How Close Are We to Self-Provisioning? A Look at the Livelihood Strategies of Rural Households in the Southern Andean Region of Colombia
Abstract
1. Introduction
2. Materials and Methods
2.1. Access to Food in Rural Households
2.2. Composition and Diversity of Home Gardens in Rural Households
2.3. Push and Pull Factors towards Self-Provisioning in Rural Households
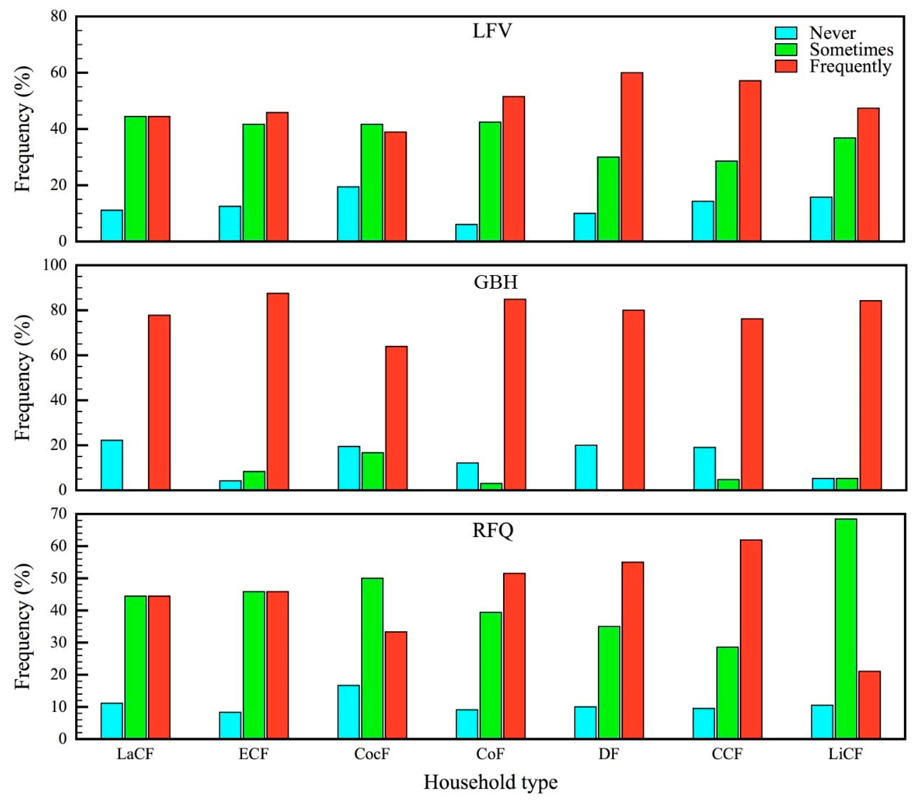
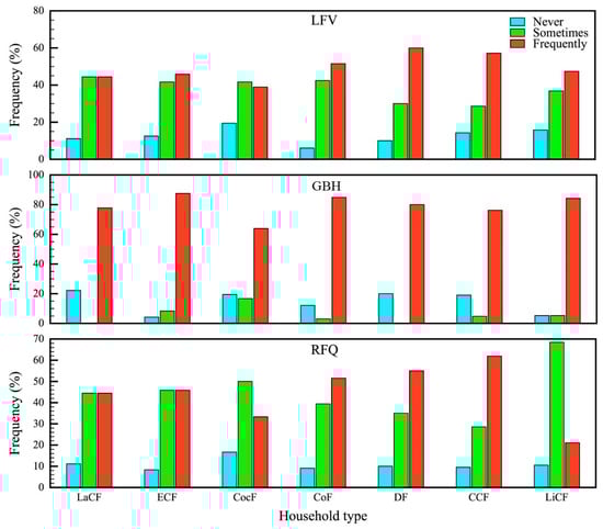
3. Results
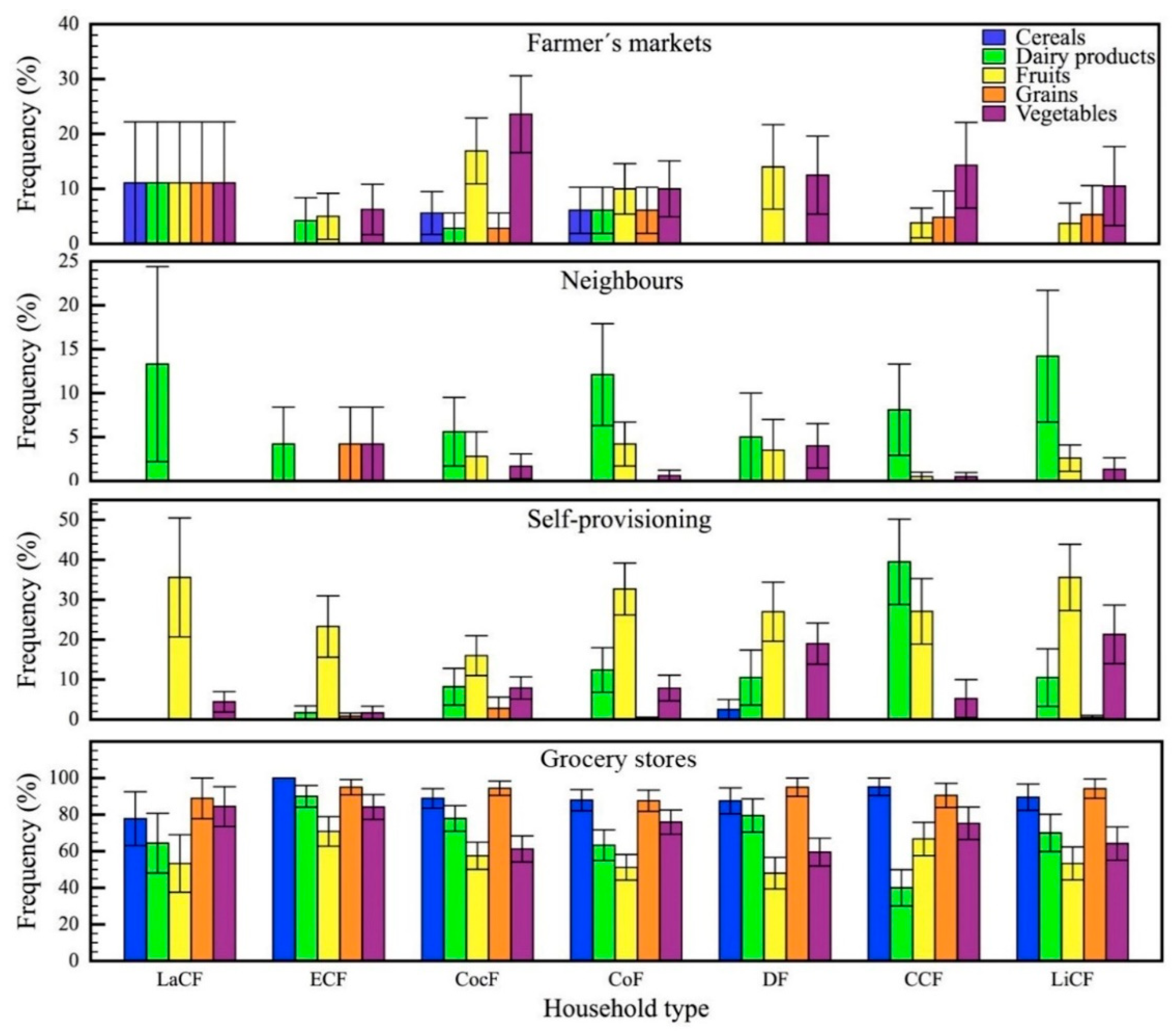
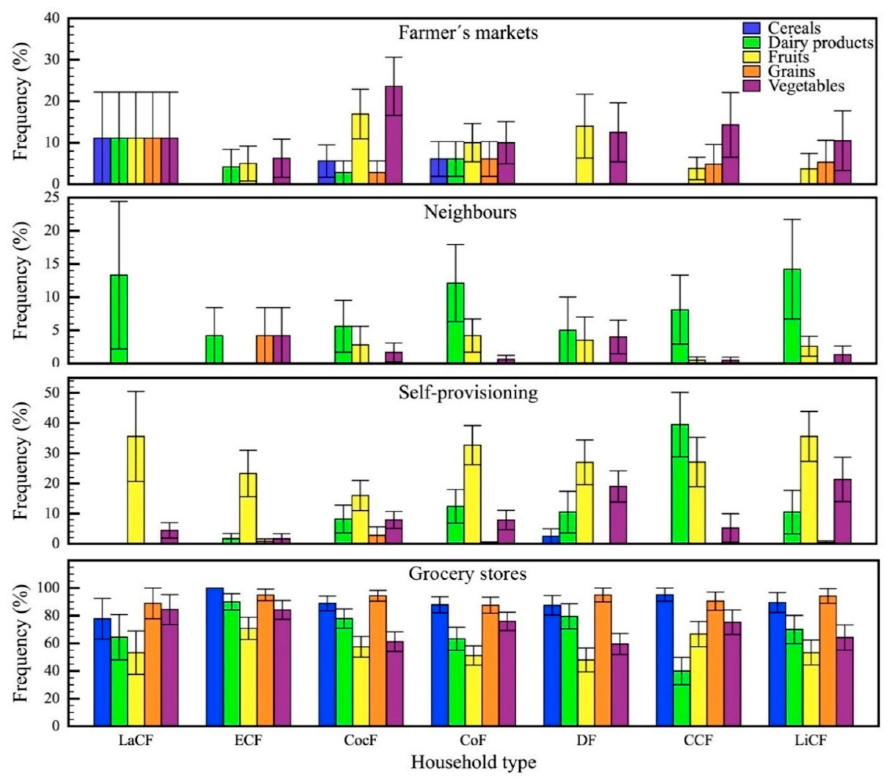
3.1. Food Sources and Access in Rural Households
3.2. Composition and Botanical Diversity of Home Gardens
3.3. Push and Pull Factors towards Self-Provisioning in Rural Households
4. Discussion
4.1. Food Sources and Access in Rural Households
4.2. Composition and Diversity of Home Gardens
4.3. Push and Pull Factors towards Self-Provisioning in Rural Households
5. Conclusions
Author Contributions
Funding
Institutional Review Board Statement
Informed Consent Statement
Data Availability Statement
Acknowledgments
Conflicts of Interest
References
- Aweke, C.S.; Lahiff, E.; Hassen, J.Y. The contribution of agriculture to household dietary diversity: Evidence from smallholders in East Hararghe, Ethiopia. Food Secur. 2020, 12, 625–636. [Google Scholar] [CrossRef]
- Álvarez, M.C.; Mancilla, L.P.; Cortés, J.E. Caracterización socioeconómica y seguridad alimentaria de los hogares productores de alimentos para el autoconsumo, Antioquia–Colombia. Agroalimentaria 2007, 25, 109–122. [Google Scholar]
- Sacco dos Anjos, F.; Eduardo, D.G.M.; Velleda, N. La seguridad alimentaria bajo otra mirada: Análisis sobre la evolución de la población brasileña ocupada en actividades de autoconsumo. Investig. Geográficas 2010, 73, 103–118. [Google Scholar]
- Dutra, L.V.; Morais, D.C.; Santos, R.H.S.; Franceschini, S.; Priore, S.E. Contribution of the production for self-consumption to food availability and food security in households of the rural area of a Brazilian city. Ecol. Food Nutr. 2018, 57, 282–300. [Google Scholar] [CrossRef]
- Torres, L.E. Autoconsumo y reciprocidad entre los campesinos andinos: Caso Fómeque. Cuad. Desarro. Rural 2002, 48, 79–96. [Google Scholar]
- Grisa, C. A produção para autoconsumo na agricultura familiar: Uma análise a partir da teoria da sociedade de Risco. Varia Sci. 2008, 8, 171–200. [Google Scholar]
- Van der Ploeg, J.D. Peasant-driven agricultural growth and food sovereignty. J. Peasant. Stud. 2014, 41, 999–1030. [Google Scholar] [CrossRef]
- Rosset, P.M.; Sosa, B.M.; Jaime, A.M.; Lozano, D.R. The Campesino-to-Campesino agroecology movement of ANAP in Cuba: Social process methodology in the construction of sustainable peasant agriculture and food sovereignty. J. Peasant. Stud. 2011, 38, 161–191. [Google Scholar] [CrossRef]
- Altieri, M.A.; Toledo, V.M. The agroecological revolution in Latin America: Rescuing nature, ensuring food sovereignty and empowering peasants. J. Peasant. Stud. 2011, 38, 587–612. [Google Scholar] [CrossRef]
- García, J.C.; Gutiérrez, J.G.; Balderas, M.Á.; Araújo, M.R. Estrategia de vida en el medio rural del altiplano central mexicano: El huerto familiar. Agric. Soc. Desarro 2016, 13, 621–641. [Google Scholar]
- Anderzén, J.; Luna, A.G.; Luna-González, D.V.; Merrill, S.C.; Caswell, M.; Méndez, V.E.; Jonapá, R.H. Effects of on-farm diversification strategies on smallholder coffee farmer food security and income sufficiency in Chiapas, Mexico. J. Rural Stud. 2020, 77, 33–46. [Google Scholar] [CrossRef]
- Altieri, M.A.; Funes, F.R.; Petersen, P. Agroecologically efficient agricultural systems for smallholder farmers: Contributions to food sovereignty. Agron. Sustain. Dev. 2012, 32, 1–13. [Google Scholar] [CrossRef]
- Vaast, P.; Somarriba, E. Trade-offs between crop intensification and ecosystem services: The role of agroforestry in cocoa cultivation. Agrofor. Syst. 2014, 88, 947–956. [Google Scholar] [CrossRef]
- Kortright, R.; Wakefield, S. Edible backyards: A qualitative study of household food growing and its contributions to food security. Agric. Hum. Values 2011, 28, 39–53. [Google Scholar] [CrossRef]
- Aworinde, D.; Erinoso, S.; Ogundairo, B.; Olanloye, A. Assessment of plants grown and maintained in home gardens in Odeda area Southwestern Nigeria. J. Hortic. For. 2013, 5, 29–36. [Google Scholar] [CrossRef]
- Algert, S.J.; Baameur, A.; Diekmann, L.O.; Gray, L.; Ortiz, D. Vegetable Output, Cost Savings, and Nutritional Value of Low-Income Families’ Home Gardens in San Jose, CA. J. Hunger. Environ. Nutr. 2016, 11, 328–336. [Google Scholar] [CrossRef]
- Díaz-Reviriego, I.; González-Segura, L.; Fernández-Llamazares, Á.; Howard, P.; Molina, J.L.; Reyes-García, V. Social organization influences the exchange and species richness of medicinal plants in Amazonian homegardens. Ecol. Soc. 2016, 21. [Google Scholar] [CrossRef]
- Calvet, L.; Calvet, M.; Molina, J.L.; Reyes, V. Seed Exchange as an Agrobiodiversity Conservation Mechanism. A Case Study in Vall Fosca, Catalan Pyrenees, Iberian Peninsula. Ecol. Soc. 2012, 17, 29. [Google Scholar] [CrossRef]
- Altieri, M.A.; Nicholls, C. Agroecología: Potenciando la agricultura campesina para revertir el hambre y la inseguridad alimentaria en el mundo. Rev. Econ. Crítica 2010, 10, 62–74. [Google Scholar]
- Akhter, S.; Alamgir, M.; Sohel, M.S.I.; Rana, M.P.; Ahmed, S.J.M.; Chowdhury, M.S.H. The role of women in traditional farming systems as practiced in homegardens: A case study in Sylhet Sadar Upazila, Bangladesh. Trop. Conserv. Sci. 2010, 3, 17–30. [Google Scholar] [CrossRef]
- Calvet, L.; Calvet, M.; Vaqué, L.; Reyes, V. Landraces in situ Conservation: A Case Study in High-Mountain Home Gardens in Vall Fosca, Catalan Pyrenees, Iberian Peninsula. Econ. Bot. 2011, 5, 146–157. [Google Scholar] [CrossRef]
- Gray, L.; Guzman, P.; Glowa, K.M.; Drevno, A.G. Can home gardens scale up into movements for social change? The role of home gardens in providing food security and community change in San Jose, California. Local Environ. 2014, 19, 187–203. [Google Scholar] [CrossRef]
- Galhena, D.H.; Freed, R.; Maredia, K. Home gardens: A promising approach to enhance household food security and wellbeing. Agric. Food Secur. 2013, 2, 8. [Google Scholar] [CrossRef]
- Lope, D.; Howard, P. The Structure, Composition, and Functions of Homegardens: Focus on the Yucatán Peninsula. Etnoecológica 2012, 9, 17–41. [Google Scholar]
- Sovová, L.; Veen, E.J. Neither Poor nor Cool: Practising Food Self-Provisioning in Allotment Gardens in the Netherlands and Czechia. Sustainability 2020, 12, 5134. [Google Scholar] [CrossRef]
- Vávra, J.; Daněk, P.; Jehlička, P. What is the contribution of food self-provisioning towards environmental sustainability? A case study of active gardeners. J. Clean. Prod. 2018, 185, 1015–1023. [Google Scholar] [CrossRef]
- Cano, E.J. Huertos familiares: Un camino hacia Soberanía Alimentaria. Rev. Pueblos Front. Digit. 2016, 10, 70–91. [Google Scholar] [CrossRef]
- Ghosh, S. Measuring sustainability performance of local food production in home gardens. Local Environ. 2014, 19, 33–55. [Google Scholar] [CrossRef]
- Galluzzi, G.; Eyzaguirre, P.; Negri, V. Home gardens: Neglected hotspots of agro-biodiversity and cultural diversity. Biodivers. Conserv. 2010, 19, 3635–3654. [Google Scholar] [CrossRef]
- Gálvez, M.D.C.A.; Gordillo, G.D.C.A.; Solana, E.E. Prácticas de alimentación y salud entre trabajadores agrícolas migrantes en Miguel Alemán, Sonora, México. Población Salud Mesoamérica 2019, 17, 201–224. [Google Scholar] [CrossRef]
- Carney, J.A. Subsistence in the Plantationocene: Dooryard gardens, agrobiodiversity, and the subaltern economies of slavery. J. Peasant. Stud. 2020, 48, 1075–1099. [Google Scholar] [CrossRef]
- FAO. La Seguridad Alimentaria: Información Para la Toma de Decisiones; Programa CE-FAO 2011. Available online: https://www.fao.org/3/al936s/al936s00.pdf (accessed on 12 January 2022).
- Lopez Feldman, A.J.; Hernández Cortés, D. Cambio climático y agricultura: Una revisión de la literatura con énfasis en América Latina. El Trimest. Económico 2016, 83, 459–496. [Google Scholar] [CrossRef]
- IDEAM. Atlas Climatológico de Colombia; Instituto de Hidrología, Meteorología y Estudios Ambientales—IDEAM: Bogotá, Colombia, 2017.
- DANE. 3er Censo Nacional Agropecuario. Hay Campo Para Todos; Tomo 2; Departamento Administrativo Nacinal de Estadísticas (DANE): Bogotá, Colombia, 2016.
- Bernal, A.P.; Hernández-Núñez, H.E.; Suárez, J.C.; Gutiérrez, I.; Casanoves, F.; Flora, C. Vulnerability to climate variability: Analysis from rural household livelihood strategies in Colombia. Unpublished data.
- Flora, C.; Flora, J.; Fey, S. Rural Communities: Legacy and Change, 2nd ed.; Westview Press: Boulder, Colorado, 2004. [Google Scholar]
- Gutiérrez-Montes, I.; Emery, M.; Fernandez-Baca, E. The Sustainable Livelihoods Approach and the Community Capitals Framework: The Importance of System-Level Approaches to Community Change Efforts. Community Dev. 2009, 40, 106–113. [Google Scholar] [CrossRef]
- Gómez, C.C.; Gutiérrez-Montes, I.; Imbach, A.; Alpízar, F.; Windevoxhel, N. Tiburón ballena y bienestar comunitario en Holbox, Quintana Roo, México. Recur. Nat. Ambiente 2008, 55, 10–117. [Google Scholar]
- Gutiérrez-Montes, I. Healthy Communities Equal Healthy Ecosystems? Evolution (and Breakdown) of a Participatory Ecological Research Project towards a Community Natural Resource Management Process, San Miguel Chimalapa (Mexico); Iowa State University: Ames, IA, USA, 2005. [Google Scholar]
- Hernández-Núñez, H.E.; Gutiérrez-Montes, I.; Bernal-Núñez, A.P.; Gutiérrez-García, G.A.; Suárez, J.C.; Casanoves, F.; Flora, C.B. Cacao cultivation as a livelihood strategy: Contributions to the well-being of Colombian rural households. Agric. Hum. Values 2021, 1–16. [Google Scholar] [CrossRef]
- Gutiérrez-Montes, I.; Siles, J.; Bartol, P.; Imbach, A. Merging a Landscape Management Planning Approach With the Community Capitals Framework: Empowering Local Groups in Land Management Processes in Bocas del Toro, Panama. Community Dev. 2009, 40, 220–230. [Google Scholar] [CrossRef]
- Lachapelle, P.R.; Gutiérrez-Montes, I.; Flora, C. Community Capacity and Resilience in Latin America through the Community Capitals Lens. In Community Capacity and Resilience in Latin America; Lachapelle, P.R., Gutiérrez-Montes, I., Flora, C., Eds.; Routledge Publishing: New York, NY, USA, 2020. [Google Scholar]
- Di Rienzo, J.; Macchiavelli, R.; Casanoves, F. Modelos Lineales Mixtos: Aplicaciones en InfoStat, 1st ed.; Grupo InfoStat: Córdoba, Argentina, 2011; 193p. [Google Scholar]
- Di Rienzo, J.; Casanoves, F.; Balzarini, M.; Gonzalez, L.; Tablada, M.; Robledo, C. Infostat Versión. 2019. Available online: http://www.infostat.com.ar/ (accessed on 11 December 2021).
- Balzarini, M.G.; Gonzalez, L.; Tablada, M.; Casanoves, F.; Di Rienzo, J.A.; Robledo, C.W. InfoStat. Manual del Usuario; Universidad Nacional de Córdoba: Córdoba, Argentina, 2008. [Google Scholar]
- Monroy-Martínez, R.; Ponce-Díaz, A.; Colín-Bahena, H.; Monroy-Ortiz, C.; García-Flores, A. Los Huertos Familiares Tradicionales Soporte De Seguridad Alimentaria En Comunidades Campesinas Del Estado De Morelos, MÉxico. Ambiente Sostenibilidad 2016, 6, 33–43. [Google Scholar] [CrossRef]
- Corzo, A.R.; Schwartz, N.B. Milpas y huertos de traspatio tradicionales en Petén, Guatemala y el problema de la seguridad alimentaria. Cienc. Soc. Humanid. 2016, 3, 7–24. [Google Scholar]
- Borgatti, S.P.; Everett, M.G.; Freeman, L.C. Ucinet for Windows: Software for Social Network Analysis; Analytic Technologies: Boston, MA, USA, 2002. [Google Scholar]
- Salcedo, C. Estrategias familiares, trabajo y orígenes de pequeños productores cafeteros en el Huila, Colombia. Cienc. Política 2016, 11, 161–190. [Google Scholar] [CrossRef][Green Version]
- Andrade, J.M. El papel del estado en el origen de las actividades económicas en una región periférica de Colombia: Análisis comparativo entre la minería y la agroindustria. Entornos 2013, 26, 325–333. [Google Scholar] [CrossRef]
- Steward, A. Reconfiguring Agrobiodiversity in the Amazon Estuary: Market Integration, the Açaí Trade and Smallholders’ Management Practices in Amapá, Brazil. Hum. Ecol. 2013, 41, 827–840. [Google Scholar] [CrossRef]
- Sovová, L.; Jehlička, P.; Daněk, P. Growing the Beautiful Anthropocene: Ethics of Care in East European Food Gardens. Sustainability 2021, 13, 5193. [Google Scholar] [CrossRef]
- Archila, M.; García, M.C.; Restrepo, A.M.; Parra, L. Luchas Social en Colombia 2013: Informe Especial del CINEP/Programa Por la Paz; Programa por la Paz (CINEP/PPP): Bogotá, Colombia, 2014. [Google Scholar]
- Pérez-Rincón, M.; Vargas-Morales, J.; Martinez-Alier, J. Mapping and Analyzing Ecological Distribution Conflicts in Andean Countries. Ecol. Econ. 2019, 157, 80–91. [Google Scholar] [CrossRef]
- Singh, R.; Singh, G.S. Traditional agriculture: A climate-smart approach for sustainable food production. Energy Ecol. Environ. 2017, 2, 296–316. [Google Scholar] [CrossRef]
- Wu, W.; Yu, Q.; You, L.; Chen, K.; Tang, H.; Liu, J. Global cropping intensity gaps: Increasing food production without cropland expansion. Land Use Policy 2018, 76, 515–525. [Google Scholar] [CrossRef]
- Borowski, P.F. Nexus between water, energy, food and climate change as challenges facing the modern global, European and Polish economy. AIMS Geosci. 2020, 6, 397–421. [Google Scholar] [CrossRef]
- Eitzinger, A.; Läderach, P.; Bunn, C.; Quiroga, A.; Benedikter, A.; Pantoja, A.; Gordon, J.; Bruni, M. Implications of a changing climate on food security and smallholders’ livelihoods in Bogotá, Colombia. Mitig. Adapt. Strateg. Glob. Chang. 2012, 19, 161–176. [Google Scholar] [CrossRef]
- Pathak, T.; Maskey, M.; Dahlberg, J.; Kearns, F.; Bali, K.; Zaccaria, D. Climate Change Trends and Impacts on California Agriculture: A Detailed Review. Agronomy 2018, 8, 25. [Google Scholar] [CrossRef]
- Calicioglu, O.; Flammini, A.; Bracco, S.; Bellù, L.; Sims, R. The Future Challenges of Food and Agriculture: An Integrated Analysis of Trends and Solutions. Sustainability 2019, 11, 222. [Google Scholar] [CrossRef]
- Kopittke, P.M.; Menzies, N.W.; Wang, P.; McKenna, B.A.; Lombi, E. Soil and the intensification of agriculture for global food security. Environ. Int. 2019, 132, 105078. [Google Scholar] [CrossRef]
- Rohr, J.R.; Barrett, C.B.; Civitello, D.J.; Craft, M.E.; Delius, B.; DeLeo, G.A.; Hudson, P.J.; Jouanard, N.; Nguyen, K.H.; Ostfeld, R.S.; et al. Emerging human infectious diseases and the links to global food production. Nat. Sustain. 2019, 2, 445–456. [Google Scholar] [CrossRef]
- Hanazaki, N.; Berkes, F.; Seixas, C.S.; Peroni, N. Livelihood Diversity, Food Security and Resilience among the Caiçara of Coastal Brazil. Hum. Ecol. 2012, 41, 153–164. [Google Scholar] [CrossRef]
- Cerdán, C.R.; Rebolledo, M.C.; Soto, G.; Rapidel, B.; Sinclair, F.L. Local knowledge of impacts of tree cover on ecosystem services in smallholder coffee production systems. Agric. Syst. 2012, 110, 119–130. [Google Scholar] [CrossRef]
- Šūmane, S.; Kunda, I.; Knickel, K.; Strauss, A.; Tisenkopfs, T.; Rios, I.d.I.; Rivera, M.; Chebach, T.; Ashkenazy, A. Local and farmers’ knowledge matters! How integrating informal and formal knowledge enhances sustainable and resilient agriculture. J. Rural. Stud. 2018, 59, 232–241. [Google Scholar] [CrossRef]
- Montenegro, M.; Lagos, T.C.; Vélez, J. Agrodiversidad de los huertos caseros de la región andina del sur de Colombia. Rev. Cienc. Agrícolas 2017, 34, 50–63. [Google Scholar] [CrossRef]
- Guapucal, M.; Benavides, X.S.; Sinisterra, K.X. Valoración participativa del uso y manejo del huerto mixto. Rev. Cienc. Agrícolas 2019, 36, 46–58. [Google Scholar] [CrossRef]
- Gutiérrez-Montes, I.; Emery, M.; Fernandez-Baca, E. Why Gender Matters to Ecological Management and Poverty Reduction. In Integrating Ecology and Poverty Reduction; Springer: New York, NY, USA, 2012; pp. 39–59. [Google Scholar]
- Vaitla, B.; Cissé, J.D.; Upton, J.; Tesfay, G.; Abadi, N.; Maxwell, D. How the choice of food security indicators affects the assessment of resilience—An example from northern Ethiopia. Food Secur. 2019, 12, 137–150. [Google Scholar] [CrossRef]
- Mango, N.; Zamasiya, B.; Makate, C.; Nyikahadzoi, K.; Siziba, S. Factors influencing household food security among smallholder farmers in the Mudzi district of Zimbabwe. Dev. S. Afr. 2014, 31, 625–640. [Google Scholar] [CrossRef]
- MEN. Plan Rural de Educación Superior: Estrategias de Fortalecimiento de Capacidades Para el Desarrollo Territorial; Ministerio de Educación Nacional: Bogotá, Colombia, 2018.
- Viáncha. Análisis del Indicador de Tránsito Inmediato a Educación Superior en Colombia. Available online: https://luisfernandoviancha.com/index.php/tasa-de-transito/ (accessed on 12 January 2022).
- Snoeck, D.; Koko, L.; Joffre, J.; Bastide, P.; Jagoret, P. Cacao Nutrition and Fertilization. In Sustainable Agriculture Reviews; Lichtfouse, E., Ed.; Springer: Cham, Switzerland, 2016; Volume 19, pp. 155–202. [Google Scholar]
- Dawoe, E.K.; Quashie-Sam, J.; Isaac, M.E.; Oppong, S.K. Exploring farmers’ local knowledge and perceptions of soil fertility and management in the Ashanti Region of Ghana. Geoderma 2012, 179–180, 96–103. [Google Scholar] [CrossRef]
- Gaworski, M.; Ciesielski, W.; Kaminska, N. Effect of modern apple production technologies on development of family orchard farming with particular focus on Polish conditions. Eng. Rural. Dev. 2017, 24, 408–414. [Google Scholar]
- Menozzi, D.; Fioravanzi, M.; Donati, M. Farmer’s motivation to adopt sustainable agricultural practices. Bio-Based Appl. Econ. 2015, 4, 125–147. [Google Scholar] [CrossRef]
- Naess, L.O. The role of local knowledge in adaptation to climate change. Wiley Interdiscip. Rev. Clim. Chang. 2013, 4, 99–106. [Google Scholar] [CrossRef]
- Utter, A.; White, A.; Méndez, V.E.; Morris, K. Co-creation of knowledge in agroecology. Elem. Sci. Anthr. 2021, 9, 00026. [Google Scholar] [CrossRef]
- Lopéz, L.; Alvarez, F.; Rappo, E.; Damián, Á.; Méndez, A.; Paredes, A. Family Gardens and Food Security: The Case of the Municipality of Calpan, Puebla, Mexico. Agric. Soc. Desarro 2019, 16, 351–371. [Google Scholar]
- Numbisi, F.N.; Alemagi, D.; Degrande, A.; Van Coillie, F. Farm Rejuvenation-Induced Changes in Tree Spatial Pattern and Live Biomass Species of Cocoa Agroforests in Central Cameroon: Insights for Tree Conservation Incentives in Cocoa Landscapes. Sustainability 2021, 13, 8483. [Google Scholar] [CrossRef]
- Notaro, M.; Collado, C.; Depas, J.K.; Dumovil, D.; Denis, A.J.; Deheuvels, O.; Tixier, P.; Gary, C. The spatial distribution and height of associated crops influence cocoa tree productivity in complex agroforestry systems. Agron. Sustain. Dev. 2021, 41, 60. [Google Scholar] [CrossRef]
- Cerda, R.; Deheuvels, O.; Calvache, D.; Niehaus, L.; Saenz, Y.; Kent, J.; Vilchez, S.; Villota, A.; Martinez, C.; Somarriba, E. Contribution of cocoa agroforestry systems to family income and domestic consumption: Looking toward intensification. Agrofor. Syst. 2014, 88, 957–981. [Google Scholar] [CrossRef]
- Cerda, R.; Avelino, J.; Harvey, C.A.; Gary, C.; Tixier, P.; Allinne, C. Coffee agroforestry systems capable of reducing disease-induced yield and economic losses while providing multiple ecosystem services. Crop Prot. 2020, 134, 105149. [Google Scholar] [CrossRef]
- IPCC. Climate Change and Land: An IPCC Special Report on Climate Change, Desertification, Land Degradation, Sustainable Land Management, Food Security, and Greenhouse Gas Fluxes in Terrestrial Ecosystems; Summary for Policymakers; IPCC: Geneva, Switzerland, 2019; p. 41. [Google Scholar]






| Household Type | Abbreviation | Characteristics |
|---|---|---|
| Cattlemen Cocoa Farmers | CCF | Rural households whose farm area is larger than average (>30 ha). Overall, 68% of the area is pasture, 20% is cocoa crops, and 10% is forests. |
| Coffee Farmers | CofF | Overall, 30% of the coffee farmers have farms with areas between 8 and 16 ha and the rest of them do not exceed 8 ha. The main product is coffee (46% of the income), followed by cocoa (37% of the income), and in some cases they complement it with cattle raising as a form of saving (5% of the income). |
| Cocoa Farmers | CoF | They are economically dependent (95%) on cocoa. Overall, 85% of the farm’s area is established in cocoa crops, the rest is conserved in secondary forests or fallows 13% of cocoa farmers have farms with between 7 and 17 ha, the rest of the farms have no more than 7 ha. |
| Diversified Farmers | DF | They have farms with areas averaging 5 ha. Overall, 30% of the area is in fruit crops, such as grapes, avocado, tangerine, banana; 70% of the area is established in cocoa crops. These activities contribute approximately 45 and 40% of the economic income, respectively, and 15% is complemented by the production of eggs and transitory crops. |
| Livestock Cocoa Farmers | LiCF | The main economic activity is the production of minor species such as fish, pigs, and chickens, which provides 46% of the income. In addition, they grow cocoa in 70% of the farm area, which on average is 8 ha. The income received from cocoa crops represents 44% of household income. |
| Employees Cocoa Farmers | ECF | The main sources of income are off-farm, including non-agricultural (i.e., pensions, public employment, and own business) and agricultural activities, such as sale of labor. These activities generate 50% of income. These households produce cocoa throughout the farm (3 ha) and complement the economy of these families by 40%. |
| Landlords Cocoa Farmers | LaCF | They base their economy on two activities: the sale of cocoa, for which they allocate 20% of the farm area and the rest is used to be leased mainly for livestock use, which contributes 32% to the economy of these households. |
| Variable | Grocery Stores | Self-Provisioning | Farmers Markets | Neighbors |
|---|---|---|---|---|
| % | ||||
| Grains | 92.3 ± 1.3 a | 0.9 ± 1.3 b | 3.7 ± 1.3 b | 0.6 ± 1.3 b |
| Fruits | 57.5 ± 2.4 a | 26.7 ± 2.4 b | 9.8 ± 2.4 c | 2.3 ± 2.4 d |
| Cereals | 90.4 ± 1.3 a | 0.3 ± 1.3 b | 3.1 ± 1.3 b | 0 ± 1.3 b |
| Dairy products | 70.3 ± 2.5 a | 12.2 ± 2.5 b | 3.1 ± 2.5 bc | 8.4 ± 2.5 c |
| Vegetables | 70.9 ± 2.2 a | 9.4 ± 2.2 b | 13.5 ± 2.2 b | 1.8 ± 2.2 c |
| Variable | LaCF | ECF | CocF | CoF | DF | CCF | LiCF | |
|---|---|---|---|---|---|---|---|---|
| % | ||||||||
| Presence of family garden in the household | Yes | 66.8 | 37.5 | 36.1 | 66.7 | 45.0 | 38.1 | 84.2 |
| No | 33.3 | 62.5 | 63.9 | 33.3 | 55.0 | 61.9 | 15.8 | |
| Foods grown in home garden | Aromatics | 17.6 | 14.3 | 17.8 | 18.7 | 18.7 | 6.7 | 18.2 |
| Bulb | 11.8 | 4.8 | 22.2 | 15.6 | 18.7 | 0.0 | 9.1 | |
| Cereal | 0.0 | 0.0 | 4.4 | 1.6 | 0.0 | 0.0 | 1.8 | |
| Fruit | 35.3 | 62 | 28.9 | 39.1 | 34.3 | 60 | 32.7 | |
| Grass | 5.9 | 0.0 | 0.0 | 0.0 | 0.0 | 0.0 | 0.0 | |
| Bulb Vegetable | 11.8 | 4.8 | 8.9 | 14 | 15.6 | 6.7 | 18.2 | |
| Legume | 5.9 | 4.8 | 15.6 | 4.7 | 6.2 | 13.3 | 10.9 | |
| Tuber | 11.8 | 9.5 | 2.2 | 6.2 | 6.2 | 13.3 | 9.1 | |
| Variable | LaCF | ECF | CocF | CoF | DF | CCF | LiCF |
|---|---|---|---|---|---|---|---|
| Shannon–Weaver | 0.5 ± 0.2 abc | 0.3 ± 0.1 bc | 0.4 ± 0.1 bc | 0.5 ± 0.1 ab | 0.5 ± 0.2 abc | 0.2 ± 0.1 c | 0.9 ± 0.2 a |
| Species richness | 2.9 ± 1.3 ab | 1.3 ± 0.4 c | 1.7 ± 0.5 c | 2.9 ± 0.6 a | 1.9 ± 0.6 bc | 1.2 ± 0.4 c | 4.2 ± 0.9 a |
| Food categories richness | 1.9 ± 0.7 abc | 0.9 ± 0.3 d | 1.2 ± 0.3 cd | 1.9 ± 0.3 ab | 1.6 ± 0.5 bc | 0.7 ± 0.2 d | 2.9 ± 0.5 a |
| On-Farm Cultivation (Self-Provisioning) | Characteristics of the Home Garden | |||||||
|---|---|---|---|---|---|---|---|---|
| Vegetables | Grains | Fruits | Cereals | Dairy Products | Species Richness | Group Richness | Shannon Weaver | |
| Human capital | - | - | - | - | - | - | - | - |
| Number of women in the household | - | - | - | - | 0.19 | 0.19 | - | 0.18 |
| Years of education of household head | - | - | 0.3 | - | - | - | - | - |
| Years of youth home education | 0.2 | - | 0.21 | - | - | - | - | - |
| Social capital | - | - | - | - | - | - | - | - |
| Participation in associations | - | - | 0.21 | - | - | - | - | - |
| Interaction with training institutions | 0.29 | - | 0.22 | - | - | - | - | - |
| Number of trainings received | - | - | 0.19 | - | - | −0.29 | - | - |
| Natural capital | ||||||||
| Area of the farm | −0.28 | - | - | - | 0.29 | −0.18 | −0.23 | −0.22 |
| Built capital | - | - | - | - | - | - | - | - |
| Access to irrigation system | - | 0.21 | - | - | - | - | - | - |
| Technological level of the farm | - | - | - | - | 0.19 | 0.21 | 0.22 | 0.24 |
| Financial capital | - | - | - | - | - | - | - | - |
| Income households | −0.25 | - | - | - | 0.44 | −0.21 | −0.23 | −0.2 |
| External income | - | - | - | - | - | - | −0.25 | −0.26 |
| Livestock income | - | - | - | - | 0.4 | - | - | - |
| Crop income | −0.2 | - | - | - | 0.26 | −0.19 | - | - |
| Diversity of agricultural activities | 0.3 | - | - | 0.19 | 0.2 | - | - | - |
Publisher’s Note: MDPI stays neutral with regard to jurisdictional claims in published maps and institutional affiliations. |
© 2022 by the authors. Licensee MDPI, Basel, Switzerland. This article is an open access article distributed under the terms and conditions of the Creative Commons Attribution (CC BY) license (https://creativecommons.org/licenses/by/4.0/).
Share and Cite
Hernández, H.E.; Gutiérrez, G.A.; Gutiérrez-Montes, I.; Suárez, J.C.; Andrade, H.J.; Bernal, A.P.; Casanoves, F.; Flora, C.B. How Close Are We to Self-Provisioning? A Look at the Livelihood Strategies of Rural Households in the Southern Andean Region of Colombia. Sustainability 2022, 14, 2504. https://doi.org/10.3390/su14052504
Hernández HE, Gutiérrez GA, Gutiérrez-Montes I, Suárez JC, Andrade HJ, Bernal AP, Casanoves F, Flora CB. How Close Are We to Self-Provisioning? A Look at the Livelihood Strategies of Rural Households in the Southern Andean Region of Colombia. Sustainability. 2022; 14(5):2504. https://doi.org/10.3390/su14052504
Chicago/Turabian StyleHernández, Héctor Eduardo, Gustavo Adolfo Gutiérrez, Isabel Gutiérrez-Montes, Juan Carlos Suárez, Hernán J. Andrade, Angie Paola Bernal, Fernando Casanoves, and Cornelia Butler Flora. 2022. "How Close Are We to Self-Provisioning? A Look at the Livelihood Strategies of Rural Households in the Southern Andean Region of Colombia" Sustainability 14, no. 5: 2504. https://doi.org/10.3390/su14052504
APA StyleHernández, H. E., Gutiérrez, G. A., Gutiérrez-Montes, I., Suárez, J. C., Andrade, H. J., Bernal, A. P., Casanoves, F., & Flora, C. B. (2022). How Close Are We to Self-Provisioning? A Look at the Livelihood Strategies of Rural Households in the Southern Andean Region of Colombia. Sustainability, 14(5), 2504. https://doi.org/10.3390/su14052504

