Spatial and Temporal Evolution Characteristics of China’s City Size Distribution Based on New Criteria
Abstract
1. Introduction
2. Data and Methods
2.1. Methods for the Statistical Distribution of City Size
2.1.1. Kernel Density Estimation (KDE)
2.1.2. Rank-Size Law
2.2. Methods for the Spatial Distribution of City Size
2.2.1. City Size Index
2.2.2. Centralization (Spatial Gini Coefficient)
2.3. Methodology for Analyzing the Dynamic Evolution of City Size
2.4. Data
3. China City Size Classification and Statistics
4. Empirical Analysis
4.1. Statistical Distribution Characteristics of City Size
4.1.1. Probability Density Distribution of City Size Structure in China
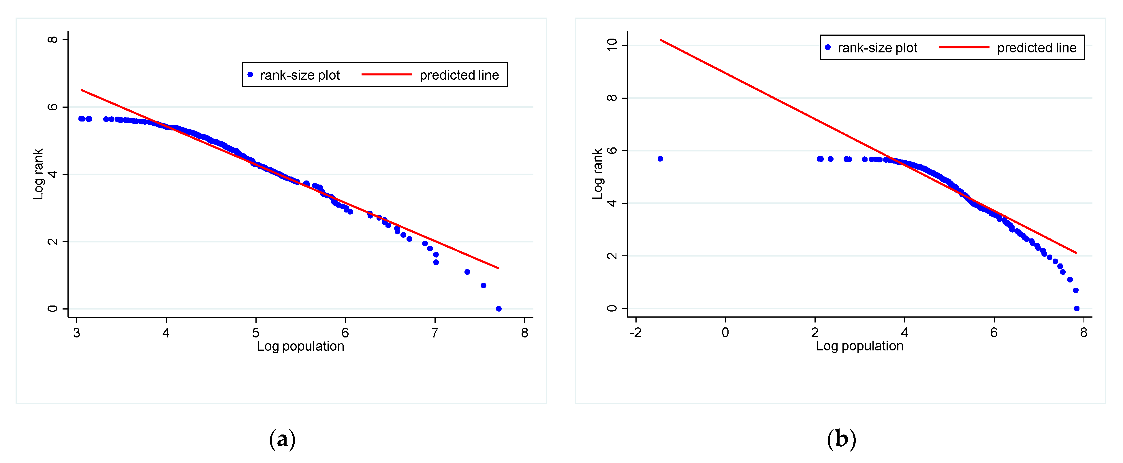
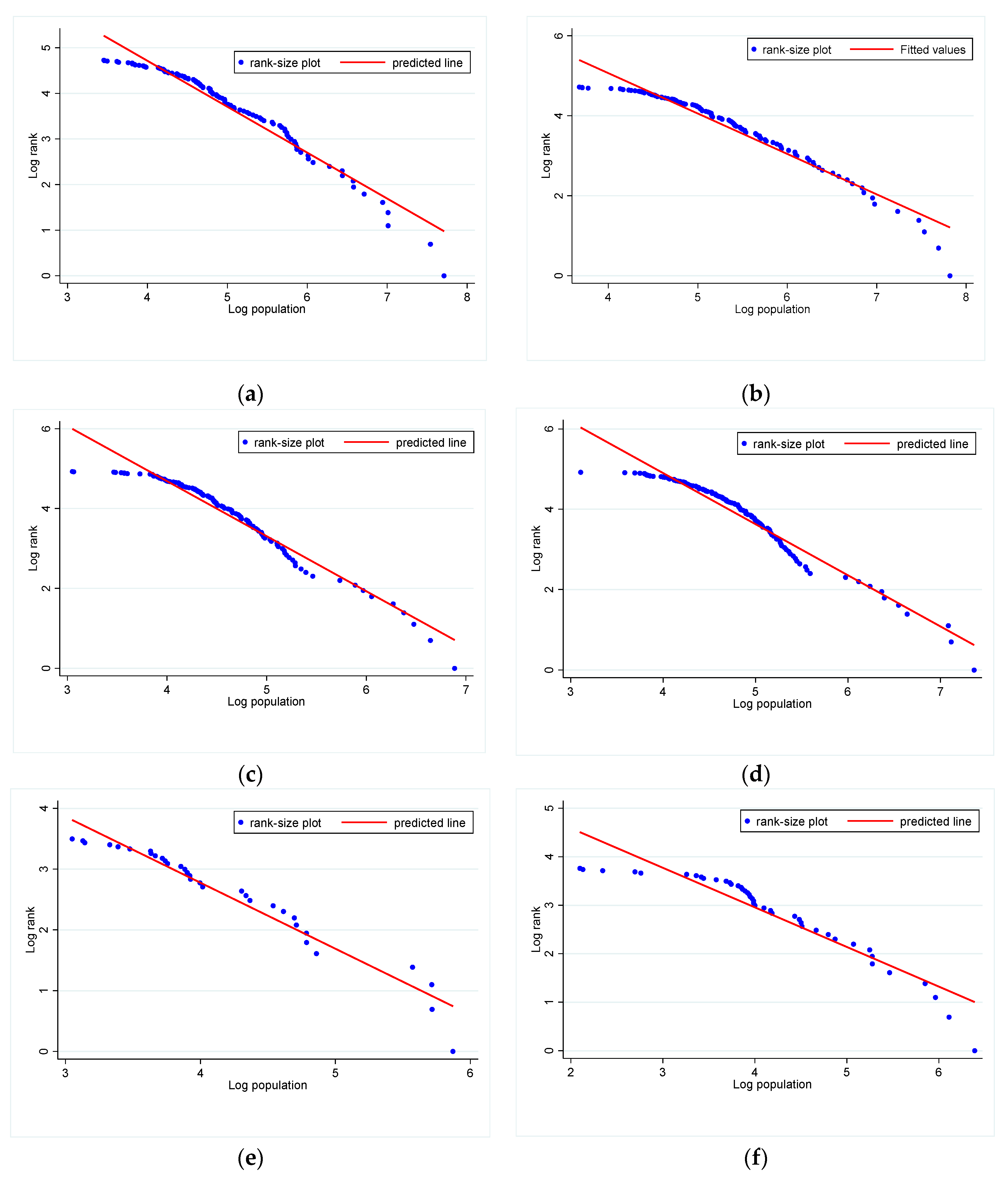
4.1.2. Validation of Zipf’s Law for the Size of Chinese Cities
4.2. General Characteristics of City Size Distribution
4.2.1. City Size Index for City Size Distribution
4.2.2. Spatial Gini Coefficient of City Size Distribution
4.3. Evolutionary Characteristics of City Size Structure
4.4. Sub-Regional City Size Distribution Characteristics
5. Driving Factors
6. Discussions and Conclusions
6.1. Discussions
6.2. Conclusions
- The prefecture-level and above city-size structure in China is a relatively balanced type of rank-size structure. A further progression toward equilibrium occurs, but it departs from the Zipf ideal. The population size of large, medium, and small cities varies unpredictably, forming an “olive-shaped” pattern. Small and medium-sized cities are more numerous but smaller in size, while large cities are fewer in number but larger in size. Large cities have a faster rate of growth than small and medium-sized cities. In the process of fostering the development of large cities, the government should pay attention to the balanced development of small and medium-sized cities. The head city has a high level of primacy, the overall city size has a low level of primacy, and megacity population growth is slowing.
- The size hierarchy of Chinese cities is quite varied. Between 2010 and 2020, the population of 101 Chinese cities changed. Twelve cities have shrunk in size, while 89 have increased in size. With over 90% of China’s medium and large cities, it is apparent that high-grade cities have been the primary driver of the country’s city size adjustments over the last decade.
- The distribution of city sizes varies significantly by region. As agglomeration capacity declines, the Eastern region approaches the Zipf ideal. The Central region’s city size distribution is more dispersed, but it still tends to be centralized. And the Western area has become more centralized as a result of the policy to enhance city size distribution. The distribution of city sizes in the Eastern, Central, and Western provinces show gradient differences. That is, the Eastern region’s growth rate of city size is substantially larger than the Central and Western areas, and the Central region’s growth rate is higher than the Western regions.
- China’s city size distribution deviates from Zipf’s ideal state, which indicates that there are some irrationalities in China’s city size system and needs to adjust the future urban development strategy. First, while encouraging the growth of large cities, consideration should be given to the balanced growth of small and medium-sized cities. They have a significant role in China’s administrative structure due to their huge number of small and medium-sized cities, extensive land, and concentration of resources, industries, and other growth elements. Secondly, transforming the development mode and improving the development quality are of global and decisive significance for China to optimize the urban size system, build a moderately prosperous society in all aspects and achieve national rejuvenation. Thirdly, the growth of small and medium-sized cities is the primary symbol used by both the “National New-type Urbanization Plan” and the “two sessions” to gauge the overall condition. Small and medium-sized cities ought to follow the path of distinctive development, take full advantage of the benefit of relatively low total costs, take the initiative to carry out the industrial transfer and function decentralization of megacities, and solidify the basis of true economic development.
- Urban development initiatives should place a strong emphasis on top-level design. Small- and medium-sized cities’ slow population growth is a significant contributor to the urban system’s imbalance and a pressing issue that has to be addressed. In order to solve this issue, the government will be crucial. On the one hand, the central government should reinforce the policy predilection for small and medium-sized cities and assist them in achieving rapid population growth by implementing relevant institutional measures when it formulates policies for the coordinated development of urban population size. For example, enhance the linkages between small, medium, and large cities, and fully utilize the spatial spillover effect of major cities. On the other hand, local governments should implement equivalent protective measures, such as creating preferential population policies, enhancing public services, raising welfare benefits for citizens, and encouraging infrastructure development. Small and medium-sized cities can be encouraged to experience a healthy economic development while also ensuring population expansion through these policy initiatives.
- High levels of government power are a distinctive feature of the Chinese system. China’s household registration system is restricting the free movement of people, especially in large cities. This is an important factor in avoiding the over-concentration of population in metropolitan areas, but it is also an important factor in the irrationality of the population size system, although these restrictions are being weakened. In this regard, China should continue to support reform and opening up, support reform of the household registration system, support free movement of people, fully utilize the central government’s macro control capabilities, support the flow of capital, people, and goods, and create a “national unified market”. Additionally, encourage the Eastern regions to make the most of their financial advantages, advance industrial modernization, raise the happiness level in cities, and draw in more highly qualified workers. The Central and Western areas should exploit their cost advantages and resource advantages to establish competitive industries and draw in a flow of human capital.
6.3. Research Limitations and Future Directions
Author Contributions
Funding
Institutional Review Board Statement
Informed Consent Statement
Data Availability Statement
Acknowledgments
Conflicts of Interest
References
- Gabaix, X.; Ioannides, Y.M. The evolution of city size distributions. In Handbook of Regional and Urban Economics; Elsevier B.V.: Amsterdam, The Netherlands, 2004. [Google Scholar]
- Auerbach, F. Das gesetz der bevolkerungskoncentration. Petermanns Geogr. Mitt. 1913, 59, 74–76. [Google Scholar]
- Zipf, G.K. Human Behavior and the Principle of Least Effort; Addison-Wesley Press: Cambridge, MA, USA, 1949. [Google Scholar]
- Krugman, P. Confronting the mystery of urban hierarchy. J. Jpn. Int. Econ. 1996, 10, 399–418. [Google Scholar] [CrossRef]
- Gabaix, X. Zipf’s law for cities: An explanation. Q. J. Econ. 1999, 114, 739–767. [Google Scholar] [CrossRef]
- Levy, M. Gibrat’s law for (all) cities: Comment. Am. Econ. Rev. 2009, 99, 1672–1675. [Google Scholar] [CrossRef]
- Ioannides, Y.M.; Overman, H.G. Zipf’s law for cities: An empirical examination. Reg. Sci. Urban Econ. 2003, 33, 127–137. [Google Scholar] [CrossRef]
- Berry, B.J.; Okulicz-Kozaryn, A. The city size distribution debate: Resolution for US urban regions and megalopolitan areas. Cities 2012, 29, S17–S23. [Google Scholar] [CrossRef]
- Jiang, B.; Jia, T. Zipf’s law for all the natural cities in the United States: A geospatial perspective. Int. J. Geogr. Inf. Sci. 2011, 25, 1269–1281. [Google Scholar] [CrossRef]
- Rozenfeld, H.D.; Rybski, D.; Gabaix, X.; Makse, H.A. The area and population of cities: New insights from a different perspective on cities. Am. Econ. Rev. 2011, 101, 2205–2225. [Google Scholar] [CrossRef]
- Nitsch, V. Zipf zipped. J. Urban Econ. 2005, 57, 86–100. [Google Scholar] [CrossRef]
- Eeckhout, J. Gibrat’s Law for (all) cities. Am. Econ. Rev. 2004, 94, 1429–1451. [Google Scholar] [CrossRef]
- de Vries, J. European Urbanization, 1500–1800; Routledge: London, UK, 1984. [Google Scholar]
- Giesen, K.; Zimmermann, A.; Suedekum, J. The size distribution across all cities: Double Pareto lognormal strikes. J. Urban Econ. 2010, 68, 129–137. [Google Scholar] [CrossRef]
- Black, D.; Henderson, V. Spatial evolution of population and industry in the United States. Am. Econ. Rev. 1999, 89, 321–327. [Google Scholar] [CrossRef]
- Chauvin, J.P.; Glaeser, E.; Ma, Y.R.; Tobio, K. What is different about urbanization in rich and poor countries? Cities in Brazil, China, India and the United States. J. Urban Econ. 2017, 98, 17–49. [Google Scholar] [CrossRef]
- Soo, K.T. Zipf’s Law for cities: A cross-country investigation. Reg. Sci. Urban Econ. 2005, 35, 239–263. [Google Scholar] [CrossRef]
- Soo, K.T. Zipf’s law and urban growth in Malaysia. Urban Stud. 2007, 44, 1–14. [Google Scholar] [CrossRef]
- Gonzalez-Val, R. The evolution of U.S. city size distribution from a long-term perspective (1900–2000). J. Reg. Sci. 2010, 50, 952–972. [Google Scholar] [CrossRef]
- Polese, M.; Denis-Jacob, J. Changes at the top: A cross-country examination over the 20th century of the rise (and fall) in rank of the top cities in national urban hierarchies. Urban Stud. 2010, 47, 1843–1860. [Google Scholar] [CrossRef]
- Giesen, K.; Sudekum, J. Zipf’s law for cities in the regions and the country. J. Econ. Geogr. 2011, 11, 667–686. [Google Scholar] [CrossRef]
- Schaffar, A.; Dimou, M. Rank-size city dynamics in China and India, 1981–2004. Reg. Stud. 2012, 46, 707–721. [Google Scholar] [CrossRef]
- Ioannides, Y.; Skouras, S. US city size distribution: Robustly pareto, but only in the tail. J. Urban Econ. 2013, 73, 18–29. [Google Scholar] [CrossRef]
- Berliant, M.; Watanabe, H. Explaining the size distribution of cities: Extreme economies. Quant. Econ. 2015, 6, 153–187. [Google Scholar] [CrossRef][Green Version]
- Amha, E.; Jan, B.; Fisseha, W. Analysis of city size distribution in Ethiopia: Empirical evidence from 1984 to 2012. J. Urban Manag. 2019, 8, 237–244. [Google Scholar]
- Arshad, S.; Hu, S.; Ashraf, B.N. Zipf’s law, the coherence of the urban system and city size distribution: Evidence from Pakistan. Phys. A Stat. Mech. Its Appl. 2019, 513, 87–103. [Google Scholar] [CrossRef]
- Soo, K.T. Zipf, Gibrat and geography: Evidence from China, India and Brazil. Pap. Reg. Sci. 2014, 93, 159–181. [Google Scholar] [CrossRef]
- Wang, Y.; Wie, Y.D.; Sun, B.D. New economy and national city size distribution. Habitat Int. 2022, 127, 102632. [Google Scholar] [CrossRef]
- Sun, B.D.; Zhang, T.L.; Wang, Y.; Zhang, L.L.; Li, W. Are mega-cities wrecking urban hierarchies? A cross-national study on the evolution of city-size distribution. Cities 2021, 108, 102999. [Google Scholar] [CrossRef]
- Miguel, P.A.; Arturo, R.; Fernando, S.G.; Daniel, A.B. How sensitive is city size distribution to the definition of city? The case of Spain. Econ. Lett. 2020, 97, 109643. [Google Scholar]
- Fang, L.; Li, P.; Song, S. China’s development policies and city size distribution: An analysis based on Zipf’s law. Urban Stud. 2017, 54, 2818–2834. [Google Scholar] [CrossRef]
- Yan, C.M.; Ning, Y.M. A Preliminary Study on the Characteristics of Urban Population Development and Change in my Country; East China Normal University Press: Shanghai, China, 1981. [Google Scholar]
- Xu, X.Q. The evolution and forecast of China’s town system. J. Sun Yat-Sen Univ. 1982, 28, 40–49. [Google Scholar]
- Zhou, Y.X.; Yang, Q. A Review on the urban-size hierarchy of China and the territorial types of the hierarchy on provincial level. Acta Geogr. Sin. 1986, 53, 97–111. [Google Scholar]
- Wang, F. Urbanization and Sustainable Development in China; Science Press: Beijing, China, 2000. [Google Scholar]
- Liu, N.Q.; Liu, X.H.; Zhao, L.G. The evolution of the scale and structure of China’s urban system: 1985–2008. Rev. Econ. Manag. 2011, 3, 5–14. [Google Scholar]
- Ye, H.; Pu, L.J.; Zhang, P. Spatial distribution pattern and its evolution of urban system in China. Areal Res. Dev. 2013, 32, 41–45. [Google Scholar]
- Ye, H.; Zhuang, D.C. The relationship between size distribution and spatial distribution of urban systems. World Reg. Stud. 2015, 24, 75–82. [Google Scholar]
- Chen, J.Y.; Zhang, S.H.; Pang, L.Q. Study on the distribution characteristics of urban size in China: Based on the census data from 2010 to 2019. Rev. Ind. Econ. 2022, 10, 185–200. [Google Scholar]
- Wang, Q.; Feng, C.C. Distribution and evolution of city size: Empirical research based on statistical data from 18 countries. Econ. Geogr. 2019, 39, 56–64. [Google Scholar]
- Wang, S.; Sun, B.D. The effect of city size distribution on regional income disparities: An empirical research based on landScan population database. Urban Dev. Stud. 2021, 28, 25–32. [Google Scholar]
- Sun, B.D.; Wang, Y.Y.; Zhang, Z.Q.; Li, W. The form and evolution of city size distribution and urban growth model in China: An analysis based on Zipf’s Law and Gibrat’s Law. Prog. Geogr. 2022, 41, 361–370. [Google Scholar] [CrossRef]
- You, J.H. Spatial pattern and regional economic development. Economist 2022, 33, 25–35. [Google Scholar]
- Zhao, L.; Liu, S.Y. Projecting the spatial-temporal variation and city size distribution of digital economy in China. Urban Dev. Stud. 2022, 29, 74–84. [Google Scholar]
- Lalanne, A. Zipf’s Law and Canadian urban growth. Urban Stud. 2014, 51, 1725–1740. [Google Scholar] [CrossRef]
- Jeff, L.; Stephen, D. Do the world’s largest cities follow Zipf’s and Gibrat’s laws. Econ. Lett. 2014, 25, 182–186. [Google Scholar]
- Sun, B.D.; Jin, X.X.; Lin, J. China’s new pattern of urbanization toward coordinated development of large, medium and small cities: Evolution and determinants of city size distribution since 1952. Geogr. Res. 2019, 38, 75–84. [Google Scholar]
- Wan, Q.; Wu, C.Q.; Feng, B. Spatio-temporal evolution characteristics of China’s city size distribution: Evidence from DMSP/OLS nighttime light data. Reg. Econ. Rev. 2019, 4, 125–133. [Google Scholar]
- Wan, Q.; Wu, C.Q.; Luo, X.; Zeng, J.X. Spatial and temporal evolution characteristics of China’s city size distribution. Econ. Geogr. 2018, 38, 81–90. [Google Scholar]
- Wan, Z.; Zheng, F. Rank-size distribution of the modern China urban system based on the China Postal Atlas in 1936. Geogr. Res. 2021, 76, 1910–1923. [Google Scholar]
- Yu, J.X.; Zhou, G.X.; Duan, Y.B. The trend of city size distribution in China: Based on census data. Popul. Econ. 2013, 34, 44–52. [Google Scholar]
- Qi, W.; Liu, S.H. Research on the rank-size distribution rule of China’s urban floating population. Geogr. Res. 2015, 34, 1981–1993. [Google Scholar]
- Cottineau, C. MetaZipf. A dynamic meta-analysis of city size distributions. PLoS ONE 2017, 12, e0183919. [Google Scholar] [CrossRef]
- Marco, B.; Massimo, R.; Stefano, S. The size distribution of US cities: Not Pareto, even in the tail. Econ. Lett. 2013, 120, 232–237. [Google Scholar]
- Jin, H.R.; Liu, S.H.; Qi, W. Research on the evolution of city-size hierarchy in China Based on new standard. City Plan. Rev. 2017, 41, 38–46. [Google Scholar]
- Wei, S.H.; Sun, N.; Jiang, Y. The applicability of Zipf’s law and Gibrat’s law to city size distribution in China. J. World Econ. 2018, 41, 96–120. [Google Scholar]
- Guan, X.; Wei, H.; Lu, S.; Dai, Q.; Su, H. Assessment on the urbanization strategy in China: Achievements, challenges and reflections. Habitat Int. 2018, 71, 97–109. [Google Scholar] [CrossRef]
- Liang, W.; Yang, M. Urbanization, economic growth and environmental pollution: Evidence from China. Sustain. Comput. Inform. Syst. 2019, 21, 1–9. [Google Scholar] [CrossRef]
- Sheather, S.J. Density estimation. Stat. Sci. 2004, 19, 588–597. [Google Scholar] [CrossRef]
- Silverman, B.W. Density Estimation for Statistics and Data Analysis; Chapman and Hall: London, UK, 1986. [Google Scholar]
- Xu, X.Q.; Zhou, Y.X.; Ning, Y.M. Urban Geography; Higher Education Press: Beijing, China, 2009. [Google Scholar]
- Marshall, J.U. Beyond the rank-size rule: A new descriptive model of city sizes. Urban Geogr. 1997, 18, 36–55. [Google Scholar] [CrossRef]
- Anderson, G.; Ge, Y. The size distribution of Chinese cities. Reg. Sci. Urban Econ. 2005, 35, 756–776. [Google Scholar] [CrossRef]
- Wang, Y.; Sun, B.D.; Zhang, T.L. Spatio-temporal change and influencing factors of city size distribution: Global empirical research based on LandScan data. Prog. Geogr. 2021, 40, 1812–1823. [Google Scholar] [CrossRef]
- Li, W.; Sun, B.D.; Liu, Q.Q. The features and determinants of spatial structure in Chinese prefecture level city regions. Sci. Geogr. Sin. 2018, 38, 672–680. [Google Scholar]
- Zhang, L.; Sun, B. Polarization or convergence: Strategy of reshaping economic geography of large countries: A cross-country study on the evolution and determinants of city size distribution. Acta Geogr. Sin. 2017, 72, 1419–1431. [Google Scholar]
- Sun, X.D.; Yuan, O.Y.; Zhao, X.; Yin, Y.H.; Liu, Q.; Wu, L. Did Zipf’s Law hold for Chinese cities and why? Evidence from multi-source data. Land Use Policy 2021, 106, 105460. [Google Scholar] [CrossRef]
- Wan, G.H.; Zhu, D.Q.; Wang, C.; Zhang, X. The size distribution of cities in China: Evolution of urban system and deviations from Zipf’s law. Ecol. Indic. 2020, 111, 106003. [Google Scholar] [CrossRef]
- Sun, B.D.; Kuang, Z.S. Geographical identification of urban entities and re-examination of city size distribution—A cross-country study based on LandScan population data. Urban Probl. 2021, 10, 46–55. [Google Scholar]
- Deng, Z.T.; Fan, H.B. Study on the distribution pattern of urban population size in China. Chin. J. Popul. Sci. 2016, 4, 48–60+127. [Google Scholar]
- Miao, H.L. Analysis of the evolutionary characteristics of city size distribution of prefecture-level cities in China. Explor. Econ. Issues 2014, 11, 113–121. [Google Scholar]
- Lu, Y. City size distribution and economic development: Is there a certain pattern? Popul. Res. 2021, 45, 114–128. [Google Scholar]
- Sun, B.D.; Li, W. City size distribution and economic performance: Evidence from city-regions in China. Sci. Geogr. Sin. 2016, 36, 328–334. [Google Scholar]
- Wang, Y.; Sun, B.D.; Li, W. Relationship between city size distribution and air quality: A cross-country study based on LandScan data. Geogr. Res. 2021, 40, 3173–3190. [Google Scholar]
- Shen, J. The measurement of urban concentration in China and the study of its spatial differentiation characteristics: Based on DMSP-OLS nighttime light data. Econ. Geogr. 2021, 41, 41–56. [Google Scholar]





| City Population (Millions) | Number of Cities (by Population Size) | |||||||||||||||
|---|---|---|---|---|---|---|---|---|---|---|---|---|---|---|---|---|
| Year | Total | <0.2 | 0.2–0.5 | 0.5–1 | 1–3 | 3–5 | 5–10 | >10 | Total | <0.2 | 0.2–0.5 | 0.5–1 | 1–3 | 3–5 | 5–10 | >10 |
| Population(millions) | ||||||||||||||||
| 2010 | 479.20 | 0 | 18.5 | 74.6 | 147.8 | 73.5 | 75.5 | 89.4 | 287 | 0 | 47 | 103 | 99 | 21 | 11 | 6 |
| 2020 | 661.52 | 0.58 | 12.3 | 64.7 | 215.9 | 65.4 | 119.2 | 183.5 | 297 | 6 | 30 | 86 | 129 | 17 | 18 | 11 |
| Percentage distribution | ||||||||||||||||
| 2010 | 100 | 0 | 3.9 | 15.6 | 30.8 | 15.3 | 15.8 | 18.7 | 100 | 0.0 | 16.4 | 35.9 | 34.5 | 7.3 | 3.8 | 2.1 |
| 2020 | 100 | 0.1 | 1.9 | 9.8 | 32.6 | 9.9 | 18.0 | 27.7 | 100 | 2.0 | 10.1 | 29.0 | 43.4 | 5.7 | 6.1 | 3.7 |
| Annual growth rate(percentage) | ||||||||||||||||
| 2010–2020 | 3.8 | 0.01 | −0.2 | −0.58 | 0.18 | −0.54 | 0.22 | 0.9 | 0.34 | 0.2 | −0.63 | −0.69 | 0.89 | −0.16 | 0.23 | 0.16 |
| Rank-Size Equation | Corrected Rank-Size Equation | Quadratic Rank-Size Equation | ||||||
|---|---|---|---|---|---|---|---|---|
| Year | Obs | q | R2 | q | R2 | Log (Size) | Log2 (Size) | R2 |
| Full sample | ||||||||
| 2010 | 287 | 1.133 *** | 0.956 | 1.162 *** | 0.947 | 0.880 *** | −0.202 *** | 0.991 |
| (0.000) | (0.000) | (0.000) | (0.000) | |||||
| 2020 | 297 | 0.872 *** | 0.820 | 0.892 *** | 0.810 | 0.513 *** | −0.150 *** | 0.978 |
| (0.000) | (0.000) | (0.000) | (0.000) | |||||
| Balanced panel | ||||||||
| 2010 | 285 | 1.130 *** | 0.956 | 1.158 *** | 0.947 | 0.885 *** | −0.202 *** | 0.991 |
| (0.000) | (0.000) | (0.000) | (0.000) | |||||
| 2020 | 285 | 1.070 *** | 0.952 | 1.096 *** | 0.941 | 0.984 *** | −0.195 *** | 0.988 |
| (0.000) | (0.000) | (0.000) | (0.000) | |||||
| Sample with a threshold 100,000 | ||||||||
| 2010 | 287 | 1.133 *** | 0.956 | 1.162 *** | 0.947 | 0.880 *** | −0.202 *** | 0.991 |
| (0.000) | (0.000) | (0.000) | (0.000) | |||||
| 2020 | 294 | 1.024 *** | 0.929 | 1.048 *** | 0.918 | 1.091 *** | −0.205 *** | 0.988 |
| (0.000) | (0.000) | (0.000) | (0.000) | |||||
| Year | PI2 | PI4 | PI11 |
|---|---|---|---|
| 2010 | 1.1853 | 0.4893 | 0.4168 |
| 2020 | 1.0204 | 0.3878 | 0.3210 |
| Year | Obs | All City | Small City (Type II) | Small City (Type I) | Medium City | Large City (Type II) | Large City (Type I) | Supercity | Megacity |
|---|---|---|---|---|---|---|---|---|---|
| Full sample | |||||||||
| 2010 | 287 | 0.519 | 0 | 0.125 | 0.113 | 0.162 | 0.069 | 0.112 | 0.196 |
| 2020 | 297 | 0.550 | 0.345 | 0.092 | 0.111 | 0.168 | 0.077 | 0.121 | 0.193 |
| Balanced panel | |||||||||
| 2010 | 285 | 0.519 | 0 | 0.125 | 0.110 | 0.163 | 0.069 | 0.112 | 0.196 |
| 2020 | 285 | 0.539 | 0 | 0.086 | 0.110 | 0.168 | 0.077 | 0.121 | 0.193 |
| Sample with a threshold 100,000 | |||||||||
| 2010 | 287 | 0.518 | 0 | 0.125 | 0.113 | 0.162 | 0.069 | 0.112 | 0.196 |
| 2020 | 294 | 0.546 | 0.131 | 0.086 | 0.111 | 0.168 | 0.077 | 0.121 | 0.193 |
| Year 2020 | |||||||
|---|---|---|---|---|---|---|---|
| Rank | Megacity | Supercity | Large City (Type I) | Large City (Type II) | Medium City | Small City (Type I) | |
| Year 2010 | Megacity | 100% | 0 | 0 | 0 | 0 | 0 |
| Supercity | 45.5% | 45.5% | 9.1% | 0 | 0 | 0 | |
| Large city (Type I) | 0 | 57.1% | 38.1% | 4.8% | 0 | 0 | |
| Large city (Type II) | 0 | 1.0% | 8.2% | 88.8% | 2.0% | 0 | |
| Medium city | 0 | 0 | 0 | 35.3% | 56.9% | 8.2% | |
| Small city (Type I) | 0 | 0 | 0 | 8.5% | 48.9% | 42.6% | |
| Number | Average Size (10,000s) | Standard Deviation (10,000s) | Min Size (10,000s) | Max Size (10,000s) | |
|---|---|---|---|---|---|
| 2010 | |||||
| Total | 287 | 167.0 | 247.6 | 21.1 | 2232 |
| East | 113 | 231.2 | 326.5 | 31.7 | 2232 |
| Middle | 138 | 122.9 | 133.6 | 21.1 | 978.5 |
| West | 33 | 90.66 | 87.65 | 21.1 | 354.5 |
| 2020 | |||||
| Total | 297 | 222.7 | 339.7 | 0.233 | 2538 |
| East | 112 | 323.1 | 420.7 | 39.5 | 2487 |
| Middle | 137 | 163.5 | 213.4 | 22.4 | 1233 |
| West | 43 | 105.9 | 126.0 | 8.2 | 595.1 |
| Rank-Size Equation | Corrected Rank-Size Equation | Quadratic Rank-Size Equation | ||||||
|---|---|---|---|---|---|---|---|---|
| Year | Obs | q | R2 | q | R2 | Log (Size) | Log2 (Size) | R2 |
| East | ||||||||
| 2010 | 113 | 1.008 *** | 0.951 | 1.056 *** | 0.935 | 1.251 *** | −0.218 *** | 0.992 |
| (0.000) | (0.000) | (0.000) | (0.000) | |||||
| 2020 | 297 | 1.010 *** | 0.944 | 1.056 *** | 0.926 | 1.596 *** | −0.236 *** | 0.989 |
| (0.000) | (0.000) | (0.000) | (0.000) | |||||
| Middle | ||||||||
| 2010 | 285 | 1.380 *** | 0.948 | 1.441 *** | 0.939 | 1.090 *** | −0.261 *** | 0.976 |
| (0.000) | (0.000) | (0.000) | (0.000) | |||||
| 2020 | 285 | 1.273 *** | 0.950 | 1.331 *** | 0.943 | 0.552 *** | −0.183 *** | 0.969 |
| (0.000) | (0.000) | (0.003) | (0.000) | |||||
| West | ||||||||
| 2010 | 287 | 1.086 *** | 0.956 | 1.201 *** | 0.914 | 1.283 *** | −0.280 *** | 0.949 |
| (0.000) | (0.000) | (0.026) | (0.000) | |||||
| 2020 | 294 | 0.817 *** | 0.875 | 0.888 *** | 0.847 | 1.262 *** | −0.254 *** | 0.978 |
| (0.000) | (0.000) | (0.000) | (0.000) | |||||
Publisher’s Note: MDPI stays neutral with regard to jurisdictional claims in published maps and institutional affiliations. |
© 2022 by the authors. Licensee MDPI, Basel, Switzerland. This article is an open access article distributed under the terms and conditions of the Creative Commons Attribution (CC BY) license (https://creativecommons.org/licenses/by/4.0/).
Share and Cite
Hong, G.; Xie, S.; Li, H. Spatial and Temporal Evolution Characteristics of China’s City Size Distribution Based on New Criteria. Sustainability 2022, 14, 16952. https://doi.org/10.3390/su142416952
Hong G, Xie S, Li H. Spatial and Temporal Evolution Characteristics of China’s City Size Distribution Based on New Criteria. Sustainability. 2022; 14(24):16952. https://doi.org/10.3390/su142416952
Chicago/Turabian StyleHong, Ge, Shouhong Xie, and Hanbing Li. 2022. "Spatial and Temporal Evolution Characteristics of China’s City Size Distribution Based on New Criteria" Sustainability 14, no. 24: 16952. https://doi.org/10.3390/su142416952
APA StyleHong, G., Xie, S., & Li, H. (2022). Spatial and Temporal Evolution Characteristics of China’s City Size Distribution Based on New Criteria. Sustainability, 14(24), 16952. https://doi.org/10.3390/su142416952

