Identification and Characterization of Peruvian Native Bacterial Strains as Bioremediation of Hg-Polluted Water and Soils Due to Artisanal and Small-Scale Gold Mining in the Secocha Annex, Arequipa
Abstract
1. Introduction
2. Materials and Methods
2.1. Study Area
2.2. Sampling and Isolation of Native Bacterial Strains
2.3. Purification
2.4. DNA Extraction, Sequencing, and Molecular Identification of the Resistant Bacterial T2.2
2.5. Morphological Characterization and Determination of Antibiotic Sensitivity and Resistance Pattern of Strain T2.2
2.6. In Vitro Evaluation of the Mercury Resistance of Strain T2.2
2.7. Mercury Removal Assays
2.8. Adsorption Kinetics Models
2.9. Statistical Analysis
3. Results and Discussion
3.1. Culture, Isolation, and Identification of Bacterial Strains
3.2. Morphological Characterization and Antibiograms of T2.2
3.3. Removal of Hg in Culture Solution by the T2.2 Strain
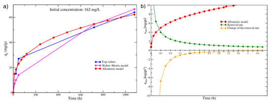
3.4. Kinetics Studies of Hg Removal
4. Conclusions
Author Contributions
Funding
Institutional Review Board Statement
Informed Consent Statement
Data Availability Statement
Acknowledgments
Conflicts of Interest
References
- Risher, J. Toxicological Profile for Mercury; Public Health Service, ATSDR: Atlanta, GA, USA, 2020; pp. 1–617. [Google Scholar]
- Budnik, L.T.; Casteleyn, L. Mercury pollution in modern times and its socio-medical consequences. Sci. Total Environ. 2019, 654, 720–734. [Google Scholar] [CrossRef]
- Henriques, M.C.; Loureiro, S.; Fardilha, M.; Herdeiro, M.T. Exposure to mercury and human reproductive health: A systematic review. Reprod. Toxicol. 2019, 85, 93–103. [Google Scholar] [CrossRef] [PubMed]
- Veiga, M.M.; Maxson, P.A.; Hylander, L.D. Origin and consumption of mercury in small-scale gold mining. J. Clean. Prod. 2006, 14, 436–447. [Google Scholar] [CrossRef]
- Zolnikov, T.R.; Ortiz, D.R. A systematic review on the management and treatment of mercury in artisanal gold mining. Sci. Total Environ. 2018, 633, 816–824. [Google Scholar] [CrossRef] [PubMed]
- Seccatore, J.; Veiga, M.; Origliasso, C.; Marin, T.; De Tomi, G. An estimation of the artisanal small-scale production of gold in the world. Sci. Total Environ. 2014, 496, 662–667. [Google Scholar] [CrossRef]
- Esdaile, L.J.; Chalker, J.M. The mercury problem in artisanal and small-scale gold mining. Chem. (Weinh. Der Bergstr. Ger.) 2018, 1, 6905–6916. [Google Scholar] [CrossRef]
- Pure Earth. Available online: http://www.pureearth.org/blog/the-toxic-toll-of-mercury-facts-figures-and-the-future-of-dancing-cat-fever-disease/ (accessed on 30 July 2021).
- Styles, M.T.; Amankwah, R.K.; Al-Hassan, S.; Nartey, R.S. The identification and testing of a method for mercury-free gold processing for artisanal and small-scale gold miners in Ghana. Int. J. Environ. Pollut. 2010, 41, 289–303. [Google Scholar] [CrossRef]
- Davies, G.R. A toxic free future: Is there a role for alternatives to mercury in small-scale gold mining? Futures 2014, 62, 7113–7119. [Google Scholar] [CrossRef]
- Feng, X.B.; Qiu, G.L.; Fu, X.W.; He, T.R.; Li, P.; Wang, S.F. Mercury pollution in the environment. Prog. Chem. 2009, 1, 436–457. [Google Scholar]
- Hilson, G.; Hilson, C.J.; Pardie, S. Improving awareness of mercury pollution in small-scale gold mining communities: Challenges and ways forward in rural Ghana. Environ. Res. 2007, 1, 275–287. [Google Scholar] [CrossRef]
- Park, J.D.; Zheng, W. Human exposure and health effects of inorganic and elemental mercury. J. Prev. Med. Public Health 2012, 1, 344–352. [Google Scholar] [CrossRef] [PubMed]
- United States Environmental Protection Agency, EPA. Available online: https://www.epa.gov/international-cooperation/ (accessed on 25 July 2021).
- Poulin, J.; Gibb, H.; Prüss-Üstün, A.; World Health Organization. Mercury: Assessing the Environmental Burden of Disease at National and Local Levels; World Health Organization: Geneva, Switzerland, 2008.
- Bose-O’Reilly, S.; Lettmeier, B.; Gothe, R.M.; Beinhoff, C.; Siebert, U.; Drasch, G. Mercury as a serious health hazard for children in gold mining areas. Environ. Res. 2008, 1, 89–97. [Google Scholar] [CrossRef] [PubMed]
- Brown, I.A.; Austin, D.W. Maternal transfer of mercury to the developing embryo/fetus: Is there a safe level? Toxicol. Environ. Chem. 2012, 1, 1610–1627. [Google Scholar] [CrossRef]
- Himley, M. Mining history: Mobilizing the past in struggles over mineral extraction in Peru. Geogr. Rev. 2014, 1, 174–191. [Google Scholar] [CrossRef]
- U.S. Geological Survey. Mercury Pollution in the Environment. In Mineral Commodity Summaries 2021; U.S. Geological Survey: Reston, VA, USA, 2021; 200p. [Google Scholar]
- Dirección de Promoción Minera, Ministerio de Energía y Minas, Gobierno del Perú. In Anuario Minero 2020; 2020; 150p, Available online: https://www.gob.pe/institucion/minem/informes-publicaciones/1944416-anuario-minero-2020 (accessed on 20 July 2021).
- GEF. Available online: https://www.thegef.org/news/mercury-free-mining-undp-gef-and-government-peru-work-together-reduce-use-mercury-artisanal-and/ (accessed on 20 July 2021).
- SPDA, Actualidad Ambiental. Available online: https://www.actualidadambiental.pe/contaminacion-por-mercurio-problema-que-va-de-la-mano-con-la-mineria-ilegal-e-informal/ (accessed on 11 August 2021).
- Soto, J.; Álvarez, R.; Loredo, J.; Iglesias, J.G. Pollution Associated to artisanal Gold mining in Ayacucho Department, Perú. In Proceedings of the 9th International Mine Water Association Congress, Oviedo, Spain, 5–7 September 2005; pp. 587–593. [Google Scholar]
- Andina, Peruvian Agency News. Available online: https://andina.pe/agencia/noticia-piden-declarar-emergencia-a-centro-minero-secocha-726495.aspx (accessed on 30 July 2021).
- Ministerio del Ambiente, Decreto Supremo N° 004-2019-MINAM. Available online: https://www.gob.pe/institucion/minam/nor-mas-legales/273839-004-2019-minam (accessed on 4 October 2021).
- Chappuis, M. Remediación y activación de pasivos ambientales mineros (PAM) en el Perú. Ser. Medio Ambiente Desarro. 2020, 168, 1–47. [Google Scholar]
- Villa, L.; Finer, M. Major Reduction in Illegal Gold Mining from Peru’s Operation Mercury. MAAP 2019, 104, 1–8. [Google Scholar]
- Brack, A.; Ipenza, C.; Alvarez, J.; Sotero, V. Minería Aurífera en Madre de Dios y Contaminación con Mercurio-Una Bomba de Tiempo. Minist. Del. Ambiente 2011, 1–103. [Google Scholar]
- Worthington, M.J.; Kucera, R.L.; Albuquerque, I.S.; Gibson, C.T.; Sibley, A.; Slattery, A.D.; Campbell, J.A.; Alboaiji, S.F.K.; Muller, K.A.; Young, J. Laying waste to mercury: Inexpensive sorbents made from sulfur and recycled cooking oils. Chemistry 2017, 1, 16219–16230. [Google Scholar] [CrossRef]
- Fathollahi, A.; Coupe, S.J.; El-Sheikh, A.H.; Sañudo-Fontaneda, L.A. The biosorption of mercury by permeable pavement biofilms in stormwater attenuation. Sci. Total Environ. 2020, 741, 140411. [Google Scholar] [CrossRef]
- Kumar, M.; Singh, A.K.; Sikandar, M. Biosorption of Hg (II) from aqueous solution using algal biomass: Kinetics and isotherm studies. Heliyon 2020, 1, e03321. [Google Scholar] [CrossRef]
- Upadhyay, K.H.; Vaishnav, A.M.; Tipre, D.R.; Patel, B.C.; Dave, S.R. Kinetics and mechanisms of mercury biosorption by an exopolysaccharide producing marine isolate Bacillus licheniformis. 3 Biotech 2017, 1, 1–10. [Google Scholar] [CrossRef] [PubMed]
- Chen, J.; Dong, J.; Chang, J.; Guo, T.; Yang, Q.; Jia, W.; Shen, S. Characterization of an Hg (II)-volatilizing Pseudomonas sp. strain, DC-B1, and its potential for soil remediation when combined with biochar amendment. Ecotoxicol. Environ. Saf. 2018, 163, 172–179. [Google Scholar] [CrossRef] [PubMed]
- Singh, S.; Kumar, V.; Gupta, P.; Ray, M.; Kumar, A. The synergy of mercury biosorption through Brevundimonas sp. IITISM22: Kinetics, isotherm, and thermodynamic modeling. J. Hazard. Mater. 2021, 415, 125653. [Google Scholar] [CrossRef] [PubMed]
- Sardar, U.R.; Bhargavi, E.; Devi, I.; Bhunia, B.; Tiwari, O.N. Advances in exopolysaccharides based bioremediation of heavy metals in soil and water: A critical review. Carbohydr. Polym. 2018, 199, 353–364. [Google Scholar]
- Singh, S.; Kumar, V. Mercury detoxification by absorption, mercuric ion reductase, and exopolysaccharides: A comprehensive study. Environ. Sci. Pollut. Res. 2020, 1, 27181–27201. [Google Scholar] [CrossRef]
- Mahbub, K.R.; Bahar, M.M.; Labbate, M.; Krishnan, K.; Andrews, S.; Naidu, R.; Megharaj, M. Bioremediation of mercury: Not properly exploited in contaminated soils! Appl. Microbiol. Biotechnol. 2017, 1, 963–976. [Google Scholar] [CrossRef]
- Kumari, S.; Jamwal, R.; Mishra, N.; Singh, D.K. Recent developments in environmental mercury bioremediation and its toxicity: A review. Environ. Nanotechnol. Monit. Manag. 2020, 13, 100283. [Google Scholar] [CrossRef]
- He, C.; Arizono, K.; Ji, H.; Yakushiji, Y.; Zhang, D.; Huang, K.; Ishibashi, Y. Comparison of mercury and methylmercury bioaccumulation in earthworms (Bimastus parvus) native to landfill-leachate-contaminated forest soil. J. Toxicol. Sci. 2018, 1, 459–471. [Google Scholar] [CrossRef]
- Amin, A.; Sarwar, A.; Saleem, M.A.; Latif, Z.; Opella, S.J. Expression and purification of transmembrane protein MerE from mercury-resistant Bacillus cereus. J. Microbiol. Biotechnol. 2019, 1, 274–282. [Google Scholar] [CrossRef]
- Abu-Dieyeh, M.H.; Alduroobi, H.M.; Al-Ghouti, M.A. Potential of mercury-tolerant bacteria for bio-uptake of mercury leached from discarded fluorescent lamps. J. Environ. Manage. 2019, 237, 217–227. [Google Scholar] [CrossRef]
- Ginting, R.C.B.; Solihat, N.; Hafsari, A.R. Potential bacteria capable of remediating mercury contaminated soils. Iop Conf. Ser. Earth Environ. Sci. 2021, 648, 012136. [Google Scholar] [CrossRef]
- Ministerio del Ambiente, Decreto Supremo N° 011-2017-MINAM. Available online: https://www.minam.gob.pe/disposiciones/de-creto-supremo-n-011-2017-minam/ (accessed on 23 August 2021).
- Stanchi, N.O. Microbiología Veterinaria, 3rd ed.; Inter-Médica: Ciudad Autónoma de Buenos Aires, Argentina, 2007. [Google Scholar]
- Fujimoto, S.; Nakagami, Y.; Kojima, F. Optimal Bacterial DNA Isolation Method Using Bead-Beating Technique. Memoirs Kyushu Univ. Dep. Health Scis. Med. Sch. 2004, 3, 33–38. [Google Scholar]
- Zhang, Z.; Schwartz, S.; Wagner, L.; Miller, W. A greedy algorithm for aligning DNA sequences. J. Comput. Biol. 2000, 7, 203–214. [Google Scholar] [CrossRef] [PubMed]
- Bauer, A.W. Antibiotic susceptibility testing by a standardized single disc method. Am. J. Clin. Pathol. 1966, 45, 149–158. [Google Scholar] [CrossRef]
- Moré, J.J. DThe Levenberg–Marquardt algorithm: Implementation and theory. In Numerical Analysis; Springer: Berlin/Heidelberg, Gemany, 1978; pp. 105–116. [Google Scholar]
- Greenman, J.; Ieropoulos, I.A. Allometric scaling of microbial fuel cells and stacks: The lifeform case for scale-up. J. Power Sources 2017, 356, 365–370. [Google Scholar] [CrossRef]
- Rimskaya-Korsakova, N.; Fontaneto, D.; Galkin, S.; Malakhov, V.; Martínez, A. Geochemistry drives the allometric growth of the hydrothermal vent tubeworm Riftia pachyptila (Annelida: Siboglinidae). Zool. J. Linn. Soc. 2021, 1, 281–294. [Google Scholar] [CrossRef]
- Shadrack, R.S.; Manabu, I.; Yokoyama, S. Efficacy of single and mix probiotic bacteria strain on growth indices, physiological condition and bio-chemical composition of juvenile amberjack (Seriola dumerili). Aquac. Rep. 2021, 20, 100753. [Google Scholar] [CrossRef]
- IBM Corp. Released 2017. IBM SPSS Statistics for Windows, Version 25.0; IBM Corp.: Armonk, NY, USA, 2017. [Google Scholar]
- Weber, W.J., Jr.; Morris, J.C. Kinetics of adsorption on carbon from solution. J. Sanit. Eng. Div. 1963, 1, 31–59. [Google Scholar] [CrossRef]
- OriginLab Corporation. Origin(Pro), Version 2020*; OriginLab Corporation: Northampton, MA, USA, 2020. [Google Scholar]
- Giovanella, P.; Cabral, L.; Bento, F.M.; Gianello, C.; Camargo, F.A.O. Mercury (II) removal by resistant bacterial isolates and mercuric (II) reductase activity in a new strain of Pseudomonas sp. B50A. New Biotechnol. 2016, 1, 216–223. [Google Scholar] [CrossRef]
- Colombo, M.J.; Ha, J.; Reinfelder, J.R.; Barkay, T.; Yee, N. Oxidation of Hg (0) to Hg (II) by diverse anaerobic bacteria. Chem. Geol. 2014, 363, 334–340. [Google Scholar] [CrossRef]
- NCBI. Available online: https://www.ncbi.nlm.nih.gov/nucleotide/KU147427.1?report=genbank&log$=nucltop&blast_rank=1&RID=R71FV77Z016/ (accessed on 23 October 2021).
- Tang, S.K.; Wang, Y.; Chen, Y.; Lou, K.; Cao, L.L.; Xu, L.H.; Li, W.J. Zhihengliuella alba sp. nov., and emended description of the genus Zhihengliuella. J. Comput. Biol. 2009, 1, 2025–2031. [Google Scholar]
- NCBI. Available online: https://www.ncbi.nlm.nih.gov/nucleotide/MK737333.1?report=genbank&log$=nucltop&blast_rank=4&RID=R71FV77Z016 (accessed on 23 October 2021).
- Zhang, Y.Q.; Schuman, P.; Yu, L.Y.; Liu, H.Y.; Zhang, Y.Q.; Xu, L.H.; Stackebrandt, E.; Jiang, C.L.; Li, W.J. Zhihengliuella halotolerans gen. nov., sp. nov., a novel member of the family Micrococcaceae. Int. J. Syst. Evol. Microbiol. 2007, 1, 1018–1023. [Google Scholar] [CrossRef] [PubMed]
- Jha, B.; Kumar Singh, V.; Weiss, A.; Hartmann, A.; Schmid, M. Zhihengliuella somnathii sp. nov., a halotolerant actinobacterium from the rhizosphere of a halophyte Salicornia brachiata. Int. J. Syst. Evol. Microbiol. 2015, 1, 3137–3142. [Google Scholar] [CrossRef] [PubMed]
- Chen, Y.G.; Tang, S.K.; Zhang, Y.Q.; Liu, Z.X.; Chen, Q.H.; He, J.W.; Cui, X.L.; Li, W.J. Zhihengliuella salsuginis sp. nov., a moderately halophilic actinobacterium from a subterranean brine. Extremophiles 2010, 1, 397–402. [Google Scholar] [CrossRef] [PubMed]
- Hamada, M.; Shibata, C.; Tamura, T.; Suzuki, K. Zhihengliuella flava sp. nov., an actinobacterium isolated from sea sediment, and emended description of the genus Zhihengliuella. Int. J. Syst. Evol. Microbiol. 2013, 63 Pt 12, 4760–4764. [Google Scholar] [CrossRef]
- Siddikee, M.A.; Chauhan, P.S.; Anandham, R.; Han, G.H.; Sa, T.M. Isolation, characterization, and use for plant growth promotion under salt stress, of ACC deaminase-producing halotolerant bacteria derived from coastal soil. J. Microbiol. Biotechnol. 2010, 1, 1577–1584. [Google Scholar] [CrossRef]
- Luo, Y.; Dong, D.; Su, Y.; Wang, X.; Peng, Y.; Peng, J.; Zhou, C. Transcriptome analysis of Brassica juncea var. tumida Tsen responses to Plasmodiophora brassicae primed by the biocontrol strain Zhihengliuella aestuarii. Funct. Integr. Genomics 2018, 1, 301–314. [Google Scholar]
- Paul, D.; Lade, H. Plant-growth-promoting rhizobacteria to improve crop growth in saline soils: A review. Agron. Sustain. Dev. 2014, 1, 737–752. [Google Scholar] [CrossRef]
- Mosleh Arany, A.; Amini Hajiabadi, A.; Ghasemi, S.; Rad, M.H. The effects of Bacillus safensis, B. pumilus and Zhihengliuella halotolerans isolated from rhizosphere of halophyte plants on some physiological characteristics of Triticum aestivum (var. Ghods) under salinity. J. Soil Manag. Sustain. Prod. 2021, 1, 121–142. [Google Scholar]
- Mishra, A.; Gupta, B.; Kumar, N.; Singh, R.; Varma, A.; Thakur, I.S. Synthesis of calcite-based bio-composite biochar for enhanced biosorption and detoxification of chromium Cr (VI) by Zhihengliuella sp. ISTPL4. Bioresour. Technol. 2020, 307, 123262. [Google Scholar] [CrossRef]
- Gupta, B.; Mishra, A.; Singh, R.; Thakur, I.S. Fabrication of calcite based biocomposites for catalytic removal of heavy metals from electroplating industrial effluent. Environ. Technol. Innov. 2021, 21, 101278. [Google Scholar] [CrossRef]
- Mishra, A.; Rathour, R.; Singh, R.; Kumari, T.; Thakur, I.S. Degradation and detoxification of phenanthrene by actinobacterium Zhihengliuella sp. ISTPL4. Environ. Sci. Pollut. Res. 2020, 1, 27256–27267. [Google Scholar] [CrossRef]
- Nakamura, K.; Iwahara, M.; Furukawa, K. Screening of organomercurial-volatilizing bacteria in the mercury-polluted sediments and seawater of Minamata Bay in Japan. Clean Prod. Process. 2001, 1, 2104–2107. [Google Scholar] [CrossRef]
- Giovanella, P.; Cabral, L.; Costa, A.P.; de Oliveira Camargo, F.A.; Gianello, C.; Bento, F.M. Metal resistance mechanisms in Gram-negative bacteria and their potential to remove Hg in the presence of other metals. Ecotoxicol. Environ. Saf. 2017, 140, 162–169. [Google Scholar] [CrossRef] [PubMed]
- Dash, H.R.; Sahu, M.; Mallick, B.; Das, S. Functional efficiency of MerA protein among diverse mercury resistant bacteria for efficient use in bioremediation of inorganic mercury. Biochimie 2017, 142, 207–215. [Google Scholar] [CrossRef] [PubMed]
- Chauhan, M.; Solanki, M. Isolation and molecular characterization of three Bacillus strains for their tolerance against various heavy metals. J. Microbiol. Biotechnol. Food Sci. 2021, 2021, 1065–1069. [Google Scholar] [CrossRef][Green Version]
- Puicon, Y.; Hurtado, J.E. Bioremediation of Soils Polluted with Mercury by Using Pseudomonas sp. Isolated from Informal Mining Zones; Universidad Peruana Cayetano Heredia: Lima, Perú, 2019; pp. 1–7. [Google Scholar]
- Sánchez Dávila, J.; Hurtado Custodio, J. Mercury reduction by bacteria isolated from informal mining zones. Adv. Mater. Res. 2009, 71, 637–640. [Google Scholar] [CrossRef]
- Rasmussen, L.D.; SÖrensen, S.J. Effects of mercury contamination on the culturable heterotrophic, functional and genetic diversity of the bacterial community in soil. FEMS Microbiol. Ecol. 2001, 1, 1–9. [Google Scholar] [CrossRef]
- Campos, N.F.; Barbosa, C.M.; Rodríguez-Díaz, J.M.; Duarte, M.M. Removal of naphthenic acids using activated charcoal: Kinetic and equilibrium studies. Adsorpt. Sci. Technol. 2018, 36, 1405–1421. [Google Scholar] [CrossRef]
- Olson, P.E.; Wong, T.; Leigh, M.B.; Fletcher, J.S. Allometric modeling of plant root growth and its application in rhizosphere remediation of soil contaminants. Environ. Sci. Technol. 2003, 1, 638–643. [Google Scholar] [CrossRef]
- Ciadamidaro, L.; Girardclos, O.; Bert, V.; Zappelini, C.; Yung, L.; Foulon, J.; Chalot, M. Poplar biomass production at phytomanagement sites is significantly enhanced by mycorrhizal inoculation. Environ. Exp. Bot. 2017, 139, 48–56. [Google Scholar] [CrossRef]
- Liu, J.; Jia, X.; Wen, J.; Zhou, Z. Substrate interactions and kinetics study of phenolic compounds biodegradation by Pseudomonas sp. cbp1-3. Biochem. Eng. J. 2012, 67, 156–166. [Google Scholar] [CrossRef]




| Soil Type | As | Cd | Hg | Pb | ||||
|---|---|---|---|---|---|---|---|---|
| ECA | MV | ECA | MV | ECA | MV | ECA | MV | |
| Agricultural | 50.00 | 75.80 | 1.40 | 2.02 | 6.60 | 12.00 | 70.00 | 76.60 |
| Residential, Park | 50.00 | 75.80 | - | - | 6.60 | 7.70 | 140.00 | 234.00 |
| Commercial, Industrial, Extractive | - | - | - | - | 24.00 | 49.00 | - | - |
| Description | Total Score | Query Cover | Percent Identity | Accession Length | Accession |
|---|---|---|---|---|---|
| Z.A. strain DQ70 | 1705 | 99 | 99.78 | 1409 | KU147427.1 |
| Z.A. gene | 1705 | 99 | 99.78 | 1484 | AB778263.1 |
| Z.A. strain YIM 90734 | 1705 | 99 | 99.78 | 1454 | NR_044575.1 |
| Z.A. strain B4b42 | 1668 | 97 | 99.78 | 1344 | MK737333.1 |
| Z.A. strain B1kh77 | 1703 | 100 | 99.68 | 1379 | MK737182.1 |
| Z.A. strain J0f78 | 1701 | 100 | 99.68 | 1366 | MK737136.1 |
| Z.A. strain TN-Gafsa-I5-P27f-1392r-20091105 | 1701 | 100 | 99.68 | 1289 | GU451719.1 |
| A.B. strain 16S10-1 | 1657 | 98 | 99.45 | 921 | MT682454.1 |
| Z.A. strain BGR22 | 1589 | 94 | 99.21 | 1312 | KC789781.1 |
| Z.A. strain 210-LR22 | 1672 | 99 | 99.14 | 1437 | MF077154.1 |
| Antibiotic | MIC | Inhibition Zone | Measure | Category | |
|---|---|---|---|---|---|
| R | S | Diameter | |||
| Ciprofloxacin (CIP) | 5 µg | 15.0 | 21.0 | 28.0 | Sensitive (7) |
| Lincomycin (MY15) | 2 µg | 16.0 | 21.0 | 26.0 | Sensitive (5) |
| Azithromycin (AZM) | 15 µg | 13.0 | 18.0 | 38.0 | Sensitive (20) |
| Amikacin (AN30) | 30 µg | 14.0 | 17.0 | 14.0 | Intermediate |
| Amoxicillin (AML10) | 25 µg | 11.0 | 14.0 | 0.0 | Resistant |
| Levofloxacin (LEV) | 5 µg | 13.0 | 17.0 | 36.0 | Sensitive (19) |
| Enrofloxacin (ENR5) | 5 µg | 16.0 | 23.0 | 32.0 | Sensitive (9) |
| Amoxicillin + Clavulanic ac. (AMC30) | 30 µg | 13.0 | 18.0 | 0.0 | Resistant |
| Time | Experimental Values | Weber–Morris Model | Allometric Model | ||||||
|---|---|---|---|---|---|---|---|---|---|
| q | % ads. | Rate | q | % ads. | Rate | q | % ads. | Rate | |
| 0 | 0.00 | 0.00 | - | 0.00 | 0.00 | - | 0.00 | 0.00 | - |
| 12 | 15.00 | 9.26 | 1.25 | 7.01 | 4.33 | 0.58 | 14.78 | 9.12 | 1.23 |
| 24 | 15.00 | 9.26 | 0.00 | 9.91 | 6.12 | 0.24 | 18.44 | 11.39 | 0.31 |
| 48 | 27.00 | 16.67 | 0.50 | 14.02 | 8.67 | 0.17 | 23.01 | 14.21 | 0.19 |
| 720 | 52.00 | 32.10 | 0.04 | 54.28 | 33.51 | 0.06 | 54.64 | 33.73 | 0.05 |
| 1080 | 64.00 | 39.51 | 0.03 | 66.48 | 41.04 | 0.03 | 62.19 | 38.39 | 0.02 |
Publisher’s Note: MDPI stays neutral with regard to jurisdictional claims in published maps and institutional affiliations. |
© 2022 by the authors. Licensee MDPI, Basel, Switzerland. This article is an open access article distributed under the terms and conditions of the Creative Commons Attribution (CC BY) license (https://creativecommons.org/licenses/by/4.0/).
Share and Cite
Fernandez-F, F.; Lopez-C, P.; Febres-Molina, C.; Gamero-Begazo, P.L.; Gómez, B.; Bernabe-Ortiz, J.C.; Cáceres-Huambo, A.; Aguilar-Pineda, J.A. Identification and Characterization of Peruvian Native Bacterial Strains as Bioremediation of Hg-Polluted Water and Soils Due to Artisanal and Small-Scale Gold Mining in the Secocha Annex, Arequipa. Sustainability 2022, 14, 2669. https://doi.org/10.3390/su14052669
Fernandez-F F, Lopez-C P, Febres-Molina C, Gamero-Begazo PL, Gómez B, Bernabe-Ortiz JC, Cáceres-Huambo A, Aguilar-Pineda JA. Identification and Characterization of Peruvian Native Bacterial Strains as Bioremediation of Hg-Polluted Water and Soils Due to Artisanal and Small-Scale Gold Mining in the Secocha Annex, Arequipa. Sustainability. 2022; 14(5):2669. https://doi.org/10.3390/su14052669
Chicago/Turabian StyleFernandez-F, Fernando, Patricia Lopez-C, Camilo Febres-Molina, Pamela L. Gamero-Begazo, Badhin Gómez, Julio Cesar Bernabe-Ortiz, Alberto Cáceres-Huambo, and Jorge Alberto Aguilar-Pineda. 2022. "Identification and Characterization of Peruvian Native Bacterial Strains as Bioremediation of Hg-Polluted Water and Soils Due to Artisanal and Small-Scale Gold Mining in the Secocha Annex, Arequipa" Sustainability 14, no. 5: 2669. https://doi.org/10.3390/su14052669
APA StyleFernandez-F, F., Lopez-C, P., Febres-Molina, C., Gamero-Begazo, P. L., Gómez, B., Bernabe-Ortiz, J. C., Cáceres-Huambo, A., & Aguilar-Pineda, J. A. (2022). Identification and Characterization of Peruvian Native Bacterial Strains as Bioremediation of Hg-Polluted Water and Soils Due to Artisanal and Small-Scale Gold Mining in the Secocha Annex, Arequipa. Sustainability, 14(5), 2669. https://doi.org/10.3390/su14052669

