Customized Investment Decisions for New and Remanufactured Products Supply Chain Based on 3D Printing Technology
Abstract
:1. Introduction
- How can the OEM and the retailer make optimal pricing decisions and determine the optimal level of customization effort in the existence of both new and remanufactured products after customization?
- What is the impact of different models on their optimal decision when there are two production models, i.e., the manufacturer and the retailer are responsible for customized production, respectively? Which model is preferred by supply chain members?
- What determines the level of customization effort of supply chain members driven by profit maximization?
- As far as we know, we are the first to link customization with remanufacturing and set the customized production to be completed by 3D printing technology to study investment decisions for customized remanufactured products.
- Unlike previous studies, we focus on analyzing the influencing factors of the optimal customization effort level, which is of great significance for enterprises to make investment decisions.
- We compared and analyzed the differences in optimal decision under different models, including the level of customization effort, demand and profit, and finally came to more conclusions, which provide important references for enterprises to make profit-maximizing decisions.
2. Literature Review
2.1. Mass Customization
2.2. Three-Dimensional Printing Technologies
2.3. Remanufacturing Production
2.4. Summary
3. The Model
3.1. Problem Description
3.2. Basic Assumptions
3.3. Basic Model
3.4. Decision Research under Two Models
3.4.1. OEM Remanufacturing
3.4.2. Retailer Remanufacturing
- (1)
- The optimal wholesale price of new products is
- (2)
- The optimal selling price of new products and remanufactured products are
- (3)
- The optimal level of customization effort is
- (4)
- The profits of the manufacturer and the retailer are
3.4.3. Comparison of Customized Effort Levels under the Two Models
4. Numerical Analysis
4.1. Analysis of the Impact of Customized Sensitivity Coefficients
4.1.1. The Effect of Customization Sensitivity Coefficient on Customization Effort Level
4.1.2. The Impact of Customized Sensitivity Coefficient on Market Demand
4.1.3. The Impact of Customized Sensitivity Coefficients on Profits
4.2. Analysis of the Impact of Customization Costs
4.2.1. The Effect of Customization Cost on Customization Effort Level
4.2.2. The Impact of Customization Cost on Market Demand
4.2.3. The Impact of Customization Costs on Profits
5. Conclusions
5.1. Theoretical Results
- The size of the consumer market will have an impact on the level of customization efforts, and the expansion of the consumer market size will promote the level of customization efforts. An increase in customization susceptibility will lead to an increase in the level of customization effort. The improvement of the level of customization effort can effectively reduce the cost of product customization, so improving the level of customization effort can help the manufacturer reduce costs.
- When the customization sensitivity coefficient is higher than 0.58 or the customization cost is lower than 3.2, the customization effort level of the retailer is slightly higher than that of the OEM. However, if the above conditions are not met, the level of customization effort of the OEM is higher than that of the retailer in most cases.
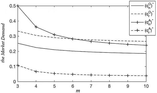
- Consumers prefer remanufactured products under OEM remanufacturing and new products under retailer remanufacturing. When the customization sensitivity coefficient exceeds 0.4, consumers prefer remanufactured products under OEM remanufacturing. On the contrary, new products under retailer remanufacturing have more market demand.
- The improvement of the customization sensitivity coefficient will increase the profit of the manufacturer, and the profit of the manufacturer is higher than that of the retailer in either case. When the customization sensitivity coefficient is lower than 0.47, the profit of the manufacturer under the retailer’s remanufacturing model will eventually be greater than that of the OEM remanufacturing model. However, when the customization sensitivity coefficient is higher than 0.47, the manufacturer’s profit under the retailer remanufacturing model will eventually exceed its profit under the OEM remanufacturing model. No matter how the customization sensitivity coefficient changes, the profit of the retailer under OEM remanufacturing is always higher than that under the retailer’s remanufacturing.
- The mode of transferring the customization process from the OEM to the retailer will make the manufacturer more profitable only when the customization sensitivity coefficient is higher than 0.47, while for the retailer, the transfer of the customization process will reduce the retailer’s profit.
- The increased cost of customization reduces the profits of the manufacturer and the retailer in both models. When the customization cost is less than five, the manufacturer should choose the retailer remanufacturing model; otherwise, they should choose the OEM remanufacturing model. Differently, no matter how the customization cost changes, the profit of the retailer under the OEM remanufacturing model is always higher than that under the retailer’s remanufacturing model.
5.2. Suggestions
5.3. Further Research
Author Contributions
Funding
Institutional Review Board Statement
Informed Consent Statement
Data Availability Statement
Conflicts of Interest
Nomenclature
| Notation | Description |
| New product consumption market size | |
| Remanufactured product consumption market size | |
| The wholesale prices for new products | |
| The wholesale prices for remanufactured products | |
| OEM’s profit | |
| Retailer’s profit | |
| The sale price of the new product | |
| The sale price of remanufactured products | |
| The unit production cost of new products | |
| The unit production cost of the remanufactured product by the manufacturer | |
| Retailer’s unit production cost | |
| Retailer’s license fee to manufacturer | |
| Customization effort level | |
| Customized cost coefficient | |
| Price-sensitive coefficient | |
| Product variation coefficient | |
| Customized sensitivity coefficient | |
| Customization effort level when remanufactured by the OEM | |
| Level of customization effort when remanufactured by the retailer | |
| Market demand for new products when remanufactured by the OEM | |
| Market demand for remanufactured products when remanufactured by the OEM | |
| Market demand for new products when remanufactured by the retailer | |
| Market demand for remanufactured goods when remanufactured by the retailer | |
| Manufacturer’s profit when remanufactured by the OEM | |
| Retailer profit when remanufactured by the OEM | |
| Manufacturer’s profit when remanufactured by the retailer | |
| Retailer profit when remanufactured by the retailer |
References
- China to Launch “Trade-in” Pilot. Available online: http://politics.people.com.cn/n/2013/0830/c1001-22743865.html (accessed on 7 February 2022).
- China Will Vigorously Develop a Circular Economy in the 14th Five-Year Plan. Available online: https://epaper.gmw.cn/gmrb/html/2021-07/08/nw.D110000gmrb_20210708_1-10.htm (accessed on 7 February 2022).
- Lund, R. Remanufacturing: The Experience of the United States and Implications for Developing Countries; World Bank: Washington, DC, USA, 1984; Volume 31. [Google Scholar]
- Wei, S.; Cheng, D.; Sundin, E.; Tang, O. Motives and barriers of the remanufacturing industry in China. J. Clean. Prod. 2015, 94, 340–351. [Google Scholar] [CrossRef]
- Additive Manufacturing, Reshaping the Future of Manufacturing. Available online: https://epaper.gmw.cn/gmrb/html/2018-06/21/nw.D110000gmrb_20180621_3-13.htm (accessed on 7 February 2022).
- Continuum Fashion. Available online: http://www.continuumfashion.com/projects.php (accessed on 7 February 2022).
- Nike News. Available online: https://news.nike.com/news/nike-debuts-first-ever-football-cleat-built-using-3d-printing-technology (accessed on 7 February 2022).
- Stratasys. Available online: https://www.stratasysdirect.com/industries/transportation/3d-printed-car-fuel-efficient-fdm-urbee-2 (accessed on 7 February 2022).
- Jung, K.S.; Hwang, H. Competition and cooperation in a remanufacturing system with take-back requirement. J. Intell. Manuf. 2011, 22, 427–433. [Google Scholar] [CrossRef]
- Wu, C. Price and service competition between new and remanufactured products in a two-echelon supply chain. Int. J. Prod. Econ. 2012, 140, 496–507. [Google Scholar] [CrossRef]
- Yenipazarli, A. Managing New and Remanufactured Products to Mitigate Environmental Damage under Emissions Regulation. Eur. J. Oper. Res. 2016, 249, 117–130. [Google Scholar] [CrossRef]
- Ma, Z.J.; Zhou, Q.; Dai, Y.; Sheu, J.B. Optimal pricing decisions under the coexistence of “trade old for new” and “trade old for remanufactured” programs. Transp. Res. Part E Logist. Transp. Rev. 2017, 106, 337–352. [Google Scholar] [CrossRef]
- Wang, N.; He, Q.; Jiang, B. Hybrid closed-loop supply chains with competition in recycling and product markets. Int. J. Prod. Econ. 2019, 217, 246–258. [Google Scholar] [CrossRef]
- Xia, N.; Rajagopalan, S. Standard vs. Custom Products: Variety, Lead Time, and Price Competition. Mark. Sci. 2009, 28, 887–900. [Google Scholar] [CrossRef]
- Jian, W.; Huijuan, J. Price and Service Competition in a Dual-Channel Supply Chain with Product Customization. Complexity 2021, 2021, 8833174. [Google Scholar]
- Shao, X.-F. What is the right production strategy for horizontally differentiated product: Standardization or mass customization? Int. J. Prod. Econ. 2019, 223, 107527. [Google Scholar] [CrossRef]
- Takagoshi, N.; Matsubayashi, N. Customization competition between branded firms: Continuous extension of product line from core product. Eur. J. Oper. Res. 2013, 225, 337–352. [Google Scholar] [CrossRef]
- Zhang, C.; Zheng, X. Customization strategies between online and offline retailers. Omega 2020, 100, 102230. [Google Scholar] [CrossRef]
- Canyou, W.; Qin, S.; Ding, Z. 3D printing platform-based product pricing, designer efforts and supply chain coordination strategies. Chin. J. Manag. 2018, 15, 1059–1068. [Google Scholar]
- Sun, L.; Hua, G.; Cheng, T.C.E.; Wang, Y. How to price 3D-printed products? Pricing strategy for 3D printing platforms. Int. J. Prod. Econ. 2020, 226, 107600. [Google Scholar] [CrossRef]
- Chen, L.; Cui, Y.; Lee, H.L. Retailing with 3D Printing. Prod. Oper. Manag. 2021, 30, 1986–2007. [Google Scholar] [CrossRef]
- Arbabian, M.E.; Wagner, M.R. The impact of 3D printing on manufacturer–retailer supply chains. Eur. J. Oper. Res. 2020, 285, 538–552. [Google Scholar] [CrossRef]
- Bui, T.D.; Tsai, F.M.; Tseng, M.L.; Tan, R.R.; Yu, K.D.S.; Lim, M.K. Sustainable supply chain management towards disruption and organizational ambidexterity: A data driven bibliometric analysis. Sustain. Prod. Consum. 2021, 26, 373–410. [Google Scholar] [CrossRef]
- Jost, P.; Süsser, T. Company-customer interaction in mass customization. Int. J. Prod. Econ. 2019, 220, 107454. [Google Scholar] [CrossRef]
- Mendelson, H.; Parlaktürk, A.K. Competitive Customization. Manuf. Serv. Oper. Manag. 2008, 10, 377–390. [Google Scholar] [CrossRef] [Green Version]
- Syam, N.B.; Kumar, N. On Customized Goods. Stand. Goods Compet. Mark. Sci. 2006, 25, 525–537. [Google Scholar]
- Zipkin, P. The Limits of Mass Customization. MIT Sloan Manag. Rev. 2001, 42, 81–87. [Google Scholar]
- Choi, T.-M.; Ma, C.; Shen, B.; Sun, Q. Optimal pricing in mass customization supply chains with risk-averse agents and retail competition. Omega 2019, 88, 150–161. [Google Scholar] [CrossRef]
- Yazdani, A.; Çil, E.B.; Pangburn, M.S. What if Hotelling’s Firms Can Mass Customize? Decis. Sci. 2020, 51, 395–422. [Google Scholar] [CrossRef]
- Sun, L.; Wang, Y.; Hua, G.; Cheng, T.; Dong, J. Virgin or recycled? Optimal pricing of 3D printing platform and material suppliers in a closed-loop competitive circular supply chain. Resour. Conserv. Recycl. 2020, 162, 105035. [Google Scholar] [CrossRef]
- Ngo, T.D.; Kashani, A.; Imbalzano, G.; Nguyen, K.T.Q.; Hui, D. Additive manufacturing (3D printing): A review of materials, methods, applications and challenges. Compos. Part B 2018, 143, 172–196. [Google Scholar] [CrossRef]
- Phaal, R.; O’Sullivan, E.; Routley, M.; Ford, S.; Probert, D. A framework for mapping industrial emergence. Technol. Forecast. Soc. Chang. 2010, 78, 217–230. [Google Scholar] [CrossRef]
- Dankar, I.; Haddarah, A.; Omar, F.E.; Sepulcre, F.; Pujolà, M. 3D printing technology: The new era for food customization and elaboration. Trends Food Sci. Technol. 2018, 75, 231–242. [Google Scholar] [CrossRef]
- Weller, C.; Kleer, R.; Piller, F.T. Economic implications of 3D printing: Market structure models in light of additive manufacturing revisited. Int. J. Prod. Econ. 2015, 164, 43–56. [Google Scholar] [CrossRef]
- Acher, M.; Baudry, B.; Barais, O.; Jézéquel, J.-M. Customization and 3D printing: A challenging playground for software product lines. Assoc. Comput. Mach. 2014, 1, 142–146. [Google Scholar]
- Berman, B. 3-D printing: The new industrial revolution. Bus. Horiz. 2012, 55, 155–162. [Google Scholar] [CrossRef]
- Zhang, T.; Chu, J.; Wang, X.; Liu, X.; Cui, P. Development pattern and enhancing system of automotive components remanufacturing industry in China. Resour. Conserv. Recycl. 2011, 55, 613–622. [Google Scholar] [CrossRef]
- Khor, K.; Hazen, B. Remanufactured products purchase intentions and behaviour: Evidence from Malaysia. Int. J. Prod. Res. 2016, 55, 2149–2162. [Google Scholar] [CrossRef]
- Yu, Z.; Yu, X.; Minyue, J. Less is More: Consumer Education in a Closed-Loop Supply Chain with Remanufacturing. Omega 2020, 101, 102259. [Google Scholar]
- Guide, V.D.R.; Teunter, R.H.; van Wassenhove, L.N. Matching Demand and Supply to Maximize Profits from Remanufacturing. Manuf. Serv. Oper. Manag. 2003, 5, 303–316. [Google Scholar] [CrossRef] [Green Version]
- Chen, J.; Chi, C. Reverse channel choice in a closed-loop supply chain with new and differentiated remanufactured goods. J. Ind. Prod. Eng. 2019, 36, 81–96. [Google Scholar] [CrossRef]
- Mondal, C.; Giri, B.C. Investigating strategies of a green closed-loop supply chain for substitutable products under government subsidy. J. Ind. Prod. Eng. 2021, 1–24. [Google Scholar] [CrossRef]
- Abbey, J.D.; Meloy, M.G.; Guide, V.D.R.; Atalay, S. Remanufactured Products in Closed-Loop Supply Chains for Consumer Goods. Prod. Oper. Manag. 2015, 24, 488–503. [Google Scholar] [CrossRef]






Publisher’s Note: MDPI stays neutral with regard to jurisdictional claims in published maps and institutional affiliations. |
© 2022 by the authors. Licensee MDPI, Basel, Switzerland. This article is an open access article distributed under the terms and conditions of the Creative Commons Attribution (CC BY) license (https://creativecommons.org/licenses/by/4.0/).
Share and Cite
Sun, H.; Zheng, H.; Sun, X.; Li, W. Customized Investment Decisions for New and Remanufactured Products Supply Chain Based on 3D Printing Technology. Sustainability 2022, 14, 2502. https://doi.org/10.3390/su14052502
Sun H, Zheng H, Sun X, Li W. Customized Investment Decisions for New and Remanufactured Products Supply Chain Based on 3D Printing Technology. Sustainability. 2022; 14(5):2502. https://doi.org/10.3390/su14052502
Chicago/Turabian StyleSun, Haoyu, Huiqi Zheng, Xiaoyang Sun, and Wei Li. 2022. "Customized Investment Decisions for New and Remanufactured Products Supply Chain Based on 3D Printing Technology" Sustainability 14, no. 5: 2502. https://doi.org/10.3390/su14052502
APA StyleSun, H., Zheng, H., Sun, X., & Li, W. (2022). Customized Investment Decisions for New and Remanufactured Products Supply Chain Based on 3D Printing Technology. Sustainability, 14(5), 2502. https://doi.org/10.3390/su14052502

