Next Article in Journal
Development of a New Residential Energy Management Approach for Retrofit and Transition, Based on Hybrid Energy Sources
Previous Article in Journal
“For More Diversity, Better Taste and My Own Health” Exploring Organic Consumers’ Purchasing Motives for Heirloom Vegetable Varieties
Previous Article in Special Issue
Does Innovation Climate Help to Effectiveness of Green Finance Product R&D Team? The Mediating Role of Knowledge Sharing and Moderating Effect of Knowledge Heterogeneity
 
 
Font Type:
Arial Georgia Verdana
Font Size:
Aa Aa Aa
Line Spacing:
Column Width:
Background:
Article

The Role of Agile Women Leadership in Achieving Team Effectiveness through Interpersonal Trust for Business Agility

1
Ahmetli Vocational School, Manisa Celal Bayar University, 45450 Manisa, Turkey
2
Faculty of Engineering Management, Bialystok University of Technology, 15-351 Bialystok, Poland
*
Author to whom correspondence should be addressed.
Sustainability 2022, 14(7), 4070; https://doi.org/10.3390/su14074070
Submission received: 21 February 2022 / Revised: 24 March 2022 / Accepted: 27 March 2022 / Published: 29 March 2022
(This article belongs to the Special Issue Sustainability in People Management)

Abstract

:
The need for organizations to adapt to constant change means the challenges of implementing an agile strategy. Therefore, the purpose of the study is to analyze the role of agile women leadership and team effectiveness by looking into the mediating effect of interpersonal trust based on a cross-sectional quantitative study with a sample of 269 employees from Poland and Turkey. Questionnaires were distributed to individuals in companies having women leaders or managers. The three questionnaires required the respondents to answer questions regarding the perception of agile leadership, trust and team effectiveness. By using SPSS, demographics, descriptive statistics and tests of normality were determined. Smart PLS version 3.0 was used for confirmatory factor analysis, internal accuracy and validity estimates, hypothesis checking and mediation testing. Results of PLS-SEM indicated interpersonal trust has a full mediation role between agile women leadership in shaping team effectiveness. The population of this study are working for organizations of just two countries; hence, the generalizability of the findings to other settings is unknown. Our findings contribute to the literature on women agile leadership and team effectiveness by demonstrating how the growth in trust to managers contributes to the emergence of team effectiveness and the agile leadership trend over time. This study will therefore contribute to the understanding of organized teams’ effectiveness in the perspective of agile women leadership and trust of supervisors.

1. Introduction

Contemporary organizations are undergoing constant change due to technological, social and economic transformations and therefore require support in adapting to these changes [1]. Furthermore, implementing a sustainable development strategy leads to significant changes in organization operations, especially in terms of processes, management and leadership [2]. In the face of the changes in the external environment and increasing uncertainty, in particular, leadership is an essential factor in facilitating the effective implementation of change in enterprises [3,4]. One of the challenges of operational management in an organization is achieving set goals in an effective manner. Adapting to emerging changes and challenges requires technological solutions, implementation of innovations and improvement of existing processes. Currently, teamwork plays a vital role in implementing tasks and projects. Team effectiveness is defined as the result achieved during group cooperation [5]. Striving to maintain and improve team effectiveness is the current challenge of managers, especially in a changing operating environment, which also affects employees. Leadership can be analyzed from various research perspectives [6]. In this study, leadership is understood as a mutual relationship that includes the leader’s interactions with subordinates [7]. In line with the theory of transformational leadership [8], our study proposes that the leader, through appropriate relationships, influences the attitudes and behavior of employees. On the other hand, based on the theory of social exchange (SET) [9], we formulate the assumption that employees increase their efforts at work when they feel the support of a leader [10,11].
Specifically, agile leadership is an indispensable feature that enhances adaptation to technological, social and economic change necessary for the organization’s sustainable development [12]. Since the changes faced by organizations are unpredictable, primarily related to digital transformation but also connected to adapting to the reorganization of processes and operations, the role of a leader who will indicate the appropriate course of action is vital. Organizations need leaders who are sensitive and competent at the same time, who will propose a strategy that enables the company to develop in difficult conditions [13,14].
At the core of agile is the ability for organizations to be flexible and react and adapt quickly to changing external conditions [15,16]. The agile paradigm is recognized as the cornerstone of effective business performance, both by scholars [17] and practitioners [18]. Agile management is also used to manage team performance. Relationships and cooperation are key determinants of effective teamwork. Trust fosters good relationships in the workplace. In our study, we use interpersonal trust related to agile management and team effectiveness. Interpersonal trust in the organizational context is trust between colleagues or trust in the subordinate–leader relationship [19].
Previous research has demonstrated that implementing agile requires inspirational leadership and a change in mindset [20]. Leadership support in embracing change and transforming the organization is essential, making it essential to understand the various aspects of effective agile leadership. However, most current literature focuses on agile leadership from the managers’ perspective [21,22]. Few studies address the challenges from the employees’ point of view, how to build trust in the leader and strengthen the implementation of agile concepts in companies. Thus, to provide an employee perspective on agile leadership, this study focuses on the employee perception of leaders.
Additionally, our research focuses on women’s agile leadership. Women’s agile leadership is the agile management of an organization by a female leader, despite research results showing that men and women are equally effective leaders [23]. According to recent data [24], there is an underrepresentation of women in leadership positions, especially executive positions, and it is necessary to identify the role of women’s leadership in building the agile and flexible organizations of the future. To the best of our knowledge, there is no research on women’s agile leadership. Earlier studies looked at transformational leadership, which is considered to be more typical of women [25]. Women’s agile leadership is underrepresented in executive functions in organizations and research [26]. Therefore, this study will attempt to fill the identified research gap. It is necessary to raise awareness of the importance of female leadership for the effective development of modern organizations. Extant research points to the need to analyze the gendered aspects of management. To address this, this study investigates women’s agile leadership in relation to shaping interpersonal trust and team effectiveness. Therefore, the study intends to answer the following research questions:
Research Question 1 (Q1):
Is there a relationship between agile women leadership and team effectiveness?
Research Question 2 (Q2):
What is the role of interpersonal trust in relation to agile management and team effectiveness?
Furthermore, it is important to note that this study also seeks to analyze the underlying mechanisms that explain how women’s agile leadership contributes to greater team effectiveness. We examine whether the agile leadership of women has a positive impact on the effectiveness of the team. Based on the social exchange theory (SET), this study assumes that leadership behavior leads to increased team engagement and better outcomes. Referring to extant research on interpersonal trust, it analyzes how trust in the leader affects team effectiveness.

2. Theoretical Background and Hypothesis

Leadership abilities are susceptible to constant obsolescence and displacement due to today’s dynamic, complicated and uncertain business environments. Leaders must be flexible and agile enough to modify their actions and behaviors as conditions change to be effective. One of the essential success factors for managers and executives is their willingness and skill to learn from experience combined with changes in the environment and then apply that learning to perform successfully in new situations for their team’s effectiveness [27]. Generally, there are various types of leadership at the organizational level to sustain their existence. Agile leadership is unquestionably critical for organizational sustainability regarding the digital economy’s fast speed of change [28]. And also, in today’s business environment, the crucial participation of employees and team effectiveness are vital in enhancing organizational competitiveness and creativity.

2.1. The Link between Agile Leadership and Team Effectiveness

Agile leadership is responsive to emerging challenges or opportunities, and it works in quick development cycles of adaptation, learning and improvement [29]. Agile leadership is a leadership approach that adapts to innovation processes in organizations and creates the ability of organizations to survive in competitive environments full of uncertainties [30]. Agile leaders pay attention to work in a team instead of individually. Teamwork, in particular, has been extensively researched in management science. Therefore, agile management is most commonly practiced in teams, where human and cooperative components are critical to team effectiveness [31]. Thus, agile leadership can be considered a set of practices that influence teams to achieve the desired goals. In organizations, leaders have various characteristics. Women leaders are also leading the organizations effectively [32]. Agile women leaders impact organizational success and organizational performance [33]. Organizational performance is a core concept in management, and most management activities are structured according to this concept. As research has shown, women leaders are characterized by a more participative management style compared to men [34]. Therefore, women’s agile leadership is more immanently focused on team relationships and sustaining collaboration. Moreover, women in leadership roles are characterized by a more democratic approach to subordinates [35]. This aspect of female leadership fits well with the agile paradigm requiring a focus on team collaboration. Agile women leaders have a strong motivational impact on employees. An increase in motivation leads to increased job performance [36], which has a beneficial effect on female leadership.
The agile women leaders may guide the team and actively impact team behavior by developing, distributing and sustaining a guiding vision. To encourage team ownership of the vision and business goals, there must be ongoing group conversations and motivation with the team to build on the feelings. This will guide and inspire their teams. Such team interactions are critical in agile development, and the current emphasis on agile management has increased interest in how to structure small self-managing teams [37] successfully. Women leaders, according to research, have better emotional intelligence which helps them to be more effective agile leaders. In the light of those studies, it should be emphasized that agile women leadership is critically important for modern enterprises.
There are some studies about leadership and team performance and effectiveness. A self-organized team operates under agile leadership [38]. The variation in agility leadership figures expected by female civil servants was measured [39]. There is close relationship between learning agility and employee potential and performance [40]. It is stated that women have better performance than men as leaders [41].
The majority of women leaders are doing an excellent job in their various organizations. There are some other studies on women leadership available in the literature [33,42,43,44]. However, previous studies ignore the discussion of the role of agile women leadership in team effectiveness. Thus, the below hypothesis is proposed:
Hypothesis 1 (H1).
There is a significant, positive relationship between agile women leadership and team effectiveness.

2.2. The Link between Agile Leadership and Interpersonal Trust

Trust is defined as the voluntary assumption of risk concerning the future actions of others [45]. It refers to a dual relationship between at least two parties [46]. Thus, this reciprocal relationship is about making specific anticipations that take into account the positive consequences of actions taken by the other involved party [47]. Trust is a dynamic interpersonal relationship between the parties involved, embedded in mutual assumptions manifested by certain attitudes [48]. To summarize, in defining trust, we can assume that it is a mechanism that enables predicting the future behavior of other individuals in a particular relationship.
The analysis of trust in an organizational context can be conducted at different cognitive levels: interpersonal and intraorganizational. Intraorganizational trust is focused on trust in an organization or a company. On the other hand, interpersonal trust concerns mutual trust between employees [46]. Mayer, Davis and Schoorman analyzed the factors that shaped interpersonal vertical trust in organizations and identified three major components that drive trustworthiness: competence, benevolence and integrity [49]. Interpersonal trust can be considered horizontally, in relation to mutual relations linking co-workers of a given organization, and vertically, referring to the issue of trust between managers and subordinates [50]. Vertical relationships are related to managers’ expectations of subordinates regarding the accomplishment of established work tasks and subordinates’ attitudes toward instructions, feedback or information provided by their supervisors. Vertical trust is identified in research as an element that supports organizational productivity, retention and adaptability [50]. Employee trust in managers is an explanatory factor that affects their performance [51]. Therefore, to ensure the efficient functioning of the organization, it is important to ensure high trust between employees and managers.
The interplay between agile leadership and vertical trust in an organization presents an important challenge in increasing the optimization of its functioning. One of the tasks of an agile leader is to build teams, which is usually driven by trust [52]. Vertical trust and mutual respect are essential for rapid response to change or the flexibility inherent in the agile management paradigm and for continuous improvement of products and teams [53]. Conversely, lack of trust is a key barrier to effective agile leadership [54,55]. Therefore, building vertical trust from an agile leadership perspective is an important enabler for effective organizational management. Moreover, empirical research confirms that trust is the basis for sound management of agile teams. For example, knowledge transfer management requires trust, which must be transparent and rapid to maintain agile potential [56]. Additionally, it has been demonstrated that interpersonal trust in agile managed organizations significantly affects the innovative potential of the enterprise [57]. The soft skills that contribute to managing people is one of the most important strengths of effective agile leadership [21].
Vertical trust is also created as a result of agile leadership. The role of the leader in agile teams deals with adaptive support and includes providing direction, pointing out basic policies and procedures, fostering honest and constructive feedback and instilling collaboration [54]. According to McAllister’s concept of building trust, there are two main sources of organizational trust. Trust can be cognitive, based on the other person’s competence, or affective, built on relationships and shared experiences [58]. Therefore, the agile leader’s actions, which are a form of reinforcement of readiness for continuous change and improvement, build trust with managers based on shared experiences. On the one hand, the agile leader is competent, which is a basic requirement for leading a team. On the other hand, by closing short-term projects, the trust building process goes much faster than in traditional organizations. Especially since, in light of Schoorman, Mayer, and Davis [59], trust in a leader is built primarily on competencies; the competencies of an agile leader are a core element in establishing team relationships [59]. Feminine leadership style more often prompts employees to dialogue and build relationships, which favors building trust between employees and the leader [60]. Employee trust in the leader is seen as a necessary factor for the success of charismatic leadership [61]. We assume that trust also plays a vital role in agile leadership. Moreover, it was noticed that an increase in trust in the leader took place when they showed caring traits toward their subordinates [62]. Women leaders have traits that encourage trust-based relationships, such as empathy and communicativeness [63].
Agile leadership and interpersonal trust are inextricably linked in the interdependent connection between the manager and team members. Therefore, we assume that agile leadership fosters interpersonal trust in organizations.
Hypothesis 2 (H2).
There is a significant, positive relationship between agile women leadership and interpersonal trust.

2.3. The Link between Interpersonal Trust and Team Effectiveness

Efficiency, in management terms, means improving the processes involved in the operation of a business [64]. Team effectiveness is defined as the outcome of group collaboration [65]. Thus, team effectiveness refers to the ability of that team to achieve its goals. This constitutes the basis for the success and productivity of such a team.
Previous research findings confirm that trust provides a platform for developing effective collaborative relationships in organizations [66]. Previous studies especially demonstrate how important interpersonal trust is to organizational performance [51]. Research on remote organizations highlights a link between team effectiveness and interpersonal trust [65]. Moreover, prior research indicates that trust in the leader increases the effectiveness of the leader in the team [67]. From the above-mentioned examples, it can be concluded that interpersonal trust, especially vertical trust, contributes significantly to team effectiveness. In particular, it seems that trust in the agile leader helps to respond quickly to changes, adapt flexibly to situations and build sincere relationships based on mutual feedback. Therefore, we hypothesize that interpersonal trust contributes significantly to agile team effectiveness. The hypothesis adopted is:
Hypothesis 3 (H3).
There is a significant, positive relationship between interpersonal trust and agile team effectiveness.

2.4. The Mediating Role of Interpersonal Trust

Previous studies confirm that trust in the leader mediates the team effectiveness relationship [68]. Given the evidence indicating relationships of vertical trust with effectiveness and with agile leadership, we postulate that trust in the leader will mediate this relationship. An employee who trusts the leader carries out tasks without waiting for an individual reward. In teamwork, the expected benefit from this relationship, according to SET, will be the collective result of team members [11]. Interpersonal trust in the agile manager–employee relationship allows the leader to make decisions based on trust. It means that the leader knows that the employees will perform their tasks to the best of their ability. Trust in the leader causes the employee to perform tasks and be involved in work, regardless of whether they do not immediately gain benefits. The employee knows that their tasks are aimed at the implementation of the company’s strategy and the manager’s vision. Relationships based on trust make the employee and the team try to achieve the best possible results, which are necessary for the company to adapt to the changes.
Interpersonal vertical trust is an underlying mechanism that transmits the relationship between agile women leadership and team effectiveness. This relationship, in our view, can be explained precisely through interpersonal trust being an important explanatory factor for this relationship. Therefore, in this study, we hypothesized that trust in the leader is a mediator of the relationship between agile women leadership and team effectiveness. The hypothesis, therefore, is as follows:
Hypothesis 4 (H4).
Interpersonal trust has a mediating role between agile women leadership and team effectiveness in enterprises.

3. Method

3.1. Data Collection, Procedures and Sampling

The present study used a quantitative approach to test the recommended hypotheses. The data were collected from the 269 employees of the business enterprises sector from Poland and Turkey in companies having women leaders or managers over the period of six months from January to July 2021, using a cross-sectional survey questionnaire. The study includes telecommunication industries: manufacturing, trading-wholesale and service. A convenience sampling technique was used to collect data [69]. There was a total of 300 target respondents, which is a good sample, out of which 275 questionnaires were completed and returned, of which 6 questionnaires were found as unusable and discarded. Data were analyzed with 269 valid forms for this research (89.6% response rate) The sample size meets the threshold values explained by the aforementioned researchers. The sample size was selected based on Comrey and Lee [70] inferential statistics. According to this statistic, a sample size of below 50 respondents is a weaker sample, a sample size of 100 respondents is weak, 200 respondents is adequate, 300 is good, 500 is very good and 1000 is excellent. Therefore, a sample size of two hundred (200) respondents was selected.
A total of 269 respondents have participated voluntarily in this study. The participants were informed that participation was voluntary, and the return of the completed questionnaire was considered as informed consent. Of the participants, 47.6% (128) were from Poland and 52.4% (141) were from Turkey. Regarding gender, 54.3% (146) were males and 47.7% (123) were females. About the sector, most companies 65.8% (177) were private, while 34% (92) were public. About the companies’ operating area, most companies 57.6% (155) were operating in service, 23.0% (62) in trading—wholesale and 19.3% (52) in manufacturing. Regarding employee number, most participants 51.3% (138) were from companies having 51–200 employees, 32.3% (87) were from companies having more than 200 employees and 16.4% (44) were from companies having 1–50 employees.

3.2. Measures

The questionnaire was divided into four sections. The first section was regarding demographic information of the participants such as country, gender, companies operating area, employee, etc. The questions about participants’ perceptions of agile leadership at workplace were contained in section two. Agile leadership scale was developed by Akkaya, Kayalıdere, Aktaş and Karğın [71]. The third section is about interpersonal trust. This scale was developed by Mayer, Davis and Schoorman [49]. The last section is about participants’ perceptions of team effectiveness. The scale was adopted from Lurey and Raisinghani [72]. To measure the items of corresponding variables, a standardized five-point Likert scale was used to organize the scale ranging from 1 (Strongly Disagree) to 5 (Strongly Agree).

3.3. Analytical Method

By using SPSS, demographics, descriptive statistics and test of normality were determined. Smart PLS version 3.0 was used for confirmatory factor analysis, internal accuracy and validity estimates, hypothesis checking and mediation testing. Depending on different factors, we applied the PLS-SEM method to evaluate our hypotheses. Fornell and Larcker [73] claim that PLS avoids many restrictive assumptions underpinning maximum likelihood techniques and protects against inaccurate solutions and factor indeterminacy. PLS-SEM has no distributional assumptions on the inDISators or error terms [74], and PLS can handle both reflecting and formative constructs [75]. PLS is a latent variable modeling approach that includes many dependent constructs and explicitly identifies measurement error. Moreover, unlike covariance-based SEM techniques, PLS is unaffected by sample size constraints and is appropriate for any sample size greater than thirty [73,75]. Our sample consists of 269 people (n = 269). Thus, we have a sample that requires PLS-SEM.
This study was designed to utilize quantitative method approach to determine the mediation effect of interpersonal trust on the relationship between agile leadership and team effectiveness. SmartPLS was used for the examination of causal relationships among variables. The hypothesis model is presented in Figure 1.

4. Data Analysis and Results

Before analyzing the data, it is necessary to check some statistical values for the normal distribution of data. For conducting parametric tests such as Anova, Regression and Structural Equation Model, the distribution of data should be normal. Skewness and Kurtosis values must be between +1 and −1 [76].
As seen in Table 1, Skewness and Kurtosis values are between +1 and −1. Therefore, we apply the parametric analyses.
We firstly apply correlation analysis in order to see the relationship among variables in the research model. The result is presented in Table 2. When checking Table 2, it is seen that there is a high correlation among variables.
The composite scale reliability (CR), Cronbach’s alpha and average variance extracted (AVE) were used to assess reliability. For all first order constructs, PLS-based CR is above the threshold value of 0.70, Cronbach’s alpha exceeds the threshold value of 0.70 and AVE exceeds the threshold value of 0.50. In addition, we assessed convergent validity by looking at the standardized loadings of the measures on their respective constructs, and we discovered that all of them exceed 0.60.
Table 2 presents the correlation between all eight variables, demonstrating discriminant validity. AVE for each dimension should be predicted to be higher than the squared correlation between components to completely meet the standards for discriminant validity [73]. None of the constructs’ inter-correlations surpassed the square root of the AVE of the constructs in the model (see Table 2). Furthermore, we assessed convergent validity by examining the standardized loadings of the measures on their respective constructs, and we discovered that all of the measures have standardized loadings greater than 0.60. (See Appendix A).
Moreover, as a second order variable, AL was estimated through a secondary factor analysis yielding five latent constructs: team collaboration, competency, flexibility, quickness and result-oriented. Figure 2 and Table 3 show the standardized regression loadings of those constructs.
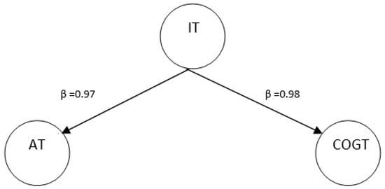
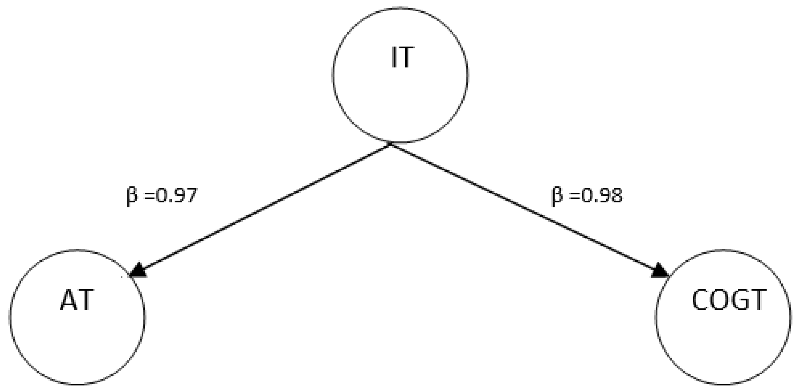
Moreover, T was estimated through a secondary factor analysis yielding two latent constructs: affect-based trust and cognition-based trust. Figure 3 and Table 4 show the standardized regression loadings of those constructs.

Evaluating the Structural Model and Testing the Study Hypotheses

The PLS (Partial Least Squares) approach [77] and the bootstrapping re-sampling method were used by computing the SmartPLS 3.0 software program to estimate the indirect effects and main effects and to test the hypothesis and predictive power of our proposed model (see Figure 1). T-statistics were estimated for all coefficients, based on their stability across the sub-samples, to define the links that were statistically significant. The path coefficients and their associated t-values showed the direction and impact of each hypothesized relationship.
The Preacher and Hayes [78] technique was used for testing the indirect effects among variables. The mechanism of the mediation process is as follows: Y is a variable affecting as a mediator if X affects Y, X affects Z, and Y significantly affects Z when controlling for X, and the effects of X on Z reduce significantly when Y is placed in the model simultaneously with X as an interpreter of Z [78]. Table 5 shows the results of hypotheses, including paths, betas and significance levels. Regarding the direct effects of AL, the results demonstrated that AL was not significantly associated with TE (β = 0.07; p > 0.05), and H1 is not supported. However, the findings provide empirical evidence in support of a direct relationship between AL and T; hence, H2 is supported (β = 0.96; p < 0.01). Moreover, the results showed that T was significantly and positively associated with TE (β = 0.81; p < 0.01), fully supporting H3.
Moreover, we performed mediation analysis to assess the mediating role of T on the relationship between AL and TE. With the inclusion of mediating variable T, the impact of AL on TE (β = 0.07; p > 0.05) became insignificant. However, the indirect effect of AL on TE (β = 0.75; p < 0.01) was significant. These findings indicate that the relationship between AL and TE is fully mediated by T, supporting H4 (Table 6 and Figure 4).
Various quality scores, such as the coefficient of determination (R2), Q predictive validity (Q2) and SRMR [79,80], are used to verify the PLS-SEM technique. The endogenous constructs’ R2 values are used to assess model fit and determine how well data points match a line or curve [79,80]. According to Chin [79], R2 levels can be classified as small (0.02 ≤ R2 < 0.13), medium (0.13 ≤ R2 < 0.26) or large (0.26 ≤ R2). The endogenous constructs R2 statistic values were utilized to test model fit [79,80]. Interpersonal trust (R2 = 0.86) and team effectiveness (R2 = 0.76) both have large effect sizes. All of our endogenous constructs’ Q preDIStive validity were similarly satisfactory. This result indicates that the models’ preDIStors can explain the variation in the dependent variable. Moreover, SRMR (standardized root mean squared residual) should be equal to or less than 0.08 [81], and Table 7 indicates that SRME for our model is 0.069, which meets this criterion.

5. Discussion and Conclusions

This study examines the mediated effect of trust on the relationship between agile female leadership and team effectiveness. A full mediation effect of interpersonal trust on the relationship of agile female leadership and effectiveness is confirmed. It demonstrates that female agile leadership has high effectiveness and leads to the effective performance of managed teams. Previous research into team leadership and performance has included transformational leadership [82]. Current research has shown that shared leadership has an impact on team effectiveness [83,84]. The role of women’s agile leadership has been examined only in relation to the effectiveness of the project [85]. Our study confirms that interpersonal trust plays a very important role in the effective agile leadership of women, similar to charismatic leadership [61]. It can therefore be concluded that a lack of trust leads to ineffective leadership [54,55]. Agile leadership in the company promotes building teams based on trust [52]. As in previous studies, we confirm that trust in a leader has an impact on team effectiveness [66,67]. Trust in an agile leader in particular allows team members to flexibly respond to new challenges and achieve team goals, regardless of the individual benefits of the employee. We affirm that interpersonal trust is the prerequisite for effective agile woman leadership in achieving team results.
This study has several important implications for management theory and practice.
Firstly, the findings support the hypothesis that women’s agile leadership does not positively impact team effectiveness. This provides important guidance for managers building agile organizations through interpersonal trust. Therefore, it is important for an organization to build a culture of trust among team members [86].
Secondly, this research indicates that trust is a key element that explains the relationship of women’s agile leadership with team effectiveness. This is consistent with Etikan et al.’s [69] notion that trust in a leader influences the effectiveness of the leader’s management and, consequently, team performance. Thus, these findings suggest that effectiveness based on agile management by women leaders is embedded in interpersonal trust. The implications of this study emphasize that interpersonal trust underlies effective leadership of agile teams. Hence, various management tools that support building trust in supervisors should also be leveraged. This guides the team and helps to support each other, all of which helps to build trust [87]. Our findings provided that agile female managers can increase team effectiveness with trust. Managers can improve their firm’s performance by creating positive trust among employees because it is critical for a manager to enable the team to self-manage, make their own decisions and assist them in any way possible in order to help the team create connections with one another, potentially leading to an increase in trust, better team spirit and higher team performance [88]. People are crucial in an agile team, and they must be able to collaborate, form positive connections and trust one another [86,89,90].
Thirdly, the main challenge of modern organizations is to adapt to changing economic and social conditions [91]. Various managerial solutions to support organizational agility, such as technology [92], minimization of plans [54] or organizational culture and organizational learning [93,94], are indicated. Our research indicates that women’s agile leadership is the answer to the problems of contemporary organizations. Effective adaptation of organizations to the turbulent changes taking place based on agile women’s leadership may contribute to effective company performance. This is a valuable recommendation for policymakers in organizations to promote women in senior management positions.
This study concludes that there is a positive statistically significant relationship between agile women leadership and team effectiveness through interpersonal trust. Therefore, it can be assumed that trust is a driving force that contributes to effective work outcomes in organizations. Therefore, the results recommend fostering a climate of trust in teams by establishing positive relationships within both competence, benevolence and integrity of leaders toward subordinates. Fostering interpersonal vertical trust contributes to effective teamwork.
Furthermore, research indicates that business practitioners should be mindful of the effectiveness of agile female leadership in managing teams and therefore should promote female leadership promotions.
Finally, contemporary organizations in both the United States [95] and Europe [24] have an underrepresentation of women in senior management positions. These studies clearly imply that this can be a barrier for organizations to effectively adapt to change. Indeed, it is through women’s agile leadership that it is possible to adapt to unexpected changes and lead organizations effectively. This research identified empirical evidence pointing to a mechanism that explains the positive relationship of women’s agile leadership with team effectiveness based on interpersonal trust in leaders. Therefore, managers should promote the career advancement of women into leadership positions. It is important to remember that team effectiveness largely depends on the leader. Agile women’s leadership is important and, as such, should be encouraged at all levels of the organization. This study highlights that women’s agile leadership, based on interpersonal trust, is valuable leverage for the functioning of contemporary organizations. The article has implications not only for managers but also for universities. Universities should not only educate women future leaders but also develop their social competencies that will help in trust-based relationships at work.

6. Limitation and Direction of Future Research

Despite the novelty of the research topic, the authors acknowledge the existence of limitations of this study. These limitations relate to the quantitative analysis of respondents’ perceptions of the issues under study. Additionally, limiting the research sample to only two countries represents a constriction of the results; therefore, it is difficult to suggest generalizability in this study. Further research directions should include an analysis of the relationship of women’s leadership to team effectiveness in other countries to enable better generalization of the findings, an in-depth analysis of respondents’ perceptions based on qualitative tools as well as an analysis of specific instruments fostering the formation of trust in women agile leaders. Random data were collected mainly from companies in the study. Also, this study focused on cross-sectional data. Future studies can increase the sample size to obtain more diverse responses. We propose to develop more in-depth knowledge through longitudinal studies and to explore the relationships between structures for future studies. Further studies may explore the model’s multiple relationships between different hierarchical levels such as managers, middle managers and workers. Different cultural contexts and different approaches to processing data can diversify future studies.

References

Author Contributions

Conceptualization, B.A.; Funding acquisition, A.B.; Investigation, B.A. and A.B.; Methodology, B.A. and A.B.; Project administration, B.A.; Supervision, B.A. and A.B.; Writing—review & editing, A.B. All authors have read and agreed to the published version of the manuscript.

Funding

This research is supported by the Bialystok University of Technology—grant number WZ/WIZ-INZ/1/2020.

Institutional Review Board Statement

Not applicable.

Informed Consent Statement

Informed consent was obtained from all subjects involved in the study.

Data Availability Statement

Data are available on request from the corresponding author.

Conflicts of Interest

The authors declare no conflict of interest.

Appendix A

Table A1. Outer Loadings.
Table A1. Outer Loadings.
ATCCOGTFQROTCTE
A10.836
A20.816
A30.823
A40.836
A50.836
C1 0.827
C2 0.839
C3 0.783
C4 0.839
C5 0.748
COG1 0.835
COG2 0.777
COG3 0.835
COG4 0.842
COG5 0.757
COG6 0.803
F1 0.810
F2 0.871
F3 0.816
F4 0.786
F5 0.745
Q1 0.876
Q2 0.767
Q3 0.855
RO1 0.861
RO2 0.894
RO3 0.843
RO4 0.822
RO5 0.833
RO6 0.867
RO7 0.789
RO8 0.812
TC1 0.853
TC2 0.854
TC3 0.810
TC4 0.834
TC5 0.817
TC6 0.809
TC7 0.834
TC8 0.814
TE1 0.866
TE2 0.858
TE3 0.868
TE4 0.827
TE5 0.845
TE6 0.858

References

  1. Denning, S. Succeeding in an increasingly Agile world. Strategy Leadersh. 2018, 46, 3–9. [Google Scholar] [CrossRef]
  2. Nelson, J.A. Here Be Paradox: How Global Business Leaders Navigate Change. In Advances in Global Leadership; Osland, J.S., Mendenhall, M.E., Li, M., Eds.; Emerald Publishing Limited: Bingley, UK, 2018; Volume 11, pp. 3–30. [Google Scholar] [CrossRef]
  3. Onyeneke, G.B.; Abe, T. The effect of change leadership on employee attitudinal support for planned organizational change. J. Organ. Chang. Manag. 2021, 34, 403–415. [Google Scholar] [CrossRef]
  4. Jang, E. Sustainable Workplace: Impact of Authentic Leadership on Change-Oriented Organizational Citizenship Behavior and the Moderating Role of Perceived Employees’ Calling. Sustainability 2021, 13, 8542. [Google Scholar] [CrossRef]
  5. Salas, E.; Goodwin, G.F.; Burke, S. Team Effectiveness. In Complex Organizations: Cross-Disciplinary Perspectives and Approaches; SIOP Organizational Frontiers Series; Taylor & Francis Group: Abingdon, UK, 2013. [Google Scholar]
  6. Vincent-Höper, S.; Stein, M. The Leader Support for Innovation Questionnaire (LSIQ), Development and validation of a measure for assessing leader support for innovation. Leadersh. Organ. Dev. J. 2019, 40, 898–915. [Google Scholar] [CrossRef]
  7. Meschitti, V. The power of positioning: How leadership work unfolds in team interactions. Leadership 2019, 15, 621–643. [Google Scholar] [CrossRef] [Green Version]
  8. Bass, B.M. Leadership and Performance beyond Expectations; Free Press: New York, NY, USA, 1985. [Google Scholar]
  9. Emerson, R.M. Social exchange theory. Annu. Rev. Sociol 1976, 2, 335–362. [Google Scholar] [CrossRef]
  10. Cropanzano, R.; Mitchell, M.S. Social Exchange Theory: An Interdisciplinary Review. J. Manag. 2005, 31, 874–900. [Google Scholar] [CrossRef] [Green Version]
  11. Amor, A.M.; Vazquez, J.P.A.; Faina, J.A. Transformational leadership and work engagement: Exploring the mediating role of structural empowerment. Eur. Manag. J. 2020, 38, 169–178. [Google Scholar] [CrossRef]
  12. Attar, M.; Abdul-Kareem, A. The Role of Agile Leadership in Organisational Agility. In Agile Business Leadership Methods for Industry 4.0; Akkaya, B., Ed.; Emerald Publishing Limited: Bingley, UK, 2020; pp. 171–191. [Google Scholar] [CrossRef]
  13. Gren, L.; Lindman, M. What an Agile Leader Does: The Group Dynamics Perspective. In Agile Processes in Software Engineering and Extreme Programming; Stray, V., Hoda, R., Paasivaara, M., Kruchten, P., Eds.; Springer International Publishing: Berlin/Heidelberg, Germany, 2020; Volume 383, pp. 178–194. [Google Scholar] [CrossRef]
  14. Hategan, V.-P.; Hategan, C.-D. Sustainable Leadership: Philosophical and Practical Approach in Organizations. Sustainability 2021, 13, 7918. [Google Scholar] [CrossRef]
  15. Naslund, D.; Kale, R. Is agile the latest management fad? A review of success factors of agile transformations. Int. J. Qual. Serv. Sci. 2020, 12, 489–504. [Google Scholar] [CrossRef]
  16. Madsen, D.Ø. The Evolutionary Trajectory of the Agile Concept Viewed from a Management Fashion Perspective. Soc. Sci. 2020, 9, 69. [Google Scholar] [CrossRef]
  17. Ahmed, W.; Huma, S. Impact of lean and agile strategies on supply chain risk management. Total Qual. Manag. Bus. Excell. 2021, 32, 33–56. [Google Scholar] [CrossRef]
  18. Joiner, B. Leadership Agility for Organizational Agility. J. Creat. Value 2019, 5, 139–149. [Google Scholar] [CrossRef]
  19. Gupta, S.; Kumar, S.; Kamboj, S.; Bhushan, B.; Luo, Z. Impact of IS agility and HR systems on job satisfaction: An organizational information processing theory perspective. J. Knowl. Manag. 2019, 23, 1782–1805. [Google Scholar] [CrossRef]
  20. Denning, S. How to make the whole organization “Agile”. Strategy Leadersh. 2016, 44, 10–17. [Google Scholar] [CrossRef]
  21. Almeida, F.; Simões, J. Leadership Challenges in Agile Environments. Int. J. Inf. Technol. Proj. Manag. 2021, 12, 30–44. [Google Scholar] [CrossRef]
  22. Tortorella, G.L.; Fettermann, D.; Fogliatto, F.S.; Kumar, M.; Jurburg, D. Analysing the influence of organisational culture and leadership styles on the implementation of lean manufacturing. Prod. Plan. Control 2020, 32, 1–13. [Google Scholar] [CrossRef]
  23. Paustian-Underdahl, S.C.; Walker, L.S.; Woehr, D.J. Gender and perceptions of leadership effectiveness: A meta-analysis of contextual moderators. J. Appl. Psychol. 2014, 99, 1129–1145. [Google Scholar] [CrossRef]
  24. Only 1 Manager Out of 3 in the EU Is a Woman. Available online: https://ec.europa.eu/eurostat/documents/2995521/10474926/3-06032020-AP-EN.pdf/763901be-81b7-ecd6-534e-8a2b83e82934 (accessed on 12 July 2021).
  25. Stempel, C.R.; Rigotti, T.; Mohr, G. Think transformational leadership—Think female? Leadership 2015, 11, 259–280. [Google Scholar] [CrossRef]
  26. Klenke, K. Organizations as Context for Women’s Leadership. In Women in Leadership, 2nd ed.; Emerald Publishing Limited: Bingley, UK, 2017; pp. 117–160. [Google Scholar] [CrossRef]
  27. Bligh, M.C.; Kohles, J.C.; Yan, Q. Leading and learning to change: The role of leadership style and mindset in error learning and organizational change. J. Chang. Manag. 2018, 18, 116–141. [Google Scholar] [CrossRef]
  28. McKenzie, J.; Aitken, P. Learning to lead the knowledgeable organization: Developing leadership agility. Strateg. HR Rev. 2012, 11, 329–334. [Google Scholar] [CrossRef]
  29. Breakspear, S. Embracing Agile Leadership for Learning: How leaders can create impact despite growing complexity. Aust. Educ. Lead. 2017, 39, 68–71. [Google Scholar] [CrossRef]
  30. Hayward, S. The Agile Leader: How to Create an Agile Business in the Digital Age; Kogan Page Publishers: London, UK, 2021. [Google Scholar]
  31. Dingsøyr, T.; Dybå, T. Team effectiveness in software development: Human and cooperative aspects in team effectiveness models and priorities for future studies. In Proceedings of the 2012 5th International Workshop on Co-Operative and Human Aspects of Software Engineering (Chase), Zurich, Switzerland, 2 June 2012; IEEE: Piscataway, NJ, USA, 2012; pp. 27–29. [Google Scholar] [CrossRef]
  32. Gipson, A.N.; Pfaff, D.L.; Mendelsohn, D.B.; Catenacci, L.T.; Burke, W.W. Women and leadership: Selection, development, leadership style, and performance. J. Appl. Behav. Sci. 2017, 53, 32–65. [Google Scholar] [CrossRef]
  33. Hoobler, J.M.; Masterson, C.R.; Nkomo, S.M.; Michel, E.J. The business case for women leaders: Meta-analysis, research critique, and path forward. J. Manag. 2018, 44, 2473–2499. [Google Scholar] [CrossRef] [Green Version]
  34. Offermann, L.R.; Foley, K. Is There a Female Leadership Advantage? In Oxford Research Encyclopedia of Business and Management; Project: Women Leadership; Oxford University Press: Oxford, UK, 2020. [Google Scholar] [CrossRef]
  35. Dogaru-Tulică, A.L. Women Leadership: Characteristics and Perceptions. Chall. Knowl. Soc. 2019, 1182–1189. Available online: https://www.proquest.com/openview/ce3e67fa4c6b5c9056f536812bc1c699/1?pq-origsite=gscholar&cbl=2036059 (accessed on 26 March 2022).
  36. Hussain, S.; Rizwan, M.; Nawaz, M.S.; Hameed, W. Impact of effective training program, job satisfaction and reward management system on the employee motivation with mediating role of employee commitment. J. Public Adm. Gov. 2013, 3, 278–293. [Google Scholar] [CrossRef] [Green Version]
  37. Dybå, T.; Dingsøyr, T. Empirical studies of agile software development: A systematic review. Inf. Softw. Technol. 2008, 50, 833–859. [Google Scholar] [CrossRef]
  38. Avolio, B.J.; Gardner, W.L. Authentic leadership development: Getting to the root of positive forms of leadership. Leadersh. Q. 2005, 16, 315–338. [Google Scholar] [CrossRef]
  39. Astinah, A.; Idris, R.; Agustang, A. Agile Leadership and Divorce Education: Study on Women’s Perception. Humanities 2020, 8, 323–330. [Google Scholar] [CrossRef]
  40. De Meuse, K.P.; Dai, G.; Hallenbeck, G.S. Learning agility: A construct whose time has come. Consult. Psychol. J. Pract. Res. 2010, 62, 119–130. [Google Scholar] [CrossRef] [Green Version]
  41. De Nmark, F.L. Women, leadership, and empowerment. Psychol. Women Q. 1993, 17, 343–356. [Google Scholar] [CrossRef]
  42. Glass, C.; Cook, A.; Ingersoll, A.R. Do women leaders promote sustainability? Analyzing the effect of corporate governance composition on environmental performance. Bus. Strategy Environ. 2016, 25, 495–511. [Google Scholar] [CrossRef]
  43. Randsley de Moura, G.; Leicht, C.; Leite, A.C.; Crisp, R.J.; Gocłowska, M.A. Leadership diversity: Effects of counterstereotypical thinking on the support for women leaders under uncertainty. J. Soc. Issues 2018, 74, 165–183. [Google Scholar] [CrossRef] [Green Version]
  44. Jermsittiparsert, K. Factors of Successful Women Leadership in Asian: Moderating Role of Political Differences and Organization Culture. In Agile Business Leadership Methods for Industry 4.0; Akkaya, B., Ed.; Emerald Publishing Limited: Bingley, UK, 2020; pp. 259–284. [Google Scholar] [CrossRef]
  45. Sztompka, P. Trust: A Sociological Theory; Cambridge University Press: Cambridge, UK, 1999. [Google Scholar]
  46. Bulińska-Stangrecka, H.; Bagieńska, A. Investigating the Links of Interpersonal Trust in Telecommunications Companies. Sustainability 2018, 10, 2555. [Google Scholar] [CrossRef] [Green Version]
  47. Gambetta, D. Can We Trust Them? In Trust: Making and Breaking Cooperative Relations; Gambetta, D., Ed.; Blackwell: Oxford, UK, 1990; pp. 213–238. [Google Scholar]
  48. Cook, J.; Wall, T. New work attitude measures of trust, organizational commitment and personal need non-fulfilment. J. Occup. Organ. Psychol. 1980, 53, 39–52. [Google Scholar] [CrossRef]
  49. Mayer, R.C.; Davis, J.H.; Schoorman, F.D. An Integrative Model of Organizational Trust. Acad. Manag. Rev. 1995, 20, 709–734. [Google Scholar] [CrossRef]
  50. Hasche, N.; Höglund, L.; Mårtensson, M. Intra-organizational trust in public organizations–the study of interpersonal trust in both vertical and horizontal relationships from a bidirectional perspective. Public Manag. Rev. 2021, 23, 1768–1788. [Google Scholar] [CrossRef]
  51. Salanova, M.; Acosta-Antognoni, H.; Llorens, S.; Le Blanc, P. We Trust You! A Multilevel-Multireferent Model Based on Organizational Trust to Explain Performance. Int. J. Environ. Res. Public Health 2021, 18, 4241. [Google Scholar] [CrossRef]
  52. Maximini, D. Agile Leadership in Practice: Applying Management 3.0; Books on Demand: Stuttgarrt, Germany, 2018; ISBN 3752822716. Available online: https://books.google.com.hk/books?hl=zh-CN&lr=&id=5QdpDwAAQBAJ&oi=fnd&pg=PR5&dq=Agile+Leadership+in+Practice:+Applying+Management+3.0&ots=-UBKpPJphF&sig=T3WzSh9OjSjJiNZ3V_shykWwJ7M&redir_esc=y#v=onepage&q=Agile%20Leadership%20in%20Practice%3A%20Applying%20Management%203.0&f=false (accessed on 26 March 2022).
  53. Parker, D. Service Organisation Management: The Total Experience; Edward Elgar Publishing: Cheltenham, MA, USA, 2012. [Google Scholar]
  54. Parker, D.W.; Holesgrove, M.; Pathak, R. Improving productivity with self-organised teams and agile leadership. Int. J. Product. Perform. Manag. 2015, 64, 112–128. [Google Scholar] [CrossRef] [Green Version]
  55. Fulmer, C.A.; Ostroff, C. Trust in direct leaders and top leaders: A trickle-up model. J. Appl. Psychol. 2017, 102, 648–657. [Google Scholar] [CrossRef]
  56. Shah, M.; Maitlo, A.; Jones, P.; Yusuf, Y. An investigation into agile learning processes and knowledge sharing practices to prevent identity theft in the online retail organisations. J. Knowl. Manag. 2019, 23, 1857–1884. [Google Scholar] [CrossRef]
  57. Cabrilo, S.; Dahms, S.; Burgos Mutuc, E.; Marlin, J. The role of IT practices in facilitating relational and trust capital for superior innovation performance: The case of Taiwanese companies. J. Intellect. Cap. 2020, 21, 753–779. [Google Scholar] [CrossRef]
  58. McAllister, D.J. Affect and cognition-based trust as foundations for interpersonal cooperation in organizations. Acad. Manag. J. 1995, 38, 24–59. [Google Scholar] [CrossRef] [Green Version]
  59. Schoorman, F.D.; Mayer, R.C.; Davis, J.H. An Integrative Model of Organizational Trust: Past, Present, and Future. Acad. Manag. Rev. 2007, 32, 344–354. [Google Scholar] [CrossRef] [Green Version]
  60. Moreno, A.; Díez, F.; Ferreira, L. Business Leadership from a Gender Perspective and Its Impact on the Work Environment and Employee’s Well-Being in Companies in the Basque Country. Int. J. Environ. Res. Public Health 2022, 19, 30. [Google Scholar] [CrossRef]
  61. Nohe, C.; Michaelis, B. Team OCB, leader charisma, and organizational change: A multilevel study. Leadersh. Q. 2016, 27, 883–895. [Google Scholar] [CrossRef]
  62. Post, C.; Latu, I.M.; Belkin, L.Y. A female leadership trust advantage in times of crisis: Under what conditions? Psychol. Women Q. 2019, 43, 215–231. [Google Scholar] [CrossRef] [Green Version]
  63. Willis, H.; Smith, J.C.; Devine, D. Care to trust? Gender and trust in leaders during the Coronavirus pandemic. J. Elect. Public Opin. Parties 2021, 31 (Suppl. 1), 232–244. [Google Scholar] [CrossRef]
  64. Santa, R.; MacDonald, J.B.; Ferrer, M. The role of trust in e-Government effectiveness, operational effectiveness and user satisfaction: Lessons from Saudi Arabia in e-G2B. Gov. Inf. Q. 2019, 36, 39–50. [Google Scholar] [CrossRef]
  65. Alsharo, M.; Gregg, D.; Ramirez, R. Virtual team effectiveness: The role of knowledge sharing and trust. Inf. Manag. 2017, 54, 479–490. [Google Scholar] [CrossRef]
  66. Bulińska-Stangrecka, H.; Bagieńska, A. HR Practices for Supporting Interpersonal Trust and Its Consequences for Team Collaboration and Innovation. Sustainability 2019, 11, 4423. [Google Scholar] [CrossRef] [Green Version]
  67. Breevaart, K.; Zacher, H. Main and interactive effects of weekly transformational and laissez-faire leadership on followers’ trust in the leader and leader effectiveness. J. Occup. Organ. Psychol. 2019, 92, 384–409. [Google Scholar] [CrossRef] [Green Version]
  68. Gkorezis, P.; Bellou, V. The relationship between leader self-deprecating humor and perceived effectiveness: Trust in leader as a mediator. Leadersh. Organ. Dev. J. 2016, 37, 882–898. [Google Scholar] [CrossRef]
  69. Etikan, I.; Musa, S.A.; Alkassim, R.S. Comparison of Convenience Sampling and Purposive Sampling. Am. J. Theor. Appl. Stat. 2016, 5, 1–4. [Google Scholar] [CrossRef] [Green Version]
  70. Comrey, A.L.; Lee, H.B. (Eds.) Interpretation and Application of Factor Analytic Results. In A First Course in Factor Analysis; Lawrence Eribaum Associates: Hillsdale, NJ, USA, 1992; p. 2. [Google Scholar]
  71. Akkaya, B.; Kayalıdere, U.K.; Aktaş, R.; Karğın, S. Agile Leadership Approach and a Scale Development Study to Measure Agile Leader Behaviors. J. Bus. Stud. 2020, 12, 1605–1621. [Google Scholar] [CrossRef]
  72. Lurey, J.S.; Raisinghani, M.S. An empirical study of best practices in virtual teams. Inf. Manag. 2001, 38, 523–544. [Google Scholar] [CrossRef]
  73. Fornell, C.; Larcker, D.F. Evaluating structural equation models with unobservable variables and measurement error. J. Mark. Res. 1981, 18, 39–50. [Google Scholar] [CrossRef]
  74. Hair, J.F.; Sarstedt, M.; Hopkins, L.; Kuppelwieser, V.G. Partial least squares structural equation modeling (PLS-SEM). Eur. Bus. Rev. 2014, 26, 106–121. [Google Scholar] [CrossRef]
  75. Hair, E.; Halle, T.; Terry-Humen, E.; Lavelle, B.; Calkins, J. Children’s school readiness in the ECLS-K: Predictions to academic, health, and social outcomes in first grade. Early Child. Res. Q. 2006, 21, 431–454. [Google Scholar] [CrossRef]
  76. Gliem, J.A.; Gliem, R.R. Calculating, Interpreting, and Reporting Cronbach’s Alpha Reliability Coefficient for Likert-Type Scales. In Proceedings of the Midwest Research to Practice Conference in Adult, Continuing, and Community Education, Columbus, OH, USA, 8–10 October 2003; pp. 82–88. [Google Scholar]
  77. Chin, W.W.; Marcolin, B.L.; Newsted, P.R. A partial least squares latent variable modeling approach for measuring interaction effects: Results from a Monte Carlo simulation study and an electronic-mail emotion/adoption study. Inf. Syst. Res. 2003, 14, 189–217. [Google Scholar] [CrossRef] [Green Version]
  78. Preacher, K.J.; Hayes, A.F. Asymptotic and resampling strategies for assessing and comparing indirect effects in multiple mediator models. Behav. Res. Methods 2008, 40, 879–891. [Google Scholar] [CrossRef]
  79. Chin, W.W. How to Write Up and Report PLS Analyses. In Handbook of Partial Least Squares; Springer: Berlin/Heidelberg, Germany, 2010; pp. 655–690. [Google Scholar]
  80. Tenenhaus, M.; Vinzi, V.E.; Chatelin, Y.M.; Lauro, C. PLS path modeling. Comput. Stat. Data Anal. 2005, 48, 159–205. [Google Scholar] [CrossRef]
  81. Hu, L.T.; Bentler, P.M. Fit indices in covariance structure modeling: Sensitivity to underparameterized model misspecification. Psychol. Methods 1998, 3, 424–453. [Google Scholar] [CrossRef]
  82. Dionne, S.D.; Yammarino, F.J.; Atwater, L.E.; Spangler, W.D. Transformational leadership and team performance. J. Organ. Chang. Manag. 2004, 17, 177–193. [Google Scholar] [CrossRef]
  83. Wu, Q.; Cormican, K. Shared Leadership and Team Effectiveness: An Investigation of Whether and When in Engineering Design Teams. Front Psychol. 2021, 18, 569198. [Google Scholar] [CrossRef] [PubMed]
  84. Han, J.; Yoon, J.; Choi, W.; Hong, G. The effects of shared leadership on team performance. Leadersh. Organ. Dev. J. 2021, 42, 593–605. [Google Scholar] [CrossRef]
  85. Muhammad, U.; Nazir, T.; Muhammad, N.; Maqsoom, A.; Nawab, S.; Fatima, S.T.; Shafi, K.; Butt, F.S. Impact of agile management on project performance: Evidence from I.T sector of Pakistan. PLoS ONE 2021, 16, e0249311. [Google Scholar] [CrossRef]
  86. Nerur, S.; Mahapatra, R.; Mangalaraj, G. Challenges of migrating to agile methodologies. Commun. ACM 2005, 48, 72–78. [Google Scholar] [CrossRef]
  87. Bishop, J.W.; Scott, K.D.; Burroughs, S.M. Support, commitment, and employee outcomes in a team environment. J. Manag. 2000, 26, 1113–1132. [Google Scholar] [CrossRef]
  88. McHugh, O.; Conboy, K.; Lang, M. Using Agile Practices to Build Trust in an Agile Team: A Case Study. In Information Systems Development; Springer: New York, NY, USA, 2011; pp. 503–516. [Google Scholar]
  89. Açıkgöz, A.; Günsel, A.; Bayyurt, N.; Kuzey, C. Team climate, team cognition, team intuition, and software quality: The moderating role of project complexity. Group Decis. Negot. 2014, 23, 1145–1176. [Google Scholar] [CrossRef]
  90. Akgün, A.E.; Keskin, H.; Byrne, J.C.; Gunsel, A. Antecedents and results of emotional capability in software development project teams. J. Prod. Innov. Manag. 2011, 28, 957–973. [Google Scholar] [CrossRef]
  91. Al-Haddad, S.; Kotnour, T. Integrating the organizational change literature: A model for successful change. J. Organ. Chang. Manag. 2015, 28, 234–262. [Google Scholar] [CrossRef]
  92. Dhurkari, R.K. Information Technology and Organizational Change: Review of Theories and Application to a Case of Indian Railways. Manag. Labour Stud. 2017, 42, 135–151. [Google Scholar] [CrossRef]
  93. Alvesson, M.; Sveningsson, S. Changing Organizational Culture: Cultural Change Work in Progress, 2nd ed.; Routledge: London, UK, 2015. [Google Scholar] [CrossRef]
  94. Mert, G. Examınation of effect of organizational emotional memory on organizational learning and firm performance. Akad. Sos. Araştırmalar Derg. 2018, 6, 313–338. [Google Scholar]
  95. Klenke, K. Women in Leadership: Contextual Dynamics and Boundaries, 2nd ed.; Emerald Publishing Limited: Bingley, UK, 2017. [Google Scholar] [CrossRef]
Figure 1. Research Model.
Figure 1. Research Model.
Sustainability 14 04070 g001
Figure 2. Second Order Factor Analysis of Agile Leadership. Note: TC = Team Collaboration; C = Competency; F = Flexibility; Q = Quickness; RO = Result-Oriented.
Figure 2. Second Order Factor Analysis of Agile Leadership. Note: TC = Team Collaboration; C = Competency; F = Flexibility; Q = Quickness; RO = Result-Oriented.
Sustainability 14 04070 g002
Figure 3. Second Order Factor Analysis of Interpersonal Trust. Note: AT = Affect-based Trust; COGT = Cognition-based Trust.
Figure 3. Second Order Factor Analysis of Interpersonal Trust. Note: AT = Affect-based Trust; COGT = Cognition-based Trust.
Sustainability 14 04070 g003
Figure 4. Structure Model.
Figure 4. Structure Model.
Sustainability 14 04070 g004
Table 1. Test for Normality.
Table 1. Test for Normality.
MinimumMaximumMeanStd. DeviationSkewnessKurtosis
StatisticStatisticStatisticStatisticStatisticStd. ErrorStatisticStd. Error
Agile leader2.595.004.07040.70763−0.3900.149−0.2920.296
Interpersonal trust2.555.004.14230.71405−0.5900.149−0.8820.296
Team effectiveness2.175.004.23300.73840−0.7670.149−0.4320.296
N = 269.
Table 2. Validity, Correlations and Descriptive Statistics.
Table 2. Validity, Correlations and Descriptive Statistics.
Variables12345678
AT0.829
C0.6340.808
COGT0.6910.6060.809
F0.5080.5670.5900.807
Q0.5230.6550.5680.6130.834
RO0.6420.5900.6090.5760.6550.841
TC0.6730.7550.7690.6800.6150.7020.828
TE0.7530.6880.6450.6920.5850.6970.6410.854
CR0.9170.9040.9190.9030.8720.9510.9460.943
AVE0.6880.6530.6540.6510.6950.7070.6860.729
α0.8860.8670.8940.8660.7790.9410.9350.926
Note: AT = Affect-based Trust; C = Competency; COGT = Cognition-based Trust; F = Flexibility; Q = Quickness; RO = Result-Oriented; TC = Team Collaboration; TE = Team Effectiveness; CR = Composite Reliability; AVE = Average Variance Extracted; α = Cronbach’s Alpha.
Table 3. Agile Leadership Second Order.
Table 3. Agile Leadership Second Order.
Al Second Order
Path Coefficient (β)p Value
AL SO -> C0.9390.000
AL SO -> F0.9380.000
AL SO -> Q0.8980.000
AL SO -> RO0.9690.000
AL SO -> TC0.9580.000
Table 4. Trust Second Order.
Table 4. Trust Second Order.
IT Second Order
Path Coefficient (β)p Value
T SO -> AT0.9680.000
T SO -> COGT0.9770.000
Table 5. Results of Hypothesis.
Table 5. Results of Hypothesis.
RelationshipsPath Coefficient (β)Sample Mean (M)Standard Deviation (STDEV)T Statistics (|O/STDEV|)HypothesesResults
AL SOTE0.0730.9580.006161.457H1Not Supported
AL SOT SO0.926 **0.0740.1000.728H2Supported
T SOTE0.805 **0.8060.0958.464H3Supported
Note: AL SO = Agile Leader Second Order, TE = Team Effectiveness, T SO = Interpersonal Trust Second Order. ** p < 0.01.
Table 6. Results for the mediating analyses.
Table 6. Results for the mediating analyses.
Total EffectDirect EffectIndirect Effect
RelationshipPath Coefficient (β)RelationshipPath Coefficient (β)RelationshipPath Coefficient (β)BI [2.5%; 97.5%]
AL SO→TE0.818 **AL SO→TE0.073AL SO→T SO→TE0.745 **0.5740.923
Note: AL SO = Agile Leader Second Order, TE = Team Effectiveness, T SO = Interpersonal Trust Second Order. ** p < 0.01.
Table 7. Structural Model.
Table 7. Structural Model.
Endogenous ConstructsR SquareQ² (=1 − SSE/SSO)SRMR
T SO0.8570.5360.69
TE0.7620.550
Note: TE = Team Effectiveness, T SO = Interpersonal Trust Second Order.
Publisher’s Note: MDPI stays neutral with regard to jurisdictional claims in published maps and institutional affiliations.

Share and Cite

MDPI and ACS Style

Akkaya, B.; Bagieńska, A. The Role of Agile Women Leadership in Achieving Team Effectiveness through Interpersonal Trust for Business Agility. Sustainability 2022, 14, 4070. https://doi.org/10.3390/su14074070

AMA Style

Akkaya B, Bagieńska A. The Role of Agile Women Leadership in Achieving Team Effectiveness through Interpersonal Trust for Business Agility. Sustainability. 2022; 14(7):4070. https://doi.org/10.3390/su14074070

Chicago/Turabian Style

Akkaya, Bulent, and Anna Bagieńska. 2022. "The Role of Agile Women Leadership in Achieving Team Effectiveness through Interpersonal Trust for Business Agility" Sustainability 14, no. 7: 4070. https://doi.org/10.3390/su14074070

APA Style

Akkaya, B., & Bagieńska, A. (2022). The Role of Agile Women Leadership in Achieving Team Effectiveness through Interpersonal Trust for Business Agility. Sustainability, 14(7), 4070. https://doi.org/10.3390/su14074070

Note that from the first issue of 2016, this journal uses article numbers instead of page numbers. See further details here.

Article Metrics

Back to TopTop