Next Article in Journal
From an Ethics of Carefulness to an Ethics of Desirability: Going Beyond Current Ethics Approaches to Sustainable AI
Previous Article in Journal
MDPI Sustainability: Special Issue: “Women’s Special Issue Series: Sustainable Energy”
 
 
Font Type:
Arial Georgia Verdana
Font Size:
Aa Aa Aa
Line Spacing:
Column Width:
Background:
Article

A Closed-Loop Supply Chain Operation Problem under Different Recycling Modes and Patent Licensing Strategies

1
School of Management, Henan University of Science and Technology, 263 Kaiyuan Blvd, Luolong District, Luoyang 471000, China
2
Henley Business School, University of Reading, Reading RG6 6UD, UK
*
Author to whom correspondence should be addressed.
Sustainability 2022, 14(8), 4471; https://doi.org/10.3390/su14084471
Submission received: 16 March 2022 / Revised: 3 April 2022 / Accepted: 5 April 2022 / Published: 8 April 2022

Abstract

:
A closed-loop supply chain operation is an effective way to improve the dual benefits of economy and environment. Inspired by the practice of closed-loop supply chain coordination, this paper attempts to investigate the supply chain operation strategies of different recycling modes and patent licensing strategies and consider the impact of government subsidies. We construct a multi-player game model of an original manufacturer, a remanufacturer, and a retailer under a waste product recycling mode, patent licensing strategy, and government subsidy system. We provide the operation strategies under different strategy combinations in the closed-loop supply chain, and then analyze their differences and the interests of various subjects. We further analyze the impact of government subsidies on the operation strategies of the supply chain. The results illustrate that when the original manufacturer adopts the fixed fee patent licensing strategy, the recycling price of waste products is higher. When the original manufacturer adopts the unit fee patent licensing strategy and the retailer and the remanufacturer participate in the recycling of waste products simultaneously, the original manufacturer will increase the unit patent licensing fee. When the remanufacturer recycles waste products alone, consumers can obtain greater unit income in the waste product recycling market. Different government subsidies have different effects on the wholesale price and the retail price of new products and remanufactured products.

1. Introduction

Due to the increasing shortage of global resources and the aggravation of natural environment pollution, people pay more and more attention to the closed-loop supply chain (CLSC) management problems such as recycling, remanufacturing, and cyclic utilization of waste products. Collection, recycling, and remanufacturing procedures are important components of the CLSC [1]. The CLSC is a complete loop supply system formed based on the addition of the forward supply chain [2]. In CLSC, enterprises collect used products from consumers and utilize the residual value of these products through the remanufacturing process [3]. Additionally, used products are taken as inputs, restored to as-new condition, and then resold [4,5,6].
The implementation of a green CLSC will not only help enterprises to enhance the utilization of resources and reduce resource waste, but also reduce the cost, create profits, and improve the competitiveness of enterprises [7,8]. Enterprises such as Kodak, Hewlett-Packard, and Xerox have already participated in the recycling and remanufacturing of products [9], and Xerox has saved 45–60% of their manufacturing costs and gained hundreds of millions of dollars by implementing waste product recycling and reuse in the recycling strategy [10]. In the 2020 Tokyo Olympic Games, the Olympic Organizing Committee had set a target to make all medals from electronic waste, including old smart phones and laptops [11]. In Japan, people’s active participation in the recycling of electronic waste products has promoted the realization of the goal. As an important part of the CLSC, waste product recycling has been investigated extensively. There are many modes for enterprises to recycle waste products. Xerox Corporation adopts the manufacturer recycling channel mode to collect second-hand copiers directly from customers. Eastman Kodak adopts the retailer recycling channel mode to recycle disposable cameras from large retailers [12]. Additionally, Ford, General Motors, and Daimler-Chrysler adopt the third-party recycling channel mode to outsource the collection of second-hand products to independent third parties [3]. The recycling mode influences the performance of the supply chain members [6]. Additionally, the research on recycling mode of waste products is an important field in remanufacturing supply chain management [13,14]. Guide and Van Wassenhove [15] put forward the concept of product recycling management, qualitatively analyzed how to manage the uncertainty of recycled product quality, and made an economic value analysis. Savaskan et al. [12] and Savaskan and Van Wassenhove [16] further studied the relationship between the manufacturer’s optimal recycling channel selection and the recycling cost function based on three waste product recycling channel modes. Zheng et al. [17] analyzed the two-level supply chain system with complex relationships such as product remanufacturing, channel competition, and channel intrusion, and further studied the manufacturer’s channel intrusion decision-making strategy under the two modes of manufacturer recycling and retailer recycling and its impact on retailers, the supply chain system, and consumer surplus [18]. Li et al. [19] discussed the recovery pricing decisions of the dual channel reverse supply chain under the dual influence of recyclers’ loss aversion and consumers’ bargaining power. When the ratio of recycling price to recycling competition coefficient is large, the mixed recycling channel composed of manufacturers, retailers, and third-party recyclers can better maintain the coordination and stability of the supply chain [20]. Xia and Zhu [21] built a game model between recyclers and processors under different government subsidy strategies based on the two recycling modes and compared and analyzed the impact of government subsidies on enterprise decision-making and income. Government subsidies play an active role in promoting the recycling and remanufacturing willingness of remanufacturers and collectors [2]. Internet platforms play an important role in the recycling process of remanufactured waste products and materials [22]. Internet technology makes online recycling more and more popular, and more and more companies are gradually adopting offline and online recycling channel modes [2,23].
Remanufactured products entering the consumer market will inevitably compete with the original new products in the market. The conflict of interest and intellectual property disputes between the original manufacturer and the remanufacturer are gradually emerging. Canon and Epson of Japan have repeatedly filed intellectual property lawsuits about recycled ink cartridges [24]. In the remanufacturing patent litigation of American manufacturing industry, the “Canvas top case”, “Canning machine case”, and “Planer case” have also been cited many times [25]. According to the provisions of the patent law, the patented products protected by law are exclusive. When the original manufacturer’s products are protected by patents, the remanufacturer can only conduct the production activities of remanufactured products after obtaining the patent authorization [26]. As an effective means of authorizing intellectual property rights, patent licensing has been widely used by original manufacturers. It can protect the intellectual property rights of patented products and improve the efficiency and profitability of enterprises [27]. Oraiopoulos et al. [28] discussed how the original manufacturer hindered the development of the second-hand market of the electronic industry by charging the third-party remanufacturer the patent licensing fee in the electronic product market where second-hand products, refurbished products, and new products coexist. When the manufacturer’s products are under patent protection, the third-party remanufacturer can carry out the production activities of remanufactured products only after obtaining the patent licensing [29,30,31]. Yi and Yang [32] built a CLSC model in which the remanufacturer is responsible for recycling waste products for remanufacturing under different patent licensing strategies in a market with heterogeneous consumer demand; that is, the fixed patent licensing fee model and the unit product patent licensing fee model. Long et al. [1] extended this study by considering the heterogeneity of consumers and various remanufacturing models of different remanufactured products, so as to determine the manufacturer’s best recycling and remanufacturing decisions. The remanufacturing degree of remanufactured products will affect consumers’ choice decisions between new products and remanufactured products [33]. Cao et al. [34] established the patent licensing mechanism and the dynamic game model between manufacturers and remanufacturers under government regulation, and analyzed the output, pricing, and income of manufacturers and remanufacturers under three modes: no government regulation without patent licensing, no government regulation with patent licensing, and government regulation with patent licensing. The government taxes manufacturers according to their carbon emissions and manufacturers can recycle consumers’ waste to reduce production costs and carbon emission taxes and the CLSC can be coordinated by a two-part tariff contract [3,35,36,37]. Huang and Wang [38] studied the influence of patent authorization on the remanufacturing mode of the CLSC based on different remanufacturing models of enterprises in the CLSC. Consumers’ preference for product retail channels will also affect the pricing and coordination of the dual channel CLSC and designing a reasonable distribution mechanism can achieve a win–win for enterprises [39]. Revenue sharing contracts can achieve profit and environmental coordination among supply chain members [40,41]. Gao et al. [42] studied a dual-channel recycling CLSC and investigated the royalty strategy involving a cost-reducing technique for remanufacturing patented products. Li et al. [43] studied the impact of remanufacturing patent licensing fees on the CLSC pricing strategy of remanufacturers responsible for recycling and discussed the pricing of remanufactured products under different patent licensing fees in different regions.
The research mentioned above mainly focused on the impact of different recycling modes or single patent licensing strategies on the supply chain. In some cases, the shortage of price, time, and space for a single waste product recycling mode will hinder consumers from actively returning waste products, and a single patent licensing strategy will limit the initiative of remanufacturing businesses. However, there are few studies considering the impact of different waste product recycling modes and different patent licensing strategies on enterprise decision-making and profits in the CLSC, as well as the subsidies given by the government to deal with remanufactured products. Therefore, to close these research gaps, this study puts forward the following research questions.
  • (1) How do the patent licensing strategy and waste product recycling mode affect the changes of enterprise profits of the original manufacturer, the remanufacturer, and the retailer in the CLSC simultaneously?
  • (2) How does the recycling mode selection of the remanufacturer and the retailer participating in the recycling of waste products affect the CLSC and the profits of enterprises when the original manufacturer sets the patent licensing strategy for products?
  • (3) How does the remanufacturing subsidy formulated by the government affect the decision-making of the remanufacturer and promote the sustainable development of the remanufacturing industry?
To answer these questions, we construct a multi-player game model of an original manufacturer, a remanufacturer, and a retailer under a waste product recycling mode, patent licensing strategy, and government subsidy system. Based on observations from current literature and actual situations, our innovation can be summarized as follows: (1) We establish a CLSC model composed of an original manufacturer, a remanufacturer, and a retailer. Among them, the original manufacturer charges the patent licensing fee from the remanufacturer. In terms of the patent licensing strategy, we consider the fixed fee patent licensing strategy and the unit fee patent licensing strategy. (2) In the process of waste product recycling, we consider three waste product recycling modes: retailer recycling mode, remanufacturer recycling mode, and hybrid recycling of retailer and remanufacturer mode. The government provides a remanufacturing products processing subsidy for the remanufacturer. (3) In addition, we also discuss the competitive relationship between new products and remanufactured products in the consumer market and the competitive relationship between the retailer and the remanufacturer in the waste product recycling market at the same time. By comparing and analyzing the optimal profits of the original manufacturer, the remanufacturer, and the retailer under the three waste product recycling modes, this paper obtains the impact of the waste product recycling mode and the patent licensing strategy on enterprise decision-making in the process of the CLSC.
The remainder of this paper is organized as follows: Section 2 shows the problem description, parameters, and assumptions. The CLSC operation strategies used for addressing the established models under different recycling modes is introduced in Section 3. Numerical experiments are executed, and their findings are reported in Section 4. Ultimately, Section 5 concludes the conclusions and future research opportunities. The proof of this paper is attached in Appendix A.

2. Problem Description and Assumptions

2.1. Problem Description

A CLSC composed of an original manufacturer, a retailer, and a remanufacturer was considered. The original manufacturer produces patented new products and decides the patent licensing fee, and the remanufacturer produces remanufactured products by paying the patent licensing fee to the original manufacturer. Additionally, the patent licensing fee is divided into the fixed patent licensing fee and the unit patent licensing fee [34]. New products and remanufactured products have the same function, but different production costs. Additionally, the production cost of new products is higher than that of remanufactured products. They are sold to the retailer with the wholesale price. Then, the retailer sells them to consumers with the retail price.
Like the three recycling channels in Savaskan et al. [12], this paper puts forward different waste product recycling channels: retailer recycling, remanufacturer recycling, and hybrid recycling of retailer and remanufacturer. That is, when the retailer is involved in the recycling process, after receiving waste products from consumers, the retailer sells them to the remanufacturer. To stimulate the retailer to receive more, the remanufacturer provides a secondary recycling price that is higher than the recycling price of the retailer. Additionally, to encourage the remanufacturer to actively carry out a remanufacturing business, the government will give a certain processing subsidy to the remanufacturer for unsold remanufactured products. To focus on our research questions, we considered an exogenous government subsidy. Correspondingly, three recycling modes were established (shown in Figure 1), which are, respectively, retailer recycling mode, remanufacturer recycling mode, and hybrid recycling of retailer and remanufacturer mode.

2.2. Meaning of Parameters and Variables

Notations and assumptions used in this paper are as follows. The definitions of some notations are shown in Table 1. Other notations are given when they are needed.

2.3. Relevant Assumptions

We modeled the problem as a Stackelberg game in which the original manufacturer is the leader, and the remanufacturer and the retailer are the followers. The motivation for considering this scenario is the fact that in many industries, original manufacturers still have more bargaining power than remanufacturers and retailers [44,45,46], especially when original manufacturers have product patents.
We assumed the scenario that the original manufacturer did not undertake the tasks for the recycling of waste products and the production of remanufactured products but charged the patent licensing fee in the remanufacturing process. In terms of the patent licensing fee, we considered that the original manufacturer adopts the fixed patent licensing fee K and the unit patent licensing fee f i .
The increasing shortage of global resources and the aggravation of natural environmental pollution have gradually strengthened consumers’ concept of green environmental protection. However, consumers’ perception of the quality for remanufactured products is still lower than that of new products [33]. We assumed that a is the total market demand of products, ν is the perceived quality of new products, and θ ν is the perceived quality of remanufactured products, where θ     0 , 1 [47]. Because new products and remanufactured products are competing in the market, according to the research results of Tang and Xu [39], we used the Hotelling model and obtained that the demand function for new products is D 1   =   a     P M i k     P T i k 1     θ and the demand function for remanufactured products is D 2   =   θ P M i k     P T i k θ 1     θ .
Consider that when waste products are recycled separately by the retailer and the remanufacturer, consumers’ supply of waste products to the retailer D 3 is a function of the recycling price r 1 : D 3   =   α   +   β r 1 i k ; consumers’ supply of waste products to the remanufacturer D 4 is a function of the recycling price r 2 : D 4   =   α   +   β r 2 i k , where α and β are constants and α   >   0 and β   >   0 . α indicates the number of waste products voluntarily returned by consumers due to their awareness of environmental protection. The larger α indicates that the social environmental awareness of consumers is higher. β indicates the sensitivity of consumers to the recycling price. The larger β indicates that consumers are more sensitive to the recycling price. When the retailer and the remanufacturer recycle waste products simultaneously, there is a price competition in the recycling process. Consumers choose to sell waste products to the retailer or the remanufacturer according to the recycling price of waste products. Here, only the recycling price was considered, regardless of the recycling distance cost, labor cost, and other factors [19]. Therefore, when the retailer and the remanufacturer recycle waste products simultaneously, the supply function of the remanufacturer’s recycled waste products is: D 5   =   α   +   β r 2 i k     λ r 1 i k , and the supply function of the retailer’s recycled waste products is: D 6   =   α   +   β r 1 i k     λ r 2 i k , of which β   >   λ .

3. Model Establishment and Solution under Different Recycling Modes

3.1. Retailer Recycling Mode

In the mode that the retailer undertakes recycling activities, the game order between the original manufacturer, the retailer, and the remanufacturer is as follows. The original manufacturer, as a first entrant in the market, first determines the wholesale price w M 1 k and the patent licensing strategy of the products. Then, the remanufacturer determines the wholesale price w T 1 k of remanufactured products and the recycling price R 1 k paid to the retailer. Finally, the retailer determines the retail prices P M 1 k and P T 1 k of new products and remanufactured products, as well as the recycling price r 1 1 k paid to consumers.
When the original manufacturer adopts the unit fee patent licensing strategy, the profit objective functions of the original manufacturer, the remanufacturer, and the retailer are:
π M 1 U   =   w M 1 U     c M   ×   D 1   +   f 1   ×   D 3
π T 1 U   =   w T 1 U   ×   D 2     c T   ×   D 3     R 1 U   +   f 1   ×   D 3   +   s   ×   D 3     D 2
π R 1 U   =   P M 1 U     w M 1 U   ×   D 1   +   P T 1 U     w T 1 U D 2   +   ( R 1 U     r 1 1 U )   ×   D 3
According to the order of the game, using the reverse solution method, we have:
P M 1 U   =   6 a     2 c M     s   +   4 a θ   +   c M θ 4   2   +   θ
P T 1 U   =   4 s     10 a θ     2 c M θ   +   s θ   +   6 a θ 2   +   c M θ 2 8     2   +   θ
w M 1 U   =   2 a     2 c M     s   +   2 a θ   +   c M θ 2 2   +   θ
w T 1 U   =   4 s     2 a θ     2 c M θ   +   s θ   +   2 a θ 2   +   c M θ 2 4 2   +   θ
R 1 U   =   3 α   +   s β     β c T 4 β
r 1 1 U   =   7 α   +   s β     β c T 8 β
f 1   =   α   +   s β     β c T 2 β
When the original manufacturer adopts the fixed fee patent licensing strategy, the profit objective functions of the original manufacturer, the remanufacturer, and the retailer are:
π M 1 F   =   w M 1 F     c M   ×   D 1   +   K
π T 1 F   =   w T 1 F   ×   D 2     R 1 F   +   c T   ×   D 3   +   s   ×   D 3     D 2     K
π R 1 F   =   P M 1 F     w M 1 F   ×   D 1   +   P T 1 F     w T 1 F D 2   +   ( R 1 F     r 1 1 F )   ×   D 3
According to the order of the game, using the reverse solution method, we have:
P M 1 F   =   6 a     2 c M     s   +   4 a θ   +   c M θ 4   2   +   θ
P T 1 F   =   4 s     10 a θ     2 c M θ   +   s θ   +   6 a θ 2   +   c M θ 2 8 2   +   θ
w M 1 F   =   2 a     2 c M s   +   2 a θ   +   c M θ 2 2   +   θ
w T 1 F   =   4 s     2 a θ     2 c M θ   +   s θ   +   2 a θ 2   +   c M θ 2 4 2   +   θ
R 1 F   =   α   +   s β     β c T 2 β
r 1 1 F   =   3 α   +   s β     β c T 4 β

3.2. Remanufacturer Recycling Mode

In the mode that the remanufacturer undertakes recycling activities, the game order between the original manufacturer, the retailer, and the remanufacturer is as follows. The original manufacturer, as a first entrant in the market, first determines the wholesale price w M 2 k and the patent licensing strategy of the products. Then, the remanufacturer determines the wholesale price w T 2 k of remanufactured products and the recycling price r 2 2 k paid to consumers. Finally, the retailer determines the retail prices P M 2 k and P T 2 k of new products and remanufactured products.
When the original manufacturer adopts the unit fee patent licensing strategy, the profit objective functions of the original manufacturer, the remanufacturer, and the retailer are:
π M 2 U   =   w M 2 U     c M   ×   D 1   +   f 2   ×   D 4
π T 2 U   =   w T 2 U   ×   D 2     c T   ×   D 4     r 2 2 U   +   f 2   ×   D 4   +   s   ×   D 4     D 2
π R 2 U   =   P M 2 U     w M 2 U   ×   D 1   +   P T 2 U     w T 2 U D 2
According to the order of the game, using the reverse solution method, we have:
P M 2 U   =   6 a     2 c M     s   +   4 a θ   +   c M θ 4 2   +   θ
P T 2 U   =   4 s     10 a θ     2 c M θ +   s   θ   +   6 a θ 2   +   c M θ 2 8   2   +   θ
w M 2 U   =   2 a     2 c M     s   +   2 a θ   +   c M θ 2 2   +   θ
w T 2 U   =   4 s     2 a θ     2 c M θ   +   s θ   +   2 a θ 2   +   c M θ 2 4   2   +   θ
r 2 2 U   =   3 α   +   s β     β c T 4 β
f 2   =   α   +   s β     β c T 2 β
When the original manufacturer adopts the fixed fee patent licensing strategy, the profit objective functions of the original manufacturer, the remanufacturer, and the retailer are:
π M 2 F   =   w M 2 F     c M   ×   D 1   +   K
π T 2 F   =   w T 2 F   ×   D 2     r 2 2 F   +   c T   ×   D 4   +   s   ×   D 4     D 2     K
π R 2 F   =   P M 2 F     w M 2 F   ×   D 1   +   P T 2 F     w T 2 F D 2
According to the order of the game, using the reverse solution method, we have:
P M 2 F   =   6 a     2 c M     s   +   4 a θ   +   c M θ 4   2   +   θ
P T 2 F   =   4 s     10 a θ     2 c M θ   +   s θ   +   6 a θ 2   +   c M θ 2 8   2   +   θ
w M 2 F   =   2 a     2 c M     s   +   2 a θ   +   c M θ 2   2   +   θ
w T 2 F   =   4 s     2 a θ     2 c M θ   +   s θ   +   2 a θ 2   +   c M θ 2 4   2   +   θ
r 2 2 F   =   α   +   s β     β c T 2 β

3.3. Hybrid Recycling of Retailer and Remanufacturer Mode

In the mode that the retailer and the remanufacturer undertake recycling activities simultaneously, the game order between the original manufacturer, the retailer, and the remanufacturer is as follows. The original manufacturer, as a first entrant in the market, first determines the wholesale price w M 3 k and the patent licensing strategy of the products. Then, the remanufacturer determines the wholesale price w T 3 k , the recycling price r 2 3 k paid to consumers, and the recycling price R 3 k paid to the retailer. Finally, the retailer determines the retail prices P M 3 k and P T 3 k of new products and remanufactured products and the recycling price r 1 3 k paid to consumers.
When the original manufacturer adopts the unit fee patent licensing strategy, the profit objective functions of the original manufacturer, the remanufacturer, and the retailer are:
π M 3 U   =   w M 3 U     c M   ×   D 1   +   f 3   ×   D 6   +   D 5
π T 3 U   =   w T 3 U   ×   D 2     c T   +   f 3   ×   ( D 5   +   D 6 )     R 3 U   ×   D 6     r 2 3 U   ×   D 5   +   s D 6   +   D 5     D 2
π R 3 U   =   P M 3 U     w M 3 U   ×   D 1   +   P T 3 U     w T 3 U D 2   +   R 3 U     r 1 3 U   ×   D 6
According to the order of the game, using the reverse solution method, we have:
P M 3 U   =   6 a     2 c M     s   +   4 a θ   +   c M θ 4   2   +   θ
P T 3 U   =   4 s     10 a θ     2 c M θ   +   s θ   +   6 a θ 2   +   c M θ 2 8   2   +   θ
w M 3 U   =   2 a     2 c M     s   +   2 a θ   +   c M θ 2   2   +   θ
w T 3 U   =   4 s     2 a θ     2 c M θ   +   s θ   +   2 a θ 2   +   c M θ 2 4   2   +   θ
r 1 3 U   =   7 α β   +   s β 2   +   α λ     s λ 2     β 2 c T   +   λ 2 c T 8 β   β     λ
r 2 3 U   =   3 α   +   s β     s λ     β c T   +   λ c T 4   β     λ
R 3 U   =   3 α   +   s β     s λ     β c T   +   λ c T 4   β     λ
f 3   =   α   +   s β     s λ     β c T   +   λ c T 2   β     λ
When the original manufacturer adopts the fixed fee patent licensing strategy, the profit objective functions of the original manufacturer, the remanufacturer, and the retailer are:
π M 3 F   =   w M 3 F     c M   ×   D 1   +   K
π T 3 F   =   w T 3 F   ×   D 2     c T   ×   ( D 5   +   D 6 )     R 3 F   ×   D 6     r 2 3 F   ×   D 5   +   s   ×   D 6   +   D 5     D 2     K
π R 3 F   =   P M 3 F     w M 3 F   ×   D 1   +   P T 3 F     w T 3 F   D 2   +   R 3 F     r 1 3 F   ×   D 6
According to the order of the game, using the reverse solution method, we have:
P M 3 F   =   6 a     2 c M     s   +   4 a θ   +   c M θ 4   2   +   θ
P T 3 F   =   4 s     10 a θ     2 c M θ   +   s θ   +   6 a θ 2   +   c M θ 2 8   2   +   θ
w M 3 F   =   2 a     2 c M     s   +   2 a θ   +   c M θ 2   2   +   θ
w T 3 F   =   4 s     2 a θ     2 c M θ   +   s θ   +   2 a θ 2   +   c M θ 2 4   2   +   θ
R 3 F   =   α   +   s β     s λ     β c T   +   λ c T 2 β     λ
r 1 3 F   =   3 α β   +   s β 2   +   α λ     s λ 2     β 2 c T   +   λ 2 c T 4 β   β     λ
r 2 3 F   =   α   +   s β     s λ     β c T   +   λ c T 2   β     λ

3.4. Comparative Analysis of Supply Chain Operation Strategies under Different Recycling Modes

In this section, we compare equilibrium results of different models.
Proposition 1.
Under the same waste product recycling mode, compared with the unit fee patent licensing strategy, when the original manufacturer implements the fixed fee patent licensing strategy for the remanufacturer, the recycling price and the secondary recycling price of waste products are higher, i.e., r 1 i F   >   r 1 i U r 2 i F   >   r 2 i U and R i F   >   R i U .
Proposition 1 indicates that when the original manufacturer adopts the fixed fee patent licensing strategy for the remanufacturer, the recycling price and the secondary recycling price of waste products are higher than that of the unit fee patent licensing strategy. When the original manufacturer adopts the fixed fee patent licensing strategy, the remanufacturer can obtain more revenue by producing more remanufactured products to make up for the cost of paying the patent licensing fee. As a result, the remanufacturer needs more waste products for remanufacturing. The recycling quantity of waste products is positively correlated with the recycling price; that is, when the recycler (the retailer or the remanufacturer) increases the recycling price for waste products from consumers, it is obvious that consumers’ enthusiasm for recycling waste products will increase, and the recycling quantity of waste products will increase accordingly. Therefore, when the remanufacturer recycles waste products directly from consumers, they will increase the recycling price of waste products to attract consumers to provide waste products. When the remanufacturer recycles waste products from the retailer, they will increase the secondary recycling price of waste products to encourage the retailer to actively recycle waste products from consumers. For the retailer, when the demand of the remanufacturer for waste products increases and the secondary recycling price increases, they will actively attract more consumers to provide waste products by increasing the recycling price of waste products, so as to obtain more benefits in the recycling channels of waste products. Hence, when the original manufacturer implements the fixed fee patent licensing strategy for the remanufacturer, the recycling price and the secondary recycling price of waste products will increase.
In practice, when the patent licensor enterprises choose the fixed fee patent licensing strategy, the patent licensee enterprises will have more space to choose the recycling and remanufacturing of waste products. When there is a huge market demand for remanufactured products in the market, the patent licensee enterprises can recycle more waste products for remanufacturing by increasing the recycling price, so as to improve their own economic benefits in the process of operation and take into account environmental benefits.
Proposition 2.
Under the same patent licensing strategy, when just the remanufacturer recycles waste products in the market, the recycling price of waste products is higher than that under the other two modes (retailer recycling and hybrid recycling of retailer and remanufacturer), i.e., r 2 2 k   >   r 1 1 k , r 2 2 k   >   r 1 3 k and r 2 2 k   >   r 2 3 k .
From Proposition 2, under the same patent licensing strategy, when the remanufacturer recycles waste products alone, consumers can obtain more unit income from the recycling process. First, when the retailer recycles separately, the pursuit of the retailer for recycling income is always greater than zero. The recycling price of waste products needs to be less than the secondary recycling price of waste products from the remanufacturer, i.e., r 1 1 k   =   7 α   +   s β     β c T 8 β   <   3 α   +   s β     β c T 4 β   =   R 1 k . At this time, the low recycling price of waste products is not conducive to the recycling process of waste products ( d D d r   >   0 ) and cannot fully stimulate consumers’ enthusiasm for recycling waste products.
Secondly, when the retailer and the remanufacturer recycle waste products simultaneously, the remanufacturer can benefit from the wholesale sales of remanufactured products and the scrapping treatment of remanufactured products, so they will not set too high a recycling price in the recycling process of waste products and compete fiercely with the retailer for the recycling price. Therefore, when the retailer and the remanufacturer recycle waste products simultaneously, the recycling price of the remanufacturer is still less than that of waste products when they recycle alone ( r 2 3 k     r 2 2 k   =   3 α λ 4 β β λ   <   0 ). It can be seen from the above analysis that the retailer often becomes the main undertaker of waste product recycling because they have perfect sales channels and logistics systems. They recycle waste products from the consumer market at a lower recycling price and then resell them to the remanufacturer for remanufacturing. The recycling price incentive of the retailer is not obvious, which cannot maximize the willingness of consumers to recycle waste products, so the recycling efficiency of a green CLSC will be weakened. When the remanufacturer recycles waste products alone, consumers can enjoy a higher recycling price, and have more power to join the recycling process. In fact, enterprises should actively improve the recycling link of waste products, avoid the secondary marginal cost in the recycling process, and encourage more consumers to join the green remanufacturing supply chain by transferring more price concessions to consumers.
Proposition 3.
When the remanufacturer recycles waste products from the retailer, the secondary recycling price in the retailer recycling mode is higher than that in the hybrid recycling of retailer and remanufacturer mode, i.e., R 1 k   >   R 3 k .
Proposition 3 reveals that when the retailer recycles waste products alone, the remanufacturer would charge a higher secondary recycling price to recycle waste products from the retailer to meet the demand for waste products. A higher recycling price can encourage the retailer to actively participate in the recycling process. When the retailer and the remanufacturer recycle waste products simultaneously, the remanufacturer does not have to rely entirely on the retailer’s recycling channels. The remanufacturer can recycle waste products from consumers through their own recycling channels, so they do not have to pay too high a secondary recycling price to encourage the retailer to recycle waste products. Thus, when the retailer and the remanufacturer recycle waste products simultaneously, the secondary recycling price set by the remanufacturer is lower than that in the retailer recycling mode. In the real waste product recycling market, enterprises recycle waste products in diverse ways, such as Xerox chooses to recycle by themselves, Kodak recycles through retailers, and LG Electronics recycles through third-party recyclers, etc. [20]. The choice of recycling channels by enterprises depends on the consideration of profits. When enterprises have their own recycling channels, they have more bargaining power in recycling pricing.
Proposition 4.
When the retailer and the remanufacturer recycle waste products simultaneously, the original manufacturer will increase the unit patent licensing fee for authorizing the remanufacturer to produce remanufactured products, i.e., f 3   >   f 1   =   f 2 .
Proposition 4 illustrates that when the retailer and the remanufacturer recycle waste products simultaneously in the market, the original manufacturer will increase the unit patent licensing fee for remanufactured products produced by the remanufacturer. When only a single enterprise is responsible for the recycling of waste products in the consumer market, whether the retailer or the remanufacturer is responsible for the recycling, the unit patent licensing fee formulated by the original manufacturer is the same, i.e., f 1   =   f 2 . When the retailer and the remanufacturer recycle waste products simultaneously, the remanufacturer has a certain strength in waste product recycling channels and has certain advantages in recycling price negotiation. It is not necessary to provide a higher secondary recycling price to encourage the retailer to recycle waste products. At the same time, the government gives the remanufacturer a certain subsidy for the treatment of remanufactured products. Therefore, under the mode for hybrid recycling of retailer and remanufacturer, the original manufacturer will increase their own revenue by increasing the unit patent licensing fee of remanufactured products and will not weaken the remanufacturer’s enthusiasm to carry out the remanufacturing business of waste products. When there is only one enterprise in the market responsible for the recycling of waste products, the original manufacturer will not care whether the enterprise is the remanufacturer or the retailer but will only rely on the product patent right to formulate the patent licensing fee. Actually, when the market demand for remanufactured products increases and more enterprises participate in the recycling process of waste products, the patent licensor enterprises can rely on their right to own patented products and appropriately increase the patent licensing fee to obtain more patent licensing income.
Proposition 5.
When the government subsidy for the remanufacturer dealing with remanufactured products changes, the wholesale price and the retail price of new products and remanufactured products satisfy the following relationships: when 0   <   s   <   2 a   1     θ   +   c M 2     θ ,   P M i k   >   P T i k and w M i k   >   w T i k ; when 2 a   1     θ   +   c M 2     θ   <   s   <   6 a   1     θ   +   c M   2     θ ,   P M i k   >   P T i k and w M i k   <   w T i k ; when 6 a   1     θ   +   c M   2     θ   <   s ,   P M i k   <   P T i k and w M i k   <   w T i k .
Proposition 5 illustrates the relationship of the wholesale price and the retail price under each recycling mode. First, when 0   <   s   <   2 a   1     θ   +   c M   2     θ , the wholesale price and the retail price of new products are higher than those of remanufactured products. It is because the subsidy given by the government is low, and the remanufacturer is not motivated to optimize the remanufacturing process and innovate remanufacturing technology. Remanufactured products cannot be comparable to new products in terms of performance and quality and are inferior to new products in terms of service life and later maintenance. Accordingly, the remanufacturer sells remanufactured products to the retailer at a lower wholesale price, so that the retailer sells remanufactured products to consumers at a lower retail price. Thus, ensuring that remanufactured products have a price competitive advantage over new products in the consumer market. Therefore, remanufactured products can only be sold in the market at a lower retail price.
When 2 a   1     θ   +   c M   2     θ   <   s   <   6 a   1     θ   +   c M   2     θ , the wholesale price of new products is less than that of remanufactured products, but the retail price of new products is higher than that of remanufactured products. When the government gives a higher subsidy to the remanufacturer, the remanufacturer has the ability and motivation to improve the innovative value of remanufactured products and make them more environmentally friendly. Therefore, the wholesale price of remanufactured products may be higher than that of new products in the wholesale market. For example, Caterpillar, a machinery manufacturing enterprise, takes the old machinery and equipment as the blank, adopts special processes and technologies, and makes new creations based on the original manufacturing. Thus, ensuring that remanufactured products are not inferior to new products in terms of performance and quality [48]. However, in the consumer market, due to the limited acceptance and the asymmetry information of remanufactured products, remanufactured products have no advantage in price compared with new products. Consequently, the retailer would still sell new products at a higher price and remanufactured products at a lower price.
When 6 a   1     θ   +   c M   2     θ   <   s , the wholesale price and the retail price of new products are lower than those of remanufactured products. When the government gives the remanufacturer a sufficiently high subsidy, the remanufacturer will not worry about the sales of remanufactured products and will invest more funds to actively optimize and innovate the remanufacturing process. With the improvement of consumers’ acceptance of remanufactured products, the wholesale price and the retail price of remanufactured products can be higher than that of new products, that is, P M i k   <   P T i k and w M i k   <   w T i k are established concurrently. This conclusion is consistent with the situation that Zhu et al. [49] proposed, that enhancing the social recognition and acceptance of remanufactured products by improving the technological innovation level of remanufactured products will result in the wholesale price and the retail price of remanufactured products being higher than or equal to new products.
In the operation process of the remanufacturing CLSC, the government’s support and assistance policies play a significant role in the development of enterprise remanufacturing businesses. The government can support enterprises to develop remanufacturing businesses through subsidies, tax cuts, and other policies to produce remanufactured products with better performance and quality, so as to further promote the green and environmental protection development of the manufacturing industry.
Proposition 6.
When the original manufacturer adopts the fixed patent licensing fee for the remanufacturer, the profit of the original manufacturer is not affected by the recycling mode of waste products.
Proposition 6 shows that when the original manufacturer adopts the fixed fee patent licensing strategy, the profit of the original manufacturer is the same under different waste product recycling modes. As can be seen from π M i F   =   w M i F     c M   ×   D 1   +   K , the profit of the original manufacturer is only related to the wholesale profit of new products and the fixed patent licensing fee. Because the income in the wholesale market of new products is not affected by the recycling mode of waste products, it is only related to the wholesale price and demand of new products. Consequently, when the original manufacturer adopts the fixed fee patent licensing strategy for the remanufacturer, the profits of the original manufacturer under different waste product recycling modes are the same. In practical terms, the patent licensor enterprises can change their profits by adopting different patent licensing strategies. In particular, the fixed fee patent licensing strategy can make the profits of the patent licensor enterprises be not affected by the recycling modes of waste products.

4. Numerical Example Simulation

This section discusses the enterprise profit and the total profit of the supply chain in the CLSC through a numerical example. It is assumed that the relevant parameters in the market are as follows: a   =   50 , c M   =   20 , c T   =   5 , α   =   30 , β   =   1 , λ   =   0.5 , s   =   10 , and K   =   100 . After the assignment, we can obtain the profit comparison of the original manufacturer, the remanufacturer, the retailer, and the CLSC under different waste product recycling modes and different patent licensing strategies.
When the original manufacturer adopts the unit fee patent licensing strategy or the fixed fee patent licensing strategy, the profit comparison of the original manufacturer in three different waste product recycling modes is as follows.
As can be seen from Figure 2 and Figure 3 above, when the original manufacturer adopts the unit fee patent licensing strategy, the profit of the original manufacturer in three different waste product recycling modes is ranked as follows: π M 1 U   <   π M 2 U   <   π M 3 U . The results show that when the retailer and the remanufacturer recycle waste products simultaneously, the profit of the original manufacturer is greater than that of the other two modes. In this paper, it is considered that the production capacity of the remanufacturer is enough to use all the recycled waste products for remanufacturing. Hence, the number of waste products recovered increases, the total amount of the patent licensing fee increases accordingly, and the profit of the original manufacturer increases accordingly. When the original manufacturer adopts the fixed fee patent licensing strategy, in three different waste product recycling modes, the profit of the original manufacturer is π M 1 F   =   π M 2 F   =   π M 3 F , which has been proved by Proposition 6.
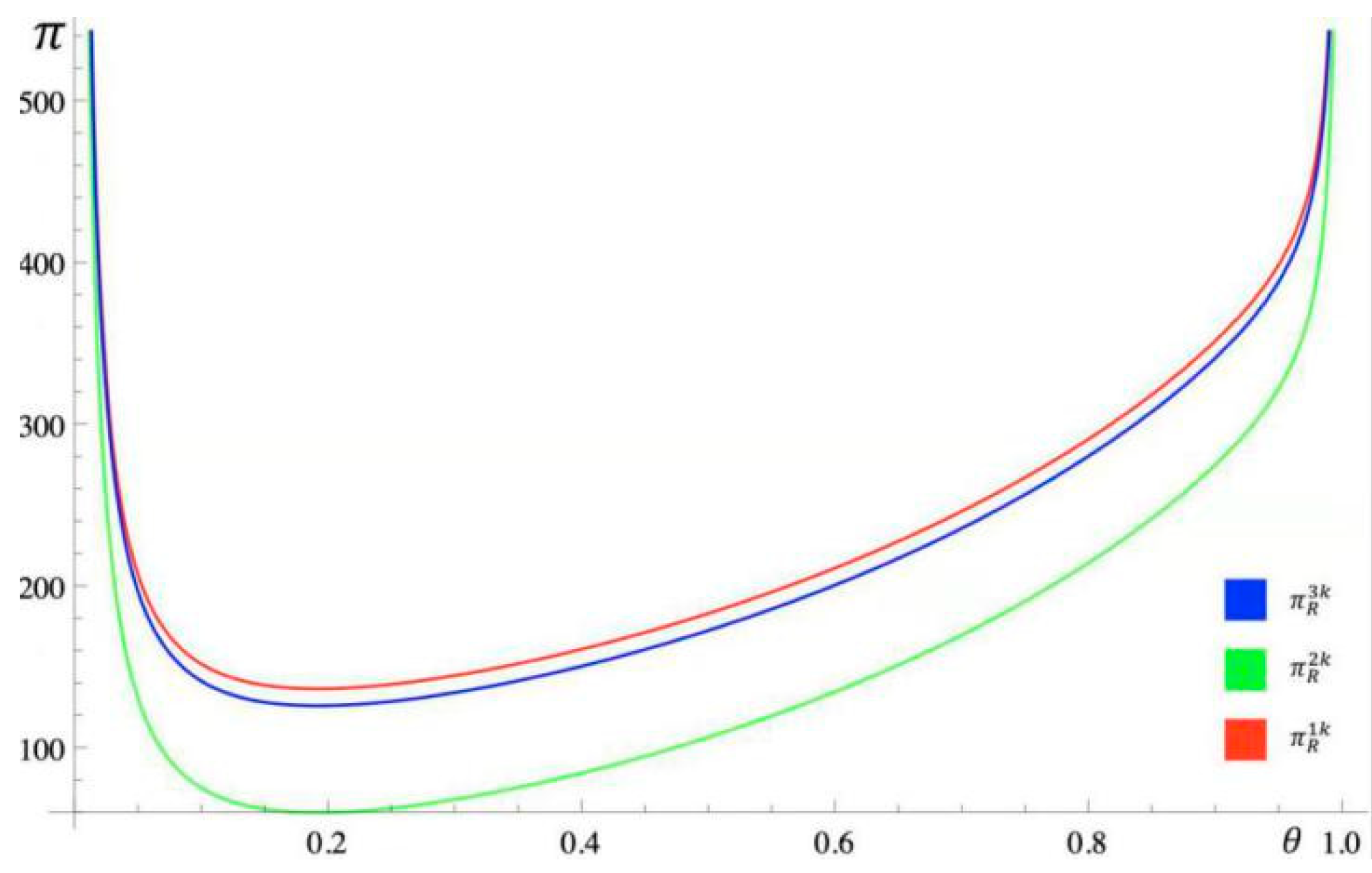
When the original manufacturer adopts the unit fee patent licensing strategy or the fixed fee patent licensing strategy, the profit comparison of the remanufacturer in three different waste product recycling modes is as follows.
As can be seen from Figure 4 and Figure 5 above, no matter what kind of patent licensing strategy the original manufacturer adopts, the profit of the remanufacturer under three different waste product recycling modes is π T 1 k   <   π T 2 k   <   π T 3 k . When the retailer is responsible for recycling waste products, the remanufacturer is only responsible for remanufacturing waste products, and the income only comes from the wholesale market of remanufactured products. When the remanufacturer is responsible for recycling waste products, the remanufacturer can increase the production quantity of their remanufactured products by increasing the recycling quantity of waste products, so as to obtain more wholesale income of remanufactured products. When the retailer and the remanufacturer are responsible for recycling waste products simultaneously, the increasing of the number for waste products recycled by the two enterprises brings more benefits to the remanufacturer in the wholesale market of remanufactured products, and the profit of the remanufacturer has a relationship of π T 1 k   <   π T 2 k   <   π T 3 k . Therefore, for the remanufacturer, actively participating in the recycling process of waste products is beneficial to improve their enterprise profits.
When the original manufacturer adopts the unit fee patent licensing strategy or the fixed fee patent licensing strategy, the profit comparison of the retailer in three different waste product recycling modes is as follows.
As can be seen from Figure 6 and Figure 7 above, regardless of the patent licensing strategy adopted by the original manufacturer, the profit of the retailer under three different waste product recycling modes is π R 2 k   <   π R 3 k   <   π R 1 k . When the remanufacturer recycles waste products alone, the income of the retailer only depends on the product sales in the consumer market, so the profit of the retailer is less than that under the other two waste product recycling modes. When the retailer recycles waste products alone, they can obtain more profits from the recycling process of waste products while making profits from the sales of new products and remanufactured products in the consumer market. When the retailer and the remanufacturer recycle waste products simultaneously, the remanufacturer will share part of the profits in the recycling process.
Thus, the profit of the retailer under the mode for the retailer to recycle waste products separately is greater than that under the mode for hybrid recycling of the retailer and the remanufacturer.
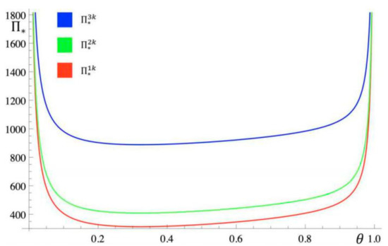
When the original manufacturer adopts the unit fee patent licensing strategy or the fixed fee patent licensing strategy, the total profit of the supply chain in three different waste product recycling modes is compared as follows.
As can be seen from Figure 8 and Figure 9 above, when the original manufacturer selects the unit fee patent licensing strategy or the fixed fee patent licensing strategy, the total profit of the supply chain under three different waste product recycling modes is Π * 1 k   <   Π * 2 k   <   Π * 3 k . The results show that when the remanufacturer and the retailer recycle waste products simultaneously, no matter what patent licensing strategy the original manufacturer adopts, the total profit of the supply chain is greater than the other two waste product recycling modes. In the actual operation process, we should actively mobilize the enthusiasm of waste product recycling of supply chain enterprises, make more enterprises participate in the process of waste product recycling, and improve the awareness of green environmental protection, so as to maximize the total benefit of the green CLSC.

5. Conclusions

The recycling modes of waste products and the patent licensing strategies of remanufactured products influence the income and decision-making of enterprises in the CLSC. Although the effect of recycling modes and patent licensing strategies has been proved, there are few studies considering the role of both in CLSC enterprises, especially the role of government subsidies in the CLSC.
In this work, the influence of different recycling modes and patent licensing strategies on the CLSC was studied. First, the CLSC models under three recycling modes were established. Then, the influence of the patent licensing strategy on decisions of the remanufacturer for the wholesale price and the recycling price was investigated. Furthermore, we compared and analyzed the profit of channel members and the supply chain under three recycling modes. To sum up, there are the following conclusions: (1) When the original manufacturer adopts the fixed fee patent licensing strategy, the recycling price of waste products is higher; when the original manufacturer does not adopt the unit fee patent licensing strategy, the remanufacturer has greater enthusiasm to produce more remanufactured products to pursue more income, so they need to recycle more waste products in the consumer market. By increasing the recycling price of waste products, more consumers can be attracted to join the recycling process of waste products. (2) When the original manufacturer adopts the unit fee patent licensing strategy, the original manufacturer will increase the unit patent licensing fee when the retailer and the remanufacturer participate in the recycling of waste products simultaneously. When the original manufacturer is aware of the fierce competition in the recycling market of waste products, they may make more profits by appropriately increasing the unit patent licensing fee for remanufactured products. (3) When the remanufacturer recycles waste products alone, consumers can obtain greater unit income in the waste product recycling market. The remanufacturer directly recycles waste products from consumers for remanufacturing without secondary recycling through the retailer. Therefore, the remanufacturer can transfer the saved secondary recycling cost to consumers, improve the recycling price of waste products, transfer more benefits to consumers, and better mobilize consumers’ enthusiasm to participate in the recycling of waste products. (4) The increase of government subsidies will make the wholesale price and retail price of remanufactured products higher than that of new products. This finding is interesting and different from previous studies [1]. When the government subsidy is very perfect, it can promote remanufacturing investment and innovation in remanufacturing businesses, so as to create more valuable and environmentally friendly remanufactured products. These conclusions provide research clues for studying the value of recycling mode and patent licensing strategy in the CLSC. We also put forward suggestions for enterprises to participate in waste product recycling and patent licensing.
Further research in this paper can be carried out from the following aspects. The dynamic game process of multi-period recycling and remanufacturing is not constructed, and the stochastic problem of remanufactured product output caused by the recycling of waste products is not considered in this paper. In further research, we will consider the recycling and remanufacturing process in the dynamic multi-period supply chain, as well as the imbalance between the demand of recycled waste products and remanufactured products, and further explore the effect of recycling channels and remanufacturing processes on the CLSC.

Author Contributions

Conceptualization, B.X. and P.J.; Data curation, B.X., P.J. and W.L.; Formal analysis, T.G. and D.Z.; Funding acquisition, T.G. and D.Z.; Investigation, B.X. and P.J.; Methodology, B.X. and D.Z.; Project administration, T.G. and W.L.; Resources, B.X. and P.J.; Software, T.G., D.Z. and W.L.; Supervision, B.X.; Validation, D.Z. and W.L.; Visualization, B.X., D.Z. and P.J.; Writing—Original draft, B.X. and P.J.; Writing—Review and editing, B.X. and P.J. All authors have read and agreed to the published version of the manuscript.

Funding

This work was supported by the National Science Foundation of China (grant number 72031009); the National Social Foundation of China (grant number 20BJL135); Henan Province Soft Science Research (grant number 222400410440); and Henan University of Science and Technology Student Research Training Program (grant number 2021264).

Institutional Review Board Statement

Not applicable.

Informed Consent Statement

Not applicable.

Data Availability Statement

The data used to support the findings of this study are included within the article.

Conflicts of Interest

The authors declare no conflict of interest.

Appendix A

Proof of Proposition 2.
According to the model, r 2 2 F     r 1 1 F   =   α   +   s β     β c T 2 β     3 α   +   s β     β c T 4 β   =   α   +   s β     β c T 4 β , and because of s   >   c T , we can get r 2 2 F     r 1 3 F   =   α   +   s β     β c T 4 β   >   0 . Similarly, we can get r 2 2 F     r 2 3 F   =   α λ 2 β β     λ   >   0 and r 2 2 F     r 1 3 F   =   s   β     λ 2   +   α β   +   λ     β     λ 2 c T 4 β β     λ   >   0 .
In the same way, we have r 2 2 U     r 1 1 U   =   α   +   s β     β c T 8 β   >   0 , r 2 2 U     r 1 3 U   =   s   β     λ 2   +   α β   +   5 λ     β     λ 2 c T 8 β β     λ   >   0 and r 2 2 U     r 2 3 U   =   3 α λ 4 β β     λ   >   0 . □
Proof of Proposition 3.
R 1 k     R 3 k   =   3 α λ 4 β β     λ , because of β     λ   >   0 , we get R 1 k   >   R 3 k . □
Proof of Proposition 4.
According to the calculation results, comparing the unit patent licensing fee under different recycling modes can be obtained f 3     f 1   =   f 3     f 2   =   α   +   s β     s λ     β c T +   λ   c T 2 β     λ     α   +   s β     β c T 2 β   =   α λ 2 β β     λ   >   0 . □
Proof of Proposition 5.
Because of P M i k   =   6 a     2 c M     s   +   4 a θ   +   c M θ 4   2   +   θ and P T i k   =   4 s     10 a θ     2 c M θ   +   s θ   +   6 a θ 2   +   c M θ 2 8   2   +   θ , we get P M i k     P T i k   =   1 8 6 a   +   2 c M     s     6 a θ     c M θ ; when s   <   6 a   1     θ   +   c M 2     θ , the retail price of new products is higher than that of remanufactured products. Because of w M i k   =   2 a     2 c M     s   +   2 a θ   +   c M θ 2   2   +   θ and w T i k   =   4 S     2 a θ     2 c M θ   +   S θ   +   2 a θ 2   +   c M θ 2 4 2   +   θ , we can get when s   <   2 a   1     θ   +   c M   2     θ , the wholesale price of new products is higher than that of remanufactured products. Because of 6 a 1     θ   +   c M   2     θ   >   2 a   1     θ   +   c M   2     θ , the following conclusions can be drawn: ① when 0   <   s   <   2 a   1     θ   +   c M   2     θ , P M i k   >   P T i k and w M i k   >   w T i k are established at the same time; ② when 2 a   1     θ   +   c M   2     θ   <   s   <   6 a   1     θ   +   c M   2     θ , P M i k   >   P T i k and w M i k   <   w T i k are established at the same time; ③ when 6 a   1     θ   +   c M   2     θ   <   s , P M i k   <   P T i k and w M i k   <   w T i k are established at the same time. □
Proof of Proposition 6.
By calculating the equilibrium profit of the original manufacturer under different waste product recycling modes, the following results are obtained:
π M 1 F   =   π M 2 F   =   π M 3 F   =   4 a 2     8 a c M   +   4 c M 2   +   32 K   +   4 a s     4 c M s   +   s 2     8 a 2 θ   +   12 a c M θ     4 c M 2 θ     48 K θ     4 a s θ   +   2 c M s θ   +   4 a 2 θ 2     4 a c M θ 2   +   c M 2 θ 2   +   16 K θ 2 16 θ     2 θ   +   1 .

References

  1. Long, X.F.; Ge, J.L.; Shu, T.; Liu, Y. Analysis for recycling and remanufacturing strategies in a supply chain considering con-sumers’ heterogeneous WTP. Resour. Conserv. Recycl. 2019, 148, 80–90. [Google Scholar] [CrossRef]
  2. Huang, Y.; Liang, Y. Exploring the strategies of online and offline recycling channels in closed-loop supply chain under government subsidy. Environ. Sci. Pollut. Res. 2021, 29, 21591–21602. [Google Scholar] [CrossRef] [PubMed]
  3. Wu, Z.; Qian, X.; Huang, M.; Ching, W.-K.; Kuang, H.; Wang, X. Channel leadership and recycling channel in closed-loop supply chain: The case of recycling price by the recycling party. J. Ind. Manag. Optim. 2021, 17, 3247. [Google Scholar] [CrossRef]
  4. Guide, V.D.R.; Van Wassenhove, L.N. OR FORUM—The Evolution of Closed-Loop Supply Chain Research. Oper. Res. 2009, 57, 10–18. [Google Scholar] [CrossRef]
  5. Atasu, A.; Guide, V.D.R.; Van Wassenhove, L.N. Product Reuse Economics in Closed-Loop Supply Chain Research. Prod. Oper. Manag. 2008, 17, 483–496. [Google Scholar] [CrossRef]
  6. Huang, M.; Song, M.; Lee, L.H.; Ching, W.K. Analysis for strategy of closed-loop supply chain with dual recycling channel. Int. J. Prod. Econ. 2013, 144, 510–520. [Google Scholar] [CrossRef]
  7. Cheng, F.X.; Yuan, M.; Sun, L.C. Equilibrium decision research of closed-loop supply chain network with compound carbon emission reduction policy. J. Syst. Eng. 2019, 34, 483–496. [Google Scholar]
  8. Orsdemir, A.; Kemahlıoğlu-Ziya, E.; Parlaktürk, A.K. Competitive Quality Choice and Remanufacturing. Prod. Oper. Manag. 2014, 23, 48–64. [Google Scholar] [CrossRef]
  9. Qiang, Q.; Ke, K.; Anderson, T.; Dong, J. The closed-loop supply chain network with competition, distribution channel investment, and uncertainties. Omega 2013, 41, 186–194. [Google Scholar] [CrossRef]
  10. Ovchinnikov, A.; Blass, V.; Raz, G. Economic and Environmental Assessment of Remanufacturing Strategies for Product + Service Firms. Prod. Oper. Manag. 2014, 23, 744–761. [Google Scholar] [CrossRef]
  11. Dey, S.K.; Giri, B.C. Corporate social responsibility in a closed-loop supply chain with dual-channel waste recycling. Int. J. Syst. Sci. Oper. Logist. 2021, 1–14. [Google Scholar] [CrossRef]
  12. Savaskan, R.C.; Bhattacharya, S.; Van Wassenhove, L.N. Closed-Loop Supply Chain Models with Product Remanufacturing. Manag. Sci. 2004, 50, 239–252. [Google Scholar] [CrossRef] [Green Version]
  13. Esenduran, G.; Lin, Y.-T.; Xiao, W.; Jin, M. Choice of Electronic Waste Recycling Standard Under Recovery Channel Competition. Manuf. Serv. Oper. Manag. 2020, 22, 495–512. [Google Scholar] [CrossRef]
  14. Ranjbar, Y.; Sahebi, H.; Ashayeri, J.; Teymouri, A. A competitive dual recycling channel in a three-level closed loop supply chain under different power structures: Pricing and collecting decisions. J. Clean. Prod. 2020, 272, 122623. [Google Scholar] [CrossRef]
  15. Guide, V.D.R., Jr.; VAN Wassenhove, L.N. Managing product returns for remanufacturing. Prod. Oper. Manag. 2001, 10, 142–155. [Google Scholar] [CrossRef]
  16. Savaskan, R.C.; Van Wassenhove, L.N. Reverse Channel Design: The Case of Competing Retailers. Manag. Sci. 2006, 52, 1–14. [Google Scholar] [CrossRef] [Green Version]
  17. Zheng, B.R.; Yang, C.; Yang, J.; Huang, H.J. Product remanufacturing, channel competition and manufacturer encroachment. J. Manag. Sci. 2018, 21, 98–111. [Google Scholar]
  18. Zheng, B.R.; Yang, C.; Yang, J. Impact of Collection Type on Manufacturer’s Channel Encroachment Strategy. J. Manag. Sci. 2019, 32, 92–105. [Google Scholar]
  19. Li, Z.; Zhao, J.; Meng, Q. Dual-channel recycling e-waste pricing decision under the impact of recyclers’ loss aversion and consumers’ bargaining power. Environ. Dev. Sustain. 2021, 1–24. [Google Scholar] [CrossRef]
  20. Chen, J.H.; Mei, J.X.; Cao, J.J. Decision making of hybrid recycling channels selection for closed-loop supply chain with dominant retailer. Comput. Integr. Manuf. Syst. 2021, 27, 954–964. [Google Scholar]
  21. Xia, X.Q.; Zhu, Q.H. Study on the Impact of Different Government Subsidy Strategies on Single/Double Recycling Channels. Chin. J. Manag. Sci. 2021, 29, 88–98. [Google Scholar]
  22. Dhanorkar, S. Environmental Benefits of Internet-Enabled C2C Closed-Loop Supply Chains: A Quasi-Experimental Study of Craigslist. Manag. Sci. 2019, 65, 660–680. [Google Scholar] [CrossRef]
  23. Li, C.; Feng, L.; Luo, S. Strategic introduction of an online recycling channel in the reverse supply chain with a random demand. J. Clean. Prod. 2019, 236, 117683. [Google Scholar] [CrossRef]
  24. Zhang, L. Definition of repair and recycling in patent infringement determination-Taking Canon vs. Recycle Assist case as the background. Electron. Intellect. Prop. 2008, 58–62. Available online: https://www.semanticscholar.org/paper/%E4%B8%93%E5%88%A9%E4%BE%B5%E6%9D%83%E5%88%A4%E5%AE%9A%E4%B8%AD%E4%BF%AE%E7%90%86%E4%B8%8E%E5%86%8D%E9%80%A0%E7%9A%84%E7%95%8C%E5%AE%9A%E2%80%94%E2%80%94%E4%BB%A5Canon-Vs%EF%BC%8ERecycle-%E5%BC%A0%E8%95%BE/968ac2d6e9e418b19ecdd37c14caeed0fcb1440f (accessed on 15 March 2022).
  25. Hu, K.Z. Repair and reconstruction of patented products and identification of Patent Infringement-starting from the case of recycled ink cartridge. Law 2006, 12, 145–151. [Google Scholar]
  26. Hong, X.; Govindan, K.; Xu, L.; Du, P. Quantity and collection decisions in a closed-loop supply chain with technology licensing. Eur. J. Oper. Res. 2017, 256, 820–829. [Google Scholar] [CrossRef]
  27. Arora, A.; Fosfuri, A.; Rønde, T. Managing Licensing in a Market for Technology. Manag. Sci. 2013, 59, 1092–1106. [Google Scholar] [CrossRef] [Green Version]
  28. Oraiopoulos, N.; Ferguson, M.; Toktay, L.B. Relicensing as a Secondary Market Strategy. Manag. Sci. 2012, 58, 1022–1037. [Google Scholar] [CrossRef] [Green Version]
  29. Xiong, Z.K.; Shen, C.R.; Peng, Z.Q. Closed-loop supply chain coordination research with remanufacturing under patent protection. J. Manag. Sci. 2011, 14, 76–85. [Google Scholar]
  30. Shen, C.R.; Xiong, Z.K.; Peng, Z.Q. A Remanufacturing Strategy for the Closed-loop Supply Chain under Patent Protection. J. Ind. Eng. Eng. Manag. 2012, 26, 159–165. [Google Scholar]
  31. Shen, C.R.; Xiong, Z.K.; Peng, Z.Q. Decision and Coordination Research for Remanufacturing Closed-loop Supply Chain under Patent Protection and Government Subsidies. J. Ind. Eng. Eng. Manag. 2013, 27, 132–138. [Google Scholar]
  32. Yi, Y.Y.; Yang, X.D. Remanufacturing closed-loop supply chain model under different patent licensing mode. Comput. Integr. Manuf. Syst. 2014, 20, 2305–2312. [Google Scholar]
  33. Cao, X.; Wang, X.; Wen, H. Managing new and remanufactured products with remanufacturing degree under patent protection. Kybernetes 2019, 49, 707–731. [Google Scholar] [CrossRef]
  34. Cao, J.; Zhao, Y.W.; Wu, S.S.; Zhou, G.G. Remanufacturing game with patent protection and government regulation. J. Manag. Sci. 2020, 23, 1–23. [Google Scholar]
  35. Zhan, X.; Ma, J.; Li, Y.; Zhu, L. Design and coordination for multi-channel recycling of oligopoly under the carbon tax mechanism. J. Clean. Prod. 2019, 223, 413–423. [Google Scholar] [CrossRef]
  36. Zhang, Q.; Wang, L.; Zhou, D.Q. Remanufacturing under energy performance contracting-an alternative insight from sus-tainable production. Environ. Sci. Pollut. Res. 2020, 27, 40811–40825. [Google Scholar] [CrossRef]
  37. Jin, L.; Zheng, B.; Huang, S. Pricing and coordination in a reverse supply chain with online and offline recycling channels: A power perspective. J. Clean. Prod. 2021, 298, 126786. [Google Scholar] [CrossRef]
  38. Huang, Y.T.; Wang, Z.J. Closed-loop supply chain models with product take-back and hybrid remanufacturing under tech-nology licensing. J. Clean. Prod. 2017, 142, 3917–3927. [Google Scholar] [CrossRef]
  39. Tang, F.; Xu, M.Z. Decision and Coordination of Dual-channel Closed-loop Supply Chain with Remanufacturing considering Patent Protection and Channel Preference. Oper. Res. Manag. 2019, 28, 61–69. [Google Scholar]
  40. Zhang, Z.; Liu, S.; Niu, B. Coordination mechanism of dual-channel closed-loop supply chains considering product quality and return. J. Clean. Prod. 2019, 248, 119273. [Google Scholar] [CrossRef]
  41. Jian, J.; Guo, Y.; Jiang, L.; Su, J.F. Game models and profit sharing contract of green supply chain based on multi-objective optimization. Comput. Integr. Manuf. Syst. 2021, 27, 943–953. [Google Scholar]
  42. Gao, J.; Liang, Z.; Shang, J.; Xu, Z. Remanufacturing with patented technique royalty under asymmetric information and uncertain markets. Technol. Econ. Dev. Econ. 2019, 26, 599–620. [Google Scholar] [CrossRef]
  43. Li, W.; Zhang, H.J.; Yang, L. Remanufacturing Licensing Impacts on Pricing Strategies in Segmented Market. Chin. J. Manag. Sci. 2020, 28, 94–103. [Google Scholar]
  44. Huang, Z.M.; Li, S.X.; Mahajan, V. An Analysis of Manufacturer-Retailer Supply Chain Coordination in Cooperative Adver-tising. Decis. Sci. 2002, 33, 469–494. [Google Scholar] [CrossRef]
  45. Wang, S.-D.; Zhou, Y.-W.; Min, J.; Zhong, Y.-G. Coordination of cooperative advertising models in a one-manufacturer two-retailer supply chain system. Comput. Ind. Eng. 2011, 61, 1053–1071. [Google Scholar] [CrossRef]
  46. Zhou, Y.-W.; Li, J.; Zhong, Y. Cooperative advertising and ordering policies in a two-echelon supply chain with risk-averse agents. Omega 2018, 75, 97–117. [Google Scholar] [CrossRef]
  47. Atasu, A.; Sarvary, M.; Van Wassenhove, L.N. Remanufacturing as a Marketing Strategy. Manag. Sci. 2008, 54, 1731–1746. [Google Scholar] [CrossRef] [Green Version]
  48. Zhang, X.M. Research on Remanufacturing Supply Chain Decision under Government Regulation. Ph.D. Thesis, Zhejiang University of Technology, Hangzhou, China, 2020. [Google Scholar] [CrossRef]
  49. Zhu, B.X.; Ma, Z.Q.; Wu, N. Influence of original manufacturer’s patent protection on technological innovation strategy of remanufacturing supply chain. Comput. Integr. Manuf. Syst. 2018, 24, 2329–2340. [Google Scholar] [CrossRef]
Figure 1. Waste product recycling mode.
Figure 1. Waste product recycling mode.
Sustainability 14 04471 g001
Figure 2. Profit comparison of the original manufacturer under the unit fee patent licensing.
Figure 2. Profit comparison of the original manufacturer under the unit fee patent licensing.
Sustainability 14 04471 g002
Figure 3. Profit comparison of the original manufacturer under the fixed fee patent licensing.
Figure 3. Profit comparison of the original manufacturer under the fixed fee patent licensing.
Sustainability 14 04471 g003
Figure 4. Profit comparison of the remanufacturer under the unit fee patent licensing.
Figure 4. Profit comparison of the remanufacturer under the unit fee patent licensing.
Sustainability 14 04471 g004
Figure 5. Profit comparison of the remanufacturer under the fixed fee patent licensing.
Figure 5. Profit comparison of the remanufacturer under the fixed fee patent licensing.
Sustainability 14 04471 g005
Figure 6. Profit comparison of the retailer under the unit fee patent licensing.
Figure 6. Profit comparison of the retailer under the unit fee patent licensing.
Sustainability 14 04471 g006
Figure 7. Profit comparison of the retailer under the fixed fee patent licensing.
Figure 7. Profit comparison of the retailer under the fixed fee patent licensing.
Sustainability 14 04471 g007
Figure 8. Comparison of total profit of supply chain under the unit fee patent licensing.
Figure 8. Comparison of total profit of supply chain under the unit fee patent licensing.
Sustainability 14 04471 g008
Figure 9. Comparison of total profit of supply chain under the fixed fee patent licensing.
Figure 9. Comparison of total profit of supply chain under the fixed fee patent licensing.
Sustainability 14 04471 g009
Table 1. Notation and definition.
Table 1. Notation and definition.
NotationDefinition
P M i k The retail price of new products sold by the retailer under the combination of the recycling mode i and the patent licensing strategy k
P T i k The retail price of remanufactured products sold by the retailer under the combination of the recycling mode i and the patent licensing strategy k
w M i k The wholesale price of new products under the combination of the recycling mode i and the patent licensing strategy k
w T i k The wholesale price of remanufactured products under the combination of the recycling mode i and the patent licensing strategy k
r 1 i k The recycling price of waste products paid by the retailer to consumers under the combination of the recycling mode i and the patent licensing strategy k
r 2 i k The recycling price of waste products paid by the remanufacturer to consumers under the combination of the recycling mode i and the patent licensing strategy k
R i k The secondary recycling price of waste products paid by the remanufacturer to the retailer under the combination of the recycling mode i and the patent licensing strategy k
s The subsidy given by the government to the remanufacturer to deal with the unit products of unsold remanufactured products
f i The unit patent licensing fee determined by the original manufacturer under the recycling mode i
K The fixed patent licensing fee mutually agreed between the original manufacturer and the remanufacturer
c M The unit production cost of new products produced by the original manufacturer with raw materials
c T The unit production cost of remanufactured products produced by the remanufacturer with waste products of which c M   >   c T
π j i k The profit of supply chain enterprises j under the combination of the recycling mode i and the patent licensing strategy k
Π * i k The total profit of the supply chain under the combination of the recycling mode i and the patent licensing strategy k
j M , T , R M the original manufacturer, T the remanufacturer, R the retailer
i 1 , 2 , 3 1 retailer recycling mode, 2 remanufacturer recycling mode, 3 hybrid recycling of retailer and remanufacturer mode
k U , F U the unit fee patent licensing strategy, F the fixed fee patent licensing strategy
Publisher’s Note: MDPI stays neutral with regard to jurisdictional claims in published maps and institutional affiliations.

Share and Cite

MDPI and ACS Style

Xie, B.; Guo, T.; Zhao, D.; Jiang, P.; Li, W. A Closed-Loop Supply Chain Operation Problem under Different Recycling Modes and Patent Licensing Strategies. Sustainability 2022, 14, 4471. https://doi.org/10.3390/su14084471

AMA Style

Xie B, Guo T, Zhao D, Jiang P, Li W. A Closed-Loop Supply Chain Operation Problem under Different Recycling Modes and Patent Licensing Strategies. Sustainability. 2022; 14(8):4471. https://doi.org/10.3390/su14084471

Chicago/Turabian Style

Xie, Bo, Tao Guo, Dan Zhao, Peiyan Jiang, and Weizi Li. 2022. "A Closed-Loop Supply Chain Operation Problem under Different Recycling Modes and Patent Licensing Strategies" Sustainability 14, no. 8: 4471. https://doi.org/10.3390/su14084471

APA Style

Xie, B., Guo, T., Zhao, D., Jiang, P., & Li, W. (2022). A Closed-Loop Supply Chain Operation Problem under Different Recycling Modes and Patent Licensing Strategies. Sustainability, 14(8), 4471. https://doi.org/10.3390/su14084471

Note that from the first issue of 2016, this journal uses article numbers instead of page numbers. See further details here.

Article Metrics

Back to TopTop