Prediction of Uplift Capacity of Cylindrical Caissons in Anisotropic and Inhomogeneous Clays Using Multivariate Adaptive Regression Splines
Abstract
:1. Introduction
2. Problem Formulation
3. Modelling of Cylindrical Suction Caisson
4. Verification
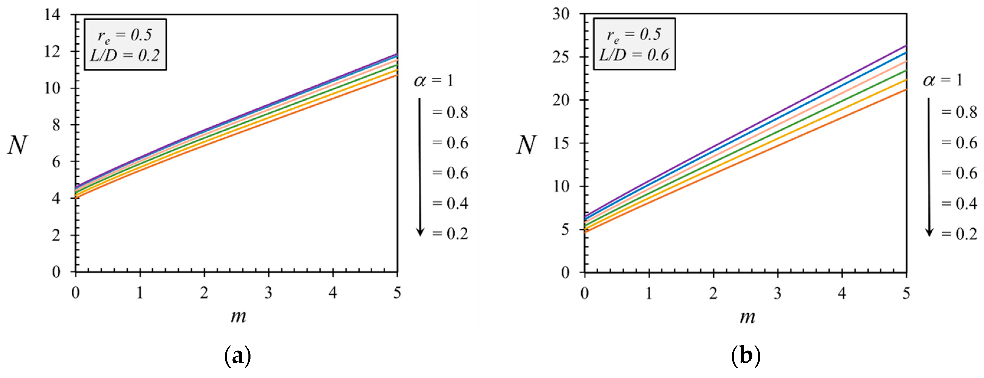
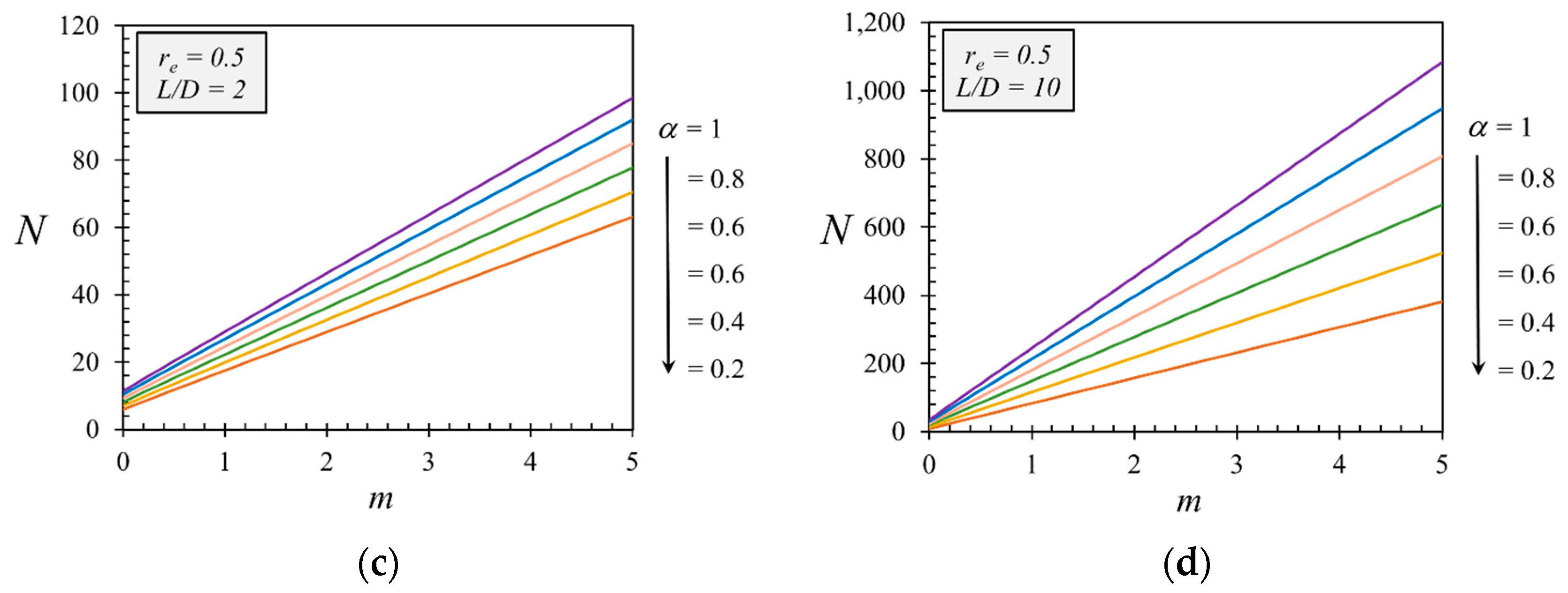
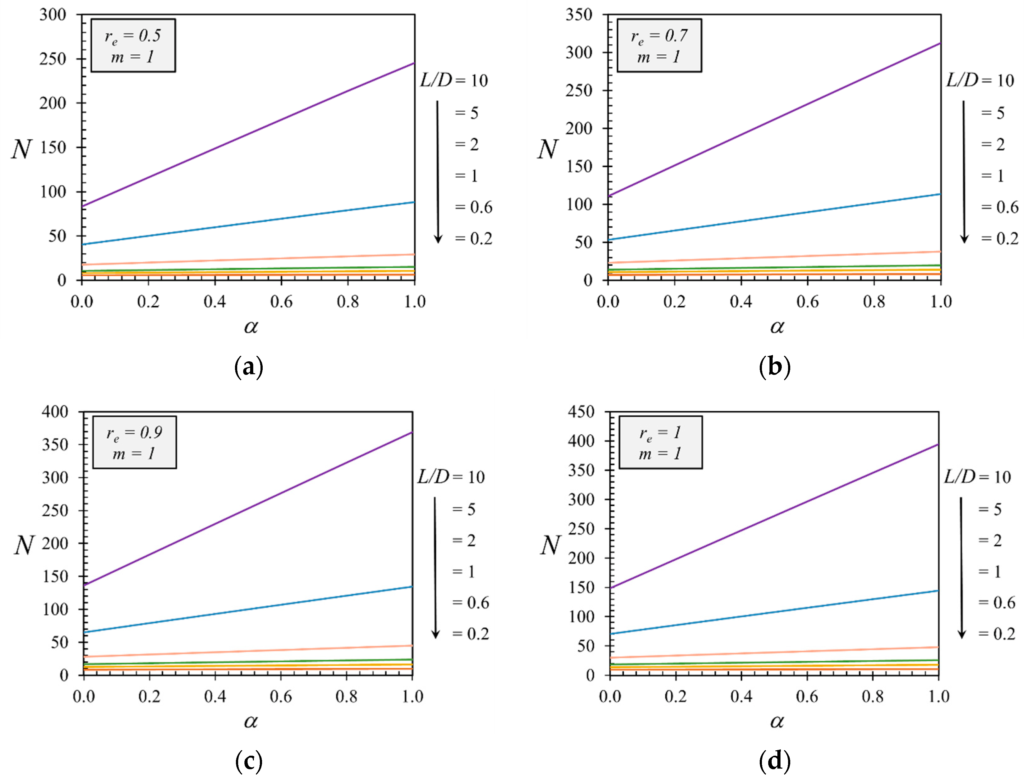
5. Numerical Results and Discussion
6. Empirical Prediction by MARS Model
7. Limitation
- All of the computed design charts are restricted with the assumption of undrained soil conditions, which cannot be used in drained soil conditions;
- The proposed equation for the uplift capacity factor of a suction caisson in anisotropic and inhomogeneous clay is suitable for the ranges of dimensionless input parameters, as presented earlier in Table 1. The results may not be accurate if the input values are out of these ranges;
- The present solutions cannot be used for cases of multi-layered soils;
- If there are two caissons nearby, the effect of the spacing between these two caissons should be further analyzed by adopting a three-dimensional FELA approach;
8. Conclusions
Author Contributions
Funding
Institutional Review Board Statement
Informed Consent Statement
Data Availability Statement
Acknowledgments
Conflicts of Interest
References
- Mortlock, T.R.; Goodwin, I.D.; Turner, I.L. Nearshore SWAN model sensitivities to measured and modelled offshore wave scenarios at an embayed beach compartment, NSW, Australia. Aust. J. Civ. Eng. 2014, 12, 67–82. [Google Scholar] [CrossRef]
- Mahmoodian, M. Structural reliability assessment of corroded offshore pipelines. Aust. J. Civ. Eng. 2020. [Google Scholar] [CrossRef]
- Randolph, M.; Gourvence, S. Offshore Geotechnical Engineering; Spon Press Taylor & Francis: Abingdon, UK, 2011. [Google Scholar]
- Andersen, K.H.; Dyvik, R.; Schroder, K.; Hansteen, O.E.; Bysveen, S. Field test of anchors in clay II: Predictions and interpretation. J. Geotech. Geoenviron. Eng. 1993, 119, 1532–1549. [Google Scholar] [CrossRef]
- Dyvik, R.; Andersen, K.H.; Hansen, S.B.; Christophersen, H.P. Field test of anchors in clay I: Description. J. Geotech. Geoenviron. Eng. 1993, 119, 1515–1531. [Google Scholar] [CrossRef]
- Clukey, E.C.; Morrison, M.J. A Centrifuge and analytical study to evaluate suction caissons for TLP applications in gulf of Mexico. In Design and Performance of Deep Foundation; American Society of Civil Engineers: Reston, VA, USA, 1993; pp. 141–156. [Google Scholar]
- Cauble, D.F. Experimental Measurements for a Model Suction Caisson. Ph.D. Thesis, Massachusetts Institute of Technology, Cambridge, MA, USA, 1996. [Google Scholar]
- Geer, M. Analysis of Pile and Suction Caisson Behavior in Axial Loading. Ph.D. Thesis, Massachusetts Institute of Technology, Cambridge, MA, USA, 1996. [Google Scholar]
- Bransby, M.F.; Yun, G. The undrained capacity of skirted strip foundations under combined loading. Géotechnique 2009, 59, 115–125. [Google Scholar] [CrossRef]
- Gourvenec, S. Effect of embedment on the undrained capacity of shallow foundations under general loading. Géotechnique 2008, 58, 177–185. [Google Scholar] [CrossRef]
- Gourvenec, S.; Barnett, S. Undrained failure envelope for skirted foundations under general loading. Géotechnique 2011, 61, 263–270. [Google Scholar] [CrossRef]
- Yun, G.; Bransby, M.F. The undrained vertical bearing capacity of skirted foundations. Soils Found. 2007, 47, 493–505. [Google Scholar] [CrossRef] [Green Version]
- Mana, D.S.K.; Gourvenec, S.; Martin, C.M. Critical skirt spacing for shallow foundations under general loading. J. Geotech. Geoenviron. Eng. 2013, 139, 1554–1566. [Google Scholar] [CrossRef] [Green Version]
- Jin, Z.; Yin, Z.Y.; Kotronis, P.; Ji, Y.F. Numerical investigation on evolving failure of caisson foundation in sand using the combined Lagrangian-SPH method. Mar. Georesources Geotechnol. 2019, 37, 23–35. [Google Scholar] [CrossRef] [Green Version]
- Liu, J.; Chen, X.; Zhu, Z.; Wang, B.; Liu, F.; Xu, J.; Zhang, M. Investigation of scour effects on lateral behaviors of suction caisson. Mar. Georesources Geotechnol. 2019, 37, 142–151. [Google Scholar] [CrossRef]
- Ukritchon, B.; Wongtoythong, P.; Keawsawasvong, S. New design equation for undrained uplift capacity of suction caissons considering combined effects of caisson aspect ratio, adhesion factor at interface, and linearly increasing strength. Appl. Ocean. Res. 2018, 75, 1–14. [Google Scholar] [CrossRef]
- Keawsawasvong, S.; Ukritchon, B. Finite element limit analysis of uplift capacity of planar caissons in clay. Comput. Geotech. 2016, 75, 12–17. [Google Scholar] [CrossRef]
- Ukritchon, B.; Keawsawasvong, S. Undrained uplift capacity of cylindrical suction caissons by finite element limit analysis. Comput. Geotech. 2016, 80, 301–311. [Google Scholar] [CrossRef]
- Sloan, S.W. Geotechnical stability analysis. Géotechnique 2013, 63, 531–572. [Google Scholar] [CrossRef] [Green Version]
- Ladd, C.C. Stability evaluations during stage construction. J. Geotech. Eng. 1991, 117, 540–615. [Google Scholar] [CrossRef]
- Ladd, C.C.; DeGroot, D.J. Recommended practice for soft ground site characterization. Arthur Casagrande Lecture. In Proceedings of the 12th Panamerican Conference on Soil Mechanics and Geotechnical Engineering, Cambridge, UK, 22–26 June 2003. [Google Scholar]
- Krabbenhoft, K.; Lyamin, A.V. Generalised Tresca criterion for undrained total stress analysis. Geotech. Lett. 2015, 5, 313–317. [Google Scholar] [CrossRef]
- Krabbenhoft, K.; Galindo-Torres, S.A.; Zhang, X.; Krabbenhøft, J. AUS: Anisotropic undrained shear strength model for clays. Int. J. Numer. Anal. Methods Geomech. 2019, 43, 2652–2666. [Google Scholar] [CrossRef]
- Ukritchon, B.; Keawsawasvong, S. Lower bound limit analysis of an anisotropic undrained strength criterion using second-order cone programming. Int. J. Numer. Anal. Methods Geomech. 2018, 42, 1016–1033. [Google Scholar] [CrossRef]
- Ukritchon, B.; Keawsawasvong, S. Lower bound solutions for undrained face stability of plane strain tunnel headings in anisotropic and non-homogeneous clays. Comput. Geotech. 2019, 112, 204–217. [Google Scholar] [CrossRef]
- Ukritchon, B.; Keawsawasvong, S. Three-dimensional lower bound finite element limit analysis of an anisotropic undrained strength criterion using second-order cone programming. Comput. Geotech. 2019, 106, 327–344. [Google Scholar] [CrossRef]
- Ukritchon, B.; Keawsawasvong, S. Undrained lower bound solutions for end bearing capacity of shallow cylindrical piles in non-homogeneous and anisotropic clay. Int. J. Numer. Anal. Methods Geomech. 2020, 44, 596–632. [Google Scholar] [CrossRef]
- Ukritchon, B.; Keawsawasvong, S. Undrained stability of unlined square tunnels in clays with linearly increasing anisotropic shear strength. Geotech. Geol. Eng. 2020, 38, 897–915. [Google Scholar] [CrossRef]
- Keawsawasvong, S.; Ukritchon, B. Undrained stability of plane strain active trapdoors in anisotropic and non-homogeneous clays. Tunn. Undergr. Space Technol. 2021, 107, 103628. [Google Scholar] [CrossRef]
- Keawsawasvong, S.; Ukritchon, B. Design equation for stability of a cylindrical tunnel in an anisotropic and heterogeneous clay. Undergr. Space, 2021; in press. [Google Scholar]
- Yodsomjai, W.; Keawsawasvong, S.; Senjuntichai, T. Undrained stability of unsupported conical slopes in anisotropic clays based on AUS failure criterion. Transp. Infrastruct. Geotechnol. 2021, 8, 557–568. [Google Scholar] [CrossRef]
- Keawsawasvong, S.; Lawongkerd, J. Influences of anisotropic undrained shear strengths of clays on pullout capacity of planar caissons. Sci. Technol. Asia 2021, 26, 90–98. [Google Scholar]
- Nguyen, D.K.; Nguyen, T.P.; Keawsawasvong, S.; Lai, V.Q. Vertical uplift capacity of circular anchors in clay by considering anisotropy and non-homogeneity. Transp. Infrastruct. Geotechnol. 2021; in press. [Google Scholar] [CrossRef]
- Keawsawasvong, S.; Yoonirundorn, K.; Senjuntichai, T. Uplift capacity factor for cylindrical suction caissons in anisotropic clays based on Anisotropic Uundrained Shear failure criterion. Transp. Infrastruct. Geotechnol. 2021, 8, 629–644. [Google Scholar] [CrossRef]
- Keawsawasvong, S.; Shiau, J.; Ngamkhanong, C.; Lai, V.Q.; Thongchom, C. Undrained Stability of Ring Foundations: Axisymmetry, Anisotropy, and Nonhomogeneity. Int. J. Geomech. 2022, 22, 04021253. [Google Scholar] [CrossRef]
- Lai, V.Q.; Nguyen, D.K.; Banyong, R.; Keawsawasvong, S. Limit analysis solutions for stability factor of unsupported conical slopes in clays with heterogeneity and anisotropy. Int. J. Comput. Mater. Sci. Eng. 2022, 11, 2150030–2150128. [Google Scholar] [CrossRef]
- Lai, V.Q.; Banyong, R.; Keawsawasvong, S. Stability of limiting pressure behind soil gaps in contiguous pile walls in anisotropic clays. Eng. Fail. Anal. 2022, 134, 106049. [Google Scholar] [CrossRef]
- Houlsby, G.T.; Martin, C.M. Undrained bearing capacity factors for conical footings on clay. Géotechnique 2003, 53, 513–520. [Google Scholar] [CrossRef]
- Keawsawasvong, S. Bearing capacity of conical footings on clays considering combined effects of anisotropy and non-homogeneity. Ships Offshore Struct. 2021; in press. [Google Scholar] [CrossRef]
- Bishop, A.W. The strength of soils as engineering materials. Géotechnique 1966, 16, 89–128. [Google Scholar] [CrossRef] [Green Version]
- Oteuil, A.; Oralbek, A.; Mukhamet, T.; Moon, S.W.; Kim, J.; Tokbolat, S.; Satyanaga, A. Robust Analysis and Design of Bored Pile Considering Uncertain Parameters. Indian Geotech. J. 2022; in press. [Google Scholar] [CrossRef]
- Zhanabayeva, A.; Sagidullina, N.; Kim, J.; Satyanaga, A.; Lee, D.; Moon, S.W. Comparative Analysis of Kazakhstani and European Design Specifications: Raft Foundation, Pile Foundation, and Piled Raft Foundation. Appl. Sci. 2021, 11, 3099. [Google Scholar] [CrossRef]
- Krabbenhoft, K.; Lyamin, A.; Krabbenhoft, J. Optum Computational Engineering (OptumG2). 2015. Available online: www.optumce.com (accessed on 2 March 2022).
- Ukritchon, B.; Keawsawasvong, S. Error in Ito and Matsui’s limit equilibrium solution of lateral force on a row of stabilizing piles. J. Geotech. Geoenviron. Eng. 2017, 143, 02817004. [Google Scholar] [CrossRef]
- Ukritchon, B.; Yoang, S.; Keawsawasvong, S. Undrained stability of unsupported rectangular excavations in non-homogeneous clays. Comput. Geotech. 2020, 117, 103281. [Google Scholar] [CrossRef]
- Keawsawasvong, S.; Lai, V.Q. End bearing capacity factor for annular foundations embedded in clay considering the effect of the adhesion factor. Int. J. Geosynth. Ground Eng. 2021, 7, 1–10. [Google Scholar] [CrossRef]
- Wu, L.; Fan, J. Comparison of neuron-based, kernel-based, tree-based and curve-based machine learning models for predicting daily reference evapotranspiration. PLoS ONE 2019, 14, e0217520. [Google Scholar] [CrossRef] [Green Version]
- Raja, M.N.A.; Shukla, S.K. Multivariate adaptive regression splines model for reinforced soil foundations. Geosynth. Int. 2021, 28, 368–390. [Google Scholar] [CrossRef]
- Sirimontree, S.; Jearsiripongkul, T.; Lai, V.Q.; Eskandarinejad, A.; Lawongkerd, J.; Seehavong, S.; Thongchom, C.; Nuaklong, P.; Keawsawasvong, S. Prediction of Penetration Resistance of a Spherical Penetrometer in Clay Using Multivariate Adaptive Regression Splines Model. Sustainability 2022, 14, 3222. [Google Scholar] [CrossRef]
- Lai, V.Q.; Shiau, J.; Keawsawasvong Tran, D.T. Bearing Capacity of Ring Foundations on Anisotropic and Heterogenous Clays ~ FEA, NGI-ADP, and MARS. Geotech. Geol. Eng. 2022; accepted. [Google Scholar]
- Friedman, J.H. Multivariate adaptive regression splines. Ann. Stat. 1991, 19, 1–67. [Google Scholar] [CrossRef]
- Caraka, R.E.; Chen, R.C.; Bakar, S.A.; Tahmid, M.; Toharudin, T.; Pardamean, B. Employing Best Input SVR Robust Lost Function with Nature-Inspired Metaheuristics in Wind Speed Energy Forecasting. IAENG Int. J. Comput. Sci. 2020, 47, 572–584. [Google Scholar]
- Stoklosa, J.; Warton, D.I. A Generalized Estimating Equation Approach to Multivariate Adaptive Regression Splines. J. Comput. Graph. Stat. 2018, 27, 245–253. [Google Scholar] [CrossRef]
- Zhang, W. MARS Applications in Geotechnical Engineering Systems; Springer: Singapore, 2020. [Google Scholar]
- Lai, F.; Zhang, N.; Liu, S.; Sun, Y.; Li, Y. Ground movements induced by installation of twin large diameter deeply-buried caissons: 3D numerical modeling. Acta Geotech. 2021, 16, 2933–2961. [Google Scholar] [CrossRef]
- Zhang, W.; Zhang, R.; Goh, A.T.C. MARS inverse analysis of soil and wall properties for braced excavations in clays. Geomech. Eng. 2018, 16, 577–588. [Google Scholar]
- González, E.; Almazán, J.; Beltrán, J.; Herrera, R.; Sandoval, V. Performance of stainless steel winery tanks during the 02/27/2010 Maule Earthquake. Eng. Struct. 2013, 56, 1402–1418. [Google Scholar] [CrossRef]
- Brunesi, E.; Nascimbene, R.; Pagani, M.; Beilic, D. Seismic performance of storage steel tanks during the May 2012 Emilia, Italy, Earthquakes. J. Perform. Constr. Facil. 2015, 29, 04014137. [Google Scholar] [CrossRef]


















| Parameters | Input Values |
|---|---|
| L/D | 0.2, 0.6, 1, 2, 5, 10 |
| m = ρH/suTC0 | 0, 0.2, 0.6, 1, 2, 5 |
| α | 0, 0.2, 0.4, 0.6, 0.8, 1 |
| re | 0.5, 0.6, 0.7, 0.8, 0.9, 1. |
| α | L/D | m = 0 | m = 2 | ||||||||||
| re | re | ||||||||||||
| 0.5 | 0.6 | 0.7 | 0.8 | 0.9 | 1 | 0.5 | 0.6 | 0.7 | 0.8 | 0.9 | 1 | ||
| 0.0 | 0.2 | 4.03 | 4.68 | 5.29 | 5.86 | 6.41 | 6.93 | 4.35 | 5.05 | 5.70 | 6.32 | 6.90 | 7.46 |
| 0.6 | 4.66 | 5.40 | 6.11 | 6.77 | 7.41 | 8.02 | 5.38 | 6.24 | 7.05 | 7.81 | 8.54 | 9.24 | |
| 1 | 5.10 | 5.93 | 6.71 | 7.44 | 8.14 | 8.82 | 6.27 | 7.28 | 8.22 | 9.12 | 9.97 | 10.80 | |
| 2 | 5.92 | 6.89 | 7.80 | 8.67 | 9.50 | 10.31 | 8.31 | 9.66 | 10.93 | 12.14 | 13.29 | 14.41 | |
| 5 | 7.29 | 8.51 | 9.69 | 10.81 | 11.90 | 12.96 | 14.00 | 16.32 | 18.54 | 20.65 | 22.72 | 24.72 | |
| 10 | 8.42 | 9.91 | 11.35 | 12.73 | 14.06 | 15.36 | 23.60 | 27.61 | 31.45 | 35.13 | 38.78 | 42.33 | |
| 0.2 | 0.2 | 4.17 | 4.84 | 5.47 | 6.07 | 6.63 | 7.17 | 4.50 | 5.22 | 5.90 | 6.53 | 7.14 | 7.71 |
| 0.6 | 5.04 | 5.84 | 6.59 | 7.30 | 7.97 | 8.62 | 5.80 | 6.71 | 7.57 | 8.38 | 9.15 | 9.89 | |
| 1 | 5.71 | 6.62 | 7.47 | 8.26 | 9.03 | 9.76 | 6.95 | 8.05 | 9.08 | 10.05 | 10.97 | 11.85 | |
| 2 | 7.06 | 8.17 | 9.22 | 10.21 | 11.15 | 12.05 | 9.71 | 11.24 | 12.67 | 14.02 | 15.31 | 16.54 | |
| 5 | 10.02 | 11.59 | 13.07 | 14.47 | 15.80 | 17.08 | 18.16 | 21.00 | 23.70 | 26.23 | 28.68 | 31.02 | |
| 10 | 13.80 | 15.97 | 18.01 | 19.92 | 21.74 | 23.47 | 34.48 | 39.86 | 44.91 | 49.67 | 54.30 | 58.73 | |
| 0.4 | 0.2 | 4.31 | 5.00 | 5.65 | 6.26 | 6.84 | 7.40 | 4.65 | 5.39 | 6.09 | 6.74 | 7.36 | 7.96 |
| 0.6 | 5.42 | 6.27 | 7.07 | 7.82 | 8.53 | 9.21 | 6.21 | 7.18 | 8.09 | 8.94 | 9.76 | 10.53 | |
| 1 | 6.31 | 7.30 | 8.21 | 9.08 | 9.90 | 10.69 | 7.62 | 8.81 | 9.92 | 10.96 | 11.95 | 12.90 | |
| 2 | 8.19 | 9.45 | 10.63 | 11.73 | 12.78 | 13.79 | 11.09 | 12.80 | 14.39 | 15.88 | 17.31 | 18.67 | |
| 5 | 12.74 | 14.66 | 16.44 | 18.11 | 19.69 | 21.19 | 22.29 | 25.67 | 28.82 | 31.77 | 34.60 | 37.28 | |
| 10 | 19.17 | 22.02 | 24.65 | 27.10 | 29.40 | 31.56 | 45.34 | 52.07 | 58.34 | 64.18 | 69.78 | 75.07 | |
| 0.6 | 0.2 | 4.44 | 5.15 | 5.81 | 6.44 | 7.04 | 7.62 | 4.78 | 5.54 | 6.26 | 6.93 | 7.57 | 8.19 |
| 0.6 | 5.79 | 6.69 | 7.53 | 8.32 | 9.08 | 9.84 | 6.62 | 7.64 | 8.60 | 9.50 | 10.35 | 11.16 | |
| 1 | 6.90 | 7.96 | 8.95 | 9.88 | 10.76 | 11.60 | 8.29 | 9.56 | 10.75 | 11.86 | 12.92 | 13.92 | |
| 2 | 9.32 | 10.72 | 12.03 | 13.25 | 14.41 | 15.50 | 12.46 | 14.34 | 16.09 | 17.73 | 19.29 | 20.77 | |
| 5 | 15.46 | 17.72 | 19.80 | 21.75 | 23.57 | 25.29 | 26.41 | 30.31 | 33.92 | 37.29 | 40.49 | 43.51 | |
| 10 | 24.53 | 28.06 | 31.29 | 34.27 | 37.06 | 39.65 | 56.16 | 64.26 | 71.74 | 78.65 | 85.21 | 91.38 | |
| 0.8 | 0.2 | 4.55 | 5.28 | 5.96 | 6.60 | 7.22 | 7.81 | 4.90 | 5.68 | 6.41 | 7.10 | 7.76 | 8.39 |
| 0.6 | 6.16 | 7.11 | 8.00 | 8.83 | 9.62 | 10.37 | 7.01 | 8.09 | 9.10 | 10.04 | 10.94 | 11.79 | |
| 1 | 7.49 | 8.63 | 9.69 | 10.68 | 11.62 | 12.51 | 8.94 | 10.31 | 11.57 | 12.75 | 13.87 | 14.94 | |
| 2 | 10.44 | 11.98 | 13.42 | 14.76 | 16.02 | 17.21 | 13.82 | 15.88 | 17.79 | 19.57 | 21.26 | 22.85 | |
| 5 | 18.17 | 20.77 | 23.16 | 25.37 | 27.44 | 29.39 | 30.51 | 34.93 | 39.01 | 42.79 | 46.36 | 49.73 | |
| 10 | 29.89 | 34.09 | 37.92 | 41.44 | 44.70 | 47.73 | 66.96 | 76.43 | 85.11 | 93.09 | 100.65 | 107.65 | |
| 1.0 | 0.2 | 4.60 | 5.34 | 6.04 | 6.70 | 7.33 | 7.93 | 4.95 | 5.75 | 6.49 | 7.20 | 7.87 | 8.52 |
| 0.6 | 6.46 | 7.34 | 8.42 | 9.30 | 10.05 | 10.93 | 7.33 | 8.49 | 9.56 | 10.55 | 11.50 | 12.39 | |
| 1 | 7.99 | 9.24 | 10.39 | 11.45 | 12.45 | 13.40 | 9.53 | 10.99 | 12.35 | 13.62 | 14.75 | 15.94 | |
| 2 | 11.45 | 13.21 | 14.79 | 16.25 | 17.62 | 18.91 | 15.08 | 17.36 | 19.45 | 21.38 | 23.19 | 24.90 | |
| 5 | 20.82 | 23.77 | 26.49 | 28.98 | 31.29 | 33.43 | 34.49 | 39.49 | 44.06 | 48.25 | 52.20 | 55.88 | |
| 10 | 35.19 | 40.08 | 44.52 | 48.56 | 52.30 | 55.75 | 77.49 | 88.42 | 98.40 | 107.50 | 115.90 | 123.80 | |
| α | L/D | m = 0.6 | m = 1 | ||||||||||
| re | re | ||||||||||||
| 0.5 | 0.6 | 0.7 | 0.8 | 0.9 | 1 | 0.5 | 0.6 | 0.7 | 0.8 | 0.9 | 1 | ||
| 0.0 | 0.2 | 4.95 | 5.74 | 6.48 | 7.17 | 7.83 | 8.46 | 5.52 | 6.40 | 7.22 | 7.98 | 8.71 | 9.41 |
| 0.6 | 6.77 | 7.84 | 8.86 | 9.81 | 10.72 | 11.58 | 8.12 | 9.41 | 10.62 | 11.76 | 12.84 | 13.87 | |
| 1 | 8.52 | 9.89 | 11.16 | 12.37 | 13.52 | 14.62 | 10.73 | 12.44 | 14.05 | 15.56 | 17.00 | 18.38 | |
| 2 | 12.96 | 15.05 | 17.02 | 18.88 | 20.66 | 22.38 | 17.56 | 20.39 | 23.04 | 25.55 | 27.95 | 30.27 | |
| 5 | 27.19 | 31.65 | 35.91 | 39.95 | 43.92 | 47.76 | 40.32 | 46.91 | 53.20 | 59.17 | 65.01 | 70.68 | |
| 10 | 53.48 | 62.47 | 71.11 | 79.37 | 87.57 | 95.52 | 83.31 | 97.29 | 110.70 | 123.55 | 136.25 | 148.65 | |
| 0.2 | 0.2 | 5.12 | 5.93 | 6.69 | 7.41 | 8.08 | 8.73 | 5.70 | 6.61 | 7.45 | 8.24 | 8.99 | 9.70 |
| 0.6 | 7.25 | 8.39 | 9.46 | 10.47 | 11.42 | 12.34 | 8.66 | 10.02 | 11.30 | 12.50 | 13.63 | 14.72 | |
| 1 | 9.35 | 10.82 | 12.20 | 13.49 | 14.73 | 15.91 | 11.70 | 13.54 | 15.26 | 16.88 | 18.41 | 19.89 | |
| 2 | 14.86 | 17.19 | 19.39 | 21.44 | 23.41 | 25.30 | 19.96 | 23.09 | 26.02 | 28.79 | 31.43 | 33.96 | |
| 5 | 34.16 | 39.53 | 44.59 | 49.35 | 53.96 | 58.38 | 50.12 | 57.99 | 65.39 | 72.39 | 79.16 | 85.64 | |
| 10 | 75.32 | 87.07 | 98.16 | 108.60 | 118.80 | 128.50 | 116.10 | 134.20 | 151.30 | 167.45 | 183.15 | 198.15 | |
| 0.4 | 0.2 | 5.28 | 6.12 | 6.90 | 7.63 | 8.33 | 9.00 | 5.88 | 6.81 | 7.67 | 8.48 | 9.25 | 9.98 |
| 0.6 | 7.72 | 8.93 | 10.05 | 11.11 | 12.12 | 13.08 | 9.19 | 10.62 | 11.96 | 13.22 | 14.41 | 15.55 | |
| 1 | 10.16 | 11.74 | 13.21 | 14.60 | 15.92 | 17.17 | 12.65 | 14.62 | 16.45 | 18.17 | 19.81 | 21.37 | |
| 2 | 16.74 | 19.31 | 21.72 | 23.97 | 26.13 | 28.18 | 22.32 | 25.76 | 28.97 | 31.99 | 34.87 | 37.61 | |
| 5 | 41.12 | 47.37 | 53.21 | 58.68 | 63.94 | 68.94 | 59.89 | 68.99 | 77.51 | 85.50 | 93.16 | 100.50 | |
| 10 | 97.07 | 111.60 | 125.15 | 137.70 | 149.90 | 161.40 | 148.80 | 171.10 | 191.80 | 211.25 | 229.85 | 247.55 | |
| 0.6 | 0.2 | 5.43 | 6.29 | 7.09 | 7.85 | 8.56 | 9.25 | 6.04 | 6.99 | 7.88 | 8.71 | 9.50 | 10.26 |
| 0.6 | 8.18 | 9.45 | 10.63 | 11.74 | 12.80 | 13.80 | 9.71 | 11.21 | 12.61 | 13.93 | 15.17 | 16.36 | |
| 1 | 10.96 | 12.65 | 14.22 | 15.69 | 17.09 | 18.41 | 13.59 | 15.68 | 17.62 | 19.44 | 21.17 | 22.82 | |
| 2 | 18.59 | 21.41 | 24.03 | 26.48 | 28.82 | 31.04 | 24.67 | 28.40 | 31.89 | 35.15 | 38.25 | 41.21 | |
| 5 | 48.02 | 55.16 | 61.78 | 67.96 | 73.85 | 79.42 | 69.59 | 79.95 | 89.57 | 98.53 | 107.10 | 115.25 | |
| 10 | 118.80 | 136.10 | 152.00 | 166.80 | 180.90 | 194.10 | 181.40 | 207.80 | 232.20 | 254.85 | 276.40 | 296.75 | |
| 0.8 | 0.2 | 5.55 | 6.43 | 7.27 | 8.03 | 8.77 | 9.48 | 6.17 | 7.15 | 8.06 | 8.91 | 9.73 | 10.51 |
| 0.6 | 8.64 | 9.96 | 11.21 | 12.36 | 13.46 | 14.51 | 10.22 | 11.79 | 13.25 | 14.62 | 15.92 | 17.16 | |
| 1 | 11.75 | 13.54 | 15.21 | 16.76 | 18.24 | 19.64 | 14.51 | 16.72 | 18.78 | 20.70 | 22.52 | 24.26 | |
| 2 | 20.42 | 23.48 | 26.32 | 28.97 | 31.48 | 33.86 | 26.97 | 31.02 | 34.77 | 38.28 | 41.61 | 44.77 | |
| 5 | 54.91 | 62.92 | 70.32 | 77.19 | 83.72 | 89.87 | 79.26 | 90.84 | 101.55 | 111.50 | 120.95 | 129.90 | |
| 10 | 140.50 | 160.50 | 178.85 | 195.80 | 211.80 | 226.80 | 213.90 | 244.45 | 272.50 | 298.40 | 322.85 | 345.80 | |
| 1.0 | 0.2 | 5.61 | 6.50 | 7.34 | 8.13 | 8.89 | 9.44 | 6.23 | 7.22 | 8.14 | 9.02 | 9.85 | 10.66 |
| 0.6 | 9.01 | 10.41 | 11.73 | 12.95 | 14.10 | 15.11 | 10.63 | 12.29 | 13.84 | 15.28 | 16.64 | 17.94 | |
| 1 | 12.45 | 14.38 | 16.18 | 17.80 | 19.36 | 20.84 | 15.32 | 17.68 | 19.87 | 21.92 | 23.84 | 25.67 | |
| 2 | 22.12 | 25.46 | 28.56 | 31.41 | 34.10 | 36.65 | 29.11 | 33.53 | 37.59 | 41.36 | 44.92 | 48.28 | |
| 5 | 61.51 | 70.54 | 78.78 | 86.36 | 93.52 | 100.20 | 88.42 | 101.45 | 113.45 | 124.40 | 134.70 | 144.45 | |
| 10 | 161.55 | 184.35 | 205.50 | 224.60 | 242.55 | 259.25 | 245.35 | 280.35 | 312.55 | 341.70 | 369.00 | 394.60 | |
| α | L/D | m = 2 | m = 5 | ||||||||||
| re | re | ||||||||||||
| 0.5 | 0.6 | 0.7 | 0.8 | 0.9 | 1 | 0.5 | 0.6 | 0.7 | 0.8 | 0.9 | 1 | ||
| 0.0 | 0.2 | 6.88 | 7.96 | 8.97 | 9.91 | 10.81 | 11.66 | 10.71 | 12.39 | 13.93 | 15.37 | 16.72 | 18.00 |
| 0.6 | 11.44 | 13.25 | 14.94 | 16.54 | 18.04 | 19.49 | 21.23 | 24.59 | 27.71 | 30.64 | 33.43 | 36.08 | |
| 1 | 16.19 | 18.76 | 21.18 | 23.45 | 25.60 | 27.67 | 32.44 | 37.58 | 42.40 | 46.92 | 51.23 | 55.35 | |
| 2 | 29.00 | 33.64 | 38.02 | 42.14 | 46.10 | 49.90 | 63.18 | 73.31 | 82.80 | 91.76 | 100.35 | 108.60 | |
| 5 | 73.07 | 84.99 | 96.34 | 107.15 | 117.60 | 127.90 | 171.30 | 199.20 | 225.70 | 250.90 | 275.50 | 299.40 | |
| 10 | 157.80 | 184.25 | 209.60 | 233.85 | 257.90 | 281.25 | 381.25 | 445.10 | 506.25 | 564.80 | 622.80 | 679.00 | |
| 0.2 | 0.2 | 7.09 | 8.20 | 9.24 | 10.21 | 11.12 | 12.00 | 11.00 | 12.71 | 14.29 | 15.77 | 17.15 | 18.46 |
| 0.6 | 12.13 | 14.03 | 15.81 | 17.48 | 19.06 | 20.57 | 22.36 | 25.86 | 29.12 | 32.18 | 35.08 | 37.85 | |
| 1 | 17.52 | 20.26 | 22.83 | 25.25 | 27.54 | 29.74 | 34.81 | 40.27 | 45.37 | 50.16 | 54.70 | 59.07 | |
| 2 | 32.64 | 37.75 | 42.56 | 47.07 | 51.39 | 55.53 | 70.53 | 81.64 | 92.01 | 101.75 | 111.10 | 120.00 | |
| 5 | 89.98 | 104.10 | 117.40 | 129.90 | 142.00 | 153.70 | 209.35 | 242.20 | 273.15 | 302.30 | 330.50 | 357.60 | |
| 10 | 218.05 | 252.10 | 284.20 | 314.55 | 344.00 | 372.25 | 523.80 | 605.60 | 682.80 | 755.65 | 826.50 | 894.25 | |
| 0.4 | 0.2 | 7.29 | 8.43 | 9.49 | 10.49 | 11.43 | 12.32 | 11.28 | 13.02 | 14.64 | 16.15 | 17.56 | 18.91 |
| 0.6 | 12.79 | 14.79 | 16.65 | 18.39 | 20.04 | 21.62 | 23.45 | 27.09 | 30.49 | 33.66 | 36.68 | 39.56 | |
| 1 | 18.80 | 21.73 | 24.46 | 27.01 | 29.44 | 31.75 | 37.14 | 42.90 | 48.27 | 53.32 | 58.11 | 62.69 | |
| 2 | 36.23 | 41.81 | 47.03 | 51.92 | 56.60 | 61.06 | 77.77 | 89.82 | 101.05 | 111.55 | 121.60 | 131.20 | |
| 5 | 106.75 | 123.00 | 138.20 | 152.45 | 166.20 | 179.25 | 247.20 | 284.95 | 320.20 | 353.20 | 385.00 | 415.20 | |
| 10 | 277.95 | 319.70 | 358.60 | 394.90 | 429.75 | 462.90 | 665.50 | 765.55 | 858.60 | 945.55 | 1029.50 | 1109.00 | |
| 0.6 | 0.2 | 7.48 | 8.65 | 9.74 | 10.76 | 11.72 | 12.65 | 11.54 | 13.33 | 14.98 | 16.52 | 17.97 | 19.35 |
| 0.6 | 13.45 | 15.53 | 17.47 | 19.29 | 21.01 | 22.65 | 24.50 | 28.29 | 31.82 | 35.12 | 38.25 | 41.23 | |
| 1 | 20.08 | 23.17 | 26.05 | 28.74 | 31.30 | 33.74 | 39.42 | 45.47 | 51.12 | 56.42 | 61.45 | 66.24 | |
| 2 | 39.76 | 45.82 | 51.45 | 56.72 | 61.75 | 66.53 | 84.95 | 97.90 | 110.00 | 121.30 | 132.00 | 142.30 | |
| 5 | 123.45 | 141.80 | 158.95 | 174.85 | 190.15 | 204.55 | 284.90 | 327.35 | 366.90 | 403.85 | 439.15 | 472.55 | |
| 10 | 337.90 | 387.10 | 432.70 | 475.00 | 515.25 | 553.25 | 807.15 | 924.95 | 1034.00 | 1135.00 | 1231.50 | 1322.50 | |
| 0.8 | 0.2 | 7.64 | 8.83 | 9.95 | 10.99 | 11.99 | 12.94 | 11.76 | 13.59 | 15.27 | 16.85 | 18.33 | 19.75 |
| 0.6 | 14.09 | 16.26 | 18.27 | 20.16 | 21.96 | 23.66 | 25.54 | 29.46 | 33.11 | 36.53 | 39.77 | 42.86 | |
| 1 | 21.32 | 24.59 | 27.61 | 30.44 | 33.13 | 35.69 | 41.64 | 48.00 | 53.92 | 59.46 | 64.73 | 69.73 | |
| 2 | 43.25 | 49.77 | 55.82 | 61.47 | 66.84 | 71.93 | 91.99 | 105.90 | 118.80 | 130.85 | 142.30 | 153.20 | |
| 5 | 140.05 | 160.55 | 179.55 | 197.20 | 213.95 | 229.85 | 322.30 | 369.65 | 413.45 | 454.15 | 492.90 | 529.55 | |
| 10 | 397.60 | 454.30 | 506.60 | 554.80 | 600.45 | 643.30 | 948.35 | 1084.00 | 1209.00 | 1324.00 | 1433.00 | 1535.50 | |
| 1.0 | 0.2 | 7.72 | 8.92 | 10.05 | 11.12 | 12.13 | 13.10 | 11.87 | 13.69 | 15.41 | 17.02 | 18.54 | 20.00 |
| 0.6 | 14.61 | 16.89 | 19.01 | 20.99 | 22.86 | 24.64 | 26.35 | 30.48 | 34.30 | 37.85 | 41.24 | 44.46 | |
| 1 | 22.36 | 25.88 | 29.09 | 32.10 | 34.92 | 37.60 | 43.55 | 50.29 | 56.56 | 62.18 | 67.91 | 73.15 | |
| 2 | 46.48 | 53.56 | 60.10 | 66.13 | 71.83 | 77.26 | 98.40 | 113.60 | 127.40 | 140.25 | 152.40 | 163.95 | |
| 5 | 156.05 | 178.70 | 200.00 | 219.35 | 237.70 | 254.85 | 357.45 | 410.40 | 459.45 | 504.05 | 546.25 | 586.00 | |
| 10 | 454.80 | 520.35 | 580.00 | 634.25 | 685.20 | 732.85 | 1084.50 | 1240.00 | 1382.50 | 1512.00 | 1633.50 | 1747.50 | |
| BF | Equation | BF | Equation | BF | Equation |
|---|---|---|---|---|---|
| BF1 | =max(0, L/D − 5); | BF19 | =max(0, L/D − 2) × BF17; | BF39 | =max(0, 2 − L/D) × BF13; |
| BF2 | =max(0, 5 − L/D); | BF20 | =max(0, 2 − vL/D) × BF17; | BF40 | =max(0, L/D − 2) × BF37; |
| BF3 | =max(0, m − 0) × BF1; | BF21 | =max(0, re − 0.6) × BF4; | BF41 | =max(0, 2 − L/D) × BF37; |
| BF4 | =max(0, α + 5.96046 × 10−8) × BF3; | BF22 | =max(0, 0.6 − re) × BF4; | BF42 | =max(0, L/D − 0.6) × BF37; |
| BF5 | =max(0, m − 0); | BF23 | =max(0, α − 0.6) × BF5; | BF44 | =max(0, α − 0.8) × BF33; |
| BF6 | =max(0, L/D − 2) × BF5; | BF24 | =max(0, 0.6 − α) × BF5; | BF45 | =max(0, 0.8 − α) × BF33; |
| BF7 | =max(0, 2 − L/D) × BF5; | BF25 | =max(0, L/D − 2) × BF24; | BF46 | =max(0, re − 0.9) × BF10; |
| BF8 | =max(0, re − 0.7) × BF6; | BF26 | =max(0, 2 − L/D) × BF24; | BF48 | =max(0, α − 0.2) × BF13; |
| BF9 | =max(0, 0.7 − re) × BF6; | BF27 | =max(0, re − 0.7) × BF15; | BF49 | =max(0, 0.2 − α) × BF13; |
| BF10 | =max(0, α + 5.96046 × 10−8) × BF6; | BF28 | =max(0, 0.7 − re) × BF15; | BF50 | =max(0, α − 0.8) × BF9; |
| BF11 | =max(0, re − 0.8) × BF10; | BF29 | =max(0, L/D − 1) × BF23; | BF51 | =max(0, 0.8 − α) × BF9; |
| BF12 | =max(0, 0.8 − re) × BF10; | BF30 | =max(0, 1 − L/D) × BF23; | BF52 | =max(0, m − 0.6); |
| BF13 | =max(0, re − 0.5); | BF31 | =max(0, L/D − 5) × BF18; | BF55 | =max(0, 0.6 − L/D) × BF52; |
| BF14 | =max(0, α + 5.96046 × 10−8); | BF32 | =max(0, 5 − L/D) × BF18; | BF57 | =max(0, 0.9 − re) × BF33; |
| BF15 | =max(0, L/D − 2) × BF14; | BF33 | =max(0, L/D − 1) × BF5; | BF58 | =max(0, α − 0.2) × BF57; |
| BF16 | =max(0, 2 − L/D) × BF14; | BF35 | =max(0, L/D − 5) × BF17; | BF59 | =max(0, 0.2 − α) × BF57; |
| BF17 | =max(0, re − 0.6) × BF5; | BF37 | =max(0, α + 5.96046 × 10−8) × BF17; | BF60 | =max(0, α + 5.96046 × 10−8) × BF39; |
| BF18 | =max(0, 0.6 − re) × BF5; | BF38 | =max(0, L/D − 2) × BF13; |
Publisher’s Note: MDPI stays neutral with regard to jurisdictional claims in published maps and institutional affiliations. |
© 2022 by the authors. Licensee MDPI, Basel, Switzerland. This article is an open access article distributed under the terms and conditions of the Creative Commons Attribution (CC BY) license (https://creativecommons.org/licenses/by/4.0/).
Share and Cite
Jearsiripongkul, T.; Lai, V.Q.; Keawsawasvong, S.; Nguyen, T.S.; Van, C.N.; Thongchom, C.; Nuaklong, P. Prediction of Uplift Capacity of Cylindrical Caissons in Anisotropic and Inhomogeneous Clays Using Multivariate Adaptive Regression Splines. Sustainability 2022, 14, 4456. https://doi.org/10.3390/su14084456
Jearsiripongkul T, Lai VQ, Keawsawasvong S, Nguyen TS, Van CN, Thongchom C, Nuaklong P. Prediction of Uplift Capacity of Cylindrical Caissons in Anisotropic and Inhomogeneous Clays Using Multivariate Adaptive Regression Splines. Sustainability. 2022; 14(8):4456. https://doi.org/10.3390/su14084456
Chicago/Turabian StyleJearsiripongkul, Thira, Van Qui Lai, Suraparb Keawsawasvong, Thanh Son Nguyen, Chung Nguyen Van, Chanachai Thongchom, and Peem Nuaklong. 2022. "Prediction of Uplift Capacity of Cylindrical Caissons in Anisotropic and Inhomogeneous Clays Using Multivariate Adaptive Regression Splines" Sustainability 14, no. 8: 4456. https://doi.org/10.3390/su14084456
APA StyleJearsiripongkul, T., Lai, V. Q., Keawsawasvong, S., Nguyen, T. S., Van, C. N., Thongchom, C., & Nuaklong, P. (2022). Prediction of Uplift Capacity of Cylindrical Caissons in Anisotropic and Inhomogeneous Clays Using Multivariate Adaptive Regression Splines. Sustainability, 14(8), 4456. https://doi.org/10.3390/su14084456

