 3. The specimens were first saturated until the pore pressure parameter B ≥ 0.96, and then consolidation was started. The test was carried out with isotropic consolidation. A biased sinusoidal wave [24] was used for the purposes of cyclic loading in order to simulate the effect of cyclic loading on the subgrade. The corresponding loading waveform is shown in Figure 4. Moreover, the test was stopped when the total number of loading cycles was at 10,000.
This study aimed to investigate the effects of different compaction degrees, cyclic stress ratios, confining pressures, and loading frequencies on the cumulative deformation of red clay. Four compaction degrees of 86%, 90%, 94%, and 98% were selected with a gradient of 4%; furthermore, 7+2 (additional tests) cyclic stress ratios were established. The vertical earth pressure inside the subgrade was estimated by the height of a typical highway embankment (fill weight was calculated as 20kN/m3), as well as according to the calculation results, i.e., three confining pressures of 50 kPa, 100 kPa, and 150 kPa were selected. In addition, the loading frequencies of 0.5 Hz, 1.0 Hz, and 2.0 Hz were chosen according to the influence of the vehicle vibration frequency. The test parameters are shown in Table 2; further, 34 sets of tests were conducted.

3. Experimental Results

3.1. Under Different Cyclic Stress Ratios

Cyclic stress ratios are defined as the ratio of vertical dynamic stress ( σ d ) to twice the consolidation pressure ( σ c ), as shown in Equation (1).
CSR = σ d / 2 σ c
Seven groups of dynamic triaxial test results (where compactness 94%, confining pressure 100 kPa, and loading frequency 1 Hz) with different CSR (0.1, 0.2, 0.3, 0.35, 0.4, 0.5, and 0.6) were selected in order to analyze the development of the dynamic elastic modulus of red clay with cyclic vibration times under different CSR, as shown in Figure 5.
From Figure 5 it can be seen that: (i) The larger the CSR is, the smaller the dynamic elastic modulus is. The higher the cyclic stress ratio, the more significant the compression-density effect; additionally, the higher the cumulative plastic strain, then the lower the dynamic elastic modulus. (ii) The larger the CSR is, the faster the attenuation of the dynamic elastic modulus with cyclic vibration times is. (iii) When the CSR is less than 0.4, the dynamic elastic modulus decays to a minimum value at N = 1000 vibrations, from there increasing gradually and slowly. This is because the strain is minimal under low dynamic stress conditions. The specimen undergoes a phenomenon similar to compression hardening and crowding, with the dynamic properties gradually increasing. The above law of decay and the growth of the dynamic elastic modulus is consistent with the experimental results of Liu [25] and Huang [26]. (iv) When the CSR ≥ 0.4, the dynamic elastic modulus decreases rapidly at the beginning of loading and then decreases slowly.
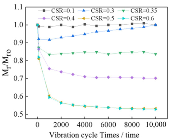
The ratio of the dynamic elastic modulus Mr to the initial dynamic elastic modulus Mr0 at each moment was taken. Further, the degree of decay of the dynamic elastic modulus with cyclic vibrations was analyzed, details of which can be seen in Figure 6.
Figure 6 shows that: (i) The greater the cyclic stress ratio is, the more there is an attenuation of the dynamic elastic modulus. When the CSR was 0.35, 0.40, 0.50, and 0.60, the dynamic elastic modulus decreased by 16.3%, 29.9%, 46.8%, and 47.3%, respectively. (ii) When the CSR is 0.50, the initial dynamic elastic modulus is greater than that when the CSR is 0.60, but the dynamic elastic modulus attenuation curves of the two are basically coincident. This shows that CSR > 0.50 is the failure interval of saturated red clay with a 0.94 compaction degree.
Therefore, there is an attenuation threshold cyclic stress ratio between 0.4 and 0.5. When the cyclic stress ratio is less than the attenuation threshold cyclic stress ratio, the saturated red clay is in the stability interval and thus no damage will occur. However, when the cyclic stress ratio is greater than the attenuation threshold cyclic stress ratio, the saturated red clay is in the damage interval. Having said that, there is no mature fitting formula for the description of the critical cyclic stress ratio, which will be explored in Section 3.1 of this paper.

3.2. Under Different Compactness

The development of the dynamic elastic modulus of red clay at different compactness levels with cyclic vibrations was analyzed based on the results of four sets of compactness levels (86%, 90%, 94%, and 98%) selected in the experimental design. This was together with three sets of the CSR (0.2, 0.3, and 0.4) at a confining pressure of 100 kPa, as well as a loading frequency of 1 Hz, as is shown in Figure 7.
From Figure 7, it can be seen that: (i) The greater the compactness, the greater the dynamic elastic modulus when the CSR is the same. The lower the compaction of the specimen, the higher the void ratio, the higher the accumulated plastic strain and the lower the dynamic elastic modulus. In other words, according to the principle of effective stress, the lower the compaction degree, the lower the effective stress to resist external loads. This then entails that the more pronounced the structural softening, the more plastic strains accumulate under cyclic loading and the lower the kinetic modulus of elasticity. (ii) The higher the CSR, the lower the dynamic elastic modulus when the compactness is the same. (iii) The rapid decrease in the dynamic elastic modulus at the initial stage of the cyclic loading (N < 300 times) is due to the softening of the specimen induced by the surge in pore water pressure. (iv) When the CSR is small (0.2), the attenuation curve of the dynamic elastic modulus fluctuates slightly. It indicates that the damage of the specimen has not reached the threshold value when the dynamic stress is relatively low. Furthermore, the greater the degree of compaction, the higher the damage threshold. The dynamic damage threshold of saturated red clay will be discussed in more detail in Section 3.1.

3.3. Under Different Frequencies

Based on the three sets of vibration frequencies (0.5 Hz, 1.0 Hz, and 2.0 Hz) selected in the experimental design, together with the results of the three groups of the CSR (0.2, 0.3, and 0.4), the development of the dynamic elastic modulus of the red clay with cyclic vibrations at different frequencies was analyzed, as is shown in Figure 8.
In Figure 8, the first data point declines sharply to the second data point. The 0 time corresponds to the state in which the specimen has completed isobaric consolidation after back pressure saturations. In addition, the dynamic elastic modulus at this point characterizes the effect stress of the specimen. If this point is too low, it indicates that the specimen is damaged in the process of back pressure saturation and consolidation. Therefore, it cannot be used for subsequent dynamic elastic modulus tests.
As can be seen from Figure 8, the dynamic elastic modulus tends to increase and then decrease with a corresponding increased loading frequency at CSR0.2 and CSR0.3. At CSR0.4, however, the dynamic elastic modulus falls first and then increases with the increase in loading frequency. This developmental law of the saturated red clay dynamic elastic modulus shows two different trends. It is an exciting phenomenon, but the reason why is difficult to not discuss in-depth. As such, this can be discussed in a future study.
Even so, this result indicates a “critical characteristic frequency”. With the critical characteristic frequency as the cut-off point, the trend of the dynamic elastic modulus with loading frequency is entirely oppositional. At a low cyclic stress ratio, the dynamic elastic modulus of saturated red clay is at its most excellent in regard to the critical characteristic frequency. At a high cyclic stress ratio the dynamic elastic modulus is at its lowest in the crucial characteristic frequency.

4. Modeling Results

4.1. Prediction Model for the Attenuation Threshold Cyclic Stress Ratio

4.1.1. Definitions

In order to compare the different development trends of the dynamic elastic modulus—assuming that the minimum dynamic elastic modulus corresponding to the cyclic stress ratios of 0.2, 0.3, and 0.4 are equal—it is required to draw the decay threshold cyclic stress ratio judgment as based on the schematic diagram, as is shown in Figure 9.
Figure 9 shows that: (i) When the CSR is low (i.e., 0.20 and 0.30), the dynamic elastic modulus of the saturated red clay decreases first and then increases. In addition, the final dynamic elastic modulus is greater than the minimum dynamic elastic modulus. (ii) When the CSR is 0.40, the dynamic elastic modulus of the saturated red clay shows a continuous attenuation trend. (iii) There is a horizontal trend line between 0.30 and 0.40 of the CSR, indicating that the dynamic elastic modulus does not change with the increase in cyclic vibration times at the late loading stage. The CSR is then defined as the attenuation threshold cyclic stress ratio.
However, the decay threshold cyclic stress ratio for the ideal case is difficult to measure experimentally. Therefore, the minimum cyclic stress ratio corresponding to the first continuous decay type of the development curve of the dynamic elastic modulus with cyclic vibrations is used instead. In summary, the discriminant for the attenuation threshold cyclic stress ratio condition is given in Equation (2).
E d , 10000 E d , 1000 = 0 ,       Continuous   decay > 0 ,       Decay   first ,   then   decline
In Equation (2), Ed,10,000 and Ed,1000 are the dynamic elastic modulus of 10,000 and 1000 vibration times, respectively.

4.1.2. Based on Confining Pressure

The attenuation law of the dynamic elastic modulus under different confining pressures is classified in Equation (2); further, the summary data are shown in Table 3.
According to Table 3, the curve of the attenuation threshold cyclic stress ratio with confining pressures is drawn, as is shown in Figure 10.
In Figure 10, the red dots are based on the confining pressure and CSR for the continuous attenuation style. Moreover, the black square dots are based on the confining pressure and CSR for the attenuation first and then the increase in type. Further, the grey area in the diagram is a possible area of the attenuation threshold cyclic stress ratio.
The attenuation threshold cyclic stress ratio tends to decrease with increasing confining pressure, with the rate of decrease decreasing as the confining pressure increases. A statistical relationship between the attenuation threshold cyclic stress ratio and the confining pressure was obtained by fitting the data to the first occurrence of a continuous decaying trend in the dynamic elastic modulus, as shown in Equation (3).
C S R t h 1 = 0 . 30 + 9.44 / C P e 4 . 16 l n 0 . 02 C P 2
In Equation (3), CSRth1 is the attenuation threshold cyclic stress ratio and CP is the confining pressure.
Accordingly, the attenuation threshold cyclic stress ratio can be predicted according to the confining pressures in the dynamic triaxial test. The attenuation trend of the dynamic elastic modulus of saturated red clay under cyclic loading can be expected.

4.1.3. Based on Compactness

The attenuation law of the dynamic elastic modulus under different compactness is classified in Equation (2). Further, the summary data are shown in Table 4.
According to Table 4, the curve of the attenuation threshold cyclic stress ratio with confining pressures is drawn, as is shown in Figure 11.
In Figure 11, the red dots are determined by the compactness and cyclic stress ratio of the continuous attenuation type. The black square dots are determined by the compactness and cyclic stress ratio of the first attenuation and then the increase in style. The grey area in the diagram is the possible area of the attenuation threshold cyclic stress ratio.
The cyclic stress ratio of the attenuation threshold increases linearly with the increase in confining pressure. By fitting the data of the first continuous attenuation trend of the dynamic elastic modulus, the statistical relationship between the cyclic stress ratio of the attenuation threshold and compactness is obtained, as can be seen in Equation (4).
C S R t h 2 = 1 . 95 + 2 . 5 λ
In Equation (4), CSRth2 is the attenuation threshold cyclic stress ratio and λ is the confining pressure.
Accordingly, the attenuation threshold cyclic stress ratio can be predicted according to the compaction degree in the dynamic triaxial test. The attenuation trend of the dynamic elastic modulus of saturated red clay under cyclic loading can be expected to assist the design of the test scheme.

4.2. The Prediction Model of Dynamic Elastic Modulus

The empirical relationship between the dynamic elastic modulus of saturated red clay and the cyclic vibration times is constructed. The dynamic elastic modulus under long-term cyclic loading is predicted by the parameters A and B, which are obtained from the first 1000 vibration times, as shown in Equation (5).
E d = A + BlgN
In Equation (5), A is the initial dynamic elastic modulus and B is the slope of the curve of the first 1000 times dynamic elastic modulus with the cyclic vibration times in the semi-logarithmic coordinate system.
Referring to Equation (5), the test results were fitted, and the specific fitting parameters are shown in Table 5.
Next, we introduce the relative cyclic stress ratio R, which is defined by Equation (6).
R = CSR CSR cr 2
In Equation (6), CSR is cyclic stress ratio, CSR = σd/2σc, σd is dynamic stress level, σc is confining pressure, RC is relative compactness, and CSRth2 is the attenuation threshold cyclic stress ratio.
R = σ d / 2 σ c 1 . 823 + 2 . 375 λ
The relationship curves of relative cyclic stress ratio R with parameters A and A/B are plotted by Equation (7), as shown in Figure 12.
Figure 12 shows that parameter A, parameter B/A, and relative cyclic stress ratio R are in line with the linear (see Equation (8)) and negative exponential (see Equation (9)) functions. Additionally, the correlation coefficients are shown to be greater than 0.95.
A = 108 . 88 48 . 42 R
A / B = 4 . 23 3017 . 1 e 6 . 13 R
When substituting Equations (8) and (9) into Equation (5), the prediction model of the dynamic elastic modulus of saturated red clay based on relative dynamic stress is obtained, as is shown in Equation (10).
E d = 108 . 88 48 . 42 R + 108 . 88 48 . 42 R / 4.23 3017.1 e 6.23 R l g N
Equation (10) gives a prediction method for predicting the dynamic elastic modulus according to the cyclic vibrations for a known relative cyclic stress ratio. Further, by doing so one can realize the prediction of the dynamic elastic modulus of red clay at any of the cyclic vibration times.
The variables of Equation (10) include only the cyclic stress ratio R and the cyclic vibration times N. According to the above analysis, the estimated results of the dynamic elastic modulus are only related to the three experimental control conditions of initial cyclic stress ratio, compaction degrees, and cyclic vibration times. Equation (10) is not only simple in form, but also can better establish the evolution model of dynamic elastic modulus based on measurable variables.

5. Conclusions

In this paper, the red clay in Qingyuan County, Zhejiang Province is taken as the research object. The attenuation law of the dynamic elastic modulus of red clay under cyclic loading is studied via a dynamic triaxial test. Additionally, the prediction model of the dynamic elastic modulus with cyclic vibration times is constructed. The specific conclusions are as follows:
(a)
Saturated red clay has an attenuation threshold in the context of the cyclic stress ratio under cyclic loading. When the cyclic stress ratio of the cyclic load is less than the cyclic stress ratio of the attenuation threshold, then the development of the dynamic elastic modulus shows a trend of first attenuation and then of increasement. When the cyclic stress ratio of the cyclic load is greater than the cyclic stress ratio of the attenuation threshold, then the development of the dynamic elastic modulus shows a trend of continuous attenuation and then stability.
(b)
Based on the definition of the attenuation threshold cyclic stress ratio, the prediction model of the attenuation threshold cyclic stress ratio was constructed based on the confining pressure and compactness, respectively. The attenuation threshold cyclic stress ratio tends to decay rapidly (with the increase in the confining pressure) and then stabilizes; moreover, it increases linearly with rise of the compactness.
(c)
The concept of relative cyclic stress ratio is introduced for the purposes of the attenuation process of the dynamic elastic modulus of red clay. In addition, a prediction model of the dynamic elastic modulus of saturated red clay based on cyclic vibrations and relative cyclic stress ratio is also constructed.
(d)
The estimated results of the dynamic elastic modulus are only related to the three experimental control conditions of the initial cyclic stress ratio, compaction degrees, and cyclic vibration times. Equation (10) is not only simple in form, but also can better establish the evolution model of the dynamic elastic modulus, as based on measurable variables. It also provides a theoretical basis for evaluating the dynamic stability of red clay subgrade under cyclic loading.

Author Contributions

Writing—original draft preparation, H.M.; writing—review and editing, H.M.; experimental test, Y.Z.; experimental analysis, L.C.; writing and chart editing, M.L.; data analysis, S.X.; funding acquisition, H.M. All authors have read and agreed to the published version of the manuscript.

Funding

This research was funded by the National Natural Science Foundation of China, grant number 51808128, Key Research and Development Projects of Science and Technology Department, Yunnan Province, China, grant number 202103AA080013 and the Natural Science Foundation of Fujian Province, grant number 2022J01091.

Institutional Review Board Statement

Not applicable.

Informed Consent Statement

Not applicable.

Data Availability Statement

Not applicable.

Acknowledgments

The authors would like to thank the faculty members of the School of Civil Engineering at Fuzhou University for their helpful discussions on topics related to this work and for providing instrumental support.

Conflicts of Interest

The authors declare that they have no known competing financial interests or personal relationships that could appear to influence the work reported in this paper.

References

  1. Li, J.; Chen, S.; Jiang, L. Dynamic Strength and Accumulated Plastic Strain Development Laws and Models of the Remolded Red Clay under Long-Term Cyclic Loads: Laboratory Test Results. Pol. Marit. Res. 2015, 22, 89–94. [Google Scholar] [CrossRef]
  2. Huang, C.X.; Wang, X.H.; Zhou, H.; Qin, D.C. Dynamic Elastic Modulus and Damping Ratio of Unsaturated Red Clay. Geotech. Geol. Eng. 2020, 38, 873–881. [Google Scholar] [CrossRef]
  3. Wu, J.Q.; Yang, X.; Xu, X.; Liu, F.Y. Cyclic Triaxial Tests on Saturated Red Clay under Partially Drained Condition. J. Zhejiang Univ. Eng. Sci. 2017, 51, 1309–1316. [Google Scholar]
  4. Liu, W.Z.; Wang, J.L.; Xu, Y.; Zhang, S. Study on the Cumulative Deformation Characteristics of Red Clay in Road Base under Repeated Wetting and Dynamic Loading. China J. Highw. Transp. 2022, 35, 129–139. [Google Scholar]
  5. Mu, K.; Guo, A.G.; Bai, W.; Sun, Z.L.; Zang, M. Experimental Study on Dynamic Properties of Red Clay in Guangxi under Cyclic Loading. China Earthq. Eng. 2015, 37, 487–493. [Google Scholar]
  6. Liu, W.; Qu, S.; Nie, Z.; Zhang, J. Effects of Density and Moisture Variation on Dynamic Deformation Properties of Compacted Lateritic Soil. Adv. Mater. Sci. Eng. 2016, 2016, 5951832. [Google Scholar] [CrossRef]
  7. Cheng, Y.; Yang, G.; Long, Z.; Yang, D.; Xu, Y. Dynamic Characteristics of Overconsolidated Remolded Red Clay in Southwest China: An Experimental Study. Bull. Eng. Geol. Environ. 2022, 81, 176. [Google Scholar] [CrossRef]
  8. Mu, R.; Huang, Z.H.; Pu, S.Y.; Yao, Z.H.; Cheng, X. Accumulated Deformation Characteristics of Undisturbed Red Clay under Cyclic Loading and Dynamic Constitutive Relationship. Rock Soil Mech. 2020, S2, 1–10. [Google Scholar]
  9. Yang, G.Y.; Cheng, Y.Z.; Xu, Y.L.; Li, L.J.; Sun, X.W.; Qu, C.Z. Experimental Study on Dynamic Characteristics of Over-Consolidated Remolded Red Clay Subjected to Traffic Load in Anning Area. Exp. Mech. 2019, 34, 675–683. [Google Scholar]
  10. Ren, X.W.; Xu, Q.; Teng, J.; Zhao, N.; Lv, L. A Novel Model for the Cumulative Plastic Strain of Soft Marine Clay under Long-term Low Cyclic Loads. Ocean Eng. 2018, 149, 194–204. [Google Scholar] [CrossRef]
  11. Ding, Y.; Chen, X.B.; Wang, X.; Zhang, J.S.; Jia, Y. Experimental Study of Dynamic Modulus of Elasticity and Damping Ratio in Transient Saturated Zone of Red Sandstone Weathered Soil Road Base. J. South China Univ. Technol. Nat. Sci. Ed. 2019, 47, 130–139. [Google Scholar]
  12. Tang, Y.; Sun, K.; Zheng, X.; Yang, Q.; Zhou, J. The Deformation Characteristics of Saturated Mucky Clay under Subway Vehicle Loads in Guangzhou. Environ. Earth Sci. 2016, 75, 438. [Google Scholar] [CrossRef]
  13. Cai, Y.; Wu, T.; Guo, L.; Wang, J. Stiffness Degradation and Plastic Strain Accumulation of Clay under Cyclic Load with Principal Stress Rotation and Deviatoric Stress Variation. J. Geotech. Geoenviron. 2018, 144, 04018021. [Google Scholar] [CrossRef]
  14. Lei, H.; Xu, Y.; Jiang, M.; Jiang, Y. Deformation and Fabric of Soft Marine Clay at Various Cyclic Load Stages. Ocean Eng. 2020, 195, 106757. [Google Scholar] [CrossRef]
  15. Liu, J.S.; Wang, L.G.; Zhang, X.D.; Li, X.B.; Zhang, J.J.; Ren, K. Cyclic Triaxial Test on Saturated Silty Clay under Partial Drainage Condition with Variable Confining Pressure. Rock Soil Mech. 2019, 40, 1413–1419+1432. [Google Scholar]
  16. Mu, R.; Huang, Z.H.; Yao, W.L.; Cheng, X.L.; Lei, Y.X.; Yang, C. Experimental Study of Dynamic Properties of In-Situ Red Clay under Graded Cyclic Loading. J. Hydro. Eng. Geol. 2022, 49, 94–102. [Google Scholar]
  17. Zhang, J.H.; Huang, C.; Zhang, A.S.; Xie, J. Laboratory Tests and Rapid Prediction Model of Critical Failure Stress for High Liquid Limit Clay in Southern Hot and Humid Areas. J. Cent. South Univ. 2019, 52, 2221–2231. [Google Scholar]
  18. Zhang, C.L.; Jiang, G.L.; Su, L.J.; Liu, W.M. Dynamic Behaviour of Weathered Red Mudstone in Sichuan (China) under Triaxial Cyclic Loading. J. Mt. Sci. 2018, 15, 1789–1806. [Google Scholar] [CrossRef]
  19. Liu, W.Z.; Wang, J.L.; Xu, Y.; Zhang, S. Accumulative Deformation Characteristics of Lateritic Clay Under Combined Action of Cyclic Wetting and Dynamic Loading. China J. Highw. Transp. 2021, 1–12. [Google Scholar]
  20. Chen, K.S.; Wang, Q.Q.; Luo, D.P.; Zhou, B.; Zhang, K. Study on Dynamic Characteristics of Rubber-Red Clay Mixtures. J. Adv. Mater. 2020, 2020, 2343242. [Google Scholar] [CrossRef]
  21. Wu, J.Q.; Xie, L.; Xu, X. Dynamic Characteristics of Saturated Red Clay under Variable Confining Pressure. J. Shock Vib. 2019, 38, 17–23+44. [Google Scholar]
  22. Long, A.F.; Chen, K.S.; Zhang, A.L. A Calculation Model of Red Clay Dynamic Parameters in the Guiyang Area. China Earthq. Eng. 2020, 42, 1650–1658. [Google Scholar]
  23. Ministry of Water Resources of the People’s Republic of China. Standard for Geotechnical Testing Method (GB/T 50123-2019); China Planning Press: Beijing, China, 2019; pp. 8–16, 22–28, 44–51, 62–66. [Google Scholar]
  24. Li, J.; Chen, S.X.; Jiang, L.F. Test Study on the Influences of Dynamic Stress and Load History to the Dynamic Properties of the Remolded Red Clay. Earth Sci. Res. J. 2016, 20, G1–G8. [Google Scholar] [CrossRef]
  25. Liu, G.B.; Xie, Q.F.; Gao, J.S.; Guo, H. Study on Elastic Deformation of Remolded Clayey Silt under Dynamic Load. J. Shock Vib. 2018, 37, 255–260. [Google Scholar]
  26. Huang, B. Study on Interaction between Foundation and Tunnel System under Dynamic Load. Ph.D. Thesis, China University of Mining and Technology, Beijing, China, 2015. [Google Scholar]
Figure 1. Diagram of On-Site Red Clay and Air-Dried Red Clay.
Figure 1. Diagram of On-Site Red Clay and Air-Dried Red Clay.
Sustainability 15 00026 g001
Figure 2. GDS Dynamic Triaxial Test System.
Figure 2. GDS Dynamic Triaxial Test System.
Sustainability 15 00026 g002
Figure 3. Sampling of Red Clay.
Figure 3. Sampling of Red Clay.
Sustainability 15 00026 g003
Figure 4. Time-–History Curve of Loading.
Figure 4. Time-–History Curve of Loading.
Sustainability 15 00026 g004
Figure 5. Relationship of Cumulative Deformation and Vibration Time under Different CSR: (a) constant coordinate system and (b) logarithm coordinates system.
Figure 5. Relationship of Cumulative Deformation and Vibration Time under Different CSR: (a) constant coordinate system and (b) logarithm coordinates system.
Sustainability 15 00026 g005
Figure 6. The Variation of the Relative Dynamic Elastic Modulus with Cyclic Vibration Times under Different CSRs.
Figure 6. The Variation of the Relative Dynamic Elastic Modulus with Cyclic Vibration Times under Different CSRs.
Sustainability 15 00026 g006
Figure 7. The Variation Curve of the Dynamic Elastic Modulus with Cyclic Vibration Times under Different Compaction Degrees.
Figure 7. The Variation Curve of the Dynamic Elastic Modulus with Cyclic Vibration Times under Different Compaction Degrees.
Sustainability 15 00026 g007
Figure 8. Variation of the Dynamic Elastic Modulus of Saturated Red Clay with Cyclic Vibrations at Different Loading Frequencies.
Figure 8. Variation of the Dynamic Elastic Modulus of Saturated Red Clay with Cyclic Vibrations at Different Loading Frequencies.
Sustainability 15 00026 g008
Figure 9. Schematic Diagram for the Judgment of the Attenuation Threshold Cyclic Stress Ratio.
Figure 9. Schematic Diagram for the Judgment of the Attenuation Threshold Cyclic Stress Ratio.
Sustainability 15 00026 g009
Figure 10. The Curve of the Attenuation Threshold Cyclic Stress Ratio Versus Confining Pressure.
Figure 10. The Curve of the Attenuation Threshold Cyclic Stress Ratio Versus Confining Pressure.
Sustainability 15 00026 g010
Figure 11. The Curve of the Attenuation Threshold Cyclic Stress Ratio with Compaction Degree.
Figure 11. The Curve of the Attenuation Threshold Cyclic Stress Ratio with Compaction Degree.
Sustainability 15 00026 g011
Figure 12. Relationship between Parameters A, A/B, and R.
Figure 12. Relationship between Parameters A, A/B, and R.
Sustainability 15 00026 g012
Table 1. Basic Physical Parameters of Red Clay.
Table 1. Basic Physical Parameters of Red Clay.
ParametersProportionLiquid Limit/%Plastic Limit/%Plasticity Index/%Optimum Moisture/%Maximum Dry Density/(g/cm3)
Values2.73360.13030.127.531.521
Table 2. Dynamic Triaxial Test Program.
Table 2. Dynamic Triaxial Test Program.
ParametersCompaction Degrees (RC/%)Confining Pressures (CP/kPa)Cyclic Stress Ratios
(CSR)
Loading Frequency (f/Hz)
Variable86, 90, 94, 9850, 100, 1500.1, 0.2, 0.3, 0.35, 0.4, 0.45, 0.5, 0.6, 0.70.5, 1.0, 2.0
Table 3. Attenuation Types of the Dynamic Elastic Modulus of Red Clay under Different Confining Pressures.
Table 3. Attenuation Types of the Dynamic Elastic Modulus of Red Clay under Different Confining Pressures.
Confining PressureCSRMinimum Dynamic Elastic Modulus (MPa)Final Dynamic Elastic Modulus (MPa)Attenuation Type
50 kPa0.2060.5062.10Decline first and then increase
0.3049.8652.18Decline first and then increase
0.4028.3729.27Decline first and then increase
0.5024.7424.74Continuous attenuation
100 kPa0.2079.4481.99Decline first and then increase
0.3045.4645.46Continuous attenuation
150 kPa0.2093.0396.26Decline first and then increase
0.3050.6850.68Continuous attenuation
Table 4. Attenuation Types of the Dynamic Elastic Modulus of Red Clay under Different Compactness.
Table 4. Attenuation Types of the Dynamic Elastic Modulus of Red Clay under Different Compactness.
CompactnessCSRMinimum Dynamic Elastic Modulus (MPa)Final Dynamic Elastic Modulus (MPa)Attenuation Type
86%0.2067.3167.31Continuous attenuation
90%0.2079.4481.29Decline first and then increase
0.3045.4645.46Continuous attenuation
94%0.10116.83119.39Decline first and then increase
0.2088.1894.32Decline first and then increase
0.3064.8670.75Decline first and then increase
0.4038.0038.00Continuous attenuation
98%0.10115.85119.46Decline first and then increase
0.2093.0798.89Decline first and then increase
0.3068.9369.95Decline first and then increase
0.4061.1363.97Decline first and then increase
Table 5. Linear Attenuation Fitting Results of the Dynamic Elastic Modulus.
Table 5. Linear Attenuation Fitting Results of the Dynamic Elastic Modulus.
Confining Pressure/kPaCompactnessDynamic Stress/kPaParameter AParameter BR2
50905033.49273−2.729950.987
6020.63788−2.479510.985
100864076.18314−3.086570.979
6042.99753−8.703040.982
904084.61016−2.082860.795
7051.99256−8.197040.988
8043.1588−8.874880.965
9037.56222−7.228610.971
10035.41561−8.452450.979
948055.52578−4.379430.984
10045.69989−6.420780.960
12034.34077−4.750400.913
986070.79442−0.591290.852
Disclaimer/Publisher’s Note: The statements, opinions and data contained in all publications are solely those of the individual author(s) and contributor(s) and not of MDPI and/or the editor(s). MDPI and/or the editor(s) disclaim responsibility for any injury to people or property resulting from any ideas, methods, instructions or products referred to in the content.

Share and Cite

MDPI and ACS Style

Ma, H.; Zhuang, Y.; Chen, L.; Lv, M.; Xu, S. Experiments and Modeling of the Attenuation of the Dynamic Elastic Modulus of Saturated Red Clay under Cyclic Loading. Sustainability 2023, 15, 26. https://doi.org/10.3390/su15010026

AMA Style

Ma H, Zhuang Y, Chen L, Lv M, Xu S. Experiments and Modeling of the Attenuation of the Dynamic Elastic Modulus of Saturated Red Clay under Cyclic Loading. Sustainability. 2023; 15(1):26. https://doi.org/10.3390/su15010026

Chicago/Turabian Style

Ma, Hongyan, Yuanlong Zhuang, Liangliang Chen, Mengxi Lv, and Song Xu. 2023. "Experiments and Modeling of the Attenuation of the Dynamic Elastic Modulus of Saturated Red Clay under Cyclic Loading" Sustainability 15, no. 1: 26. https://doi.org/10.3390/su15010026

APA Style

Ma, H., Zhuang, Y., Chen, L., Lv, M., & Xu, S. (2023). Experiments and Modeling of the Attenuation of the Dynamic Elastic Modulus of Saturated Red Clay under Cyclic Loading. Sustainability, 15(1), 26. https://doi.org/10.3390/su15010026

Note that from the first issue of 2016, this journal uses article numbers instead of page numbers. See further details here.

Article Metrics

Back to TopTop