Research on the Trade Characteristics of Conventional Energy Network Countries: Based on the Trade Characteristics of Leading Countries
Abstract
1. Literature Review of Energy Trade and Complex Networks
1.1. Research on Energy Trade
1.2. Research on Energy Trade Based on Complex Networks
2. Data and Method
2.1. Construction of an International Energy Network
2.2. In-Degree and Out-Degree of Nodes
2.3. Weighted In-Degree and Weighted Out-Degree of Nodes
2.4. Node Betweenness Centrality
3. The Role and Status of Major Countries in Conventional Energy
3.1. The Basic Situation of Imports and Exports of the Four Major Countries
3.2. Analysis of the Import and Export Trading Partners and Trade Volume of Four Major Countries
3.3. Analysis of Betweenness Centrality in the Four Main Countries
3.3.1. Centrality of the Four Major Countries
3.3.2. Betweenness in the Four Main Countries
3.4. Analysis of Trade Groups in the Four Main Countries
3.4.1. Trade Group Size
3.4.2. Stability of Trade Groups
4. Conclusions
- (1)
- China’s conventional energy imports show an upward trend, mainly importing oil; energy exports are minimal. The United States’ imports of conventional energy show a downward trend, with oil mainly being imported. In 2014, the massive exploitation of shale oil in the United States caused exported natural gas to grow by leaps and bounds. Russia’s conventional energy exports fluctuate slightly, and it mainly exports oil; energy imports are mainly concentrated in coal, with a small amount of oil. Saudi Arabia’s conventional energy exports show a downward trend, mainly importing and exporting coal and exporting oil.
- (2)
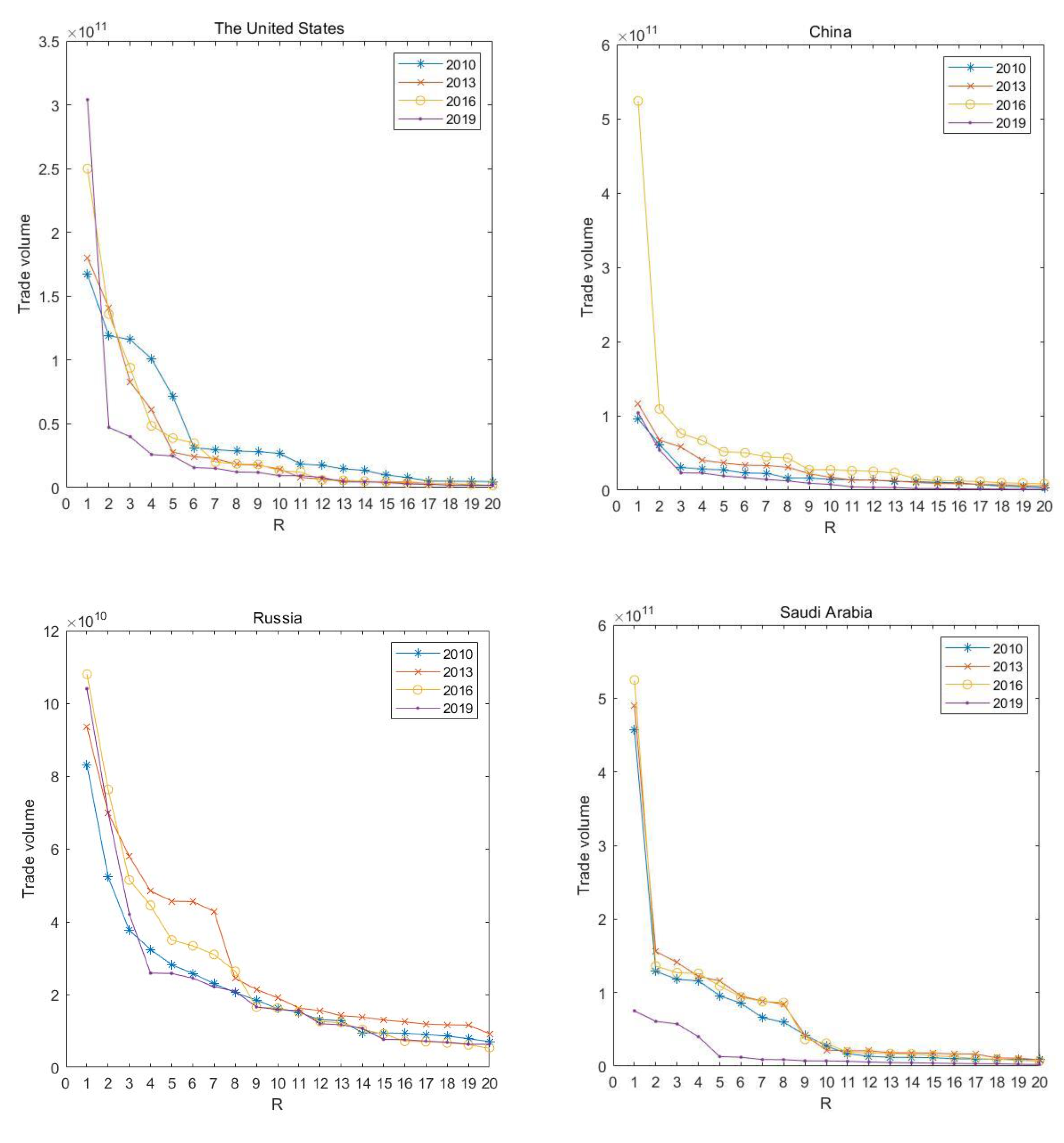
- The trade relations of the import trading partners of China and the United States show power-law distribution characteristics, and the trade relations of the export trading partners of Russia and Saudi Arabia show power-law distribution characteristics. The phenomenon shown by the United States and Saudi Arabia is more obvious. Relatively speaking, the phenomenon shown by China and Russia is not very obvious. However, the four countries are pursuing the diversification of trading partners to ensure trade security.
- (3)
- The largest import trading partner of the United States is Canada, and other major import partners are Saudi Arabia, Venezuela and Mexico. The distribution of China’s import trading partners tends to be diversified. The main import partners are Saudi Arabia, Russia, and Angola, and over time, trade relations with Russia have become increasingly closer. The main export targets of Saudi Arabia are North America, the United States, and Japan, and the export targets are relatively stable. Russia’s main export targets are the Netherlands, China, and Germany, among which the volume of energy exports to China is increasing.
- (4)
- The central position of the United States fluctuates sharply, but it is still in the most central position in the conventional energy trade network, which means that the United States has a relatively large advantage in obtaining conventional energy. Russia’s advantage in obtaining conventional energy is gradually increasing. Before 2014, China’s advantage in obtaining conventional energy gradually increased, but after 2014, the advantage gradually weakened. China should establish closer trade relations with other countries and increase its advantages in obtaining conventional energy. Saudi Arabia’s advantage in obtaining energy is relatively weak.
- (5)
- The United States has the strongest ability to control conventional energy and is an important hub country, but before 2015, the control ability showed a downward trend. The fastest decline in 2014 may be due to the large amount of shale gas produced in the United States in 2014, which increased its own energy reserves and reduced conventional energy imports. China’s ability to control conventional energy is very unstable. Saudi Arabia has the weakest ability to control conventional energy, which may be due to its relatively abundant conventional energy and the relatively small volume of imported conventional energy trade.
- (6)
- Russia’s trade group has the highest stability, but its stability weakened over time. The stability of China’s trade group is the weakest. China, the United States, Russia, and Saudi Arabia play a leading role in trade groups.
Author Contributions
Funding
Institutional Review Board Statement
Informed Consent Statement
Data Availability Statement
Conflicts of Interest
References
- Beltramo, M.A.; Weyant, M.J.P. A North American Gas Trade Model (GTM). Energy J. 1986, 7, 15–32. [Google Scholar] [CrossRef]
- Messner, S. Natural Gas Trade in Europe and Interactive Decision Analysis; Springer: Berlin/Heidelberg, Germany, 1986; Volume 273, pp. 291–302. [Google Scholar]
- Zwart, G.; Mulder, M. NATGAS: A model of the European natural gas market. Cpb Memo 2006, 40. [Google Scholar]
- Holz, F.; Hirschhausen, C.V.; Kemfert, C. A strategic model of European gas supply (GASMOD). Energy Econ. 2008, 30, 766–788. [Google Scholar] [CrossRef]
- An, H.; Zhong, W.; Chen, Y.; Li, H.; Gao, X. Features and evolution of international crude oil trade relationships: A trading-based network analysis. Energy 2014, 74, 254–259. [Google Scholar] [CrossRef]
- Zhong, W.; An, H.; Gao, X.; Sun, X. The evolution of communities in the international oil trade network. Phys. A Stat. Mech. Its Appl. 2014, 413, 42–52. [Google Scholar] [CrossRef]
- Chen, W.D.; Hua, X.; Qi, G. Dynamic analysis on the topological properties of the complex network of international oil prices. Acta Phys. Sin. 2010, 59, 4514–4523. [Google Scholar] [CrossRef]
- Xiang-Yun, G.; Hai-Zhong, A.; Hong-Hong, L.; Ying-Hui, D. Analysis on the topological properties of the linkage complex network between crude oil future price and spot price. Acta Phys. Sin. 2011, 60, 068902. [Google Scholar] [CrossRef]
- Wang, Z.J.; Cheng, S.J.; Guo-Zheng, Y.U. Comparison between China’s and USA’s Spatial Structure of Crude Oil Importing Trade Based on Complex Network Theory. Sci. Geogr. Sin. 2010, 5, 667–672. [Google Scholar]
- Ji, Q.; Zhang, H.Y.; Fan, Y. Identification of global oil trade patterns: An empirical research based on complex network theory. Energy Convers. Manag. 2014, 85, 856–865. [Google Scholar] [CrossRef]
- Zhang, Y.; Dong, Z.; Liu, S.; Jiang, P.; Zhang, C.; Ding, C. Forecast of International Trade of Lithium Carbonate Products in Importing Countries and Small-Scale Exporting Countries. Sustainability 2021, 13, 1251. [Google Scholar] [CrossRef]
- Watts, D.; Strogatz, S. Collective dynamics of ‘small-world’ networks. Nature 1998, 393, 440–442. [Google Scholar] [CrossRef] [PubMed]
- Barabási, A.L.; Albert, R. Emergence of Scaling in Random Networks. Science 1999, 286, 509–512. [Google Scholar] [CrossRef] [PubMed]
- Zhang, R.; Shen, Y.; Liu, Z. Research hotspots and evolution in the field of Chinese management based on complex networks. Stat. Manag. 2019, 8, 104–109. (In Chinese) [Google Scholar]
- Beyza, J.; Ruiz-Paredes, H.F.; Garcia-Paricio, E.; Yusta, J.M. Assessing the criticality of interdependent power and gas systems using complex networks and load flow techniques. Phys. A Stat. Mech. Its Appl. 2019, 540, 123–169. [Google Scholar] [CrossRef]
- Sun, Y. Research on application and preparation method of high purity lithium carbonate from the perspective of complex network. Chem. Manag. 2019, 533, 128–129. (In Chinese) [Google Scholar]
- Lu, W.; Su, M.; Zhang, Y.; Yang, Z.; Chen, B.; Liu, G. Assessment of energy security in China based on ecological network analysis: A perspective from the security of crude oil supply. Energy Policy 2014, 74, 406–413. [Google Scholar] [CrossRef]
- Jiang, W.; Gao, W.D.; Zhang, M. China coal resource railway circulation network’s structural characteristic and evolvement. Econ. Geogr. 2013, 33, 98–104. (In Chinese) [Google Scholar]
- Li, X.; Jin, Y.Y.; Chen, G.R. Complexity and synchronization of the World trade Web. Physica A. 2003, 328, 287–296. [Google Scholar] [CrossRef]
- Dong, Z. Who will trade bauxite with whom? Finding potential links through link prediction. Resour. Policy 2019, 63, 101417. [Google Scholar]










| Country | 2010 | 2011 | 2012 | 2013 | 2014 | 2015 | 2016 | 2017 | 2018 | 2019 |
|---|---|---|---|---|---|---|---|---|---|---|
| China | 4 | 4 | 3 | 3 | 3 | 2 | 2 | 2 | 2 | 6 |
| The United States | 1 | 1 | 2 | 1 | 4 | 4 | 3 | 3 | 3 | 3 |
| Country | 2010 | 2011 | 2012 | 2013 | 2014 | 2015 | 2016 | 2017 | 2018 | 2019 |
|---|---|---|---|---|---|---|---|---|---|---|
| Saudi Arabia | 1 | 1 | 1 | 1 | 2 | 2 | 2 | 2 | 2 | 3 |
| Russia | 2 | 2 | 2 | 2 | 3 | 3 | 4 | 3 | 4 | 2 |
| Year | Ranking | |||||||||
|---|---|---|---|---|---|---|---|---|---|---|
| 1 | 2 | 3 | 4 | 5 | 6 | 7 | 8 | 9 | 10 | |
| 2010 | Canada | Venezuela | Saudi Arabia | Mexico | Nigeria | Iraq | Columbia | Angola | Russia | Algeria |
| 2011 | Canada | Saudi Arabia | Venezuela | Mexico | Nigeria | Angola | Iraq | Columbia | Russia | Algeria |
| 2012 | Canada | Saudi Arabia | Venezuela | Mexico | Iraq | Nigeria | Columbia | Kuwait | Ecuador | Angola |
| 2013 | Canada | Saudi Arabia | Venezuela | Mexico | Columbia | Iraq | Kuwait | Nigeria | Ecuador | Angola |
| 2014 | Canada | Saudi Arabia | Venezuela | Mexico | Iraq | Kuwait | Columbia | Ecuador | Brazil | Angola |
| 2015 | Canada | Saudi Arabia | Venezuela | Mexico | Columbia | Ecuador | Iraq | Kuwait | Brazil | Angola |
| 2016 | Canada | Saudi Arabia | Venezuela | Mexico | Columbia | Iraq | Ecuador | Kuwait | Nigeria | Angola |
| 2017 | Canada | Saudi Arabia | Venezuela | Mexico | Iraq | Columbia | Nigeria | Ecuador | Brazil | Kuwait |
| 2018 | Canada | Saudi Arabia | Venezuela | Mexico | Iraq | Columbia | Nigeria | Ecuador | Brazil | Russia |
| 2019 | Canada | Mexico | Saudi Arabia | Iraq | Columbia | Ecuador | Nigeria | Brazil | Russia | Trinidad and Tobago |
| Year | Ranking | |||||||||
|---|---|---|---|---|---|---|---|---|---|---|
| 1 | 2 | 3 | 4 | 5 | 6 | 7 | 8 | 9 | 10 | |
| 2010 | Saudi Arabia | Angola | Iran | Indonesia | Former Sudan | Russia | Oman | Venezuela | Iraq | Kazakhstan |
| 2011 | Saudi Arabia | Angola | Russia | Iran | Indonesia | Former Sudan | Oman | Venezuela | Iraq | Kazakhstan |
| 2012 | Saudi Arabia | Angola | Russia | Indonesia | Venezuela | Iran | Oman | Iraq | The United Arab Emirates | Kazakhstan |
| 2013 | Saudi Arabia | Angola | Russia | Indonesia | Oman | Iraq | Venezuela | Iran | The United Arab Emirates | Kazakhstan |
| 2014 | Saudi Arabia | Russia | Angola | Oman | Iraq | Iran | Venezuela | The United Arab Emirates | Indonesia | Qatar |
| 2015 | Saudi Arabia | Russia | Angola | Oman | Iraq | Iran | Venezuela | The United Arab Emirates | Indonesia | Kuwait |
| 2016 | Myanmar | Saudi Arabia | Russia | Angola | Iraq | Oman | Iran | Venezuela | Brazil | Indonesia |
| 2017 | Russia | Saudi Arabia | Angola | Iraq | Venezuela | Oman | Iran | Brazil | Australia | The United States |
| 2018 | Saudi Arabia | Russia | Angola | Iraq | Oman | Brazil | Australia | Iran | Venezuela | Indonesia |
| 2019 | Russia | Brazil | Qatar | Britain | Indonesia | The United States | Columbia | Malaysia | Congo | the Philippines |
| Year | Ranking | |||||||||
|---|---|---|---|---|---|---|---|---|---|---|
| 1 | 2 | 3 | 4 | 5 | 6 | 7 | 8 | 9 | 10 | |
| 2010 | North America | Japan | The United States | China | South Korea | India | Singapore | Thailand | Spain | Italy |
| 2011 | North America | The United States | Japan | China | South Korea | India | Singapore | Bahrain | Italy | Spain |
| 2012 | North America | The United States | Japan | China | South Korea | India | Singapore | Italy | South Africa | France |
| 2013 | North America | The United States | Japan | China | South Korea | India | Bahrain | South Africa | France | Singapore |
| 2014 | North America | Japan | The United States | China | South Korea | India | France | Bahrain | Singapore | South Africa |
| 2015 | North America | The United States | China | South Korea | India | France | Bahrain | Singapore | Spain | Italy |
| 2016 | The United States | Japan | North America | China | South Korea | India | Singapore | Bahrain | France | South Africa |
| 2017 | Japan | The United States | China | South Korea | India | Bahrain | Singapore | South Africa | France | Spain |
| 2018 | Japan | China | The United States | South Korea | India | Bahrain | Singapore | South Africa | France | Spain |
| 2019 | Japan | India | South Korea | The United States | Thailand | France | South Africa | Singapore | Indonesia | Italy |
| Year | Ranking | |||||||||
|---|---|---|---|---|---|---|---|---|---|---|
| 1 | 2 | 3 | 4 | 5 | 6 | 7 | 8 | 9 | 10 | |
| 2010 | Netherlands | Germany | Italy | Poland | The United States | Japan | China | South Korea | Belarus | France |
| 2011 | Netherlands | Germany | Poland | Italy | China | Belarus | Japan | South Korea | The United States | Finland |
| 2012 | Netherlands | Germany | China | Poland | Belarus | Italy | Japan | South Korea | Sweden | Lithuania |
| 2013 | Netherlands | Germany | China | Poland | Belarus | Italy | Japan | South Korea | Finland | Lithuania |
| 2014 | Netherlands | China | Germany | Belarus | Poland | Italy | Japan | South Korea | Finland | Sweden |
| 2015 | Netherlands | China | Germany | Belarus | Poland | Japan | Italy | South Korea | Finland | Sweden |
| 2016 | Netherlands | China | Germany | Poland | Japan | Italy | South Korea | Belarus | Lithuania | Sweden |
| 2017 | China | Netherlands | Germany | Poland | Belarus | Japan | Italy | South Korea | Finland | France |
| 2018 | China | Netherlands | Germany | Poland | South Korea | Japan | Italy | Belarus | France | Finland |
| 2019 | China | Netherlands | Germany | Belarus | South Korea | Poland | Japan | Italy | Svalbard and Jan Mayen, Norway | Finland |
| (a) | ||||||||
| Rank | Group 1 | Group 2 | Group 3 | Group 4 | Group 5 | Group 6 | Group 7 | Group 8 |
| 1 | Russia | China | The United States | Saudi Arabia | Japan | Iraq | Botswana | Fiji |
| 2 | Netherlands | Angola | Venezuela | Iran | South Korea | Kuwait | Zimbabwe | Tonga |
| 3 | Britain | Former Sudan | Canada | South Africa | The United Arab Emirates | Israel | ||
| 4 | Italy | Yemen | Nigeria | Mozambique | Qatar | Bahrain | ||
| 5 | Germany | North Korea | Spain | India | Indonesia | Zambia | ||
| 6 | Svalbard and Jan Mayen, Norway | Mauritania | Mexico | Pakistan | Australia | Palestine | ||
| (b) | ||||||||
| Rank | Group 1 | Group 2 | Group 3 | Group 4 | Group 5 | Group 6 | Group 7 | |
| 1 | China | The United States | Russia | Saudi Arabia | Japan | Iraq | Zimbabwe | |
| 2 | Indonesia | Venezuela | Canada | Iran | India | Israel | Botswana | |
| 3 | Nigeria | Mexico | Netherlands | North America | South Korea | Palestine | ||
| 4 | Angola | Latin American Integration Association | Britain | South Africa | Qatar | |||
| 5 | Spain | Columbia | Italy | Greece | The United Arab Emirates | |||
| 6 | Brazil | Trinidad and Tobago | Svalbard and Jan Mayen, Norway | Bahrain | Australia | |||
| (c) | ||||||||
| Rank | Group 1 | Group 2 | Group 3 | Group 4 | Group 5 | Group 6 | Group 7 | Group 8 |
| 1 | China | The United States | Russia | Saudi Arabia | Iraq | Micronesia | Fiji | Iraq |
| 2 | India | Venezuela | Netherlands | The United Arab Emirates | Israel | Guam | Tuvalu | Israel |
| 3 | Indonesia | Canada | Britain | Japan | Sri Lanka | Palau | Kiribati | Sri Lanka |
| 4 | Kuwait | Nigeria | Germany | South Korea | Bahrain | Marshall Islands | Samoa | Bahrain |
| 5 | Angola | Spain | Italy | North America | ||||
| 6 | Iran | Mexico | Kazakhstan | Qatar | ||||
| (d) | ||||||||
| Rank | Group 1 | Group 2 | Group 3 | Group 4 | Group 5 | Group 6 | Group 7 | |
| 1 | Saudi Arabia | China | Russia | The United Arab Emirates | South Africa | Fiji | Nicaragua | |
| 2 | The United States | Angola | Netherlands | Japan | Mozambique | Tuvalu | Curacao | |
| 3 | India | Oman | Britain | South Korea | Mauritius | Tonga | Salvador | |
| 4 | Venezuela | Iran | Germany | Kuwait | Swaziland | |||
| 5 | Canada | Congo | Italy | Qatar | Ethiopia | |||
| 6 | Indonesia | South Sudan | Nigeria | Australia | Luxembourg | |||
| (e) | ||||||||
| Rank | Group 1 | Group 2 | Group 3 | Group 4 | ||||
| 1 | The United States | Saudi Arabia | Russia | Japan | ||||
| 2 | Mexico | North America | Netherlands | The United Arab Emirates | ||||
| 3 | China | the Philippines | Britain | South Korea | ||||
| 4 | India | Pakistan | Germany | Iraq | ||||
| 5 | Indonesia | Morocco | Italy | Qatar | ||||
| 6 | Canada | Jordan | Kazakhstan | Kuwait | ||||
| (f) | ||||||||
| Rank | Group 1 | Group 2 | Group 3 | Group 4 | Group 5 | Group 6 | ||
| 1 | The United States | China | Saudi Arabia | Russia | The United Arab Emirates | Thailand | ||
| 2 | Mexico | India | North America | Netherlands | South Korea | Myanmar | ||
| 3 | Canada | Iraq | the Philippines | Britain | Japan | |||
| 4 | Venezuela | Indonesia | Bahrain | Germany | Qatar | |||
| 5 | Columbia | Nigeria | Pakistan | Italy | Kuwait | |||
| 6 | Ecuador | Angola | Latin American Integration Association | Kazakhstan | Australia | |||
| (g) | ||||||||
| Rank | Group 1 | Group 2 | Group 3 | Group 4 | Group 5 | Group 6 | ||
| 1 | The United States | China | Saudi Arabia | Russia | India | South Africa | ||
| 2 | Mexico | Myanmar | North America | Netherlands | Japan | Mozambique | ||
| 3 | Canada | Thailand | Jordan | Britain | Iraq | Malawi | ||
| 4 | Venezuela | Angola | Latin American Integration Association | Italy | South Korea | Morocco | ||
| 5 | Columbia | Brazil | Oceania | Germany | The United Arab Emirates | Swaziland | ||
| 6 | Ecuador | Oman | Guinea | Spain | Kuwait | Zimbabwe | ||
| (h) | ||||||||
| Rank | Group 1 | Group 2 | Group 3 | Group 4 | Group 5 | Group 6 | Group 7 | Group 8 |
| 1 | China | The United States | India | The United Arab Emirates | Britain | South Africa | Kuwait | Barbados |
| 2 | Russia | Mexico | Iraq | Japan | Israel | Mozambique | Oman | Belize |
| 3 | Netherlands | Saudi Arabia | Iran | Qatar | Switzerland | Mauritius | Zambia | |
| 4 | Germany | South Korea | Nigeria | Australia | Ireland | Nepal | ||
| 5 | Svalbard and Jan Mayen, Norway | Canada | Italy | Malaysia | State of Palestine | Ethiopia | ||
| 6 | Angola | Indonesia | Kazakhstan | Singapore | Iceland | Kenya | ||
| (i) | ||||||||
| Rank | Group 1 | Group 2 | Group 3 | Group 4 | Group 5 | |||
| 1 | China | The United States | Russia | India | Mexico | |||
| 2 | Saudi Arabia | Canada | Netherlands | Iraq | The United Arab Emirates | |||
| 3 | South Korea | Venezuela | Britain | Nigeria | Oman | |||
| 4 | Japan | Columbia | Italy | Spain | Pakistan | |||
| 5 | Indonesia | Ecuador | Kazakhstan | Iran | New Zealand | |||
| 6 | Qatar | Chile | Germany | South Africa | Afghanistan | |||
| (j) | ||||||||
| Rank | Group 1 | Group 2 | Group 3 | Group 4 | Group 5 | Group 6 | ||
| 1 | Russia | The United States | South Korea | India | Israel | Rwanda | ||
| 2 | China | Mexico | Saudi Arabia | Iraq | Bunker | Tanzania | ||
| 3 | Netherlands | Canada | Japan | Nigeria | Kenya | |||
| 4 | Britain | Indonesia | The United Arab Emirates | South Africa | ||||
| 5 | Italy | Spain | Qatar | Venezuela | ||||
| 6 | Germany | Columbia | Australia | Egypt | ||||
Publisher’s Note: MDPI stays neutral with regard to jurisdictional claims in published maps and institutional affiliations. |
© 2022 by the authors. Licensee MDPI, Basel, Switzerland. This article is an open access article distributed under the terms and conditions of the Creative Commons Attribution (CC BY) license (https://creativecommons.org/licenses/by/4.0/).
Share and Cite
Jiang, P.; Ding, C.; Dong, Z.; Liu, S.; Zhang, Y. Research on the Trade Characteristics of Conventional Energy Network Countries: Based on the Trade Characteristics of Leading Countries. Sustainability 2022, 14, 16966. https://doi.org/10.3390/su142416966
Jiang P, Ding C, Dong Z, Liu S, Zhang Y. Research on the Trade Characteristics of Conventional Energy Network Countries: Based on the Trade Characteristics of Leading Countries. Sustainability. 2022; 14(24):16966. https://doi.org/10.3390/su142416966
Chicago/Turabian StyleJiang, Peixiang, Chao Ding, Zhiliang Dong, Sen Liu, and Yichi Zhang. 2022. "Research on the Trade Characteristics of Conventional Energy Network Countries: Based on the Trade Characteristics of Leading Countries" Sustainability 14, no. 24: 16966. https://doi.org/10.3390/su142416966
APA StyleJiang, P., Ding, C., Dong, Z., Liu, S., & Zhang, Y. (2022). Research on the Trade Characteristics of Conventional Energy Network Countries: Based on the Trade Characteristics of Leading Countries. Sustainability, 14(24), 16966. https://doi.org/10.3390/su142416966

