EFND: A Semantic, Visual, and Socially Augmented Deep Framework for Extreme Fake News Detection
Abstract
1. Introduction
- A similarity measure for the news article title and body for the credibility of the article.
- User credibility based on a multi-feature of a user profile.
- Fusing of textual and visual features via multi-modal factorized bilinear pooling.
- A multimodal approach for identifying fake news based on news content and social context.
- Evaluation, findings, and a critical examination of the proposed framework.
2. Literature Review
2.1. Content-Based Fake News Detection
2.2. User Credibility Based Fake News Detection
2.3. Multimodal Fake News Detection
- Lack of similarity for title and body text.
- Effective integration of text and visual features.
- Lack of user context information.
- Lack of stance analysis.
3. Methodology
3.1. Visual Encoding
3.2. Semantic Encoding
3.3. News Article Credibility Module
3.4. User Credibility Module
3.4.1. Profile Lifespan
3.4.2. Profile Status
3.4.3. Profile Type
3.4.4. Profile Activity
3.4.5. Total Credibility
3.5. Multi-Modal Factorized Bilinear Pooling (MFB)
- Using a typical concatenation of data from many sources, it might be difficult to identify the endpoint of the derived features.
- Because features are piled one after the other after concatenation, it is possible that the association between picture and text feature representations will not be recognized.
3.6. Multi-Layer Perceptron (MLP)
4. Experiment and Parameter Setup
4.1. Dataset
4.2. Evaluation Metrics
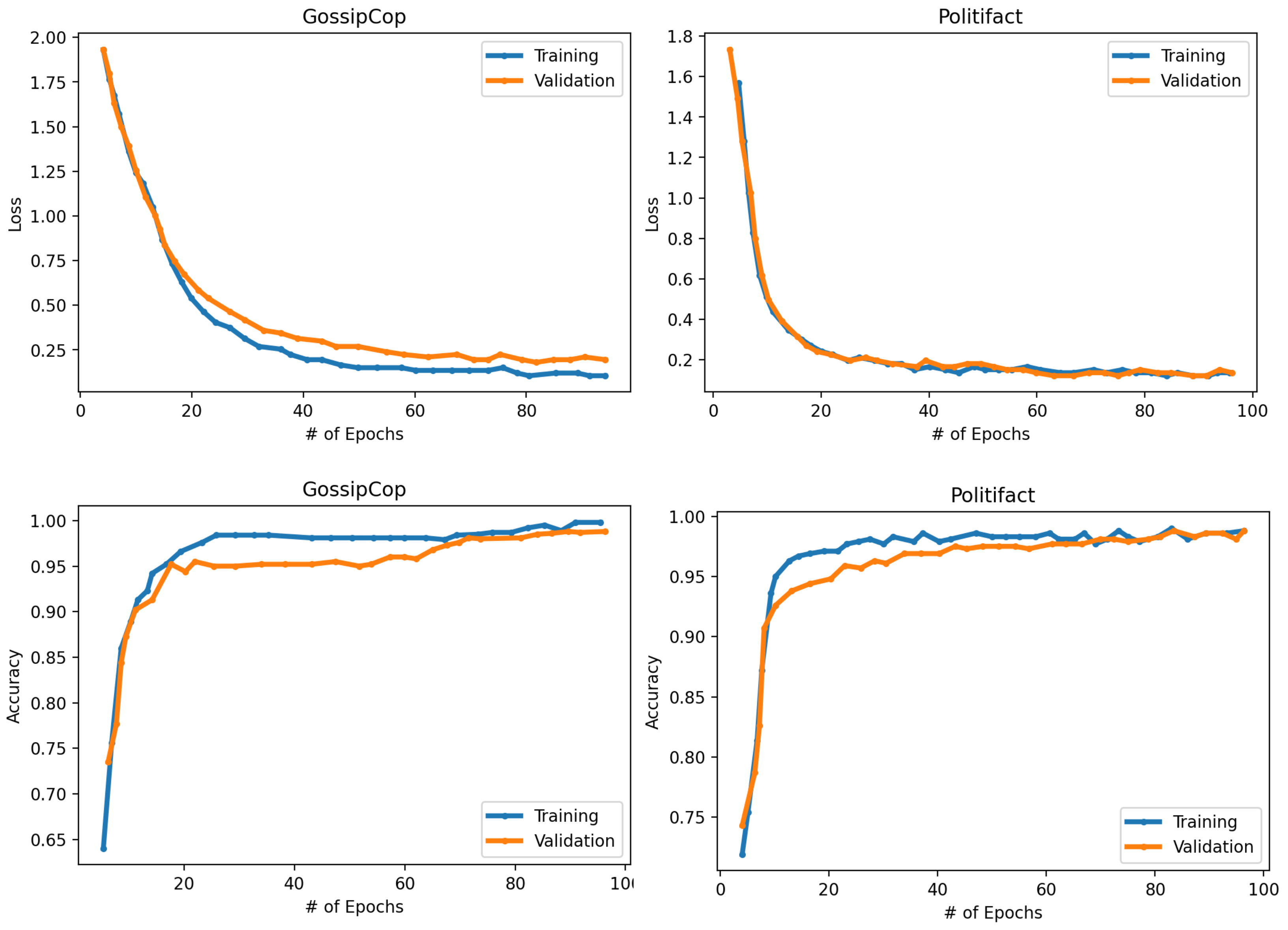
5. Results and Discussions
Ablation Study
6. Conclusions
Author Contributions
Funding
Institutional Review Board Statement
Informed Consent Statement
Data Availability Statement
Acknowledgments
Conflicts of Interest
Abbreviations
| MDPI | Multidisciplinary Digital Publishing Institute |
| NLP | Natural Language Processing |
| ML | Machine Learning |
| DL | Deep Learning |
| Conv | Convolutional Layer |
| GRU | Gated Recurrent Units |
| BiGRU | Bidirectional GRU |
| CapsNet | Capsule Neural Network |
| LSTM | Long Short-Term Memory |
| MFB | Multimodal Factorized Bilinear-pooling |
| MLP | Multilayer Perceptron |
References
- Bondielli, A.; Marcelloni, F. A survey on fake news and rumour detection techniques. Inf. Sci. 2019, 497, 38–55. [Google Scholar] [CrossRef]
- Guo, B.; Ding, Y.; Yao, L.; Liang, Y.; Yu, Z. The Future of False Information Detection on Social Media: New Perspectives and Trends. ACM Comput. Surv. (CSUR) 2020, 53, 1–36. [Google Scholar] [CrossRef]
- Shu, K.; Sliva, A.; Wang, S.; Tang, J.; Liu, H. Fake news detection on social media: A data mining perspective. ACM SIGKDD Explor. Newsl. 2017, 19, 22–36. [Google Scholar] [CrossRef]
- Zhou, X.; Zafarani, R.; Shu, K.; Liu, H. Fake news: Fundamental theories, detection strategies and challenges. In Proceedings of the twelfth ACM International Conference on Web Search and Data Mining, Melbourne, VIC, Australia, 11–15. February 2019; pp. 836–837. [Google Scholar]
- Zhou, X.; Jain, A.; Phoha, V.V.; Zafarani, R. Fake news early detection: A theory-driven model. Digit. Threat. Res. Pract. 2020, 1, 1–25. [Google Scholar] [CrossRef]
- Guo, C.; Cao, J.; Zhang, X.; Shu, K.; Liu, H. Dean: Learning dual emotion for fake news detection on social media. arXiv 2019, arXiv:1903.01728. [Google Scholar]
- Liu, Y.; Wu, Y.F. Early detection of fake news on social media through propagation path classifcation with recurrent and convolutional networks. In Proceedings of the AAAI conference on artifcial intelligence, New Orleans, LA, USA, 2–7 February 2018; Volume 32. [Google Scholar]
- Li, Q.; Zhang, Q.; Si, L. Rumor detection by exploiting user credibility information, attention and multi-task learning. In Proceedings of the 57th Annual Meeting of the Association for Computational Linguistics, Florence, Italy, 28 July–2 August 2019; pp. 1173–1179. [Google Scholar]
- Ma, J.; Gao, W.; Wong, K.F. Detect rumor and stance jointly by neural multi-task learning. In Proceedings of the Companion Proceedings of the the Web Conference, Lyon, France, 23–27 April 2018; pp. 585–593.
- Ma, J.; Gao, W.; Wong, K.F. Rumor Detection on Twitter with Tree-Structured Recursive Neural Networks; Association for Computational Linguistics: Melbourne, Australia, 2018. [Google Scholar]
- Savyan, P.V.; Bhanu, S.M.S. UbCadet: Detection of compromised accounts in twitter based on user behavioural profling. Multimed. Tools Appl. 2020, 79, 1–37. [Google Scholar]
- Wu, L.; Liu, H. Tracing fake-news footprints: Characterizing social media messages by how they propagate. In Proceedings of the Eleventh ACM International Conference on Web Search and Data Mining, Marina Del Rey, CA, USA, 5–9 February 2018; pp. 637–645. [Google Scholar]
- Wu, K.; Yang, S.; Zhu, K.Q. False rumors detection on sina weibo by propagation structures. In Proceedings of the 2015 IEEE 31st International Conference on Data Engineering, Seoul, Republic of Korea, 13–17 April 2015; pp. 651–662. [Google Scholar]
- Ahmed, H.; Traore, I.; Saad, S. Detection of online fake news using n-gram analysis and machine learning techniques. In Proceedings of the International Conference on Intelligent, Secure, and Dependable Systems in Distributed and Cloud Environments, Vancouver, BC, Canada, 25 October 2017; Springer: Cham, Switzerland, 2017; pp. 127–138. [Google Scholar]
- Akyol, K.; Sen, B. Modeling and predicting of news popularity in social media sources. Cmc-computers Mater. Contin. 2019, 61, 69–80. [Google Scholar] [CrossRef]
- Asghar, M.Z.; Habib, A.; Habib, A.; Khan, A.; Ali, R.; Khattak, A. Exploring deep neural networks for rumor detection. J. Ambient. Intell. Hum. Comput. 2019, 12, 4315–4333. [Google Scholar] [CrossRef]
- Chen, T.; Li, X.; Yin, H.; Zhang, J. Call attention to rumors: Deep attention based recurrent neural networks for early rumor detection. In Proceedings of the Pacifc-Asia Conference on Knowledge Discovery and Data Mining, Melbourne, VIC, Australia, 3–6 June 2018; Springer: Cham, Switzerland, 2018; pp. 40–52. [Google Scholar]
- Faustini, P.H.A.; Covões, T.F. Fake news detection in multiple platforms and languages. Expert Syst. Appl. 2020, 158, 113503. [Google Scholar] [CrossRef]
- Kaliyar, R.K.; Goswami, A.; Narang, P. FakeBERT: Fake news detection in social media with a BERT-based deep learning approach. Multimed. Tools Appl. 2021, 80, 11765–11788. [Google Scholar] [CrossRef]
- Ma, J.; Gao, W.; Mitra, P.; Kwon, S.; Jansen, B.J.; Wong, K.-F.; Cha, M. Detecting rumors from microblogs with recurrent neural networks. In Proceedings of the 25th International Joint Conference on Artificial Intelligence (IJCAI 2016), New York, NY, USA, 9–15 July 2016; pp. 3818–3824. [Google Scholar]
- Ozbay, F.A.; Alatas, B. A novel approach for detection of fake news on social media using metaheuristic optimization algorithms. Elektron. Elektrotechnika 2019, 25, 62–67. [Google Scholar] [CrossRef]
- Ozbay, F.A.; Alatas, B. Fake news detection within online social media using supervised artifcial intelligence algorithms. Phys. A Stat. Mech. Its Appl. 2020, 540, 123174. [Google Scholar] [CrossRef]
- Pérez-Rosas, V.; Kleinberg, B.; Lefevre, A.; Mihalcea, R. Automatic detection of fake news. arXiv 2017, arXiv:1708.07104. [Google Scholar]
- Shu, K.; Cui, L.; Wang, S.; Lee, D.; Liu, H. Defend: Explainable fake news detection. In Proceedings of the 25th ACM SIGKDD International Conference on Knowledge Discovery & Data Mining, Anchorage, AK, USA, 4–8 August 2019; pp. 95–405. [Google Scholar]
- Wang, W.Y. Liar, liar pants on fire: A new benchmark dataset for fake news detection. arXiv 2017, arXiv:1705.00648. [Google Scholar]
- Yin, L.; Meng, X.; Li, J.; Sun, J. Relation extraction for massive news texts. Comput. Mater Contin. 2019, 58, 275–285. [Google Scholar] [CrossRef]
- Yu, F.; Liu, Q.; Wu, S.; Wang, L.; Tan, T. A convolutional approach for misinformation identification. In Proceedings of the 26th International Joint Conference on Artificial Intelligence (IJCAI 2017), Melbourne, Australia, 19–25 August 2017; pp. 3901–3907. [Google Scholar]
- Antol, S.; Agrawal, A.; Lu, J.; Mitchell, M.; Batra, D.; Zitnick, C.L.; Parikh, D. VQA: Visual question answering. In Proceedings of the IEEE International Conference on Computer Vision (ICCV), Santiago, Chile, 7–13 December 2015; pp. 2425–2433. [Google Scholar]
- Goodfellow, I.; Pouget-Abadie, J.; Mirza, M.; Xu, B.; Warde-Farley, D.; Ozair, S.; Courville, A.; Bengio, V. Generative adversarial nets. Adv. Neural Inf. Process. Syst. 2014, 27, 2672–2680. [Google Scholar]
- Gupta, M.; Zhao, P.; Han, J. Evaluating event credibility on twitter. In Proceedings of the 2012 SIAM International Conference on Data Mining, Society for Industrial and Applied Mathematics, Anaheim, CA, USA, 26–28 April 2012; pp. 153–164. [Google Scholar]
- Marra, F.; Gragnaniello, D.; Cozzolino, D.; Verdoliva, L. Detection of gan-generated fake images over social networks. In Proceedings of the 2018 IEEE Conference on Multimedia Information Processing and Retrieval (MIPR), Miami, FL, USA, 10–12 April 2018; pp. 384–389. [Google Scholar]
- Qi, P.; Cao, J.; Yang, T.; Guo, J.; Li, J. Exploiting multi-domain visual information for fake news detection. In Proceedings of the 2019 IEEE International Conference on Data Mining (ICDM), Beijing, China, 8–11 November 2019; pp. 518–527. [Google Scholar]
- Zeng, J.; Ma, X.; Zhou, K. Photo-realistic face age progression/regression using a single generative adversarial network. Neurocomputing 2019, 366, 295–304. [Google Scholar] [CrossRef]
- Zhou, P.; Han, X.; Morariu, V.I.; Davis, L.S. Learning rich features for image manipulation detection. In Proceedings of the IEEE Conference on Computer Vision and Pattern Recognition, Salt Lake City, UT, USA, 18–23 June 2018; pp. 1053–1061. [Google Scholar]
- Varshney, D.; Vishwakarma, D.K. A unified approach for detection of Clickbait videos on YouTube using cognitive evidences. Appl. Intell. 2021, 51, 4214–4235. [Google Scholar] [CrossRef]
- Mishra, S.; Shukla, P.; Agarwal, R. Analyzing machine learning enabled fake news detection techniques for diversified datasets. Wirel. Commun. Mob. Comput. 2022, 2022, 1–18. [Google Scholar] [CrossRef]
- Koloski, B.; Perdih, T.S.; Robnik-Šikonja, M.; Pollak, S.; Škrlj, B. Knowledge graph informed fake news classification via heterogeneous representation ensembles. Neurocomputing 2022, 496, 208–226. [Google Scholar] [CrossRef]
- Abdelnabi, S.; Hasan, R.; Fritz, M. OpenDomain, Content-based, Multi-modal Fact-checking of Outof-Context Images via Online Resources. In Proceedings of the IEEE/CVF Conference on Computer Vision and Pattern Recognition, New Orleans, LA, USA, 19–20 June 2022; pp. 14940–14949. [Google Scholar]
- Sun, M.; Zhang, X.; Zheng, J.; Ma, G. DDGCN: Dual Dynamic Graph Convolutional Networks for Rumor Detection on Social Media. In Proceedings of the AAAI Conference on Artificial Intelligence, Vancouver, Canada, 22 February–1 March 2022; pp. 4611–4619. [Google Scholar]
- Chen, X.; Zhou, F.; Trajcevski, G.; Bonsangue, M. Multi-view learning with distinguishable feature fusion for rumor detection. Knowl. Based Syst. 2022, 240, 108085. [Google Scholar] [CrossRef]
- Chi, H.; Liao, B. A quantitative argumentation-based Automated eXplainable Decision System for fake news detection on social media. Knowl. Based Syst. 2022, 242, 108378. [Google Scholar] [CrossRef]
- Raza, S.; Ding, C. Fake news detection based on news content and social contexts: A transformer-based approach. Int. J. Data Sci. Anal. 2022, 13, 335–362. [Google Scholar] [CrossRef] [PubMed]
- Jarrahi, A.; Safari, L. Evaluating the effectiveness of publishers’ features in fake news detection on social media. Multimed. Tools Appl. 2022, 1–27. [Google Scholar] [CrossRef] [PubMed]
- Wang, Y.; Wang, L.; Yang, Y.; Zhang, Y. Detecting fake news by enhanced text representation with multi-EDUstructure awareness. arXiv 2022, arXiv:2205.15139. [Google Scholar]
- Zhou, Y.; Ying, Q.; Qian, Z.; Li, S.; Zhang, X. Multimodal Fake News Detection via CLIP-Guided Learning. arXiv 2022, arXiv:2205.14304. [Google Scholar]
- Wang, J.; Mao, H.; Li, H. FMFN: Fine-Grained Multimodal Fusion Networks for Fake News Detection. Appl. Sci. 2022, 12, 1093. [Google Scholar] [CrossRef]
- Singhal, S.; Pandey, T.; Mrig, S.; Shah, R.R.; Kumaraguru, P. Leveraging Intra and Inter Modality Relationship for Multimodal Fake News Detection. In Proceedings of the ACM Web Conference, Virtual Event, Lyon, France, 25–29 April 2022; pp. 726–734. [Google Scholar]
- Chen, Y.; Li, D.; Zhang, P.; Sui, J.; Lv, Q.; Tun, L.; Shang, L. Cross-modal Ambiguity Learning for Multimodal Fake News Detection. In Proceedings of the ACM Web Conference, Lyon, France, 25–29 April 2022; pp. 2897–2905. [Google Scholar]
- Wei, Z.; Pan, H.; Qiao, L.; Niu, X.; Dong, P.; Li, D. Cross-Modal Knowledge Distillation in Multi-Modal Fake News Detection. In Proceedings of the ICASSP 2022—2022 IEEE International Conference on Acoustics, Speech and Signal Processing (ICASSP), Singapore, 23–27 May 2022; pp. 4733–4737. [Google Scholar]
- Das, S.D.; Basak, A.; Dutta, S. A heuristic-driven uncertainty based ensemble framework for fake news detection in tweets and news articles. Neurocomputing 2022, 491, 607–620. [Google Scholar] [CrossRef]
- Davoudi, M.; Moosavi, M.R.; Sadreddini, M.H. DSS: A hybrid deep model for fake news detection using propagation tree and stance network. Exp. Syst. Appl. 2022, 198, 116635. [Google Scholar] [CrossRef]
- Segura-Bedmar, I.; Alonso-Bartolome, S. Multimodal fake news detection. Information 2022, 13, 284. [Google Scholar] [CrossRef]
- Karpathy, A.; Li, F.F. Deep visual-semantic alignments for generating image descriptions. In Proceedings of the IEEE Conference on Computer Vision and Pattern Recognition, Boston, MA, USA, 7–12 June 2015; pp. 3128–3137. [Google Scholar]
- Khattar, D.; Goud, J.S.; Gupta, M.; Varma, V. MVAE: Multimodal variational autoencoder for fake news detection. In Proceedings of the The World Wide Web Conference, San Francisco, CA, USA, 13–17 May 2019; pp. 2915–2921. [Google Scholar]
- Singh, S.; Cha, J.; Kim, T.W.; Park, J. Machine learning based distributed big data analysis framework for next generation web in IoT. Comput. Sci. Inf. Syst. 2021, 18, 597–618. [Google Scholar] [CrossRef]
- Singhal, S.; Kabra, A.; Sharma, M.; Shah, R.R.; Chakraborty, T.; Kumaraguru, P. Spotfake+: A multimodal framework for fake news detection via transfer learning (student abstract). Proc. AAAI Conf. Artifcial Intell. 2020, 34, 13915–13916. [Google Scholar] [CrossRef]
- Singhal, S.; Shah, R.R.; Chakraborty, T.; Kumaraguru, P.; Satoh, S.I. Spotfake: A multi-modal framework for fake news detection. In Proceedings of the 2019 IEEE Fifth International Conference on Multimedia Big Data (BigMM), Singapore, 11–13 September 2019; pp. 39–47. [Google Scholar]
- Wang, Y.; Ma, F.; Jin, Z.; Yuan, Y.; Xun, G.; Jha, K.; Su, L.; Gao, J. EANN: Event adversarial neural networks for multi-modal fake news detection. In Proceedings of the 24th ACM Sigkdd International Conference on Knowledge Discovery & Data Mining, London, UK, 19–23 August 2018; p. 849. [Google Scholar]
- Yang, K.; Long, S.; Zhang, W.; Yao, J.; Liu, J. Personalized News Recommendation Based on the Text and Image Integration. CMC-Comput. Mater. Contin. 2020, 64, 557–570. [Google Scholar] [CrossRef]
- Yang, Y.; Zheng, L.; Zhang, J.; Cui, Q.; Li, Z.; Yu, P.S. TI-CNN: Convolutional neural networks for fake news detection. arXiv 2018, arXiv:1806.00749. [Google Scholar]
- Choudhary, A.; Arora, A. Linguistic feature based learning model for fake news detection and classification. Expert Syst. Appl. 2021, 169, 114171. [Google Scholar] [CrossRef]
- Potthast, M.; Kiesel, J.; Reinartz, K.; Bevendorff, J.; Stein, B. A stylometric inquiry into hyperpartisan and fake news. In Proceedings of the ACL 2018—56th Annual Meeting of the Association for Computational Linguistics, Melbourne, Australia, 15–20 July 2018; Volume 1, pp. 231–240. [Google Scholar] [CrossRef]
- Long, Y.; Lu, Q.; Xiang, R.; Li, M.; Huang, C.-R. Fake news detection through multi-perspective speaker profiles. Proc. Eighth Int. Jt. Conf. Nat. Lang. Process. 2017, 2, 252–256. [Google Scholar]
- Song, C.; Ning, N.; Zhang, Y.; Wu, B. A multimodal fake news detection model based on crossmodal attention residual and multichannel convolutional neural networks. Inf. Process. Manag. 2021, 58, 102437. [Google Scholar] [CrossRef]
- Girgis, S.; Gadallah, M. Deep Learning Algorithms for Detecting Fake News in Online Text. In Proceedings of the 13th International Conference on Computer Engineering and Systems (ICCES), Cairo, Egypt, 18–19 December 2018; pp. 93–97. [Google Scholar] [CrossRef]
- Hosseinimotlagh, S.; Papalexakis, E.E. Unsupervised Content-Based Identification of Fake News Articles with Tensor Decomposition Ensembles. In Proceedings of the Workshop on Misinformation and Misbehavior Mining on the Web (MIS2), Los Angeles, CA, USA, 9 February 2018. [Google Scholar]
- Kaliyar, R.K.; Goswami, A.; Narang, P. DeepFakE: Improving fake news detection using tensor decomposition-based deep neural network. J. Supercomput. 2021, 77, 1015–1037. [Google Scholar] [CrossRef]
- Gupta, S.; Thirukovalluru, R.; Sinha, M.; Mannarswamy, S. CIMT Detect: A community infused matrix-tensor coupled factorization based method for fake news detection. In Proceedings of the 2018 IEEE/ACM International Conference on Advances in Social Networks Analysis and Mining, Barcelona, Spain, 28–31 August 2018. [Google Scholar] [CrossRef]
- Liang, G.; He, W.; Xu, C.; Chen, L.; Zeng, J. Rumor identification in microblogging systems based on users’ behavior. IEEE Trans. Comput. Soc. Syst. 2015, 2, 99–108. [Google Scholar] [CrossRef]
- Vishwakarma, D.K.; Varshney, D.; Yadav, A. Detection and veracity analysis of fake news via scrapping and authenticating the web search. Cogn. Syst. Res. 2019, 58, 217–229. [Google Scholar] [CrossRef]
- Meel, P.; Vishwakarma, D.K. HAN, image captioning, and forensics ensemble multimodal fake news detection. Inf. Sci. 2021, 567, 23–41. [Google Scholar] [CrossRef]
- Meel, P.; Vishwakarma, D.K. A temporal ensembling based semi-supervised ConvNet for the detection of fake news articles. Expert Syst. Appl. 2021, 177, 115002. [Google Scholar] [CrossRef]
- Varshney, D.; Vishwakarma, D.K. Hoax news-inspector: A real-time prediction of fake news using content resemblance over web search results for authenticating the credibility of news articles. J. Ambient. Intell. Hum. Comput. 2021, 12, 8961–8974. [Google Scholar] [CrossRef]
- Vo, N.; Lee, K. The rise of guardians: Fact-checking URL recommendation to combat fake news. In Proceedings of the 41st International ACM SIGIR Conference on Research and Development in Information Retrieval, Ann Arbor, MI, USA, 8–12 July 2018. [Google Scholar] [CrossRef]
- Passant, A.; Kärger, P.; Hausenblas, M.; Olmedilla, D.; Polleres, A.; Decker, S. Enabling trust and privacy on the social web. In Proceedings of the W3C workshop on the future of social networking, Barcelona, Spain, 15–16 January 2009; World Wide Web Consortium (W3C): Cambridge, MA, USA, 2009. [Google Scholar]
- Majumder, N.; Poria, S.; Gelbukh, A.; Cambria, E. Deep learning-based document modeling for personality detection from text. IEEE Intell. Syst. Appl. 2017, 32, 74–79. [Google Scholar] [CrossRef]
- Weng, J.; Lim, E.P.; Jiang, J.; He, Q. TwitterRank: Finding topic-sensitive influential twitterers. In Proceedings of the 3rd International Conference on Web Search and Data Mining, New York, NY, USA, 4–6 February 2010; 6 February 2010. [Google Scholar]
- Silva, A.; Guimarães, S.; Meira, W., Jr.; Zaki, M. ProfileRank: Finding relevant content and influential users based on information diffusion. In Proceedings of the 7th workshop on social network mining and analysis, Chicago, IL, USA, 11–14 August 2013. [Google Scholar]
- Yeniterzi, R.; Callan, J. Constructing effective and efficient topic-specific authority networks for expert finding in social media. In Proceedings of the 1st international workshop on social media retrieval and analysis, Gold Coast, QLD, Australia, 11 July 2014. [Google Scholar]
- Kwak, H.; Lee, C.; Park, H.; Moon, S. What is Twitter, a social network or a news media? In Proceedings of the 19th international conference on World Wide Web, Raleigh, NC, USA, 26–30 April 2010. [Google Scholar]
- Tsolmon, B.; Lee, K.-S. A graph-based reliable user classification. In Proceedings of the 1st International Conference on Advanced Data and Information Engineering (DaEng-2013): Lecture Notes in Electrical Engineering, Kuala Lumpur, Malaysia, 16–18 December 2013; Herawan, T., Deris, M., Abawajy, J., Eds.; Springer: Berlin, Germnay, 2014; Volume 285, pp. 61–68. [Google Scholar]
- Agarwal, M.; Zhou, B. Detecting malicious activities using backward propagation of trustworthiness over heterogeneous social graph. In Proceedings of the IEEE/WIC/ACM International Joint Conferences on Web Intelligence (WI) and Intelligent Agent Technologies (IAT), Atlanta, GA, USA, 17–20 November 2013. [Google Scholar]
- Podobnik, V.; Striga, D.; Jandras, A.; Lovrek, I. How to calculate trust between social network users? In Proceedings of the 20th international conference on software, telecommunications and computer networks (SoftCOM), Split, Croatia, 11–13 September 2012. [Google Scholar]
- Sikdar, S.; Kang, B.; ODonovan, J.; Höllerer, T.; Adah, S. Understanding information credibility on Twitter. In Proceedings of the International Conference on Social Computing, Alexandria, VA, USA, 8–14 September 2013. [Google Scholar]
- Wu, H.; Arenas, A.; Gómez, S. Influence of trust in the spreading of information. Phys. Rev. E 2017, 95, 012301. [Google Scholar] [CrossRef]
- Sherchan, W.; Nepal, S.; Paris, C. A survey of trust in social networks. ACM Comput. Surv. 2013, 45, 47. [Google Scholar] [CrossRef]
- Aghdam, M.H.; Analoui, M.; Kabiri, P. Modelling trust networks using resistive circuits for trust-aware recommender systems. J. Inf. Sci. 2017, 43, 135–144. [Google Scholar] [CrossRef]
- Al-Qurishi, M.; Rahman, S.M.M.; Alamri, A.; Mostafa, M.A.; Al-Rubaian, M.; Hossain, M.S.; Gupta, B.B. SybilTrap: A graph-based semi-supervised Sybil defense scheme for online social networks. Concurr. Comp. Pract. E 2018, 30, e4276. [Google Scholar] [CrossRef]
- Kožuh, I.; Čakš, P. Explaining News Trust in Social Media News during the COVID-19 Pandemic-The Role of a Need for Cognition and News Engagement. Int. J. Environ. Res. Public Heal. 2021, 18, 12986. [Google Scholar] [CrossRef]
- Sabour, S.; Frosst, N.; Hinton, G.E. Dynamic routing between capsules. arXiv 2017, arXiv:1710.09829. [Google Scholar]
- Dombetzki, L.A. An overview over capsule networks. In Proceedings of the Seminars Future Internet (FI) and Innovative Internet Technologies and Mobile Communication (IITM), Munich, Germany, 26 February–19 August 2018; pp. 89–95. [Google Scholar] [CrossRef]
- Sezer, A.; Sezer, H.B. Capsule network-based classification of rotator cuff pathologies from MRI. Comput. Electr. Eng. 2019, 80, 106480. [Google Scholar] [CrossRef]
- Lukic, V.; Brüggen, M.; Mingo, B.; Croston, J.H.; Kasieczka, G.; Best, P.N. Morphological classification of radio galaxies- capsule networks versus CNN. Mon. Not. R. Astron. Soc. 2019, 487, 1729–1744. [Google Scholar] [CrossRef]
- Beser, F.; Kizrak, M.A.; Bolat, B.; Yildirim, T. Recognition of sign language using capsule networks. In Proceedings of the 26th Signal Processing and Communications Applications Conference, Izmir, Turkey, 2–5 May 2018. [Google Scholar] [CrossRef]
- Xu, Z.; Lu, W.; Zhang, Q.; Yeung, Y.; Chen, X. Gait recognition based on capsule network. J. Vis. Commun. Image Represent. 2019, 59, 159–167. [Google Scholar] [CrossRef]
- Zhang, X.Q.; Zhao, S.G. Cervical image classification based on image segmentation preprocessing and a CapsNet network model. Int. J. Imaging Syst. Technol. 2018, 29, 19–28. [Google Scholar] [CrossRef]
- Schuster, M.; Paliwal, K.K. Bidirectional recurrent neural networks. IEEE Trans. Signal Process. 1997, 45, 2673–2681. [Google Scholar] [CrossRef]
- Bahdanau, D.; Cho, K.; Bengio, Y. Neural Machine Translation by Jointly Learning to Align and Translate. arXiv 2014, arXiv:1409.0473. [Google Scholar]
- Sukhbaatar, S.; Weston, J.; Fergus, R. End-to-end memory networks. Adv. Neural Inf. Process. Syst. (NeurIPS) 2015, 28, 2440–2448. [Google Scholar]
- Kumar, A.; Irsoy, O.; Ondruska, P.; Iyyer, M.; Bradbury, J.; Gulrajani, I.; Zhong, V.; Paulus, R.; Socher, R. Ask me anything: Dynamic memory networks for natural language processing. In Proceedings of the 33nd International Conference on Machine Learning (ICML), New York, NY, USA, 20–22 June 2016; pp. 1378–1387. [Google Scholar]
- Dong, M.; Yao, L.; Wang, X.; Benatallah, B.; Huang, C. Similarity-aware deep attentive model for clickbait detection. In Proceedings of the Pacific-Asia Conference on Knowledge Discovery and Data Mining, Macau, China, 14–17 April 2019; Springer: Cham, Switzerland, 2019; pp. 56–69. [Google Scholar]
- Saleh, H.; Alharbi, A.; Alsamhi, S.H. OPCNN-FAKE: Optimized convolutional neural network for fake news detection. IEEE Access 2021, 9, 129471–129489. [Google Scholar] [CrossRef]
- Zhou, X.; Wu, J.; Zafarani, R. SAFE: Similarity-aware multi-modal fake news detection. arXiv 2020, arXiv:2003.04981. [Google Scholar]
- Cui, L.; Shu, K.; Wang, S.; Lee, D.; Liu, H. dEFEND: A system for explainable fake news detection. In Proceedings of the 28th ACM international conference on information and knowledge management, Beijing, China, 3–7 November 2019. [Google Scholar]
- Qian, F.; Gong, C.; Sharma, K.; Liu, Y. Neural User Response Generator: Fake News Detection with Collective User Intelligence. IJCAI 2018, 18, 3834–3840. [Google Scholar]
- Singhania, S.; Fernandez, N.; Rao, S. 3HAN: A deep neural network for fake news detection. in nternational Conference on Neural Information Processing. In Proceedings of the International Conference on Neural Information Processing (ICONIP 2017), Long Beach, CA, USA, 4–9 December 2017. [Google Scholar]











| GossipCop | GossipCop | PolitiFact | PolitiFact | |
|---|---|---|---|---|
| Features of Datasets | Fake | Real | Fake | Real |
| Total number of news articles | 6048 | 16,817 | 432 | 624 |
| Related to text contents | 785 | 16,765 | 353 | 400 |
| Related to social interactions | 4298 | 2902 | 342 | 314 |
| Related to news content having social interactions | 675 | 2895 | 286 | 202 |
| Total number of tweets | 71,009 | 154,383 | 116,005 | 261,262 |
| Related to tweets having interaction | 3040 | 2546 | 6686 | 20,720 |
| Related to tweets having likes | 10,685 | 2264 | 18,453 | 52,082 |
| Related to tweets having retweets | 7614 | 5025 | 13,226 | 42,059 |
| GossipCop | PolitiFact | |||||||
|---|---|---|---|---|---|---|---|---|
| Models | Accuracy | Precision | Recall | f-Measure | Accuracy | Precision | Recall | f-Measure |
| NB [22] | 0.627 | 0.794 | 0.913 | 0.852 | 0.616 | 0.762 | 0.874 | 0.814 |
| SVM [14,29] | 0.494 | 0.467 | 0.914 | 0.613 | 0.582 | 0.467 | 0.911 | 0.613 |
| RF [18] | 0.858 | 0.984 | 0.85 | 0.916 | 0.847 | 0.896 | 0.845 | 0.872 |
| VGG19 [54,56,57,58,60] | 0.803 | 0.795 | 0.793 | 0.802 | 0.654 | 0.647 | 0.649 | 0.653 |
| EANN [58] | 0.915 | 0.904 | 0.899 | 0.918 | 0.747 | 0.728 | 0.734 | 0.741 |
| MVAE [54] | 0.775 | 0.759 | 0.767 | 0.769 | 0.673 | 0.657 | 0.659 | 0.652 |
| SpotFake [57] | 0.807 | 0.798 | 0.802 | 0.805 | 0.721 | 0.718 | 0.719 | 0.728 |
| SpotFake+ [56] | 0.856 | 0.832 | 0.828 | 0.851 | 0.846 | 0.835 | 0.829 | 0.842 |
| Proposed | 0.988 | 0.985 | 0.966 | 0.975 | 0.990 | 0.979 | 1.000 | 0.989 |
| Model | Description |
|---|---|
| OPCNN-FAKE [102] | It is a Convolutional Neural Network model that has been improved to detect fake news. The network parameters were optimized using grid search and hyperopic optimization methods. |
| SAFE [103] | It uses both textual and visual data from news articles. First, neural networks are utilized to separate visual and textual components of news coverage. The connection between the extracted attributes is then investigated across methods. Finally, a method for predicting fake news is developed by learning the correlation between textual and visual representations of news. |
| dEFEND [104] | Exploiting both news content and user comments, it collects the linked sentences and user remarks for fake news detection using a sentence-comment co-attention sub-network. |
| TCNNCURG [105] | When applied to text, the Two-Level Convolutional Neural Network with User Reaction Generator (TCNN-URG) builds a generative model of user response to news items based on past user replies while simultaneously capturing semantic information from the text at the sentence and word levels. |
| 3HAN [106] | 3HAN employs a hierarchical attention neural network architecture to analyze the textual contents of news articles to detect false news. It does this by encoding the textual contents using a hierarchical attention network that is composed of three levels: words, phrases, and headlines. |
| CAFE [48] | For news articles with appropriate image-text pairs. while learning to contrastively reduce the Kullback-Leibler (KL) divergence, variational autoencoders are trained to compress both the pictures and the texts. Multimodal characteristics are rebalanced based on the relevant cross-modal ambiguity score. |
| FND-CLIP [45] | The modal combines images and text from the news using the deep learning properties of text and images through the use of a ResNet-based encoder and a BERT-based encoder, respectively. |
| CMC [49] | This method employs a two-stage network, initially training two unimodal networks to learn cross-modal correlation via contrastive learning, and then fine-tuning the network to detect bogus news. |
| GossipCop | PolitiFact | |||||||
|---|---|---|---|---|---|---|---|---|
| Models | Accuracy | Precision | Recall | f-Measure | Accuracy | Precision | Recall | f-Measure |
| OPCNN- FAKE [102] | 0.952 | 0.952 | 0.952 | 0.952 | 0.952 | 0.952 | 0.952 | 0.952 |
| SAFE [103] | 0.838 | 0.857 | 0.937 | 0.895 | 0.874 | 0.889 | 0.903 | 0.896 |
| dEFEND [104] | 0.888 | 0.729 | 0.782 | 0.755 | 0.904 | 0.902 | 0.956 | 0.928 |
| TCNN-URG [105] | 0.736 | 0.715 | 0.521 | 0.603 | 0.712 | 0.711 | 0.941 | 0.810 |
| 3HAN [106] | 0.750 | 0.659 | 0.695 | 0.677 | 0.844 | 0.825 | 0.899 | 0.860 |
| CAFE [48] | 0.864 | 0.809 | 0.723 | 0.754 | 0.867 | 0.809 | 0.848 | 0.828 |
| FND-CLIP [45] | 0.880 | 0.83 | 0.754 | 0.783 | 0.942 | 0.9285 | 0.9285 | 0.9285 |
| CMC [49] | 0.893 | 0.873 | 0.81 | 0.813 | - | - | - | - |
| Proposed | 0.988 | 0.985 | 0.966 | 0.975 | 0.990 | 0.979 | 1.000 | 0.989 |
| GossipCop | PolitiFact | |||||||
|---|---|---|---|---|---|---|---|---|
| Models | Top-1 | Top-5 | Top-10 | RAR | Top-1 | Top-5 | Top-10 | RAR |
| Image only | 0.501 | 0.584 | 0.648 | 0.428 | 0.594 | 0.652 | 0.674 | 0.487 |
| Text only | 0.428 | 0.511 | 0.568 | 0.357 | 0.467 | 0.548 | 0.597 | 0.413 |
| Credibility + Text | 0.53 | 0.664 | 0.718 | 0.461 | 0.598 | 0.678 | 0.734 | 0.509 |
| Similarity + Text | 0.52 | 0.692 | 0.746 | 0.464 | 0.663 | 0.742 | 0.778 | 0.452 |
| Credibility + Image | 0.641 | 0.762 | 0.841 | 0.621 | 0.749 | 0.824 | 0.864 | 0.642 |
| Proposed | 0.727 | 0.951 | 0.988 | 0.791 | 0.751 | 0.967 | 0.990 | 0.826 |
Disclaimer/Publisher’s Note: The statements, opinions and data contained in all publications are solely those of the individual author(s) and contributor(s) and not of MDPI and/or the editor(s). MDPI and/or the editor(s) disclaim responsibility for any injury to people or property resulting from any ideas, methods, instructions or products referred to in the content. |
© 2022 by the authors. Licensee MDPI, Basel, Switzerland. This article is an open access article distributed under the terms and conditions of the Creative Commons Attribution (CC BY) license (https://creativecommons.org/licenses/by/4.0/).
Share and Cite
Nadeem, M.I.; Ahmed, K.; Li, D.; Zheng, Z.; Alkahtani, H.K.; Mostafa, S.M.; Mamyrbayev, O.; Abdel Hameed, H. EFND: A Semantic, Visual, and Socially Augmented Deep Framework for Extreme Fake News Detection. Sustainability 2023, 15, 133. https://doi.org/10.3390/su15010133
Nadeem MI, Ahmed K, Li D, Zheng Z, Alkahtani HK, Mostafa SM, Mamyrbayev O, Abdel Hameed H. EFND: A Semantic, Visual, and Socially Augmented Deep Framework for Extreme Fake News Detection. Sustainability. 2023; 15(1):133. https://doi.org/10.3390/su15010133
Chicago/Turabian StyleNadeem, Muhammad Imran, Kanwal Ahmed, Dun Li, Zhiyun Zheng, Hend Khalid Alkahtani, Samih M. Mostafa, Orken Mamyrbayev, and Hala Abdel Hameed. 2023. "EFND: A Semantic, Visual, and Socially Augmented Deep Framework for Extreme Fake News Detection" Sustainability 15, no. 1: 133. https://doi.org/10.3390/su15010133
APA StyleNadeem, M. I., Ahmed, K., Li, D., Zheng, Z., Alkahtani, H. K., Mostafa, S. M., Mamyrbayev, O., & Abdel Hameed, H. (2023). EFND: A Semantic, Visual, and Socially Augmented Deep Framework for Extreme Fake News Detection. Sustainability, 15(1), 133. https://doi.org/10.3390/su15010133

