Next Article in Journal
CO2 Emissions Induced by Vehicles Cruising for Empty Parking Spaces in an Open Parking Lot
Previous Article in Journal
Livestock Innovations, Social Norms, and Women’s Empowerment in the Global South
 
 
Font Type:
Arial Georgia Verdana
Font Size:
Aa Aa Aa
Line Spacing:
Column Width:
Background:
Article

The Relationship between Sustainability Reporting, E-Commerce, Firm Performance and Tax Avoidance with Organizational Culture as Moderating Variable in Small and Medium Enterprises in Palembang

1
Department of Accounting, Faculty of Economics, Universitas Sriwijaya, Indralaya 30862, Indonesia
2
Department of Accounting, Faculty of Economics and Business, Universitas Multi Data Palembang, Palembang 30113, Indonesia
*
Author to whom correspondence should be addressed.
Sustainability 2022, 14(7), 3738; https://doi.org/10.3390/su14073738
Submission received: 17 February 2022 / Revised: 8 March 2022 / Accepted: 15 March 2022 / Published: 22 March 2022

Abstract

This study aimed to identify the effect of e-commerce and sustainability reporting on tax avoidance and firm performance, as well as determining whether organizational culture acts as a moderating variable in small and medium enterprises in Palembang, South Sumatera, Indonesia. Agency theory and stakeholder theory were employed as a framework. The questionnaires were distributed online to the owners of small and medium enterprises in Palembang; a sample of 211 respondents completed the questionnaire. Partial least square structural equation model regression was used to test and analyze the hypotheses. The results show that sustainability reporting and e-commerce have a positive effect on tax avoidance, while tax avoidance has a positive effect on company performance. However, organizational culture does not act as moderating variable to strengthen the effect of tax avoidance on company performance.

1. Introduction

Previous research has carried out investigations related to sustainability reporting in small and medium-sized enterprises (SMEs); Borga et al. [1] studied sustainability reporting by SMEs in furniture companies in Italy in relation to the guidelines for preparing sustainability reporting [1]. Kocmanova et al. [2] investigated sustainability reporting by SMEs in the Czech Republic by focusing the discussion on the effect of the economic, social, and environmental performance of SMEs on sustainability. They investigated sustainability reporting in SMEs by looking at the characteristics of businesses [3]. On the other hand, Massa [4] conducted a case study involving the disclosure of sustainability reporting in small and medium enterprises in Italy. Similarly, Bos-Brouwers [5] conducted a sustainability reporting case study on a furniture business in the Netherlands that had low production costs and was eco-efficient. Sustainability reporting shows the company owners’ commitment to running a sustainable business. Mondal [6] also examined the sustainability reporting of 25 SMEs in India. Furthermore, Rodríguez-Gutiérrez [7] investigated the effect of sustainability reporting on the legitimacy and reputation of eight small and medium enterprises in Spain [7].
The previous research described above only focuses on investigating and discussing sustainability reporting in small medium enterprises (SMEs). The objective of this study was to empirically explore how sustainability reporting and e-commerce affect tax avoidance and firm performance, moderated by organizational culture, in Palembang, South Sumatera, Indonesia. This study not only focuses on sustainability reporting and e-commerce that affect tax avoidance but also on tax avoidance that affects company performance where organizational culture is a moderating factor. This study addresses the following research question: How do sustainability reporting and e-commerce affect tax avoidance and firm performance, and how does organizational culture moderate the effect of tax avoidance on firm performance?
Prior studies on sustainability reporting, e-commerce, tax avoidance and firm performance showed mixed and different results. From the previous studies, sustainability reporting has been found to have a positive impact on tax avoidance [8]. Corporate social responsibility has also been found to positively impact on tax avoidance [9,10,11,12,13,14,15,16,17,18,19,20,21]. However, sustainability reporting has also been found to have a negative effect on tax avoidance [22]. Sustainability reporting has also been shown to not have an effect on tax avoidance at all [23]. E-commerce and tax avoidance show that e-commerce has an effect on tax avoidance [24,25]. Some studies found e-commerce to have a negative effect on tax avoidance [26,27], while others found it to have a positive effect on tax avoidance [28,29]. Tax avoidance has been found to have a negative effect on company performance [30,31], and no effect on firm value [32]. Tax avoidance has also been found to have a positive effect on company performance [31,33,34]. Tax avoidance has also been found to have a positive effect on firm value [35,36,37], and a negative effect on firm value [38].
In Indonesia, companies listed on the Indonesia Stock Exchange are not obligated to disclose their sustainability reporting is similar, especially for SMEs. E-commerce refers to a purchase or transaction that occurs online, and tax avoidance occurs when a company minimizes the amount of tax that must be paid without violating tax laws. This study used organizational culture as a moderating variable for the effect of tax avoidance on firm performance. Thus, we studied the effect of sustainability reporting and e-commerce on firm performance through tax avoidance with organizational culture as the moderating variable for SMEs in Palembang, South Sumatera, Indonesia.
Our findings reveal that sustainability reporting and e-commerce positively and significantly affect tax avoidance in small and medium enterprises (SMEs) in Palembang. Furthermore, tax avoidance positively and significantly affects the firm performance, while organizational culture does not act as a moderating variable in the effect of tax avoidance on firm performance in SMEs in Palembang.
This study makes two important contributions to the academic literature. First, we used a questionnaire to collect primary data, while most of the previous studies related to sustainability reporting and also tax avoidance used secondary data for data collection for instance sustainability reporting [8,39] and tax avoidance [40,41,42,43,44,45]. This study uses strong data from primary data obtained from SME owners in Palembang as respondents in this study. The second contribution is that this research supports two theories, agency theory and stakeholder theory. This can be useful for academics who want to publish research on the same topic, as this study can increase knowledge related to sustainability reporting, e-commerce, tax avoidance and firm performance for SMEs.
The rest of this paper is organized as follows. The second section discusses the development of theories and hypotheses while presenting a review of the literature. The third section details the methodology, and the fourth section presents the results and analyses. The fifth discusses the results of this study. The last section presents our conclusions and discusses the study’s limitations before making suggestions for future research.

2. Literature Review

This study uses agency theory and stakeholder theory. These theories provide a useful framework for identifying the variables in this study, including sustainability reporting, e-commerce, tax avoidance, firm performance and organizational culture.

2.1. Agency Theory

This study uses agency theory, which is related to e-commerce, tax avoidance and organizational culture. Agency theory proposes that tax avoidance is closely related to corporate governance because of the implications of agency costs. In practice, the complexity and ambiguity of tax avoidance can protect managers who engage in various forms of managerial lease extraction, such as earnings manipulation and insider transactions that reduce after-tax cash flows [46]. In addition, agency theory postulates that opportunistic managers can reduce tax liability through complex transaction arrangements, such that they neglect or pursue their own interests [31].
Yee [45] and Desai [47] hypothesized that companies often make sophisticated transactions to avoid detection by tax authorities. In addition to hiding resources from tax authorities, these sophisticated transactions can hide resources from companies, allowing managers to use these resources for their own purposes.
In agency theory, the separation of ownership and control is central to all predictions regarding tax avoidance [48]. Furthermore, because tax avoidance increases after-tax cash flow, tax avoidance can be seen as “one of the many risky investment opportunities available to management” [49].
Board control is a means of promoting the dissemination of higher quality disclosures, which reduces information asymmetry as well as agency costs and the resulting agency problems [50]. Based on the agency theory on tax avoidance, there is a conflict of interest between managers as implementers and investors. Putra [51] concludes that the implementation tries to reduce the amount of tax paid so that the amount of tax paid is small. The knowledge of recognition in accounting methods and asset valuation, debt and income provides an opportunity for managers to reduce the amount of tax paid in accordance with applicable regulations. Thus, there is a need for government supervision to minimize tax avoidance practices in companies by making regulations related to financial statement reporting [51].

2.2. Stakeholder Theory

Researchers acknowledge stakeholder theory as the most dominant and useful theory for explaining sustainability reporting practices [52]. The concept of stakeholders, according to Freeman [53], involves two frameworks: one refers to policy and business planning, and the other framework guides corporate social responsibility for both management and stakeholders. The first framework is used to improve and test the company’s strategic decisions involving groups and communities that play a part in the company’s continued success. Thus, this framework focuses on how the company manages its relationships with its stakeholders. The second framework adds external influences that may vary with the company. These influences include the government, communities and groups that care about social issues.
Stakeholder theory suggests that all stakeholders are interdependent, including business partners, customers, employees, and societal and financial stakeholders. The business engages with its stakeholders in various activities that have one common goal [54].
Stakeholder theory has ethical–moral (normative) and strategic–managerial (instrument) approaches. From a stakeholder perspective, it is very useful in motivating and directing companies to prepare quality reports that combine and integrate information related to financial, social, governance and environmental fields [55]. Stakeholder theory with an instrumental approach considers the influences of different groups of stakeholders and not just shareholders. This can improve the company’s relationship with its stakeholders and help it gain social consensus [56]. Thus, stakeholder theory focuses on the relationship between companies and stakeholders. Sustainability reporting includes two-way considerations that must characterize the relationship between companies and stakeholders [57].

2.3. Hypotheses Development

2.3.1. Sustainability Reporting and Tax Avoidance

For their study, Rudyanto [8] used non-financial companies listed on the Indonesian Stock Exchange from 2014 to 2017, showing that sustainability reporting positively affected tax avoidance [8]. Hoi [9] conducted a study using 11,006 observations made on US Companies from 2003 to 2009. This is similar to Inger [13], who used the data from a sample of US public companies taken from 2000 to 2013. Lanis [10] observed the actions of 20 companies in Australia from 2001 to 2006. Lin [11] considered the data of companies in China from 2008 to 2012. Abdelfattah [14] used a sample of 30 companies out of the 100 Egyptian companies listed in the Environmental, Social and Governance Index. Abid [15] used a sample of 520 companies listed on Euronext Paris for the period 2005–2016. Afrizal [16] used companies in the Jakarta Islamic Index listed on the Indonesia Stock Exchange from 2007 to 2019. Similarly, Budiman [17] also used manufacturing companies listed on the Indonesia Stock Exchange as a sample for the 2016 to 2019 time period, but Rohyati [20] used a sample from mining companies listed on the Indonesia Stock Exchange between 2016 and 2019 with 40 observations. Chouaibi [18] investigated a sample of 119 companies listed on the Paris stock market between the years 2010 and 2019 with 1190 observations. Ghadakforoushan’s [19] had their sample of 73 financial managers as respondents in firms on Tehran Stock Exchange in 2021. Their sample included S&P 1500 companies from Thomson Reuters for corporate social responsibility data and financial statement data obtained from Compustat between 2007 and 2016 [21]. The previous research concluded that corporate social responsibility has a positive effect on tax avoidance [9,10,11,12,13,14,15,16,17,18,19,20,21].
Other studies have concluded that sustainability reporting has also been found to have a negative effect on tax avoidance [22], as Lanis [22] determined by analyzing data gathered from 2008 and 2009 on a sample of 408 listed Australian companies. One aspect of corporate social responsibility is transparent sustainability reporting, but companies are not obliged to disclose such information. This means that the higher the corporate social responsibility disclosure, the lower the tax aggressiveness of the company. Amalia [23] investigated 38 companies listed on the Indonesian Stock Exchange in 2017 and concluded that sustainability reporting did not affect tax avoidance. Kovermann [58] used 47 papers retrieved from databases (Web of Science, Wiley Online Journals, Science Direct, Emerald, and EBSCO) to investigate the effect of corporate social responsibility on tax avoidance.
Stakeholder theory states that no single stakeholder is as important as the company [59]. Thus, corporate social responsibilities, one of which is sustainability reporting, can have a positive effect on tax avoidance. The more forthcoming a company is with sustainability reporting, the greater their tax avoidance. Based on the explanation above, the following hypothesis was proposed:
Hypothesis 1 (H1).
Sustainability reporting has a positive effect on tax avoidance.

2.3.2. E-Commerce and Tax Avoidance

Argilés-Bosch [24] conducted a study in France using data from 2007 to 2016, in which they found that e-commerce has a negative effect on tax avoidance, which was also found in a study by [25]. Klassen [26] and Benjamin [27] conducted their studies in United States companies between 1999 and 2010 [26] and 2005 to 2015 [27], respectively. Noviyanti [28] performed a similar study using data from 482 business owners in Indonesia. Argilés-Bosch [29] used a sample of 3015 firms in Europe. Klassen [26], Benjamin [27], Noviyanti [28] and Argilés-Bosch [29] indicated that e-commerce has a positive effect on tax avoidance.
Agency theory refers to a contractual relationship between the principal and the agent established to ensure a service wherein the principal authorizes the agent to make decisions for the principal with the understanding that they will prioritize the principal’s interest in optimizing the company’s profits while minimizing burdens, which include tax burdens; tax burdens can be minimized through tax avoidance. Companies that implemented e-commerce tend to minimize tax payments by tax avoidance [60]. Therefore, it can be expected that e-commerce influences tax avoidance. Thus, we formulated the following hypothesis:
Hypothesis 2 (H2).
E-commerce has a positive effect on tax avoidance.

2.3.3. Tax Avoidance and Firm Performance

To study the effect of tax avoidance on firm performance, Andayani [61] used a sample of 40 companies listed on the Indonesia Stock Exchange during the period of 2014 to 2019. Khuong [31] used a sample of Vietnamese firms listed from 2010 to 2016. Zhu [62] used a sample of companies from the Ghana Stock Exchange. Inger [13] used a sample of United States public companies active from 2000 to 2013. Chen [30] used a sample of Chinese firms listed from 2001 to 2009. All of these studies have found that tax avoidance has a negative effect on company performance.
Other studies have found that tax avoidance has a negative effect on market value [34,44,63]. Handayani [32] studied manufacturing companies listed on the Indonesia Stock Exchange from 2016 to 2018 and found that tax avoidance has no effect on firm value. Akbari [64] used a sample of 130 companies listed on the Tehran Stock Exchange and over the counter (OTC) markets from 2004 to 2015 and found that tax avoidance did not significantly affect firm value. Similarly, another study found that tax avoidance has no effect on financial performance [65].
Meanwhile, Khuong [31] showed that tax avoidance had a positive effect on firm performance, while Inger [33], who chose his sample of large multinational firms based in the United States by selecting them from the 2005 Fortune 500, used data from 1997 to 2010 and found that tax avoidance positively affected firm value. Chen [34] used data from the China Stock Market and Accounting Database (CSMAR) from 2004 to 2012 to conclude that tax avoidance influenced market value.
Hasan [35] used financial data from the Compustat annual file from the CRSP database from the Peter Demerjian website for the period 1986 to 2016. Ha [36] used secondary data from the annual financial statements of companies listed on Ho Chi Minh Stock Exchange—HOSE in Vietnam from 2010 to 2018 with a sample of 209 companies and 1881 observations. Wibowo [37] used annual reports and financial reports from consumer goods industrial sector companies listed on the Indonesia Stock Exchange from 2016 to 2020 with a sample of 20 companies with 150 observations. These studies concluded that tax avoidance has an effect on firm value [35,36,37].
In studying the effect of agency theory on tax avoidance, [46,47] found that companies often make sophisticated transactions to avoid detection by tax authorities. Agency theory implies that companies need to make reports to reduce information asymmetry with stakeholders, especially shareholders [60]. Because the company is required to report its tax payments in its financial statements, shareholders will know the amount of the company’s tax evasion. In addition to hiding resources from tax authorities, these sophisticated transactions allow managers to divert resources for their own purposes. Given the information above, the following hypothesis was proposed:
Hypothesis 3 (H3).
Tax avoidance has a positive effect on a company’s performance.

2.3.4. Organizational Culture Moderates the Impact of Tax Avoidance and Firm Performance

A study by Kong [44] used the 2014 data of 100 Malaysian-ASEAN Corporate Governance Report (MACGR) companies to determine if corporate governance acts as a moderator of the effect of tax avoidance on firm value. The results of the study confirmed the finding that tax avoidance not only transfers wealth from the government to company shareholders but also increases the likelihood of tax savings being channeled to opportunistic managers [46].
Akbari [64] examined 10 Nigerian oil companies in operation in 2019 and showed that tax avoidance had no effect on financial performance. However, they found that earnings management had a moderating effect on the relationship between tax avoidance and financial performance, which suggested a positive and significant moderating role in the relationship between earnings management and tax avoidance.
This study looks at organizational culture as a moderating variable of the effect of tax avoidance on company performance. In such a consideration, if the moderating variable is found to be significant, it means that it increases the influence of tax avoidance on company performance. If the result is not significant, it means that the moderating variable does not strengthen the effect of tax avoidance on company performance. Thus, the following hypothesis was proposed:
Hypothesis 4 (H4).
Organizational culture moderates the effect of tax avoidance on company performance.
Figure 1 illustrates the research model of all hypotheses.

3. Materials and Methods

3.1. Population and Sample

The population of this study consists of Small and Medium Enterprises (SMEs) in Palembang, South Sumatera, Indonesia. The number of Palembang City SMEs as of December 2019 was 11,300. The unit of sample size with a percent allowance was 5%. This study employed the Slovin method because the minimum number of samples is unknown. Slovin’s formula for sampling is as follows:
n = N 1 + N e 2   = 11.300 1 + 11.300   0.05 2 =   386
The sample of this study was divided based on the type of business typically done by the SMEs. Table 1 shows the sample of this study based on type of business from Palembang office of Cooperatives and Micro, Small and Medium Enterprises.

3.2. Measurement of Variables

Sustainability reporting refers to a report made by a company that discloses or communicates to all stakeholders the company’s environmental performance and good governance in an accountable manner [5]. In the present study, the section of the questionnaire related to sustainability reporting consisted of three questions. Ratings were completed using a five-point Likert scale that ranged from 1 = strongly disagree to 5 = strongly agree. Sustainability reporting is an important element for implementing a proactive environmental and social strategy, as it can help companies receive the financial benefits of making more sustainable choices [3]. Sustainability reporting can or should contribute to shareholder value and takes into account the challenges to conventional views of value that sustainability reporting can offer [66].
E-commerce refers to the buying and selling of goods through electronic media [67]. In the present study, the section of the questionnaire regarding e-commerce consisted of four questions. Ratings were completed using a five-point Likert scale that ranged from 1 = strongly disagree to 5 = strongly agree. Electronic commerce or e-commerce facilitates trade in products or services using computer networks, such as the internet or online social networks [68]. E-commerce uses a website as an intermediary that connects the two parties, buyers and sellers. Thus, buyers can purchase products/services from their home, and sellers can run their business without the expense of a brick-and-mortar store. The increasing popularity of e-commerce may be due to the advantages of simplicity, timeliness, efficiency, and reduced costs for both sellers and buyers [69].
Tax avoidance refers to efforts made by a company to minimize the amount of tax that must be paid while staying in accordance with applicable laws and regulations [70]. The section of the questionnaire used in this study on tax avoidance consisted of four questions. Ratings were completed using a five-point Likert scale that ranged from 1 = strongly disagree to 5 = strongly agree. Some recent studies have used the effective tax rate to measure tax avoidance using secondary data [30,34,44], the cash effective tax rate to measure tax avoidance [24,29], and the book-tax difference to measure tax avoidance [41]. Tax avoidance is any activity that can explicitly reduce a company’s tax burden. This is reflected in the effective tax rate, and refers to tax deductions that are fully compliant with the law [71]. Previous research investigating tax avoidance in SMEs includes studies by Argilés-Bosch [29], who investigated the financial data of SMEs in China; Inger [33], who used 1500 SMEs in India active from 2013 until 2014; and Ratnawati [41], who used a sample of 18.954 SMEs from 2011 to 2013.
Organizational culture refers to the set of values, principles, traditions, and ways of working that are shared by members of an organization and that influence the way they act [72]. The questionnaire section related to organizational culture in this study consisted of four questions. Ratings were completed using a five-point Likert scale that ranged from 1 = strongly disagree to 5 = strongly agree. Organizational culture is made up of the attitudes, values, norms, and mutual respect shared by members of the organization [73]. Each member in the organization is expected to share these norms and values and adopt behaviors and attitudes consistent with the culture of the company. SMEs usually have similar norms and values such as working together and equality in the provision of punishment and rewards.
Firm performance is a condition that is best assessed by a company at every given period [74]. In this study, the section of the questionnaires on firm performance consisted of four questions. Ratings were completed using a five-point Likert scale that ranged from 1 = strongly disagree to 5 = strongly agree. Six variables are typically used to assess firm performance: financial, market, environmental, social, innovation, and operational performance [75]. This study used financial, market, and operational performance to measure firm performance. Table 2 shows the measured variables and related questionnaire statements based on the explanation above.

3.3. Method of Analysis

Validity testing using partial least square is based on convergent validity, discriminant validity and average variance extracted (AVE). Reliability testing was done using reliability and Cronbach’s alpha results obtained from each parameter [60].
  • Criteria for Goodness of Fit Index
The research model used in this study is as follows:
TA = α + β1SR + β2Ecomm + ε
Perf = α + β1SR+ β2Ecomm + β3 TA × BO + ε;
  • TA = Tax avoidance;
  • SR = Sustainability Reporting;
  • Ecomm = E-commerce;
  • Perf = Firm Performance;
  • BO = Organisational Culture.
Figure 2 shows the diagram for the methods. It shows the methods for this study from the background, literature review, problem, hypotheses, research model, collect and process data, data analysis. The last is interpretation and reporting for this study.

4. Results

4.1. The Respondent Demographics

As Table 3 indicates, the respondents were predominately men, at 113 (53.55%), with 98 women (32.45%). In terms of age, 117 respondents were <36 years old (55.45%), 55 were 36–45 years old (26.07%) and >39 people were over 45 years old (18.48%). In terms of the level of education obtained, 41 respondents (19.43%) had finished some high school and 43 (20.37%) had received their diploma. A total of 119 people (56.39%) had a bachelor’s degree and 8 (3.81%) had their masters. In terms of the type of business, most of the participants were involved in the sales and retail trade or repair and maintenance of cars and motorcycle business with 87 (41.223), followed by businesses providing food and drink with 77 (36.49%). SMEs in the manufacturing industry accounted for 23 respondents (10.89%); agriculture, forestry and fisheries accounted for 12 (5.69%); and transportation and warehousing accounted for 12 respondents (5.69%).

4.2. Descriptive Statistics

Table 4 shows the descriptive statistics. Table 5 shows the construct reliability and validity. Hair [76] argued that to test the validity of the average variance extracted (AVE) value, the AVE value must be above 0.50. Table 5 shows that the AVE values of all the variables studied were above 0.50. The Cronbach alpha and composite reliability values are above 0.70, indicating that the construct is reliable [76,77,78]. Table 6 shows the outer model. The value above >0.5 [77]. Table 7 shows correlations among constructs and discriminant validity.

4.3. Result

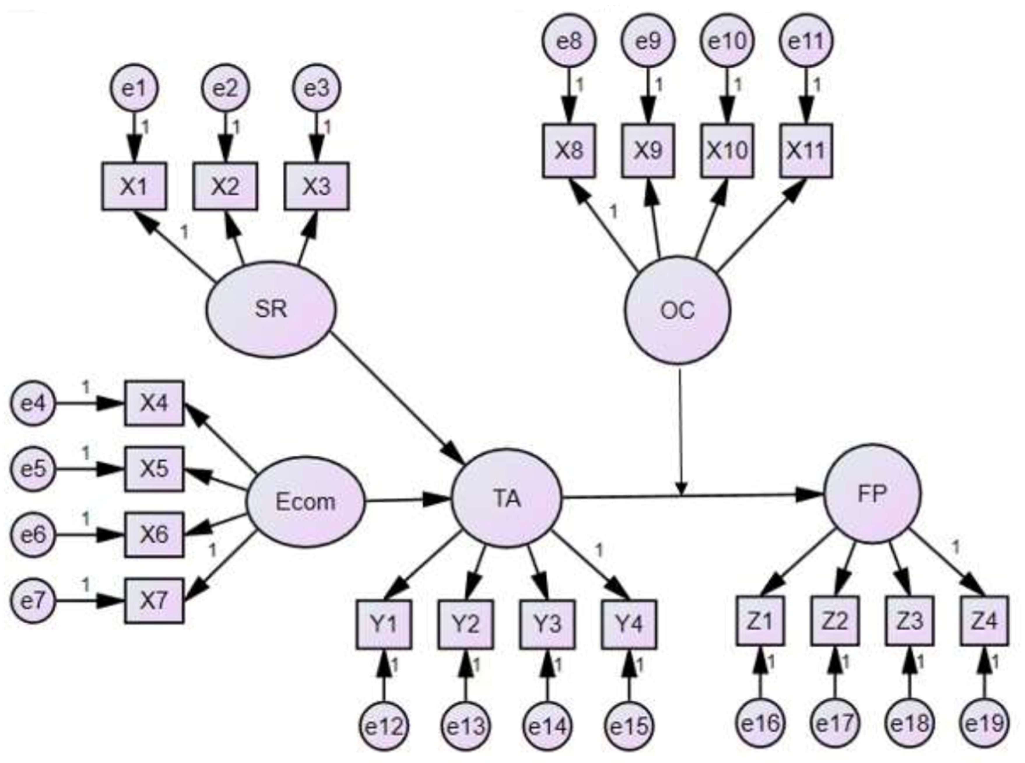
In testing the hypotheses above, the coefficient parameters and significant values were generated with a corrected bias confidence interval of 95% for each independent variable. Figure 3 shows the structural model. The results in terms of all the hypotheses proposed in this study can be seen in Figure 4 and Table 8. Our analyses show that the coefficient value (β) for the SR → TA relationship with a coefficient value (β) of 0.25 and a p-value of 0.01 is less than 0.05. The first hypothesis (H1) is accepted; thus, sustainability reporting has a positive effect on tax avoidance. Furthermore, the coefficient value (β) on the effect of ECOMM → TA is 0.28, and the p-value is 0.01 is less than 0.05. This means that the second hypothesis is fully supported. Thus, e-commerce has a positive effect on tax avoidance. We found that TA → PERF has a coefficient value (β) of 0.46 and a p-value of 0.01. This indicates (H3) is accepted. Thus, tax avoidance has a positive effect on firm performance. Finally, TA → PERF → BO has a coefficient (β) of −0.06 with a p-value of 0.33, which is bigger than 0.05. This fourth hypothesis is rejected. Thus, organizational culture does not strengthen the effect of tax avoidance on company performance.

5. Discussion

The research aims to contribute to the body of literature in the area of sustainability reporting, e-commerce, tax avoidance, firm performance and organizational culture. The research focuses on small and medium enterprises (SMEs) in Palembang. The respondents of this study are the owners of SMEs in Palembang. The data acquired through an online survey are analyzed using the partial least square structural equation model. In addition, to assess the structural model, the hypotheses are examined using p values with <0.01 less than 1%. The outcomes of the test support three (3) out of four (4) stated hypotheses.
Based on Table 8 and Figure 4 the results revealing the confirmation of the first hypothesis indicate that sustainability reporting has a positive and significant influence on tax avoidance, thus supporting H1. This finding supports prior studies by [9,10,11,12,13,14,15,16,17,18,19,20,21]. Sustainability reporting in Indonesia is still not mandatory for companies listed on the Indonesia Stock Exchange, especially for SMEs. However, the results of this study indicate that sustainability reporting has a positive and significant effect on tax avoidance. This means that the greater the use of sustainability reporting, the greater the tax avoidance. This can be interpreted as showing that those SMEs owners should understand that sustainability reporting provides not only economic information, but also social and environmental information. Thus, the higher the disclosure of sustainability reporting, the higher the tax avoidance for SMEs in Palembang. The finding also supports the stakeholder theory. Sustainability reporting can reduce the negative perception of shareholders regarding tax avoidance. This finding supports the stakeholder theory, based on the stakeholder theory with ethical–moral (normative) and strategic–managerial (instrumental) approaches [55].
The second hypothesis (H2) shows that e-commerce has a positive and significant effect on tax avoidance. This result is supported by previous research [26,27,28,29]. The previous research concluded that e-commerce positively influenced tax avoidance. The Indonesian government strongly supports the growth of e-commerce, especially when carried out by SMEs. Indonesians make many purchases online, so many SME owners have expanded to use e-commerce to sell their products and services. The increase in the number of online transactions has increased the tax revenue received by the Directorate General of Taxes. However, many online business owners object to paying taxes for online transactions, which suggests that online business owners may be looking for ways to evade paying their taxes. The results of this study indicate that e-commerce has a positive and significant effect on tax avoidance. It means that the higher the use of e-commerce in SMEs, the higher the tax avoidance by SMEs in Palembang. This result supports the agency theory and suggests that tax burdens can be minimized through tax avoidance [60].
The confirmation of the third hypothesis reveals that tax avoidance has a positive effect on firm performance. This means that the greater the tax avoidance, the better the firm’s performance. This result is similar to and supports that of previous studies [8,31,33,34]. Tax avoidance positively influences accounting performance [31], it had a positive effect on firm value [8,33], and it positively influences market value [35]. This study used financial, firm and market values to measure firm performance. This result supports the agency theory. Agency theory implies that shareholders do not always want management to avoid tax because there are costs to be incurred, but companies need to make reports to reduce information asymmetry with stakeholders, especially shareholders [60].
Our final hypothesis is that organizational culture acts as a moderating variable in the effect of tax avoidance and firm performance. The results of this study found no significance between these variables. Thus, organizational culture does not act as a moderating variable. This means that organizational culture does not strengthen the relationship between tax avoidance and company performance. This could be because the role of organizational culture has not been fully applied in the business management process in SMEs in Palembang, even though most SMEs are hereditary businesses, handed from parents to children. Another reason is that the owners of SMEs follow all applicable tax rules. Hence, they automatically pay taxes on time. Furthermore, during the ongoing pandemic, the government, especially the Ministry of Finance, has been supporting SMEs by providing compensation and incentives related to taxes.

6. Conclusions

This study examines the effect of sustainability reporting and e-commerce on tax avoidance, and the effect of tax avoidance on firm performance in small and medium enterprises (SMEs) in Palembang, South Sumatera, Indonesia, with organizational culture as moderating variable. We found a significant association between sustainability reporting and tax avoidance. This means that the greater the disclosure of sustainability reporting in SMEs, the higher the tax avoidance. We also found that e-commerce has a positive and significant effect on tax avoidance. This also means that the higher the level of e-commerce in SMEs in Palembang, the higher the tax avoidance. This is in line with the third hypothesis that tax avoidance has a positive and significant effect on firm performance. It means that the higher the tax avoidance, the higher the company’s performance. However, we also found that organizational culture does not moderate the effect of tax avoidance on firm performance.
No previous studies on sustainability reporting and e-commerce were combined to examine their effects on tax avoidance. In addition, tax avoidance also affects company performance with organizational culture as a moderator between tax avoidance and company performance. Explaining this issue, we provide theoretical implications for the literature related to agency theory and stakeholder theory. The results of the study support agency theory and stakeholder theory. The results of this study are empirical evidence of and add to the knowledge related to the topics we have studied.
In addition to the theoretical implications, this study provides several practical implications. First, small and medium business owners can take advantage of the extensive use of e-commerce to sell products and services to reduce tax payments or tax avoidance. Second, although sustainability reporting is not mandatory for SMEs to disclose, it can provide benefits for the sustainability of their business. Finally, from this research, it can be useful for the government to pay special attention to the continuity of SMEs in competing and getting consumers who are loyal to their products and services. The results of this study are expected to be useful in developing regulations that are useful for SMEs in running their businesses, with special implications for the Ministry of Cooperatives and Micro, Small and Medium Enterprises and the Ministry of Finance in Indonesia. Thus, the Ministry can establish policies that are beneficial for SMEs throughout Indonesia, not just in Palembang.
However, this study has several limitations. First, this research focuses solely on SMEs in Palembang. Thus, our results cannot be generalized to SMEs in other regions due to cultural differences. Second, this study uses a questionnaire from a previous study. Thus, the questions need further expansion. Finally, this this study uses quantitative methods for obtaining data using online surveys due to the COVID-19 pandemic.
Lastly, this study provides some suggestions for future research. We recommend that future research focuses on a specific sector, such as the financial or mining sectors or others. Next, we suggest using variables that have not been tested in this study, such as corporate governance, tax evasion, and company characteristics. Finally, the future research can use qualitative research methods such as case studies or conducting interviews. This is because qualitative methods will investigate in more detail the topics to be studied by obtaining data through direct interviews with experts who apply them.

Author Contributions

Writing—Original draft, L.L.F. and A.A.; Writing—review and editing, K.D., U.K. and M.M. All authors have read and agreed to the published version of the manuscript.

Funding

This research received funding from Penelitian Unggulan Kompetitif, Universitas Sriwijaya, Indonesia for the year 2021.

Institutional Review Board Statement

Not applicable.

Informed Consent Statement

Not applicable.

Data Availability Statement

Not applicable.

Acknowledgments

We wanted to say thank you to the Lembaga Penelitian dan Pengabdian Masyarakat Universitas Sriwijaya, which supports us.

Conflicts of Interest

The authors declare no conflict of interest.

References

  1. Borga, F.; Citterio, A.; Noci, G.; Pizzurno, E. Sustainability report in small enterprises: Case studies in Italian furniture companies. Bus. Strat. Environ. 2009, 18, 162–176. [Google Scholar] [CrossRef]
  2. Kocmanova, A.; Docekalova, M.; Nemecek, P.; Simberova, I. Sustainability: Environmental, social and corporate governance performance in Czech SMEs. In Proceedings of the 15th World Multi-Conference on Systemics, Cybernetics and Informatics, Orlando, FL, USA, 19–22 July 2011; Volume 1, pp. 94–99. [Google Scholar]
  3. Arena, M.; Azzone, G. A process-based operational framework for sustainability reporting in SMEs. J. Small Bus. Enterp. Dev. 2012, 19, 669–686. [Google Scholar] [CrossRef]
  4. Massa, L.; Farneti, F.; Scappini, B. Developing a sustainability report in a small to medium enterprise: Process and consequences. Meditari Account. Res. 2015, 23, 62–91. [Google Scholar] [CrossRef]
  5. Bos-Brouwers, H.E.J. Corporate sustainability and innovation in SMEs: Evidence of themes and activities in practice. Bus. Strat. Environ. 2009, 19, 417–435. [Google Scholar] [CrossRef]
  6. Mondal, A.; Prasad, R.; Bauri, S. An Empirical Study in Sustainability Reporting Practices of Indian Small and Medium-Sized Enterprises. J. Commer. Account. Res. 2021, 10, 67–76. [Google Scholar] [CrossRef]
  7. Rodríguez-Gutiérrez, P.; Guerrero-Baena, M.D.; Luque-Vílchez, M.; Castilla-Polo, F. An approach to using the best-worst method for supporting sustainability reporting decision-making in SMEs. J. Environ. Plan. Manag. 2021, 64, 2618–2640. [Google Scholar] [CrossRef]
  8. Rudyanto, A.; Pirzada, K. The role of sustainability reporting in shareholder perception of tax avoidance. Soc. Responsib. J. 2020. [Google Scholar] [CrossRef]
  9. Hoi, C.K.; Wu, Q.; Zhang, H. Is Corporate Social Responsibility (CSR) Associated with Tax Avoidance? Evidence from Irresponsible CSR Activities. Account. Rev. 2013, 88, 2025–2059. [Google Scholar] [CrossRef]
  10. Lanis, R.; Richardson, G. Corporate social responsibility and tax aggressiveness: A test of legitimacy theory. Account. Audit. Account. J. 2012, 26, 75–100. [Google Scholar] [CrossRef]
  11. Lin, Z.; Cheng, S.; Zhang, F. Corporate Social Responsibility, Institutional Environments, and Tax Avoidance: Evidence from a Subnational Comparison in China. Int. J. Account. 2017, 52, 303–318. [Google Scholar] [CrossRef]
  12. Bird, R.; Davis-Nozemack, K. Tax Avoidance as a Sustainability Problem. J. Bus. Ethics 2018, 151, 1009–1025. [Google Scholar] [CrossRef]
  13. Inger, K.K.; Vansant, B. Market Valuation Consequences of Avoiding Taxes While Also Being Socially Responsible. J. Manag. Account. Res. 2019, 31, 75–94. [Google Scholar] [CrossRef]
  14. Abdelfattah, T.; Aboud, A. Tax avoidance, corporate governance, and corporate social responsibility: The case of the Egyptian capital market. J. Int. Account. Audit. Tax. 2020, 38, 100304. [Google Scholar] [CrossRef]
  15. Abid, S.; Dammak, S. Corporate social responsibility and tax avoidance: The case of French companies. J. Financ. Rep. Account. 2021, 1–21. [Google Scholar] [CrossRef]
  16. Afrizal, A.; Putra, W.E.; Muhkzarudfa, M.; Lubis, T.A. The Implications of Firm Characteristics, Disclosure of Corporate Social Responsibility, and Tax Avoidance Practices for Firm Value. Indian J. Econ. Bus. 2021, 20, 1225–1266. [Google Scholar]
  17. Budiman, S.E.P.; Fitriana, V.E. The Moderating Role of Corporate Governance on The Relationship Between Tax Avoidance and Firm Value. AFRE Account. Financ. Rev. 2021, 4, 65–71. [Google Scholar]
  18. Chouaibi, J.; Rossi, M.; Abdessamed, N. The effect of corporate social responsibility practices on tax avoidance: An empirical study in the French context. Compet. Rev. Int. Bus. J. 2021. [Google Scholar] [CrossRef]
  19. Ghadakforoushan, M.; Khanaghah, J.B.; Sarkar, M.K. The Impact of Strategic Corporate Social Responsibility on Tax Avoidance via Job Meaningfulness and the Mediating Role of Ethical Leadership. Iran. J. Account. Audit. Financ. 2022, 6, 1–13. [Google Scholar] [CrossRef]
  20. Rohyati, Y.; Suripto, S. Corporate Social Responsibility, Good Corporate Governance, and Management Compensation against Tax Avoidance. Bp. Int. Res. Critics Inst. (BIRCI-J.) Humanit. Soc. Sci. 2021, 4, 2612–2625. [Google Scholar] [CrossRef]
  21. Timbate, L. CSR and corporate taxes: Substitutes or complements? BRQ Bus. Res. Q. 2021. [Google Scholar] [CrossRef]
  22. Lanis, R.; Richardson, G. Corporate social responsibility and tax aggressiveness: An empirical analysis. J. Account. Public Policy 2012, 31, 86–108. [Google Scholar] [CrossRef]
  23. Amalia, F.A.; Suprapti, E. Does the High or Low of Corporate Social Responsibility Disclosure Affect Tax Avoidance? J. Account. Invest. 2020, 21, 277–288. [Google Scholar] [CrossRef]
  24. Argilés-Bosch, J.M.; Somoza, A.; Ravenda, D.; García-Blandón, J. An empirical examination of the influence of e-commerce on tax avoidance in Europe. J. Int. Account. Audit. Tax. 2020, 41, 100339. [Google Scholar] [CrossRef]
  25. Basu, S. Global perspectives on E-Commerce taxation law. In Global Perspectives on E-Commerce Taxation Law; Routledge: London, UK, 2016. [Google Scholar] [CrossRef]
  26. Klassen, K.J.; Laplante, S.K.; Carnaghan, C. A Model of Multinational Income Shifting and an Application to Tax Planning with E-Commerce. J. Am. Tax. Assoc. 2014, 36, 27–53. [Google Scholar] [CrossRef]
  27. Benjamin, H. Tax Avoidance through E-Commerce and Cross-Border Shopping; CESifo Working Paper; Center for Economic Studies and ifo Institute (CESifo): Munich, Germany, 2019; pp. 1–46. [Google Scholar]
  28. Noviyanti; Ferdous, S.M.A. The Effect of Tax Sanctions, Self-Assessment System, E-Commerce, and AEoI toward Tax Avoidance of Online Business in Indonesia. Psychol. Educ. J. 2020, 57, 2000–2008. [Google Scholar] [CrossRef]
  29. Argilés-Bosch, J.M.; Ravenda, D.; Garcia-Blandón, J. E-commerce and labour tax avoidance. Crit. Perspect. Account. 2020, 81, 102202. [Google Scholar] [CrossRef]
  30. Chen, X.; Hu, N.; Wang, X.; Tang, X. Tax avoidance and firm value: Evidence from China. Nankai Bus. Rev. Int. 2014, 5, 25–42. [Google Scholar] [CrossRef]
  31. Khuong, N.V.; Liem, N.T.; Thu, P.A.; Khanh, T.H.T. Does corporate tax avoidance explain firm performance? Evidence from an emerging economy. Cogent Bus. Manag. 2020, 7, 1780101. [Google Scholar] [CrossRef]
  32. Handayani, R. Effects of Tax Avoidance and Financial Performance on Firm Value. Int. J. Manag. Stud. Soc. Sci. Res. (IJMSSSR) 2020, 2, 159–168. [Google Scholar]
  33. Inger, K.K. Relative Valuation of Alternative Methods of Tax Avoidance. J. Am. Tax. Assoc. 2013, 36, 27–55. [Google Scholar] [CrossRef]
  34. Chen, Z.; Cheok, C.K.; Rasiah, R. Corporate tax avoidance and performance: Evidence from China’s listed companies. Inst. Econ. 2016, 8, 61–83. [Google Scholar]
  35. Hasan, M.M.; Lobo, G.J.; Qiu, B. Organizational capital, corporate tax avoidance, and firm value. J. Corp. Financ. 2021, 70, 102050. [Google Scholar] [CrossRef]
  36. Ha, N.M.; Anh, P.T.; Yue, X.-G.; Nam, N.H.P. The impact of tax avoidance on the value of listed firms in Vietnam. Cogent Bus. Manag. 2021, 8, 1–13. [Google Scholar] [CrossRef]
  37. Wibowo, D.P.; Widyastuti, S.; Murtanto; Faisal, A. R. The Effect of Tax Planning, Tax Avoidance and Profitability on Company Value With Financial Performance as Intervening Variables. Bp. Int. Res. Crit. Inst. J. 2022, 5, 1589–1600. [Google Scholar] [CrossRef]
  38. Vu, T.A.T.; Le, V.H. The Effect of Tax Planning on Firm Value: A Case Study in Vietnam. J. Asian Financ. Econ. Bus. 2021, 8, 973–979. [Google Scholar] [CrossRef]
  39. Fuadah, L.L.; Safitri, R.H.; Yuliani, Y. Factors Influencing Financial Performance through Sustainability Reporting in Indonesia. Sriwij. Int. J. Dyn. Econ. Bus. 2019, 3, 53–72. [Google Scholar] [CrossRef]
  40. Fuadah, L.L.; Kalsum, U. The Impact of Corporate Social Responsibility on Firm Value: The Role of Tax Aggressiveness in Indonesia. J. Asian Financ. Econ. Bus. 2021, 8, 209–216. [Google Scholar] [CrossRef]
  41. Ratnawati, V.; Freddy, D.; Hardi, H. Ownership Structure, Tax Avoidance and Firm Performance. Arch. Bus. Res. 2018, 6, 1–7. [Google Scholar] [CrossRef][Green Version]
  42. Kim, J.H.; Im, C.C. The Study on The Effect and Determinants of Small—And Medium-Sized Entities Conducting Tax Avoidance. J. Appl. Bus. Res. (JABR) 2017, 33, 375–390. [Google Scholar] [CrossRef]
  43. Farooq, O.; Zaher, A.A. Ownership Structure and Tax Avoidance: Evidence from Indian SMEs. Rev. Pac. Basin Financ. Mark. Policies 2020, 23, 1–19. [Google Scholar] [CrossRef]
  44. Kong, X.; Si, D.-K.; Li, H.; Kong, D. Does access to credit reduce SMEs’ tax avoidance? Evidence from a regression discontinuity design. Financ. Innov. 2021, 7, 1–23. [Google Scholar] [CrossRef]
  45. Yee, C.S.; Sapiei, N.S.; Abdullah, M. Tax Avoidance, Corporate Governance and Firm Value in The Digital Era. J. Account. Invest. 2018, 19, 160–175. [Google Scholar] [CrossRef][Green Version]
  46. Desai, M.A.; Dyck, A.; Zingales, L. Theft and taxes. J. Financ. Econ. 2007, 84, 591–623. [Google Scholar] [CrossRef]
  47. Desai, M.A.; Dharmapala, D. Corporate tax avoidance and high-powered incentives. J. Financ. Econ. 2006, 79, 145–179. [Google Scholar] [CrossRef]
  48. Badertscher, B.A.; Katz, S.P.; Rego, S. The separation of ownership and control and corporate tax avoidance. J. Account. Econ. 2013, 56, 228–250. [Google Scholar] [CrossRef]
  49. Armstrong, C.S.; Blouin, J.L.; Jagolinzer, A.D.; Larcker, D.F. Corporate governance, incentives, and tax avoidance. J. Account. Econ. 2015, 60, 1–17. [Google Scholar] [CrossRef]
  50. Vitolla, F.; Raimo, N.; Rubino, M. Board characteristics and integrated reporting quality: An agency theory perspective. Corp. Soc. Responsib. Environ. Manag. 2019, 27, 1152–1163. [Google Scholar] [CrossRef]
  51. Putra, P.D.; Syah, D.H.; Sriwedari, T. Tax Avoidance: Evidence of as a proof of Agency Theory and Tax Planning. Int. J. Res. Rev. 2018, 5, 52–60. [Google Scholar]
  52. Spence, C.; Husillos, F.J.; Correa, C. Cargo cult science and the death of politics: A critical review of social and environmental accounting research. Crit. Perspect. Account. 2010, 21, 76–89. [Google Scholar] [CrossRef]
  53. Freeman, J. Stakeholder Theory of Modern Corporation. Gen. Issues Bus. Ethics 1983, 1, 1–15. [Google Scholar]
  54. Freudenreich, B.; Lüdeke-Freund, F.; Schaltegger, S. A Stakeholder Theory Perspective on Business Models: Value Creation for Sustainability. J. Bus. Ethics 2019, 166, 3–18. [Google Scholar] [CrossRef]
  55. Vitolla, F.; Raimo, N.; Rubino, M.; Garzoni, A. The impact of national culture on integrated reporting quality. A stakeholder theory approach. Bus. Strat. Environ. 2019, 28, 1558–1571. [Google Scholar] [CrossRef]
  56. Vitolla, F.; Raimo, N.; Rubino, M.; Garzoni, A. How pressure from stakeholders affects integrated reporting quality. Corp. Soc. Responsib. Environ. Manag. 2019, 26, 1591–1607. [Google Scholar] [CrossRef]
  57. Manetti, G. The quality of stakeholder engagement in sustainability reporting: Empirical evidence and critical points. Corp. Soc. Responsib. Environ. Manag. 2011, 18, 110–122. [Google Scholar] [CrossRef]
  58. Kovermann, J.; Velte, P. CSR and tax avoidance: A review of empirical research. Corp. Ownersh. Control 2021, 18, 20–39. [Google Scholar] [CrossRef]
  59. Donaldson, T.; Preston, L.E. Stakeholder Theory: Concepts, Evidence, Corporations and its Implications. Acad. Manag. Rev. 1995, 20, 65–91. [Google Scholar] [CrossRef]
  60. Jensen, M.C.; Meckling, W.H. Theory of the firm: Managerial behavior, agency costs and ownership structure. J. Financ. Econ. 1976, 3, 305–360. [Google Scholar] [CrossRef]
  61. Andayani, E.; Yanti, H.B. The effect of tax avoidance, sustainability report, corporate governance on firm value: Leverage as moderating (Empirical Study on Registered Manufacturing Companies on the Indonesia Stock Exchange 2014–2019). Tech. Soc. Sci. J. 2021, 7, 312–320. [Google Scholar]
  62. Zhu, N.; Mbroh, N.; Monney, A.; Bonsu, M.O.-A. Corporate Tax Avoidance and Firm Profitability. Eur. Sci. J. ESJ 2019, 15, 61. [Google Scholar] [CrossRef]
  63. Santana, S.L.L.; Rezende, A.J. Corporate tax avoidance and firm value: Evidence from Brazil. Rev. Contemp. Contab. 2016, 13, 114. [Google Scholar] [CrossRef]
  64. Akbari, F.; Salehi, M.; Bagherpour Vlashani, M.A. The relationship between tax avoidance and firm value with income smoothing: A comparison between classical and Bayesian econometric in multilevel models. Int. J. Organ. Anal. 2019, 27, 125–148. [Google Scholar] [CrossRef]
  65. Lawal, L.; Suleiman, M.; Abdulkarim, H. Moderating Effect of Earning management on the relationship Between Tax Avoidance and Financial Performance: Evidence from Nigeria. In Proceedings of the 3rd CITN Annual International Academic Conference on Taxation on the Theme: “Taxation, Social Contract and Economic Development” Held at Igbinedion University, Okada, Edo State, Nigeria, 8–11 November 2020; pp. 1–18. [Google Scholar]
  66. Adams, C.A. Sustainability Reporting and Value Creation. Soc. Environ. Account. J. 2020, 40, 191–197. [Google Scholar] [CrossRef]
  67. Luo, N.; Wang, Y.; Zhang, M.; Niu, T.; Tu, J. Integrating community and e-commerce to build a trusted online second-hand platform: Based on the perspective of social capital. Technol. Forecast. Soc. Change 2020, 153, 119913. [Google Scholar] [CrossRef]
  68. Buettner, R. Predicting user behavior in electronic markets based on personality-mining in large online social networks: A personality-based product recommender framework. Electron. Mark. 2017, 27, 247–265. [Google Scholar] [CrossRef]
  69. Wilson, N.; Keni, K.; Tan, P.H.P. The Effect of Website Design Quality and Service Quality toward Repurchase Intention in the E-commerce Industry: A Cross-Continental Analysis. Gadjah Mada Int. J. Bus. 2019, 21, 187–222. [Google Scholar] [CrossRef]
  70. Campbell, K.; Helleloid, D. Starbucks: Social responsibility and tax avoidance. J. Account. Educ. 2016, 37, 38–60. [Google Scholar] [CrossRef]
  71. Dyreng, S.D.; Hanlon, M.; Maydew, E.L. Long-Run Corporate Tax Avoidance. Account. Rev. 2008, 83, 61–82. [Google Scholar] [CrossRef]
  72. Upadhaya, B.; Munir, R.; Blount, Y.; Su, S.X. Does organizational culture mediate the CSR—Strategy relationship? Evidence from a developing country, Nepal. J. Bus. Res. 2018, 91, 108–122. [Google Scholar] [CrossRef]
  73. Sapta, I.K.S.; Muafi, M.; Setini, N.M. The Role of Technology, Organizational Culture, and Job Satisfaction in Improving Employee Performance during the COVID-19 Pandemic. J. Asian Financ. Econ. Bus. 2021, 8, 495–505. [Google Scholar] [CrossRef]
  74. Hernández-Perlines, F.; Covin, J.G.; Ribeiro-Soriano, D.E. Entrepreneurial orientation, concern for socioemotional wealth preservation, and family firm performance. J. Bus. Res. 2021, 126, 197–208. [Google Scholar] [CrossRef]
  75. Hizarci-Payne, A.K.; Ipek, I.; Gümüş, G.K. How environmental innovation influences firm performance: A meta-analytic review. Bus. Strat. Environ. 2021, 30, 1174–1190. [Google Scholar] [CrossRef]
  76. Hair, J.F.; Tomas, G.; Hult, M.; Ringle, C.M.; Sarstedt, M. A Primer on Partial Least Squares Structural Equation Modeling (PLS-SEM); Sage Publications: London, UK, 2016. [Google Scholar] [CrossRef]
  77. Ghozali, I. Partial Least Square; Penerbit Universitas Diponegoro: Semarang, Indonesia, 2013. [Google Scholar]
  78. Hair, J.F.; Risher, J.J.; Sarstedt, M.; Ringle, C.M. When to use and how to report the results of PLS-SEM. Eur. Bus. Rev. 2019, 31, 2–24. [Google Scholar] [CrossRef]
Figure 1. The research model.
Figure 1. The research model.
Sustainability 14 03738 g001
Figure 2. The Diagram for the Methods.
Figure 2. The Diagram for the Methods.
Sustainability 14 03738 g002
Figure 3. Structural Model.
Figure 3. Structural Model.
Sustainability 14 03738 g003
Figure 4. The result from partial least square regression. Note: SR = sustainability reporting; ECOMM = ecommerce; TA = tax avoidance; Perf = firm performance; BO = organizational culture.
Figure 4. The result from partial least square regression. Note: SR = sustainability reporting; ECOMM = ecommerce; TA = tax avoidance; Perf = firm performance; BO = organizational culture.
Sustainability 14 03738 g004
Table 1. The sample of this study.
Table 1. The sample of this study.
NoType of BusinessTotal Sample
1Wholesale and retail trade; car and motorcycle repair and maintenance80
2Provision of accommodation and provision of food and drink81
3Processing industry75
4Agriculture, forestry and fisheries75
5Transportation and warehousing75
Total386
Source: Palembang Office of Cooperatives and Micro, Small and Medium Enterprises.
Table 2. The measured variables and the related questionnaire statements.
Table 2. The measured variables and the related questionnaire statements.
VariableItems
Sustainability reporting
  • Reports that disclose information related to economic aspects
  • Reports that reveal environmental aspects
  • Reports that reveal economic aspects
E-commerce
  • Our online transactions are of good quality
  • Our online transactions are convenient
  • Our online transactions are secure
  • Our online transactions that provide support for services
Tax avoidance
  • The taxes we pay are in accordance with the amount of our income
  • The taxes we pay are in accordance with the tax law
  • Tax avoidance reporting or depositing income and taxes owed during the pandemic are carried out even though the funds are used for economic recovery
  • We always carry out the payment of tax obligations appropriately
Organisational culture
  • All employees receive fair treatment
  • All employees have equal rights
  • All employees have tolerance within the company
  • All employees have social responsibility in the company
Firm performance
  • Our company earned sales
  • Our company can earn profit
  • Our company has a share of the market
  • Our company earns return on capital
Table 3. Profile of respondents.
Table 3. Profile of respondents.
DescriptionTotalPercentage (%)
GenderMale11353.55
Female9846.45
Total211100
Age<36 years11755.45
36–45 years5526.07
>45 years3918.48
Total211100
EducationHigh School4119.43
Diploma4320.37
Bachelors11956.39
Masters83.81
Total211100
Type of businessWholesale and retail trade; and motorcycle repair and maintenance8741.23
Provision of accommodation and provision of food and drink7736.9
Processing industry2310.89
Agriculture, forestry and fisheries125.69
Transportation and warehousing125.69
Total211100
Table 4. Descriptive statistics.
Table 4. Descriptive statistics.
VariableMinMaxMeanStandard DeviationFactor Loading
Sustainability reporting
SR1154.2700.6530.717
SR2154.1180.9360.935
SR3154.1800.9440.903
E-commerce
Ecomm 1154.3600.6560.829
Ecomm 2154.2460.8080.889
Ecomm 3154.3220.8280.808
Ecomm 4154.4120.7200.829
Tax avoidance
TA 1154.3600.5880.908
TA 2154.2360.7240.907
TA 3153.9551.2780.894
TA 4154.3880.6550.775
Organisational Culture
BO 1154.2890.7530.847
BO 2154.2840.7710.921
BO 3154.3120.7600.900
BO 4155.0300.8210.870
Firm Performance
Perf 1154.4070.5890.793
Perf 2154.2360.7990.883
Perf 3154.2790.8170.845
Perf 4154.3080.8250.834
Table 5. Construct reliability and validity.
Table 5. Construct reliability and validity.
Construct Reliability and Validity
Cronbach’s AlphaComposite ReliabilityAverages Variance Extracted (AVE)
Sustainability reporting0.8130.8910.735
E-commerce0.8590.9050.704
Tax avoidance0.7650.7160.634
Firm performance0.8600.9050.705
Organisational culture0.9070.9350.783
Table 6. Outer Model.
Table 6. Outer Model.
VariableSREcommTABOPerf
Sustainability reporting
Reports that disclose information related to economic aspects0.717
Reports that reveal environmental aspects0.935
Reports that reveal economic aspects0.903
E-commerce
Our online transactions are of good quality 0.829
Our online transactions are convenient 0.889
Our online transactions are secure 0.808
Our online transactions provide support for services 0.829
Tax avoidance
The taxes we pay are in accordance with the amount of our income 0.908
The taxes we pay are in accordance with tax law 0.907
Tax avoidance reporting or depositing income and taxes owed during the pandemic are carried out even though the funds are used for economic recovery 0.894
We always carry out the payment of tax obligations appropriately 0.775
Organisational Culture
All employees receive fair treatment 0.847
All employees have equal rights 0.921
All employees have tolerance 0.900
All employees have social responsibility 0.870
Firm Performance
Our company earned sales 0.793
Our company can earn a profit 0.883
Our company has a share of the market 0.845
Our company earns a return on capital 0.834
Table 7. Correlations among constructs and discriminant validity.
Table 7. Correlations among constructs and discriminant validity.
ConstructSustainability ReportingE-CommerceTax AvoidanceOrganizational CultureFirm Performance
Sustainability Reporting0.857
E-commerce0.6580.839
Tax Avoidance0.4300.4550.625
Organisational Culture0.7520.6820.4270.885
Firm Performance0.6800.6520.4210.7380.840
Table 8. The results of the hypotheses.
Table 8. The results of the hypotheses.
HypothesisCoefficientp-ValueResult
SR → TA (H1)0.250.01Supported
ECOMM → TA (H2)0.280.01Supported
TA → PERF (H3)0.460.01Supported
TA → PERF → BO (H4)−0.060.33Rejected
Publisher’s Note: MDPI stays neutral with regard to jurisdictional claims in published maps and institutional affiliations.

Share and Cite

MDPI and ACS Style

Fuadah, L.L.; Dewi, K.; Mukhtaruddin, M.; Kalsum, U.; Arisman, A. The Relationship between Sustainability Reporting, E-Commerce, Firm Performance and Tax Avoidance with Organizational Culture as Moderating Variable in Small and Medium Enterprises in Palembang. Sustainability 2022, 14, 3738. https://doi.org/10.3390/su14073738

AMA Style

Fuadah LL, Dewi K, Mukhtaruddin M, Kalsum U, Arisman A. The Relationship between Sustainability Reporting, E-Commerce, Firm Performance and Tax Avoidance with Organizational Culture as Moderating Variable in Small and Medium Enterprises in Palembang. Sustainability. 2022; 14(7):3738. https://doi.org/10.3390/su14073738

Chicago/Turabian Style

Fuadah, Luk Luk, Kencana Dewi, Mukhtaruddin Mukhtaruddin, Umi Kalsum, and Anton Arisman. 2022. "The Relationship between Sustainability Reporting, E-Commerce, Firm Performance and Tax Avoidance with Organizational Culture as Moderating Variable in Small and Medium Enterprises in Palembang" Sustainability 14, no. 7: 3738. https://doi.org/10.3390/su14073738

APA Style

Fuadah, L. L., Dewi, K., Mukhtaruddin, M., Kalsum, U., & Arisman, A. (2022). The Relationship between Sustainability Reporting, E-Commerce, Firm Performance and Tax Avoidance with Organizational Culture as Moderating Variable in Small and Medium Enterprises in Palembang. Sustainability, 14(7), 3738. https://doi.org/10.3390/su14073738

Note that from the first issue of 2016, this journal uses article numbers instead of page numbers. See further details here.

Article Metrics

Back to TopTop